Nutrient Seed Priming Effects on Water Stress Tolerance and Nutrient Uptake of Chilies (Capsicum annum L.)
Abstract
1. Introduction
2. Materials and Methods
2.1. Plant Material
2.2. Soil Material
2.3. Priming Treatments
2.4. Experimental Design
2.5. Experimental Procedures
2.6. Data Collection
- i.
- Emergence percentage (EP) was calculated when cumulative emerged seeds with normal radicle and plumule were visible using the following equation:
- ii.
- Days to emergence (DE), chlorophyll content index (CCI), stem diameter (SD), seedling height (SH), seedling weight (fresh (FSW) and dry (DSW)), and final root length (RL) were measured. The stem diameter was measured with a digital Vernier caliper (Mac Afric, Johannesburg, South Africa), chlorophyll content was measured using a chlorophyll meter (MINOLTA SPAD-502, Minolta Camera Co., Osaka, Japan), and seedling height was measured using a ruler. On the final day of the experiment, seedlings were uprooted and washed off over a 53 μm sieve to remove all the soil from the roots. Root length was measured with a ruler, whilst FWS was measured with a weighing balance. Dry seedling weight mass was measured after drying the seedlings at 65 °C in a forced air oven until constant weight was achieved.
2.7. Data Analysis
3. Results
3.1. The Effects of Nutrient Seed Priming and Water Stress on Germination Indices
3.2. The Effects of Nutrient Seed Priming and Water Stress on the Number of Leaves
3.3. The Effects of Nutrient Seed Priming and Water Stress on Shoot Height
3.4. The Effects of Nutrient Seed Priming and Drought Stress on Fresh Seedling Weight
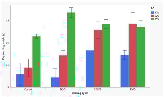
3.5. The Interaction of Nutrient and Water Stress Effects on Dry Seedling Weight
3.6. The Effects of Nutrient Seed Priming and Drought Stress on Stem Diameter
3.7. The Effect of Nutrient Seed Priming and Water Stress on Chlorophyll Content Index
3.8. The Effect of Nutrient Seed Priming and Water Stress on Seedling Vigour Index
3.9. The Effect of Nutrient Priming and Water Stress on NPK Uptake
3.10. The Effect of Nutrient Seed Priming and Water Stress on Zn Uptake
4. Discussion
5. Conclusions
Supplementary Materials
Author Contributions
Funding
Data Availability Statement
Acknowledgments
Conflicts of Interest
References
- Anwar, A.; Yu, X.; Li, Y. Seed priming as a promising technique to improve growth, chlorophyll, photosynthesis and nutrient contents in cucumber seedlings. Not. Bot. Horti Agrobot. Cluj-Napoca 2020, 48, 116–127. [Google Scholar] [CrossRef]
- Mpanza, F.N.; Mavengahama, S. Variable germination and high cost of commercial chilli seed: Implications for communal area cash crop chilli production in northern KwaZulu-Natal. Acta Hortic. 2018, 1204, 249–254. [Google Scholar]
- Mardiyati, S.; Natsir, M. Fluctuations and trends in the prices of red chilies and cayenne peppers in the traditional markets of Makassar City. IOP Conf. Ser. Earth Environ. Sci. 2024, 1302, 012124. [Google Scholar] [CrossRef]
- Jiao, X.; Yu, X.; Ding, J.; Du, Q.; Zhang, J.; Song, X.; Bai, P.; Li, J. Effects of rising VPD on the nutrient uptake, water status and photosynthetic system of tomato plants at different nitrogen applications under low temperature. Sci. Hortic. 2022, 304, 111335. [Google Scholar] [CrossRef]
- Silva, V.F.; Bezerra, C.V.C.; Nascimento, E.C.S.; Ferreira, T.N.F.; Lima, V.L.A.; Andrade, L.O. Production of chili pepper under organic fertilization and irrigation with treated wastewater. Rev. Bras. De Eng. Agric. E Ambient. 2019, 23, 84–89. [Google Scholar] [CrossRef]
- Sudiana, I.M.; Chandra, N.D.; Mangunwardoyo, W.; Kanti, A.; Napitupulu, T.P.; Idris Sumerta, I.N. Effects of funneliformis mosseae inoculation on chili pepper growth under repeated drought stress. J. Teknol. 2022, 84, 69–80. [Google Scholar] [CrossRef]
- Siaga, E.; Rini, D.S.; Widuri, L.I.; Sakagami, J.I.; Lakitan, B.; Yabuta, S. Growth and morpho-physiological assessments of Indonesian red chili cultivars on early vegetative stage under water stress conditions: A comparison of waterlogging and drought. Chil. J. Agric. Res. 2024, 84, 425–438. [Google Scholar] [CrossRef]
- Rathnayaka, R.M.S.M.B.; Kondo, F.; Prabandaka, S.S.; Nemoto, K.; Matsushima, K. Drought stress induced an increase in the pungency and expression of capsaicinoid biosynthesis genes in chili pepper (Capsicum annuum L.). Hortic. J. 2021, 90, 410–419. [Google Scholar] [CrossRef]
- Agyemang Duah, S.; Silva e Souza, C.; Nagy, Z.; Pék, Z.; Neményi, A.; Daood, H.G.; Vinogradov, S.; Helyes, L. Effect of water supply on physiological response and phytonutrient composition of chili peppers. Water 2021, 13, 1284. [Google Scholar] [CrossRef]
- Aswathi, K.P.R.; Kalaji, H.M.; Puthur, J.T. Seed priming of plants aiding in drought stress tolerance and faster recovery: A Review. Plant Growth Regul. 2020, 97, 235–253. [Google Scholar] [CrossRef]
- Farooq, M.; Hussain, M.; Habib, M.M.; Khan, M.S.; Ahmad, I.; Farooq, S.; Siddique, K.H.M. Influence of seed priming techniques on grain yield and economic returns of bread wheat planted at different spacings. Crop Pasture Sci. 2020, 71, 725–738. [Google Scholar] [CrossRef]
- Marthandan, V.; Geetha, R.; Kumutha, K.; Renganathan, V.G.; Karthikeyan, A.; Ramalingam, J. Seed Priming: A feasible strategy to enhance drought tolerance in crop plants. Int. J. Mol. Sci. 2020, 21, 8258. [Google Scholar] [CrossRef] [PubMed]
- Baath, G.S.; Shukla, M.K.; Bosland, P.W.; Steiner, R.L.; Walker, S.J. Irrigation water salinity influences at various growth stages of Capsicum annuum. Agric. Water Manag. 2017, 179, 246–253. [Google Scholar] [CrossRef]
- Patel, V.; Gandhi Krishi Vishwavidyalaya, I.; Sengar, I.S.; Singh, I.R.; Singh, I.A.; Rajesh Kumar, I.; Onkar Singh, I.; Sengar, S.; Singh, R.; Singh, A.; et al. Primary nutrient content and its uptake in little millet (Panicum sumatrense) as influenced by different nutrient management and seed priming. J. Pharmacogn. Phytochem. 2020, 9, 1228–1233. [Google Scholar]
- Sitompul, S.M.; Roviq, M.; Riedo, E. Growth and betacyanin content of beetroots (Beta vulgaris L.) under water deficit in a tropical condition. Agrivita 2019, 41, 491–503. [Google Scholar] [CrossRef]
- Muslimin; Taufik, M.; Thamrin, M.; Suddin, A.F. Financial analysis of red chili farming business with green cultivation technology in South Sulawesi. IOP Conf. Ser. Earth Environ. Sci. 2021, 911, 012079. [Google Scholar] [CrossRef]
- Yafizham; Herwibawa, B. The effects of sodium azide on seed germination and seedling growth of chili pepper (Capsicum annum L. cv. Landung). IOP Conf. Ser. Earth Environ. Sci. 2018, 102, 012052. [Google Scholar] [CrossRef]
- Johnson, R.; Puthur, J.T. Seed priming as a cost effective technique for developing plants with cross tolerance to salinity stress. Plant Physiol. Biochem. 2021, 162, 247–257. [Google Scholar] [CrossRef]
- Muhammad, I.; Volker, R.; Günter, N. Accumulation and Distribution of Zn and Mn in Soybean Seeds after Nutrient Seed Priming and its Contribution to Plant Growth under Zn and Mn Deficient Conditions. J. Plant Nutr. 2017, 40, 695–708. [Google Scholar] [CrossRef]
- Adhikary, S.; Biswas, B.; Chakraborty, D.; Timsina, J.; Pal, S.; Chandra Tarafdar, J.; Banerjee, S.; Hossain, A.; Roy, S. Seed priming with selenium and zinc nanoparticles modifies germination, growth, and yield of direct-seeded rice (Oryza sativa L.). Sci. Rep. 2022, 12, 7103. [Google Scholar] [CrossRef]
- Pereira AD, E.S.; Oliveira, H.C.; Fraceto, L.F.; Santaella, C. Nanotechnology potential in seed priming for sustainable agriculture. Nanomaterials 2021, 11, 267. [Google Scholar] [CrossRef] [PubMed]
- Riyazuddin, R.; Verma, R.; Singh, K.; Nisha, N.; Keisham, M.; Bhati, K.K.; Kim, S.T.; Gupta, R. Ethylene: A master regulator of salinity stress tolerance in plants. Biomolecules 2020, 10, 959. [Google Scholar] [CrossRef] [PubMed]
- Ye, Y.; Cota-Ruiz, K.; Hernández-Viezcas, J.A.; Valdés, C.; Medina-Velo, I.A.; Turley, R.S.; Peralta-Videa, J.R.; Gardea-Torresdey, J.L. Manganese Nanoparticles Control Salinity-Modulated Molecular Responses in Capsicum annuum L. Through Priming: A Sustainable Approach for Agriculture. ACS Sustain. Chem. Eng. 2020, 8, 1427–1436. [Google Scholar] [CrossRef]
- Okalebo, J.R.; Gathua, K.W.; Woomer, P.L. Laboratory Methods of Soil and Plant Analysis: A Working Manual; TSBF-CIAT and SACRED Africa: Nairobi, Kenya, 2000. [Google Scholar]
- Nelson, D.W.; Sommers, L.E. Total Carbon, Organic Carbon and Organic Matter. In Methods of Soil Analysis. Part 3-Chemical Methods; Sparks, D.L., Ed.; ASA: Madison, WI, USA, 1996; pp. 961–1010. [Google Scholar]
- Phelan, D.C.; Harrison, M.T.; McLean, G.; Cox, H.; Pembleton, K.G.; Dean, G.J.; Parsons, D.; do Amaral Richter, M.E.; Pengilley, G.; Hinton, S.J.; et al. Advancing a farmer decision support tool for agronomic decisions on rainfed and irrigated wheat cropping in Tasmania. Agric. Syst. 2018, 167, 113–124. [Google Scholar] [CrossRef]
- Sui, R. Irrigation Scheduling Using Soil Moisture Sensors. J. Agric. Sci. 2017, 10, 1. [Google Scholar] [CrossRef]
- Chaves, M.M.; Flexas, J.; Pinheiro, C. Photosynthesis under drought and salt stress: Regulation mechanisms from whole plant to cell. Ann. Bot. 2009, 103, 551–560. [Google Scholar] [CrossRef]
- Gomez, K.A.; Gomez, A.A. Statistical Procedures for Agricultural Research, 2nd ed.; John Wiley & Sons: New York, NY, USA, 1984. [Google Scholar]
- Wang, Y.; Wang, S.; Sun, J.; Dai, H.; Zhang, B.; Xiang, W.; Hu, Z.; Li, P.; Yang, J.; Zhang, W. Nanobubbles promote nutrient utilization and plant growth in rice by upregulating nutrient uptake genes and stimulating growth hormone production. Sci. Total. Environ. 2021, 800, 149627. [Google Scholar] [CrossRef]
- Samota, M.K.; Sasi, M.; Awana, M.; Yadav, O.P.; Mithra, S.V.A.; Tyagi, A.; Kumar, S.; Singh, A. Elicitor-induced biochemical and molecular manifestations to improve drought tolerance in rice (Oryza sativa L.) through seed-priming. Front. Plant Sci. 2017, 8, 934. [Google Scholar] [CrossRef]
- Deshpande, P.; Dapkekar, A.; Oak, M.D.; Paknikar, K.M.; Rajwade, J.M. Zinc complexed chitosan/TPP nanoparticles: A promising micronutrient nanocarrier suited for foliar application. Carbohydr. Polym. 2017, 165, 394–401. [Google Scholar] [CrossRef]
- Frungillo, L. Mapping the genomic basis of developmental and metabolic responses to nitrogen. Plant Cell 2022, 34, 4663–4664. [Google Scholar] [CrossRef]
- E’rahim, N.I.K.; Nordin, M.S.; Salleh, M.S. Effects of Seed Priming on Seed Germination and Early Seedling Growth of Chili (Capsicum annum L.) Under Water Deficit Condition. Trop. Agrobiodiversity 2021, 2, 37–41. [Google Scholar] [CrossRef]
- Hafeez, B.; Khanif, Y.M.; Saleem, M. Role of Zinc in Plant Nutrition-A Review. Am. J. Exp. Agric. 2013, 50, 374–391. [Google Scholar] [CrossRef]
- Farooq, M.; Basra, S.M.A.; Khan, M.B. Seed priming improves growth of nursery seedlings and yield of transplanted rice. Arch. Agron. Soil Sci. 2007, 53, 315–326. [Google Scholar] [CrossRef]
- Nakao, Y.; Asea, G.; Yoshino, M.; Kojima, N.; Hanada, H.; Miyamoto, K.; Yabuta, S.; Kamioka, R.; Sakagami, J.-I. Development of Hydropriming Techniques for Sowing Seeds of Upland Rice in Uganda. Am. J. Plant Sci. 2018, 9, 2170–2182. [Google Scholar] [CrossRef][Green Version]
- Hou, D.; Bi, J.; Ma, L.; Zhang, K.; Li, D.; Rehmani, M.I.A.; Tan, J.; Bi, Q.; Wei, Y.; Liu, G.; et al. Effects of Soil Moisture Content on Germination and Physiological Characteristics of Rice Seeds with Different Specific Gravity. Agronomy 2022, 12, 500. [Google Scholar] [CrossRef]
- Sethy, B.; Patra, C.; Das, S.; Mohanty, S.K. Response of Naturally Aged Paddy Seed to Halo, Hormonal and Hydropriming. Int. J. Curr. Microbiol. Appl. Sci. 2020, 9, 593–599. [Google Scholar] [CrossRef]
- Hussain, M.; Hussain, M.; Farooq, M.; Farooq, M.; Lee, D.; Lee, D. Evaluating the role of seed priming in improving drought tolerance of pigmented and non-pigmented rice. J. Agron. Crop Sci. 2017, 203, 269–276. [Google Scholar] [CrossRef]
- Abideen, Z.; Koyro, H.W.; Hussain, T.; Rasheed, A.; Alwahibi, M.S.; Elshikh, M.S.; Hussain, M.I.; Zulfiqar, F.; Mansoor, S.; Abbas, Z. Biomass Production and Predicted Ethanol Yield Are Linked with Optimum Photosynthesis in Phragmites karka under Salinity and Drought Conditions. Plants 2022, 11, 1657. [Google Scholar] [CrossRef]
- Mundim, F.M.; Pringle, E.G. Whole-plant metabolic allocation under water stress. Front. Plant Sci. 2018, 9, 852. [Google Scholar] [CrossRef]
- Escalante-Magaña, C.; Aguilar-Caamal, L.F.; Echevarría-Machado, I.; Medina-Lara, F.; Cach, L.S.; Martínez-Estévez, M. Contribution of glycine betaine and proline to water deficit tolerance in pepper plants. HortScience 2019, 54, 1044–1054. [Google Scholar] [CrossRef]
- Szabados, L.; Savouré, A. Proline: A multifunctional amino acid. Trends Plant Sci. 2010, 15, 89–97. [Google Scholar] [CrossRef] [PubMed]
- Vyrides, I.; Stuckey, D.C. Compatible solute addition to biological systems treating waste/wastewater to counteract osmotic and other environmental stresses: A review. Crit. Rev. Biotechnol. 2017, 37, 865–879. [Google Scholar] [CrossRef] [PubMed]
- Goufo, P.; Moutinho-Pereira, J.M.; Jorge, T.F.; Correia, C.M.; Oliveira, M.R.; Rosa, E.A.S.; António, C.; Trindade, H. Cowpea (Vigna unguiculata L. Walp.) metabolomics: Osmoprotection as a physiological strategy for drought stress resistance and improved yield. Front. Plant Sci. 2017, 8, 586. [Google Scholar] [CrossRef] [PubMed]
- Nivetha, N.; Kiruthika, A.; Asha, A.D.; Lavanya, A.K.; Vikram, K.V.; Manjunatha, B.S.; Paul, S. Osmotolerant Rhizobacteria Improve Seedling Vigour and Plant Growth of Mustard under Water Scarcity. Int. J. Curr. Microbiol. Appl. Sci. 2020, 9, 1928–1937. [Google Scholar] [CrossRef]
- Aslam, M.U.; Raza, M.A.S.; Saleem, M.F.; Waqas, M.; Iqbal, R.; Ahmad, S.; Haider, I. Improving Strategic Growth Stage-based Drought Tolerance in Quinoa by Rhizobacterial Inoculation. Commun. Soil Sci. Plant Anal. 2020, 51, 853–868. [Google Scholar] [CrossRef]
- Grishin, A.; Grishin, A.; Grishin, V.; Pavlova, E. Software Algorithm for the Implementation of a Synergistic Effect in the Production Processes of Plants. In International Conference on Digital Transformation: Informatics, Economics, and Education (DTIEE2023); SPIE: Bellingham, WA, USA, 2023. [Google Scholar] [CrossRef]
- Al-Huqail, A.A.; Alghanem, S.M.S.; Alhaithloul, H.A.S.; Saleem, M.H.; Abeed, A.H.A. Combined exposure of PVC-microplastic and mercury chloride (HgCl2) in sorghum (Pennisetum glaucum L.) when its seeds are primed titanium dioxide nanoparticles (TiO2–NPs). Environ. Sci. Pollut. Res. 2024, 31, 7837–7852. [Google Scholar] [CrossRef]
- Hasanuzzaman, M.; Bhuyan, M.H.M.B.; Nahar, K.; Hossain, M.S.; Mahmud, J.A.; Hossen, M.S.; Masud, A.A.C.; Moumita; Fujita, M. Potassium: A vital regulator of plant responses and tolerance to abiotic stresses. Agronomy 2018, 8, 31. [Google Scholar] [CrossRef]
- Arbona, V.; Manzi, M.; De Ollas, C.; Gómez-Cadenas, A. Metabolomics as a tool to investigate abiotic stress tolerance in plants. Int. J. Mol. Sci. 2013, 14, 4885–4911. [Google Scholar] [CrossRef]
- Anandaraj, K.; Natarajan, N. Effect of Nanoparticles for Seed Quality Enhancement in Onion [Allium cepa (Linn) cv. CO (On)] 5. Int. J. Curr. Microbiol. Appl. Sci. 2017, 6, 3714–3724. [Google Scholar] [CrossRef]
- Marngar, E.; Dawson, J. Effect of Biofertilizers, Levels of Nitrogen and Zinc on Growth and Yield of Hybrid Maize (Zea mays L.). Int. J. Curr. Microbiol. Appl. Sci. 2017, 6, 3614–3622. [Google Scholar] [CrossRef]
- Mahakham, W.; Theerakulpisut, P.; Maensiri, S.; Phumying, S.; Sarmah, A.K. Environmentally benign synthesis of phytochemicals-capped gold nanoparticles as nanopriming agent for promoting maize seed germination. Sci. Total Environ. 2016, 573, 1089–1102. [Google Scholar] [CrossRef] [PubMed]
- Aref, F. Evaluation of application methods and rates of zinc and boron on nitrogen, phosphorus and potassium contents of maize leaf. J. Plant Nutr. 2012, 35, 1210–1224. [Google Scholar] [CrossRef]








| Priming Solution | Field Capacity (%) Moisture Content | Drought Levels |
|---|---|---|
| Hydro-priming | ||
| Hydro-primed seedling + extreme water stress | 30% | Extreme drought |
| Hydro-primed seedling + moderate water stress | 50% | Moderate drought |
| Hydro-prime seedling + no water stress | 80% | No drought |
| Nutrient priming | ||
| ZnO primed seedling + extreme water stress | 30% | Extreme drought |
| ZnO primed seedling + moderate water stress | 50% | Moderate drought |
| ZnO primed seedling + no water stress | 80% | No drought |
| KnO3 primed seedling + extreme water stress | 30% | Extreme drought |
| KnO3 primed seedling + moderate water stress | 50% | Moderate drought |
| KnO3 primed seedling + no water stress | 80% | No drought |
| Control | ||
| Un-primed seedlings + extreme water stress | 30% | Extreme drought |
| Un-primed seedlings + moderate water stress | 50% | Moderate drought |
| Un-primed seedlings + no water stress | 80% | No drought |
| Property | Value |
|---|---|
| Total C (%) | 0.47 |
| Total N (%) | 0.038 |
| Available P (mg/kg) | 11.95 |
| Available Na (mg/kg) | 70.6 |
| Exchangeable Na_me (cmol/kg) | 0.3071 |
| Available K (mg/kg) | 140 |
| Exchangeable K_me (cmol/kg) | 0.3581 |
| Available Ca (mg/kg) | 1640 |
| Exchangeable Ca_me (cmol/kg) | 8.1836 |
| Available Mg (mg/kg) | 711 |
| Exchangeable Mg_me (cmol/kg) | 5.8519 |
| RESIST (Ohms) | 700 |
| pH | 7.25 |
| Zn (mg/kg) | 4.03 |
| Clay (%) | 28 |
| Sand (%) | 64 |
| Silt (%) | 8 |
| Treatment | DF | NO: Leaves | SH (cm) | RL (cm) | FSW(g) | DSW(g) | SD (mm) | CCI (SPAD) | SVI |
|---|---|---|---|---|---|---|---|---|---|
| NSP | 3 | 0.0003 * | 0.0002 * | 0.0502 | 0.0002 * | 0.0007 * | <0.0001 * | 0.1356 | 0.0023 * |
| Moisture stress | 2 | <0.0001 * | <0.0001 * | 0.8807 | <0.0001 * | <0.0001 * | <0.0001 * | 0.0001 * | 0.0618 |
| Nutrient × moisture stress | 6 | 0.6727 | 0.3208 | 0.1909 | 0.3608 | 0.0334 * | 0.7488 | 0.2135 | 0.3331 |
| (A) | ||||
| Treatment | Number of Leaves | Stem Height (cm) | Fresh Seedling Weight (g) | Stem Diameter (mm) |
| KnO3 | 9.6 ± 2.3 a | 10.4 ±1.6 a | 2.5 ± 0.8 a | 2.4 ± 0.3 a |
| ZnO | 8.8 ±1.5 ab | 10.5 ± 2.4 a | 2.4 ± 0.8 a | 2.5 ± 0.5 a |
| H2O | 8.1 ± 1.8 b | 9.2 ± 2.7 b | 1.6 ± 1.0 b | 2.1 ± 0.5 b |
| No-Priming | 6.6 ± 1.1 c | 8.1 ± 2.1 c | 1.4 ± 0.8 b | 1.9 ± 0.6 b |
| (B) | ||||
| Field Capacity | Number of leaves | Stem Height (cm) | Fresh Seedling (g) | Stem Diameter (mm) |
| 80% | 9.5 ± 1.9 a | 11.7 ± 1.5 a | 2.8 ± 0.5 a | 2.6 ± 0.3 a |
| 50% | 8.8 ± 1.7 a | 9.7 ±1.4 b | 1.9 ± 0.9 b | 2.2 ± 0.3 b |
| 30% | 6.6 ± 1.2 b | 7.3 ± 1.5 c | 1.2 ± 0.6 c | 1.7 ± 0.4 c |
| Treatment | DF | N | P | K | Zn |
|---|---|---|---|---|---|
| Nutrient | 3 | 0.0009 * | <0.0001 * | 0.0010 * | 0.0010 * |
| Moisture% | 2 | 0.6684 | 0.4023 | 0.9455 | 0.9649 |
| Nutrient × moisture | 6 | 0.3185 | 0.1827 | 0.2287 | 0.0231 * |
Disclaimer/Publisher’s Note: The statements, opinions and data contained in all publications are solely those of the individual author(s) and contributor(s) and not of MDPI and/or the editor(s). MDPI and/or the editor(s) disclaim responsibility for any injury to people or property resulting from any ideas, methods, instructions or products referred to in the content. |
© 2025 by the authors. Licensee MDPI, Basel, Switzerland. This article is an open access article distributed under the terms and conditions of the Creative Commons Attribution (CC BY) license (https://creativecommons.org/licenses/by/4.0/).
Share and Cite
Maphalaphathwa, M.; Nciizah, A.D. Nutrient Seed Priming Effects on Water Stress Tolerance and Nutrient Uptake of Chilies (Capsicum annum L.). Agronomy 2025, 15, 930. https://doi.org/10.3390/agronomy15040930
Maphalaphathwa M, Nciizah AD. Nutrient Seed Priming Effects on Water Stress Tolerance and Nutrient Uptake of Chilies (Capsicum annum L.). Agronomy. 2025; 15(4):930. https://doi.org/10.3390/agronomy15040930
Chicago/Turabian StyleMaphalaphathwa, Mufunwa, and Adornis Dakarai Nciizah. 2025. "Nutrient Seed Priming Effects on Water Stress Tolerance and Nutrient Uptake of Chilies (Capsicum annum L.)" Agronomy 15, no. 4: 930. https://doi.org/10.3390/agronomy15040930
APA StyleMaphalaphathwa, M., & Nciizah, A. D. (2025). Nutrient Seed Priming Effects on Water Stress Tolerance and Nutrient Uptake of Chilies (Capsicum annum L.). Agronomy, 15(4), 930. https://doi.org/10.3390/agronomy15040930

