Exploring the Spatial Distribution Characteristics of Urban Soil Heavy Metals in Different Levels of Urbanization
Abstract
1. Introduction
2. Materials and Methods
2.1. Study Area
2.2. Soil Samples
2.3. Environmental Factors
2.4. Methods
2.5. Evaluation Indexes
3. Results
3.1. Basic Statistics of Soil Heavy Metals
3.2. Prediction and Mapping of Soil Heavy Metals
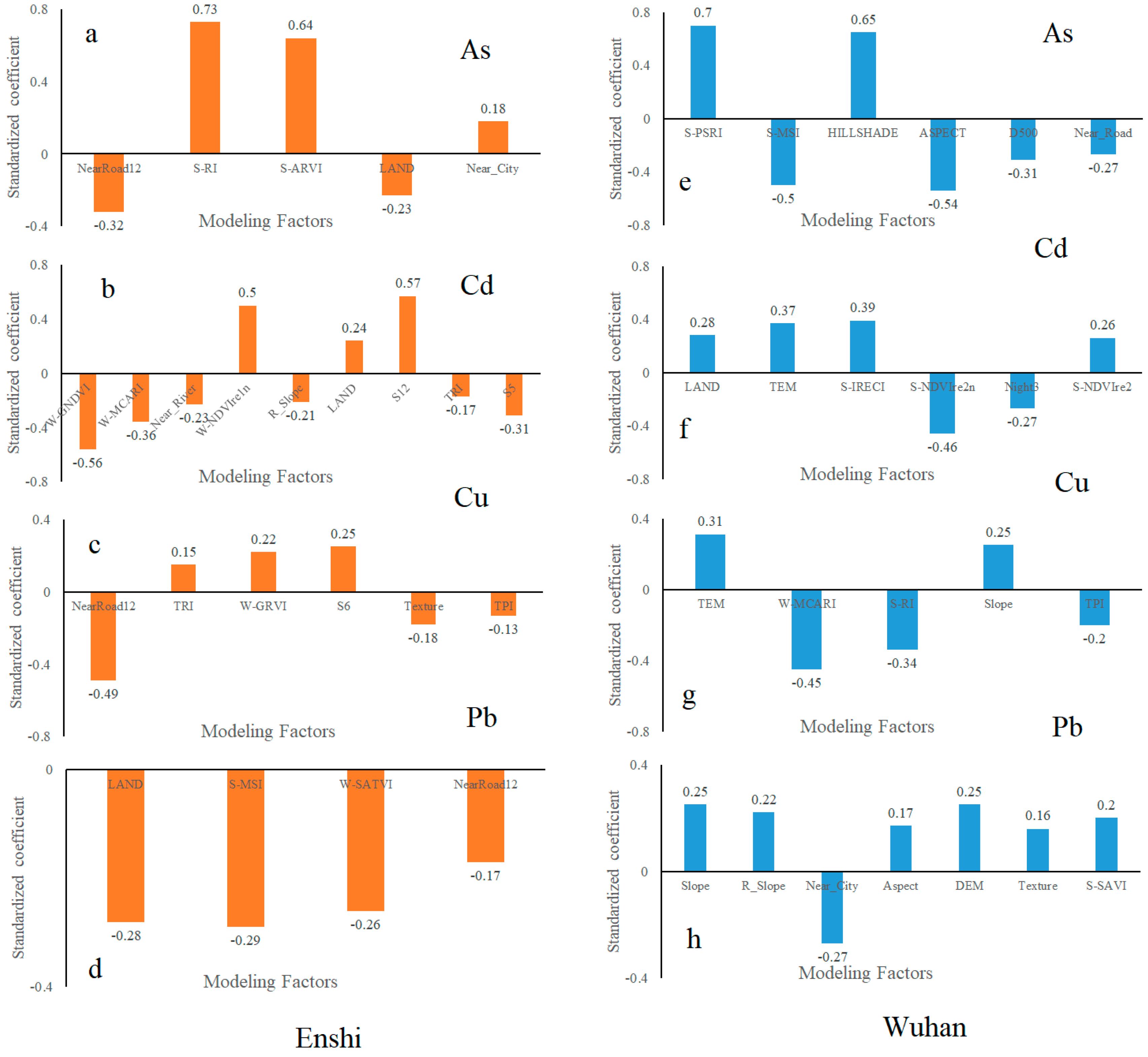
3.3. The Varying Spatial Relationships Between Soil Heavy Metals and Influence Factors
4. Discussion
4.1. Exploring the Pollution Sources Identification and Source Apportionment Quantification of Soil Heavy Metals from a Spatial Perspective
4.2. Exploring the Major Influencing Factors of Soil Heavy Metals
5. Conclusions
Supplementary Materials
Author Contributions
Funding
Data Availability Statement
Conflicts of Interest
References
- Huang, Y.; Li, T.; Wu, C.; He, Z.; Japenga, J.; Deng, M.; Yang, X. An integrated approach to assess heavy metal source apportionment in peri-urban agricultural soils. J. Hazard. Mater. 2015, 299, 540–549. [Google Scholar] [CrossRef]
- Choi, J.; Hwang, M.; Kim, G.; Seong, J.; Ahn, J. Supporting the measurement of the United Nations’ sustainable development goal 11 through the use of national urban information systems and open geospatial technologies: A case study of south Korea. Open Geospat. Data Softw. Stand. 2016, 1, 4. [Google Scholar] [CrossRef]
- Huang, Y.; Deng, M.; Wu, S.; Japenga, J.; Li, T.; Yang, X.; He, Z. A modified receptor model for source apportionment of heavy metal pollution in soil. J. Hazard. Mater. 2018, 354, 161–169. [Google Scholar] [CrossRef] [PubMed]
- Jia, X.; Fu, T.; Hu, B.; Shi, Z.; Zhou, L.; Zhu, Y. Identification of the potential risk areas for soil heavy metal pollution based on the source-sink theory. J. Hazard. Mater. 2020, 393, 122424–122432. [Google Scholar] [CrossRef] [PubMed]
- Yuanan, H.; He, K.; Sun, Z.; Chen, G.; Cheng, H. Quantitative source apportionment of heavy metal(loid)s in the agricultural soils of an industrializing region and associated model uncertainty. J. Hazard. Mater. 2020, 391, 122244. [Google Scholar] [CrossRef] [PubMed]
- Shi, T.; Guo, L.; Chen, Y.; Wang, W.; Shi, Z.; Li, Q.; Wu, G. Proximal and remote sensing techniques for mapping of soil contamination with heavy metals. Appl. Spectrosc. Rev. 2018, 53, 783–805. [Google Scholar] [CrossRef]
- Sun, Y.; Li, H.; Guo, G.; Semple, K.T.; Jones, K.C. Soil contamination in China: Current priorities, defining background levels and standards for heavy metals. J. Environ. Manag. 2019, 251, 109512. [Google Scholar] [CrossRef]
- Liu, Y.; Lv, J.; Zhang, B.; Bi, J. Spatial multi-scale variability of soil nutrients in relation to environmental factors in a typical agricultural region, Eastern China. Sci. Total Environ. 2013, 450–451, 108–119. [Google Scholar] [CrossRef] [PubMed]
- Hou, D.; O’Connor, D.; Nathanail, P.; Tian, L.; Ma, Y. Integrated GIS and multivariate statistical analysis for regional scale assessment of heavy metal soil contamination: A critical review. Environ. Pollut. 2017, 231, 1188–1200. [Google Scholar] [CrossRef] [PubMed]
- Duoyong, Z.; Cheng, W.; Lian, Y.; Jingrong, Z.; Jun, Z.; Maimaiti, A.; Hongyan, Z. Source identification and transfer route of heavy metal pollution in environment-plant-human system (a REVIEW). Agric. Eng. 2013, 3, 55–58. [Google Scholar]
- Li, Z.; Ma, Z.; van der Kuijp, T.J.; Yuan, Z.; Huang, L. A review of soil heavy metal pollution from mines in China: Pollution and health risk assessment. Sci. Total Environ. 2014, 468, 843–853. [Google Scholar] [CrossRef]
- Liu, J.; Chen, H.; Yao, L.; Wei, Z.; Lou, L.; Shan, Y.; Endalkachew, S.-D.; Mallikarjuna, N.; Hu, B.; Zhou, X. The spatial distribution of pollutants in pipe-scale of large-diameter pipelines in a drinking water distribution system. J. Hazard. Mater. 2016, 317, 27–35. [Google Scholar] [CrossRef] [PubMed]
- Lv, J.; Liu, Y.; Zhang, Z.; Dai, J. Factorial kriging and stepwise regression approach to identify environmental factors influencing spatial multi-scale variability of heavy metals in soils. J. Hazard. Mater. 2013, 261, 387–397. [Google Scholar] [CrossRef] [PubMed]
- Tiller, K. Heavy metals in soils and their environmental significance. In Advances in Soil Science; Springer: New York, NY, USA, 1989; pp. 113–142. [Google Scholar]
- Alloway, B.J. Heavy Metals in Soils: Trace Metals and Metalloids in Soils and Their Bioavailability; Springer Science & Business Media: Dordrecht, The Netherlands, 2012; Volume 22. [Google Scholar]
- Dragović, R.; Gajić, B.; Dragović, S.; Đorđević, M.; Đorđević, M.; Mihailović, N.; Onjia, A. Assessment of the impact of geographical factors on the spatial distribution of heavy metals in soils around the steel production facility in Smederevo (Serbia). J. Clean. Prod. 2014, 84, 550–562. [Google Scholar] [CrossRef]
- Imperato, M.; Adamo, P.; Naimo, D.; Arienzo, M.; Stanzione, D.; Violante, P. Spatial distribution of heavy metals in urban soils of Naples city (Italy). Environ. Pollut. 2003, 124, 247–256. [Google Scholar] [CrossRef] [PubMed]
- Liang, J.; Feng, C.; Zeng, G.; Gao, X.; Zhong, M.; Li, X.; Li, X.; He, X.; Fang, Y. Spatial distribution and source identification of heavy metals in surface soils in a typical coal mine city, Lianyuan, China. Environ. Pollut. 2017, 225, 681–690. [Google Scholar] [CrossRef] [PubMed]
- Li, C.; Li, F.; Wu, Z.; Cheng, J. Exploring spatially varying and scale-dependent relationships between soil contamination and landscape patterns using geographically weighted regression. Appl. Geogr. 2017, 82, 101–114. [Google Scholar] [CrossRef]
- Mohammadi, M.; Khaledi Darvishan, A.; Bahramifar, N. Spatial distribution and source identification of heavy metals (As, Cr, Cu and Ni) at sub-watershed scale using geographically weighted regression. Int. Soil Water Conserv. Res. 2019, 7, 308–315. [Google Scholar] [CrossRef]
- Yuan, Y.; Cave, M.; Xu, H.; Zhang, C. Exploration of spatially varying relationships between Pb and Al in urban soils of London at the regional scale using geographically weighted regression (GWR). J. Hazard. Mater. 2020, 393, 122377. [Google Scholar] [CrossRef] [PubMed]
- Rodríguez-Lado, L.; Martínez-Cortizas, A. Modelling and mapping organic carbon content of topsoils in an Atlantic area of southwestern Europe (Galicia, NW-Spain). Geoderma 2015, 245–246, 65–73. [Google Scholar] [CrossRef]
- Fotheringham, A.S. Trends in quantitative methods 1: Stressing the local. Prog. Hum. Geogr. 1997, 21, 88–96. [Google Scholar] [CrossRef]
- Nocita, M.; Stevens, A.; Toth, G.; Panagos, P.; van Wesemael, B.; Montanarella, L. Prediction of soil organic carbon content by diffuse reflectance spectroscopy using a local partial least square regression approach. Soil Biol. Biochem. 2014, 68, 337–347. [Google Scholar] [CrossRef]
- Wang, K.; Zhang, C.; Li, W. Predictive mapping of soil total nitrogen at a regional scale: A comparison between geographically weighted regression and cokriging. Appl. Geogr. 2013, 42, 73–85. [Google Scholar] [CrossRef]
- Kumar, S.; Lal, R.; Lloyd, C.D. Assessing spatial variability in soil characteristics with geographically weighted principal components analysis. Comput. Geosci. 2012, 16, 827–835. [Google Scholar] [CrossRef]
- Dai, L.; Wang, L.; Liang, T.; Zhang, Y.; Li, J.; Xiao, J.; Dong, L.; Zhang, H. Geostatistical analyses and co-occurrence correlations of heavy metals distribution with various types of land use within a watershed in eastern QingHai-Tibet Plateau, China. Sci. Total Environ. 2019, 653, 849–859. [Google Scholar] [CrossRef]
- Peng, C.; Wang, M.; Chen, W. Spatial Analysis of PAHs in Soils along an Urban–Suburban–Rural Gradient: Scale effect, distribution patterns, diffusion and influencing factors. Sci. Rep. 2016, 6, 37185. [Google Scholar] [CrossRef] [PubMed]
- Qu, M.; Chen, J.; Huang, B.; Zhao, Y. Exploring the spatially varying relationships between cadmium accumulations and the main influential factors in the rice-wheat rotation system in a large-scale area. Sci. Total Environ. 2020, 736, 139565. [Google Scholar] [CrossRef] [PubMed]
- Gong, P.; Liu, H.; Zhang, M.; Li, C.; Wang, J.; Huang, H.; Clinton, N.; Ji, L.; Li, W.; Bai, Y.; et al. Stable classification with limited sample: Transferring a 30-m resolution sample set collected in 2015 to mapping 10-m resolution global land cover in 2017. Sci. Bull. 2019, 64, 370–373. [Google Scholar] [CrossRef]
- Gong, P.; Li, X.; Zhang, W. 40-Year (1978–2017) human settlement changes in China reflected by impervious surfaces from satellite remote sensing. Sci. Bull. 2019, 64, 756–763. [Google Scholar] [CrossRef] [PubMed]
- Frank, E.H. Regression Modeling Strategies with Applications to Linear Models, Logistic and Ordinal Regression, and Survival Analysis; Springer: Cham, Switzerland, 2015. [Google Scholar]
- Du, Y.; Kang, F.; Huang, Z.; Wang, L.; Zhang, Y.; Li, D.; Zheng, G.; Zeng, R. A comparative study of four color measurement methods for soil color identification and related properties prediction. Comput. Electron. Agric. 2025, 230, 109801. [Google Scholar] [CrossRef]
- Xiang, C.; Xiao, H.; He, F.; Dai, Z.; Huang, W.; Zhu, B.; Liu, S. Prediction of soil heavy metal content around mine tailings using multiple methods combined with transformed hyperspectral reflectance data. Ore Energy Resour. Geol. 2024, 100072. [Google Scholar] [CrossRef]
- Sun, W.; Zhu, Y.Q.; Huang, S.L.; Guo, C.X. Mapping the mean annual precipitation of China using local interpolation techniques. Theor. Appl. Climatol. 2015, 119, 171–180. [Google Scholar] [CrossRef]
- Brunsdon, C.; Fotheringham, S.; Charlton, M. Geographically weighted regression. J. R. Stat. Soc. Ser. D (Stat.) 1998, 47, 431–443. [Google Scholar] [CrossRef]
- Charlton, M.; Fotheringham, S.; Brunsdon, C. Geographically Weighted Regression; White Paper; National Centre for Geocomputation, National University of Ireland Maynooth: Maynooth, Ireland, 2009. [Google Scholar]
- Fotheringham, A.S.; Brunsdon, C.; Charlton, M. Geographically Weighted Regression; Wiley: New York, NY, USA, 2002. [Google Scholar]
- Gogé, F.; Gomez, C.; Jolivet, C.; Joffre, R. Which strategy is best to predict soil properties of a local site from a national Vis–NIR database? Geoderma 2014, 213, 1–9. [Google Scholar] [CrossRef]
- Bellon-Maurel, V.; Fernandez-Ahumada, E.; Palagos, B.; Roger, J.-M.; McBratney, A. Critical review of chemometric indicators commonly used for assessing the quality of the prediction of soil attributes by NIR spectroscopy. TrAC Trends Anal. Chem. 2010, 29, 1073–1081. [Google Scholar] [CrossRef]
- Ha, H.; Olson, J.R.; Bian, L.; Rogerson, P.A. Analysis of Heavy Metal Sources in Soil Using Kriging Interpolation on Principal Components. Environ. Sci. Technol. 2014, 48, 4999–5007. [Google Scholar] [CrossRef] [PubMed]
- Peng, X.; Shi, G.; Liu, G.; Xu, J.; Tian, Y.; Zhang, Y.; Feng, Y.; Russell, A.G. Source apportionment and heavy metal health risk (HMHR) quantification from sources in a southern city in China, using an ME2-HMHR model. Environ. Pollut. 2017, 221, 335–342. [Google Scholar] [CrossRef] [PubMed]
- Wang, Y.; Guo, G.; Zhang, D.; Lei, M. An integrated method for source apportionment of heavy metal (loid) s in agricultural soils and model uncertainty analysis. Environ. Pollut. 2021, 276, 116666. [Google Scholar] [CrossRef]
- Wang, C.; Yang, Z.; Zhong, C.; Ji, J. Temporal–spatial variation and source apportionment of soil heavy metals in the representative river–alluviation depositional system. Environ. Pollut. 2016, 216, 18–26. [Google Scholar] [CrossRef] [PubMed]
- Duan, Y.; Zhang, Y.; Li, S.; Fang, Q.; Miao, F.; Lin, Q. An integrated method of health risk assessment based on spatial interpolation and source apportionment. J. Clean. Prod. 2020, 276, 123218. [Google Scholar] [CrossRef]
- Wu, J.; Margenot, A.J.; Wei, X.; Fan, M.; Zhang, H.; Best, J.L.; Wu, P.; Chen, F.; Gao, C. Source apportionment of soil heavy metals in fluvial islands, Anhui section of the lower Yangtze River: Comparison of APCS–MLR and PMF. J. Soil Sediment 2020, 20, 3380–3393. [Google Scholar] [CrossRef]
- Wang, F.; Guan, Q.; Tian, J.; Lin, J.; Yang, Y.; Yang, L.; Pan, N. Contamination characteristics, source apportionment, and health risk assessment of heavy metals in agricultural soil in the Hexi Corridor. Catena 2020, 191, 104573. [Google Scholar] [CrossRef]
- Sreenivas, K.; Sujatha, G.; Sudhir, K.; Kiran, D.V.; Fyzee, M.A.; Ravisankar, T.; Dadhwal, V.K. Spatial Assessment of Soil Organic Carbon Density Through Random Forests Based Imputation. J. Indian Soc. Remote Sens. 2014, 42, 577–587. [Google Scholar] [CrossRef]
- Lin, C.-H.; Wen, T.-H. Using geographically weighted regression (GWR) to explore spatial varying relationships of immature mosquitoes and human densities with the incidence of dengue. Int. J. Environ. Res. Public Health 2011, 8, 2798–2815. [Google Scholar] [CrossRef] [PubMed]
- Li, H.; Fu, P.; Yang, Y.; Yang, X.; Gao, H.; Li, K. Exploring spatial distributions of increments in soil heavy metals and their relationships with environmental factors using GWR. Stoch. Environ. Res. Risk Assess. 2021, 35, 2173–2186. [Google Scholar] [CrossRef]
- Wang, Z.; Xiao, J.; Wang, L.; Liang, T.; Guo, Q.; Guan, Y.; Rinklebe, J. Elucidating the differentiation of soil heavy metals under different land uses with geographically weighted regression and self-organizing map. Environ. Pollut. 2020, 260, 114065. [Google Scholar] [CrossRef]
- Ren, Z.; Christakos, G.; Lou, Z.; Xu, H.; Lv, X.; Fei, X. Contamination Assessment and Source Apportionment of Metals and Metalloids Pollution in Agricultural Soil: A Comparison of the APCA-MLR and APCA-GWR Models. Sustainability 2022, 14, 783. [Google Scholar] [CrossRef]
- Flora, S.J.S. Handbook of Arsenic Toxicology; Academic Press: Cambridge, MA, USA, 2014. [Google Scholar]
- Petursdottir, A.H.; Sloth, J.J.; Feldmann, J. Introduction of regulations for arsenic in feed and food with emphasis on inorganic arsenic, and implications for analytical chemistry. Anal. Bioanal. Chem. 2015, 407, 8385–8396. [Google Scholar] [CrossRef]
- Cullen, W.R.; Reimer, K.J. Arsenic speciation in the environment. Chem. Rev. 1989, 89, 713–764. [Google Scholar] [CrossRef]
- Kumarathilaka, P.; Seneweera, S.; Meharg, A.; Bundschuh, J. Arsenic speciation dynamics in paddy rice soil-water environment: Sources, physico-chemical, and biological factors—A review. Water Res. 2018, 140, 403–414. [Google Scholar] [CrossRef] [PubMed]
- Matta, G.; Gjyli, L. Mercury, lead and arsenic: Impact on environment and human health. J. Chem. Pharm. Sci. 2016, 9, 718–725. [Google Scholar]
- Portier, C.J.; Armstrong, B.K.; Baguley, B.C.; Baur, X.; Belyaev, I.; Bellé, R.; Belpoggi, F.; Biggeri, A.; Bosland, M.C.; Bruzzi, P. Differences in the carcinogenic evaluation of glyphosate between the International Agency for Research on Cancer (IARC) and the European Food Safety Authority (EFSA). J. Epidemiol. Community Health 2016, 70, 741–745. [Google Scholar] [CrossRef]
- Waalkes, M.P. Cadmium carcinogenesis in review. J. Inorg. Biochem. 2000, 79, 241–244. [Google Scholar] [CrossRef] [PubMed]
- Mikhailenko, A.V.; Ruban, D.A.; Ermolaev, V.A.; van Loon, A. Cadmium Pollution in the Tourism Environment: A Literature Review. Geosciences 2020, 10, 242. [Google Scholar] [CrossRef]
- Pacyna, J.M. Atmospheric Emissions of Arsenic, Cadmium, Lead and Mercuryfrom High Temperature Processes in Power Generation and Industry. In Lead, Mercury, Cadmium and Arsenic in the Environment; Hutchinson, T.C., Meema, K.M., Eds.; John Wiley Sons Ltd.: New York, NY, USA, 1987; pp. 69–87. [Google Scholar]
- Cimboláková, I.; Uher, I.; Laktičová, K.V.; Vargová, M.; Kimáková, T.; Papajová, I. Heavy Metals and the Environment. In Environmental Factors Affecting Human Health; IntechOpen: London, UK, 2019. [Google Scholar]
- Rehman, M.; Liu, L.; Wang, Q.; Saleem, M.H.; Bashir, S.; Ullah, S.; Peng, D. Copper environmental toxicology, recent advances, and future outlook: A review. Environ. Sci. Pollut. Res. 2019, 26, 18003–18016. [Google Scholar] [CrossRef] [PubMed]
- Kumar, V.; Pandita, S.; Sidhu, G.P.S.; Sharma, A.; Khanna, K.; Kaur, P.; Bali, A.S.; Setia, R. Copper bioavailability, uptake, toxicity and tolerance in plants: A comprehensive review. Chemosphere 2020, 262, 127810. [Google Scholar] [CrossRef]
- Ozcan, M.; Akman, S. Determination of Cu, Co and Pb in gasoline by electrothermal atomic absorption spectrometry using aqueous standard addition in gasoline–ethanol–water three-component system. Spectrochim. Acta Part B At. Spectrosc. 2005, 60, 399–402. [Google Scholar] [CrossRef]
- Porter, S.K.; Scheckel, K.G.; Impellitteri, C.A.; Ryan, J.A. Toxic metals in the environment: Thermodynamic considerations for possible immobilization strategies for Pb, Cd, As, and Hg. Crit. Rev. Environ. Sci. Technol. 2004, 34, 495–604. [Google Scholar] [CrossRef]
- Naja, G.M.; Volesky, B. Toxicity and sources of Pb, Cd, Hg, Cr, As, and radionuclides in the environment. Heavy Met. Environ. 2009, 8, 16–18. [Google Scholar]







| Soil Heavy Metals | Modeling Factors | |||
|---|---|---|---|---|
| Enshi Region | Wuhan Region | |||
| Factors | Abbreviation | Factors | Abbreviation | |
| As | Nearest distance to level 1 or 2 roads | NearRoad12 | Plant Senescence Reflectance Index–Near Infrared | S-PSRI |
| Redness Index | S-RI | Moisture Stress Index | S-MSI | |
| Atmospherically resistant vegetation index | S-ARVI | Hill shade | HILLSHADE | |
| Land use types | LAND | Aspect | ASPECT | |
| Nearest distance to construction land | Near_City | Density of Road (500 m) | D500 | |
| Nearest distance to level 3 or 4 roads | Near_Road | |||
| Cd | Green Normalized Difference Vegetation Index | W-GNDVI | Land use types | LAND |
| Modified Chlorophyll Absorption in Reflectance Index | W-MCARI | Temperature | TEM | |
| Nearest distance to river | Near_River | Inverted Red-Edge Chlorophyll Index | S-IRECI | |
| Normalized Difference Vegetation Index red-edge 1 narrow | W-NDVIre1n | Normalized Difference Vegetation Index red-edge 2 narrow | S-NDVIre2n | |
| Relative slope positions | R_Slope | Nighttime light | Night3 | |
| Land use types | LAND | Normalized Difference Vegetation Index red-edge 2 | S-NDVIre2 | |
| The 12 bands of Sentinel 2 | S12 | |||
| Terrain Ruggedness Index | TRI | |||
| The 5 bands of Sentinel 2 | S5 | |||
| Cu | Nearest distance to level 1 or 2 roads | NearRoad12 | Temperature | TEM |
| Terrain Ruggedness Index | TRI | Modified Chlorophyll Absorption in Reflectance Index | W-MCARI | |
| Green-Red Vegetation Index | W-GRVI | Redness Index (RI) | S-RI | |
| The sixth multispectral band of Sentinel 2 | S6 | Slope | Slope | |
| Terrain Surface Texture | Texture | Topographic Position Index | TPI | |
| Topographic Position Index | TPI | |||
| Pb | Land Use types | LAND | Slope | |
| Moisture Stress Index | S-MSI | Relative Slope Positions | R_Slope | |
| Soil Adjusted Total Vegetation Index | W-SATVI | Nearest distance to construction land | Near_City | |
| Nearest distance to level 1 or 2 roads | NearRoad12 | Aspect | Aspect | |
| DEM | DEM | |||
| Terrain Surface Texture | Texture | |||
| Soil- Adjusted Vegetation Index | S-SAVI | |||
| STR | GWR | ||||||||
|---|---|---|---|---|---|---|---|---|---|
| RMSEc | RMSEv | rc | rv | RMSEc | RMSEv | rc | rv | ||
| EnShi | As | 2.65 | 1.96 | 0.53 | 0.39 | 2.46 | 1.91 | 0.62 | 0.47 |
| Cd | 0.63 | 1.21 | 0.63 | 0.70 | 0.48 | 1.24 | 0.69 | 0.74 | |
| Cu | 7.58 | 5.95 | 0.66 | 0.53 | 7.84 | 5.17 | 0.64 | 0.60 | |
| Pb | 2.52 | 2.48 | 0.45 | 0.42 | 2.51 | 2.47 | 0.46 | 0.44 | |
| WuHan | As | 16.71 | 19.62 | 0.57 | 0.45 | 12.91 | 15.97 | 0.77 | 0.66 |
| Cd | 0.23 | 0.26 | 0.53 | 0.52 | 0.22 | 0.26 | 0.57 | 0.53 | |
| Cu | 6.84 | 9.39 | 0.71 | 0.47 | 6.39 | 8.83 | 0.75 | 0.54 | |
| Pb | 21.55 | 18.38 | 0.46 | 0.42 | 8.86 | 17.64 | 0.70 | 0.50 | |
Disclaimer/Publisher’s Note: The statements, opinions and data contained in all publications are solely those of the individual author(s) and contributor(s) and not of MDPI and/or the editor(s). MDPI and/or the editor(s) disclaim responsibility for any injury to people or property resulting from any ideas, methods, instructions or products referred to in the content. |
© 2025 by the authors. Licensee MDPI, Basel, Switzerland. This article is an open access article distributed under the terms and conditions of the Creative Commons Attribution (CC BY) license (https://creativecommons.org/licenses/by/4.0/).
Share and Cite
Sun, J.; Chen, M.; Xiao, J.; Xu, G.; Zhang, H.; Zhang, G.; Yang, F.; Zhao, C.; Guo, L. Exploring the Spatial Distribution Characteristics of Urban Soil Heavy Metals in Different Levels of Urbanization. Agronomy 2025, 15, 418. https://doi.org/10.3390/agronomy15020418
Sun J, Chen M, Xiao J, Xu G, Zhang H, Zhang G, Yang F, Zhao C, Guo L. Exploring the Spatial Distribution Characteristics of Urban Soil Heavy Metals in Different Levels of Urbanization. Agronomy. 2025; 15(2):418. https://doi.org/10.3390/agronomy15020418
Chicago/Turabian StyleSun, Jianwei, Mengchan Chen, Jingrou Xiao, Gang Xu, Haitao Zhang, Ganlin Zhang, Fangqin Yang, Chang Zhao, and Long Guo. 2025. "Exploring the Spatial Distribution Characteristics of Urban Soil Heavy Metals in Different Levels of Urbanization" Agronomy 15, no. 2: 418. https://doi.org/10.3390/agronomy15020418
APA StyleSun, J., Chen, M., Xiao, J., Xu, G., Zhang, H., Zhang, G., Yang, F., Zhao, C., & Guo, L. (2025). Exploring the Spatial Distribution Characteristics of Urban Soil Heavy Metals in Different Levels of Urbanization. Agronomy, 15(2), 418. https://doi.org/10.3390/agronomy15020418

