Soil Organic Carbon Stocks Under Daylily Cultivation and Their Influencing Factors in the Agro-Pastoral Ecotone of Northern China
Abstract
1. Introduction
2. Materials and Methods
2.1. Site Description
2.2. Soil Sampling
2.3. Analysis of Soil Physical and Chemical Parameters
2.4. Statistical Analysis
3. Results
3.1. Effects of Planting Daylilies on SOC Stocks at 0–100 cm Depth
3.2. Effect of Planting Daylily on SOC Density of Profile
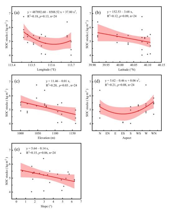
3.3. Influence of Geographic Factors on SOC Stocks at 0–100 cm Depth
3.4. Influence of Soil Physical and Chemical Properties on SOC Density
4. Discussion
4.1. Effects of Daylilies on SOC Stocks at 0–100 cm Depth and Profile SOC Density
4.2. Influencing Factors of SOC Stocks and Profile SOC Density
4.3. Significance and Limitations
5. Conclusions
Author Contributions
Funding
Data Availability Statement
Conflicts of Interest
Abbreviations
| LD | Long-term daylily cultivation |
| SD | Short-term daylily cultivation |
| CK | Long-term maize cultivation |
| S.D. | Standard deviation |
| BD | Soil bulk density |
| SWC | Soil water content |
| SOC | Soil organic carbon |
| TN | Soil total nitrogen |
| AP | Soil available phosphorus |
| AK | Soil available potassium |
| SEM | structural equation modeling |
References
- Ferchaud, F.; Vitte, G.; Mary, B. Changes in soil carbon stocks under perennial and annual bioenergy crops. GCB Bioenergy 2016, 8, 290–306. [Google Scholar] [CrossRef]
- Carvalho, J.L.N.; Hudiburg, T.W.; Franco, H.C.J.; DeLucia, E.H. Contribution of above- and belowground bioenergy crop residues to soil carbon. GCB Bioenergy 2017, 9, 1333–1343. [Google Scholar] [CrossRef]
- Chimento, C.; Almagro, M.; Amaducci, S. Carbon sequestration potential in perennial bioenergy crops: The importance of organic matter inputs and its physical protection. GCB Bioenergy 2016, 8, 111–121. [Google Scholar] [CrossRef]
- McGowan, A.R.; Nicoloso, R.S.; Diop, H.E.; Roozeboom, K.L.; Rice, C.W. Soil Organic Carbon, Aggregation, and Microbial Community Structure in Annual and Perennial Biofuel Crops. Agron. J. 2019, 111, 128–142. [Google Scholar] [CrossRef]
- Rui, Y.; Jackson, R.D.; Cotrufo, M.F.; Sanford, G.R.; Spiesman, B.J.; Deiss, L.; Culman, S.W.; Liang, C.; Ruark, M.D. Persistent soil carbon enhanced in Mollisols by well-managed grasslands but not annual grain or dairy forage cropping systems. Proc. Natl. Acad. Sci. USA 2022, 119, e2118931119. [Google Scholar] [CrossRef]
- Ledo, A.; Smith, P.; Zerihun, A.; Whitaker, J.; Vicente-Vicente, J.L.; Qin, Z.C.; McNamara, N.P.; Zinn, Y.L.; Llorente, M.; Liebig, M.; et al. Changes in soil organic carbon under perennial crops. Global Change Biol. 2020, 26, 4158–4168. [Google Scholar] [CrossRef]
- Siddique, I.A.; Grados, D.; Chen, J.; Laerke, P.E.; Jorgensen, U. Soil organic carbon stock change following perennialization: A meta-analysis. Agron. Sustain. Dev. 2023, 43, 18. [Google Scholar] [CrossRef]
- Wang, L.; Tang, L.L.; Wang, X.; Chen, F. Effects of alley crop planting on soil and nutrient losses in the citrus orchards of the Three Gorges Region. Soil Tillage Res. 2010, 110, 243–250. [Google Scholar] [CrossRef]
- Zheng, H.J.; Li, H.R.; Mo, M.H.; Song, Y.J.; Liu, Z.; Zhang, H.M. Quantified Benefits of Cultivating Daylily (Hemerocallis citrina) Hedgerows over Multiple Years on Sloped Red-Soil Farmland, Southern China. J. Soil Sci. Plant Nutr. 2021, 21, 69–80. [Google Scholar] [CrossRef]
- Li, X.K.; Cui, J.L.; Qin, X.M.; Wang, J.H.; Wang, M.L. Metabolic and transcriptional regulatory mechanisms of differential carbohydrates formation from flower buds to flowers of Hemerocallis citrina. Sci. Hortic. 2023, 308, 111553. [Google Scholar] [CrossRef]
- Ou, X.; Liu, G.; Wu, L.-H. The complete chloroplast genome of Hemerocallis citrina (Asphodelaceae), an ornamental and medicinal plant. Mitochondrial DNA B 2020, 5, 1109–1110. [Google Scholar] [CrossRef] [PubMed]
- Ma, X.R.; Wang, L.D.; Zhu, H.F.; Peng, J.J.; Bi, R.T. Impact of Soil Factors on the Yield and Agronomic Traits of Hemerocallis citrina Baroni in the Agro-Pastoral Ecotone of Northern China. Agronomy 2024, 14, 967. [Google Scholar] [CrossRef]
- Dungait, J.A.; Hopkins, D.W.; Gregory, A.S.; Whitmore, A.P. Soil organic matter turnover is governed by accessibility not recalcitrance. Global Change Biol. 2012, 18, 1781–1796. [Google Scholar] [CrossRef]
- Lehmann, J.; Kleber, M. The contentious nature of soil organic matter. Nature 2015, 528, 60–68. [Google Scholar] [CrossRef] [PubMed]
- Luo, Z.; Feng, W.; Luo, Y.; Baldock, J.; Wang, E. Soil organic carbon dynamics jointly controlled by climate, carbon inputs, soil properties and soil carbon fractions. Global Change Biol. 2017, 23, 4430–4439. [Google Scholar] [CrossRef]
- Carvalhais, N.; Forkel, M.; Khomik, M.; Bellarby, J.; Jung, M.; Migliavacca, M.; Saatchi, S.; Santoro, M.; Thurner, M.; Weber, U. Global covariation of carbon turnover times with climate in terrestrial ecosystems. Nature 2014, 514, 213–217. [Google Scholar] [CrossRef]
- Xin, Z.; Qin, Y.; Yu, X. Spatial variability in soil organic carbon and its influencing factors in a hilly watershed of the Loess Plateau, China. Catena 2016, 137, 660–669. [Google Scholar] [CrossRef]
- Jackson, R.; Schenk, H.; Jobbagy, E.; Canadell, J.; Colello, G.; Dickinson, R.; Field, C.; Friedlingstein, P.; Heimann, M.; Hibbard, K. Belowground consequences of vegetation change and their treatment in models. Ecol. Appl. 2000, 10, 470–483. [Google Scholar]
- Xia, S.; Song, Z.; Van Zwieten, L.; Guo, L.; Yu, C.; Wang, W.; Li, Q.; Hartley, I.P.; Yang, Y.; Liu, H. Storage, patterns and influencing factors for soil organic carbon in coastal wetlands of China. Global Change Biol. 2022, 28, 6065–6085. [Google Scholar] [CrossRef]
- Sun, H.; Jiang, J.; Cui, L.; Feng, W.; Wang, Y.; Zhang, J. Soil organic carbon stabilization mechanisms in a subtropical mangrove and salt marsh ecosystems. Sci. Total Environ. 2019, 673, 502–510. [Google Scholar] [CrossRef]
- Duan, X.; Yu, X.; Li, Z.; Wang, Q.; Liu, Z.; Zou, Y. Iron-bound organic carbon is conserved in the rhizosphere soil of freshwater wetlands. Soil Biol. Biochem. 2020, 149, 107949. [Google Scholar] [CrossRef]
- Feng, W.; Plante, A.F.; Six, J. Improving estimates of maximal organic carbon stabilization by fine soil particles. Biogeochemistry 2013, 112, 81–93. [Google Scholar] [CrossRef]
- Sui, X.; Zhang, R.; Frey, B.; Yang, L.; Liu, Y.; Ni, H.; Li, M.H. Soil physicochemical properties drive the variation in soil microbial communities along a forest successional series in a degraded wetland in northeastern China. Ecol. Evol. 2021, 11, 2194–2208. [Google Scholar] [CrossRef]
- Zhang, Y.; Li, C.; Trettin, C.C.; Li, H.; Sun, G. An integrated model of soil, hydrology, and vegetation for carbon dynamics in wetland ecosystems. Global Biogeochem. Cycles 2002, 16, 1061. [Google Scholar] [CrossRef]
- Yang, R.M. Interacting Effects of Plant Invasion, Climate, and Soils on Soil Organic Carbon Storage in Coastal Wetlands. J. Geophys. Res. Biogeosci. 2019, 124, 2554–2564. [Google Scholar] [CrossRef]
- Shi, S.W.; Zhang, W.; Zhang, P.; Yu, Y.Q.; Ding, F. A synthesis of change in deep soil organic carbon stores with afforestation of agricultural soils. For. Ecol. Manag. 2013, 296, 53–63. [Google Scholar] [CrossRef]
- Syswerda, S.P.; Corbin, A.T.; Mokma, D.L.; Kravchenko, A.N.; Robertson, G.P. Agricultural Management and Soil Carbon Storage in Surface vs. Deep Layers. Soil Sci. Soc. Am. J. 2011, 75, 92–101. [Google Scholar] [CrossRef]
- Gauder, M.; Billen, N.; Zikeli, S.; Laub, M.; Graeff-Hönninger, S.; Claupein, W. Soil carbon stocks in different bioenergy cropping systems including subsoil. Soil Tillage Res. 2016, 155, 308–317. [Google Scholar] [CrossRef]
- Guo, Z.C.; Li, Y.Q.; Wang, X.Y.; Gong, X.W.; Chen, Y.; Cao, W.J. Remote Sensing of Soil Organic Carbon at Regional Scale Based on Deep Learning: A Case Study of Agro-Pastoral Ecotone in Northern China. Remote Sens. 2023, 15, 3846. [Google Scholar] [CrossRef]
- Wang, X.Y.; Li, Y.G.; Gong, X.W.; Niu, Y.Y.; Chen, Y.P.; Shi, X.P.; Li, W. Storage, pattern and driving factors of soil organic carbon in an ecologically fragile zone of northern China. Geoderma 2019, 343, 155–165. [Google Scholar] [CrossRef]
- Lu, H.Y.; Chen, X.Y.; Ma, K.; Zhou, S.W.; Yi, J.L.; Qi, Y.J.; Hao, J.L.; Chen, F.; Wen, X.Y. Soil health assessment under different soil and irrigation types in the agro-pastoral ecotone of northern China. Catena 2024, 235, 107655. [Google Scholar] [CrossRef]
- Bao, S. Soil Agro-Chemistrical Analysis; China Agriculture Press: Beijing, China, 2008. (In Chinese) [Google Scholar]
- Xu, Y.; Zhou, J.; Liu, C.Y.; Jia, R.; Ji, H.J.; Dippold, M.A.; Zhao, T.; Pavinato, P.S.; Peixoxo, L.; Yang, Y.D.; et al. Long-term rotational and perennial cropping benefit soil organic carbon stocks and ecosystem multifunctionality. Ind. Crops Prod. 2024, 209, 117980. [Google Scholar] [CrossRef]
- Jin, Z.W.; Ping, L.F.; Wong, M.H. Systematic relationship between soil properties and organic carbon mineralization based on structural equation modeling analysis. J. Clean. Prod. 2020, 277, 123338. [Google Scholar] [CrossRef]
- Zhu, H.F.; Zhao, Y.; Nan, F.; Duan, Y.H.; Bi, R.T. Relative influence of soil chemistry and topography on soil available micronutrients by structural equation modeling. J. Soil Sci. Plant Nutr. 2016, 16, 1038–1051. [Google Scholar] [CrossRef]
- Ding, H.X.; Zhu, H.F.; Sun, R.P.; Wen, W.J.; Bi, R.T. Variation in the physical properties of soil in relation to natural and anthropogenic factors in the hilly loess region of China. Catena 2024, 236, 107751. [Google Scholar] [CrossRef]
- Balesdent, J.; Basile-Doelsch, I.; Chadoeuf, J.; Cornu, S.; Derrien, D.; Fekiacova, Z.; Hatté, C. Atmosphere-soil carbon transfer as a function of soil depth. Nature 2018, 559, 599–602. [Google Scholar] [CrossRef]
- Zhou, Z.; Tian, F.; Zhao, X.; Zhang, K.; Han, S. Short-term but not long-term perennial mugwort cropping increases soil organic carbon in Northern China Plain. Front. Plant Sci. 2022, 13, 975169. [Google Scholar] [CrossRef]
- Gentile, R.M.; Malepfane, N.M.; van den Dijssel, C.; Arnold, N.; Liu, J.; Müller, K. Comparing deep soil organic carbon stocks under kiwifruit and pasture land uses in New Zealand. Agric. Ecosyst. Environ. 2021, 306, 107190. [Google Scholar] [CrossRef]
- Chen, J.; Luo, Y.Q.; Kätterer, T.; Olesen, J.E. Depth-dependent responses of soil organic carbon stock under annual and perennial cropping systems. Proc. Natl. Acad. Sci. USA 2022, 119, e2203486119. [Google Scholar] [CrossRef]
- Lemus, R.; Lal, R. Bioenergy crops and carbon sequestration. Crit. Rev. Plant Sci. 2005, 24, 1–21. [Google Scholar] [CrossRef]
- Tang, F.H.M.; Crews, T.E.; Brunsell, N.A.; Vico, G. Perennial intermediate wheatgrass accumulates more soil organic carbon than annual winter wheat—A model assessment. Plant Soil 2024, 494, 509–528. [Google Scholar] [CrossRef]
- Reynolds, W.D.; Bowman, B.T.; Drury, C.F.; Tan, C.S.; Lu, X. Indicators of good soil physical quality: Density and storage parameters. Geoderma 2002, 110, 131–146. [Google Scholar] [CrossRef]
- Shahzad, T.; Chenu, C.; Genet, P.; Barot, S.; Perveen, N.; Mougin, C.; Fontaine, S. Contribution of exudates, arbuscular mycorrhizal fungi and litter depositions to the rhizosphere priming effect induced by grassland species. Soil Biol. Biochem. 2015, 80, 146–155. [Google Scholar] [CrossRef]
- Rasse, D.P.; Rumpel, C.; Dignac, M.F. Is soil carbon mostly root carbon? Mechanisms for a specific stabilisation. Plant Soil 2005, 269, 341–356. [Google Scholar] [CrossRef]
- Thiessen, S.; Gleixner, G.; Wutzler, T.; Reichstein, M. Both priming and temperature sensitivity of soil organic matter decomposition depend on microbial biomass—An incubation study. Soil Biol. Biochem. 2013, 57, 739–748. [Google Scholar] [CrossRef]
- Wutzler, T.; Reichstein, M. Priming and substrate quality interactions in soil organic matter models. Biogeosciences 2013, 10, 2089–2103. [Google Scholar] [CrossRef]
- Smith, P. Soils as carbon sinks: The global context. Soil Use Manag. 2004, 20, 212–218. [Google Scholar] [CrossRef]
- Zhang, K.; Dang, H.; Tan, S.; Cheng, X.; Zhang, Q. Change in soil organic carbon following the ‘Grain-for-Green’programme in China. Land Degrad. Dev. 2010, 21, 13–23. [Google Scholar] [CrossRef]
- Laganiere, J.; Angers, D.A.; Pare, D. Carbon accumulation in agricultural soils after afforestation: A meta-analysis. Global Change Biol. 2010, 16, 439–453. [Google Scholar] [CrossRef]
- Wu, Y.N.; Huang, H.R.; Chen, F.; Tan, T.S.; Xu, Y. Soil organic carbon sequestration rate and spatiotemporal dynamics under perennial energy crops cultivation: A global meta-analysis. Soil Tillage Res. 2024, 240, 106064. [Google Scholar] [CrossRef]
- Wang, X.W.; Li, X.Z.; Hu, Y.M.; Lv, J.J.; Sun, J.; Li, Z.M.; Wu, Z.F. Effect of temperature and moisture on soil organic carbon mineralization of predominantly permafrost peatland in the Great Hing’an Mountains, Northeastern China. J. Environ. Sci. 2010, 22, 1057–1066. [Google Scholar] [CrossRef]
- Chen, S.T.; Huang, Y.; Zou, J.W.; Shi, Y.S. Mean residence time of global topsoil organic carbon depends on temperature, precipitation and soil nitrogen. Glob. Planet. Change 2013, 100, 99–108. [Google Scholar] [CrossRef]
- Bangroo, S.A.; Najar, G.R.; Rasool, A. Effect of altitude and aspect on soil organic carbon and nitrogen stocks in the Himalayan Mawer Forest Range. Catena 2017, 158, 63–68. [Google Scholar] [CrossRef]
- Zhu, H.F.; Nan, F.; Xu, Z.J.; Jing, Y.D.; Duan, Y.H.; Bi, R.T. Multi-scale spatial relationships between soil organic matter and influencing factors in basins of the Chinese Loess Plateau. Acta Ecol. Sin. 2017, 37, 8348–8360. [Google Scholar] [CrossRef][Green Version]
- Nan, F.S.; Li, Z.X.; Zhang, X.P.; Cui, Q.; Li, Y.C.; Xiong, X.T.; Yang, X.J.; Yang, A.L. Spatial Distribution Characteristics and Influencing Factors of Soil Organic Carbon Density in Yellow River Basin Based on MGWR Mode. Environ. Sci. 2023, 44, 912–923. [Google Scholar] [CrossRef]
- Yang, J.G.; Zhang, L.W.; Guo, X.; Lu, Y.X.; Guo, H.; Zhang, Y.M.; Zhou, X.B. Vertical Distribution Characteristics and Influencing Factors of Soil Organic Carbon under Biological Soil Crusts in the Gurbantunggut Desert. Acta Ecol. Sin. 2024, 44, 2946–2954. [Google Scholar] [CrossRef]
- Rosinger, C.; Keiblinger, K.; Bieber, M.; Bernardini, L.G.; Huber, S.; Mentler, A.; Sae-Tun, O.; Scharf, B.; Bodner, G. On-farm soil organic carbon sequestration potentials are dominated by site effects, not by management practices. Geoderma 2023, 433, 116466. [Google Scholar] [CrossRef]
- Fan, L.; Han, W. Soil respiration after forest conversion to tea gardens: A chronosequence study. Catena 2020, 190, 104532. [Google Scholar] [CrossRef]
- Lal, R. Soil carbon sequestration impacts on global climate change and food security. Science 2004, 304, 1623–1627. [Google Scholar] [CrossRef]
- Thapa, R.B.; Budhathoki, S.; Shilpakar, C.; Panday, D.; Alsunuse, B.; Tang, S.X.; Stahl, P.D. Enhancing Corn Yield and Soil Quality in Irrigated Semiarid Region with Coal Char and Biochar Amendments. Soil Syst. 2024, 8, 82. [Google Scholar] [CrossRef]
- Di, S.; Zong, M.; Li, S.; Li, H.; Duan, C.; Peng, C.; Zhao, Y.; Bai, J.; Lin, C.; Feng, Y. The effects of the soil environment on soil organic carbon in tea plantations in Xishuangbanna, southwestern China. Agric. Ecosyst. Environ. 2020, 297, 106951. [Google Scholar] [CrossRef]
- Mora, J.L.; Guerra, J.A.; Armas-Herrera, C.M.; Arbelo, C.D.; Rodríguez-Rodríguez, A. Storage and depth distribution of organic carbon in volcanic soils as affected by environmental and pedological factors. Catena 2014, 123, 163–175. [Google Scholar] [CrossRef]
- Hobley, E.; Wilson, B.; Wilkie, A.; Gray, J.; Koen, T. Drivers of soil organic carbon storage and vertical distribution in Eastern Australia. Plant Soil 2015, 390, 111–127. [Google Scholar] [CrossRef]
- Jobbágy, E.G.; Jackson, R.B. The vertical distribution of soil organic carbon and its relation to climate and vegetation. Ecol. Appl. 2000, 10, 423–436. [Google Scholar] [CrossRef]
- Six, J.; Elliott, E.; Paustian, K. Soil structure and soil organic matter II. A normalized stability index and the effect of mineralogy. Soil Sci. Soc. Am. J. 2000, 64, 1042–1049. [Google Scholar] [CrossRef]
- Berhe, A.A.; Harte, J.; Harden, J.W.; Torn, M.S. The significance of the erosion-induced terrestrial carbon sink. Bioscience 2007, 57, 337–346. [Google Scholar] [CrossRef]







| Site /Village | Latitude (°N) | Longitude (°E) | Elevation (m) | Aspect (°) | Slope (°) | SOC (g kg−1) | BD (g cm−3) | SWC (%) | pH |
|---|---|---|---|---|---|---|---|---|---|
| ZGZ | 40.10 | 113.57 | 1108.85 | 170.88 | 3.25 | 9.80 | 1.39 | 9.26 | 9.27 |
| XYJ | 40.09 | 113.54 | 1076.44 | 237.84 | 3.59 | 8.49 | 1.41 | 5.91 | 8.96 |
| DS | 40.08 | 113.46 | 1047.08 | 274.11 | 2.62 | 9.13 | 1.25 | 9.43 | 8.61 |
| GJYT | 40.03 | 113.51 | 1020.86 | 266.75 | 6.06 | 8.29 | 1.41 | 5.61 | 9.53 |
| SYJ | 40.11 | 113.55 | 1116.84 | 253.73 | 4.05 | 7.96 | 1.36 | 3.68 | 8.63 |
| SZZ | 40.08 | 113.70 | 1155.64 | 126.38 | 4.05 | 8.49 | 1.25 | 5.06 | 9.13 |
| XJB | 39.92 | 113.69 | 1078.61 | 206.44 | 2.45 | 7.65 | 1.35 | 4.45 | 9.20 |
| SJZ | 39.99 | 113.48 | 1000.97 | 269.53 | 1.40 | 6.79 | 1.39 | 5.92 | 8.73 |
| Treatments | Site/Village | Mean | |||||||
|---|---|---|---|---|---|---|---|---|---|
| ZGZ | XYJ | DS | GJYT | SYJ | SZZ | XJB | SJZ | ||
| LD | 5.37 | 5.28 | 6.78 | 5.43 | 5.50 | 4.98 | 6.40 | 5.50 | 5.66 A |
| SD | 4.87 | 5.22 | 5.84 | 4.89 | 4.68 | 4.41 | 5.42 | 5.35 | 5.09 AB |
| CK | 4.08 | 5.24 | 5.28 | 4.79 | 4.11 | 4.02 | 5.33 | 4.92 | 4.72 B |
| Mean | 4.77 bc | 5.25 abc | 5.97 a | 5.04 abc | 4.77 bc | 4.47 c | 5.72 ab | 5.26 abc | 5.15 |
| Soil Properties | LD | SD | CK |
|---|---|---|---|
| SOC (g kg−1) | 4.92 ± 0.50 A | 4.32 ± 0.28 B | 4.03 ± 0.29 B |
| TN (g kg−1) | 0.48 ± 0.06 A | 0.43 ± 0.05 B | 0.40 ± 0.03 B |
| AP (mg kg−1) | 7.20 ± 1.71 | 6.73 ± 2.20 | 7.94 ± 2.48 |
| AK (mg kg−1) | 67.52 ± 13.63 | 63.29 ± 19.08 | 69.54 ± 17.55 |
| pH | 9.16 ± 0.32 | 9.07 ± 0.33 | 9.06 ± 0.34 |
| BD (g cm−3) | 1.39 ± 0.08 | 1.43 ± 0.05 | 1.44 ± 0.06 |
| SWC (%) | 8.79 ± 3.22 | 9.69 ± 2.35 | 9.25 ± 2.99 |
| Clay (%) | 3.84 ± 2.06 | 3.38 ± 1.08 | 3.62 ± 1.15 |
| Silt (%) | 38.91 ± 12.41 | 39.20 ± 5.38 | 39.28 ± 6.15 |
| Sand (%) | 57.25 ± 14.06 | 57.40 ± 6.37 | 57.07 ± 7.07 |
Disclaimer/Publisher’s Note: The statements, opinions and data contained in all publications are solely those of the individual author(s) and contributor(s) and not of MDPI and/or the editor(s). MDPI and/or the editor(s) disclaim responsibility for any injury to people or property resulting from any ideas, methods, instructions or products referred to in the content. |
© 2025 by the authors. Licensee MDPI, Basel, Switzerland. This article is an open access article distributed under the terms and conditions of the Creative Commons Attribution (CC BY) license (https://creativecommons.org/licenses/by/4.0/).
Share and Cite
Wang, Z.; Yao, Z.; Zhu, H.; Bi, R. Soil Organic Carbon Stocks Under Daylily Cultivation and Their Influencing Factors in the Agro-Pastoral Ecotone of Northern China. Agronomy 2025, 15, 756. https://doi.org/10.3390/agronomy15030756
Wang Z, Yao Z, Zhu H, Bi R. Soil Organic Carbon Stocks Under Daylily Cultivation and Their Influencing Factors in the Agro-Pastoral Ecotone of Northern China. Agronomy. 2025; 15(3):756. https://doi.org/10.3390/agronomy15030756
Chicago/Turabian StyleWang, Zhen, Zelong Yao, Hongfen Zhu, and Rutian Bi. 2025. "Soil Organic Carbon Stocks Under Daylily Cultivation and Their Influencing Factors in the Agro-Pastoral Ecotone of Northern China" Agronomy 15, no. 3: 756. https://doi.org/10.3390/agronomy15030756
APA StyleWang, Z., Yao, Z., Zhu, H., & Bi, R. (2025). Soil Organic Carbon Stocks Under Daylily Cultivation and Their Influencing Factors in the Agro-Pastoral Ecotone of Northern China. Agronomy, 15(3), 756. https://doi.org/10.3390/agronomy15030756

