Abstract
Wind erosion poses a significant challenge to agricultural sustainability in Northern China’s arid regions. This study investigated the effectiveness of alfalfa grassland versus conventional cropland in controlling wind erosion across nine study sites in three agroecological regions. Using Sentinel-2 satellite imagery and the Revised Wind Erosion Equation (RWEQ) model, we analyzed vegetation cover duration and quantified soil wind erosion from 2018 to 2020. The results showed that alfalfa grassland extended vegetation cover by 80 days annually compared to cropland, with most extension occurring in spring. Alfalfa grassland demonstrated superior erosion control, reducing soil losses by 50% (24.02 versus 50.70 t/ha/yr) and increasing soil retention threefold (1.52 versus 0.59 t/ha/yr) compared to cropland. The northwest region experienced the highest erosion rates, while management practices significantly influenced alfalfa’s soil conservation effectiveness. Multiple regression analysis revealed vegetation cover and annual precipitation as primary factors affecting wind erosion. These findings suggest integrating alfalfa into crop rotations could effectively enhance soil conservation in Northern China’s wind erosion-prone regions.
1. Introduction
Wind erosion is a global environmental issue and is considered one of the most widespread and universal forms of land degradation. Approximately 430 million hectares of drylands, representing 40% of Earth’s surface [1], are affected by wind erosion, with annual global dust emissions ranging from 500 to 3320 Tg [2,3]. Wind erosion depletes fertile topsoil and causes air pollution, leading to reduced agricultural productivity, environmental degradation, and health concerns. It also contributes to desertification and impacts climate change through soil disturbance [4]. Thus, wind erosion has been regarded as the most serious threat to ecological security and sustainable agriculture systems [5], especially in arid and semiarid regions, which are typically marked by limited precipitation, sparse vegetation, and high evaporation rates. Northern China suffers from one of the worst soil erosions in the world due to lack of moisture, extensive agriculture, deforestation, and 13.74 overgrazing [6]. In the Hexi Corridor of Gansu Province, wind erosion has caused over 40% of cropland degradation, while this number was as high as 82% in Xinjiang [7,8]. Soil wind erosion causes the occurrence of sand-dust storms, which engenders a multitude of significant adverse effects, such as encompassing compromised air quality, impeded transportation systems, disrupted societal activities, and deleterious impacts on human health [9].
Human activities and climate change are key drivers of soil wind erosion [10]. To counter this, agricultural practices often involve maintaining crop residues and enhancing vegetation cover, as vegetation increases surface roughness and reduces wind speed [11,12]. Additionally, the roots and litter of plants improve soil resistance to erosion by improving soil texture, moisture, and compactness, and by intercepting moving sand particles [13,14]. Extensive research has proposed various soil conservation strategies, including conservation tillage and enhancing the multiple cropping index, to lower wind erosion rates [15]. In northern China’s arid and semi-arid regions, crops are typically harvested annually. The lack of winter crops, due to limited varieties and lower economic incentives, leaves the soil bare from winter to spring, causing significant erosion [16,17]. Even where winter wheat is grown, the minimal vegetative mass during winter is insufficient for effective land coverage, leading to a “space-time dislocation” between vegetation coverage and wind erosion patterns [18]. The cropping system, with higher vegetation in seasons of lower wind erosion potential (summer and autumn) and lower coverage in high-risk periods (spring and winter), aggravates soil erosion. Introducing overwintering perennial plants could mitigate this issue and offer additional economic advantages [19].
Alfalfa (Medicago sativa L.) is an overwintering plant and widely recognized as one of the most important leguminous forage crops globally, primarily used for silage, hay, and pasture [20]. Apart from contributing to forage production, alfalfa can provide numerous ecosystem services, such as improving soil structure, reducing greenhouse gas emissions, as well as enhancing carbon sequestration and nitrogen fixation [21,22,23]. The utilization of alfalfa as an overwintering crop in agricultural production and field management can be traced back to the 1990s [24] due to its high nutritional value and strong environmental resilience, being able to grow in cold weather, nutrient-poor soils, and various pH levels [25,26]. This plant has deep roots that enable it to access water from lower soil layers, making it more tolerant to drought conditions. In regions with relatively warm winters, alfalfa can be continuously planted for 3–4 years; however, in colder winter climates, it can thrive for 6–9 years [27]. Due to these benefits, alfalfa is widely used in sustainable agriculture, with a global cultivation area exceeding 32 million hectares worldwide [28].
Research found that alfalfa is more suitable to use as a winter cover crop compared to other forage varieties previously studied due to its plant architecture, annual yield, and phenological characteristic [29]. Alfalfa significantly reduced runoff and sediment transport and rotating alfalfa with crops can be better prevent soil erosion and desiccation [30]. Research shows that both grazing and alfalfa’s biological nitrogen fixation help improve soil fertility. This fertility increase is higher with purple alfalfa compared to natural grasslands or farmland [31]. This inspired us to explore whether alfalfa, as an excellent overwintering plant, plays a special role in mitigating soil wind erosion, despite the limited research on this topic. Alfalfa is a perennial cold-resistant plant and leaves stubble after harvest, leading to the extension of vegetation covering days, which can mitigate the “space-time dislocation” between the trend of vegetation coverage and wind erosion. The objective of this study was to assess the abilities of two different production systems, cereal crops, and alfalfa, in terms of soil conservation, with the aim of providing scientific guidance for crop rotation optimization. First, we compared the annual vegetation-covered days of artificial alfalfa grassland and cropland by generating Sentinel-2 normalized difference vegetation index (NDVI) time series from 2018 to 2020. Then, the revised wind erosion equation (RWEQ) model was used to qualify soil wind erosion and soil retention of alfalfa grassland and cropland. This study employed earth observation and geographical information system techniques to acquire biophysical factors in RWEQ model, such as vegetation coverage and soil types. Finally, the standard coefficients of multiple linear regression were used to assess the sensitivity of soil wind erosion to vegetation-covered days and climate factors.
2. Materials and Methodology
2.1. Study Sites
Nine study sites were selected from typical artificial alfalfa planting areas in northern China, while one cropping field and one artificial alfalfa grassland were selected for each study site (Figure 1). All study sites have been cultivated with alfalfa for more than three years and the main crops are wheat or maize. The area of cropping fields and alfalfa grassland was approximately 25 hectares, each surrounded by at least 100 hectares of identical vegetation. Coverage period and RWEQ modeling were conducted based on these 25 ha experimental sites and their surrounding farmland. To assess the ecological effects of alfalfa in various regions, nine study sites were grouped in two ways. Based on climatic characteristics and ecological conditions, we divided the nine study sites into three agroecological regions (Figure 1): Northeast Region (E1), North Region (E1), and Northwest Region (E3). Field management practices of alfalfa grassland vary across northern China, and, thus, study sites were also grouped into three regions based on the number of alfalfa harvests per year: 2 harvests per year (C2); 3 harvests per year (C3); and 4 harvests per year (C4). Mean annual precipitation (MAP), mean annual temperature (MAT), and mean annual wind speed at 2 m (WS) of nine study sites were also given in Table S1.
Figure 1.
(a) Study sites and regions. HLBE: Hulunbuir; SH: Suihua; CF: Chifeng; SZ: Shuozhou; YC: Yanchi; DY: Dongying; ZY: Zhangye; CJ: Changji; SHZ: Shihezi. (b) Seasonal differences between alfalfa grassland and cropland fields, taking Chifeng (CF) as an example. The main crop of CF was corn, and alfalfa was harvested three times per year. The background is Sentinel-2 images acquired in 2020.
2.2. Data Sources
Remote sensing data were widely employed for input parameters in wind erosion models across various scales, owing to its time efficiency over ground experiments, ease of repeated monitoring, and broader coverage. Free satellite, drones, and radar images can offer extensive high spatiotemporal resolution data, enabling the rapid and timely recording of erosion processes and intensity [32]. The long-term vegetation coverage was acquired from Sentinel-2A/B Multi-spectral Instrument (MSI) for the period from 2018 to 2020 (Figure 2). Comprising twin satellites, it captures high-resolution optical images of Earth’s surface across 13 spectral bands at 10 m to 60 m spatial resolutions with a 5 d revisiting period. The acquisition and preprocessing of satellite images and calculation of vegetation coverage (FCOV) were conducted on Google earth engine platform (https://code.earthengine.google.com/ (accessed on 23 August 2024)). Firstly, cloudy pixels were removed based on the pixel quality band and then NDVI was calculated using the following formula:
where NIR is the near-infrared band reflectance and RED is the red band reflectance, respectively, corresponding to band 5 and band 8 in Sentinel-2 MSI images. Harmonic Analysis of Time Series (HANTS) was employed to reconstruct the time series of Sentinel-2 images based on the 8-day maximum values. HANTS is commonly used in remote sensing and geoscience to extract seasonal patterns, long-term trends, and anomalies over time series data, by fitting sinusoidal functions to irregularly sampled or noisy observations [33].
Figure 2.
NDVI time series curves of alfalfa and cropland at the study sites. HLBE: Hulunbuir; SH: Suihua; CF: Chifeng; SZ: Shuozhou; YC: Yanchi; DY: Dongying; ZY: Zhangye; CJ: Changji; SHZ: Shihezi.
To quantify soil retention of alfalfa grassland and cropland, the revised wind erosion equation (RWEQ) model was used. The precipitation, temperature, and wind speed data collected from the meteorological stations of the China Meteorological Administration (https://data.cma.cn (accessed on 15 July 2024)) were used to calculate climate factors in the RWEQ model. The snow depth data were acquired from the long-term series of daily snow depth dataset in China [34]. Soil properties were obtained from the basic soil property dataset of high-resolution China Soil Information Grids [35] and China soil map based harmonized world soil database (HWSD) [36]. The soil data derived from over 5000 representative soil profiles from multi-year soil surveys. The main soil properties include clay, silt, sand, SOC, OM, and CaCO3 content in the 0–30 cm soil layer. The DEM came from the Shuttle Radar Topography Mission (SRTM) digital elevation model with a spatial resolution of 30 m, also processing on Google earth engine platform. A total of 10 meteorological stations around the study sites were selected. Mean temperature (Temp), maximum daily temperature (Tmax), minimum daily temperature (Tmin), accumulated precipitation (Pre), wind speed (WS), and maximum wind speed (WSmax) of each year, spring (March/April/May), and autumn (September/October/November) from 2018 to 2020 were generated from weather stations.
2.3. Quantify Soil Wind Erosion
The potential and actual wind erosion was calculated based on the RWEQ model, which is a tool that serves widely in understanding and managing soil erosion caused by wind [37,38]. It fully considers the primary factors influencing wind erosion, including climate conditions, soil properties, surface roughness, vegetation coverage, and land management. It is also widely used to assess soil erosion at a regional scale and can offer foundational support for prevention and control of combating land desertification [39]. Previous studies applied various methods to conduct localized validation of the RWEQ model parameters in Northern China [40]. The consistency between the RWEQ model simulations and actual wind erosion was verified using 137Cs isotope in Xinjiang [41] and Inner Mongolia [42]. Vegetation and land management are crucial factors in the RWEQ model because they directly influence surface cover, roughness, and soil stability. Vegetation reduces wind erosion by intercepting wind energy and stabilizing soil with roots, while land management practices determine vegetation cover, impacting erosion rates significantly. The model can be expressed as follows:
where (kg/m) and (kg/m), respectively, represent the maximum transport capacity for a given wind speed over a specific bare soil surface and vegetation cover; (m) and (m) are the critical field length. SLr (t/ha) and SLv (t/ha), respectively, indicate the amount of potential soil losses under bare soil surface and vegetation cover. (m) is the critical field length. WF is the weather factor and EF, SCF, and K′ are soil factors; COG is the vegetation and land management factor. Soil retention (SR, t/ha), serving as an assessment of vegetation’s ability to mitigate wind erosion, was defined as the amount of sand fixation reduced by vegetation coverage. Retention ratio (RR, %) is the ratio of soil retention to soil losses by bare soil, representing the relative ability of vegetation to stabilize soil. The RWEQ model was calculated on a daily basis and summed annually at each study site (25 ha), which was then converted to SLv and SR per unit area for subsequent analysis to minimize the influence of vegetation coverage area on erosion calculations. Other detailed information on the RWEQ variables is shown in Supplementary Materials.
2.4. Data Analysis
Vegetation-covered days (VCDs) were defined as the number of days with an NDVI value greater than 0.3 per year in this research. To assess the impacts of vegetation and climate factors on soil wind erosion, we determined the apparent sensitivity of soil erosion to vegetation and climate factors as the value of the standardized coefficients of multiple linear models in which annual SLv were regressed against VCDs, Temp, Tmax, Tmin, Pre, WS, and WSmax. The impact of climate factors on soil retention was assessed in the same way, and the multiple linear models were fitted between annual SR and VCDs, Temp, Tmax, Tmin, Pre, WS, and WSmax. The regression models of alfalfa grassland and cropland were established for annual, spring and autumn climate factors, respectively. Variance analysis at a confidence level of 0.95 and ‘post hoc’ Tukey HSD (Honestly Significant Difference) test were used to assess statistical differences among mean values of different groups.
3. Results
3.1. Vegetation-Covered Days of Alfalfa Grassland and Cropland
The temporal changes in average NDVI for alfalfa grassland and cropland followed the distinct phenological development of vegetation in 2018–2020 (Figure 2) but also showed differences between alfalfa grassland and cropland. The growing season of alfalfa usually starts in April, with the ordinal date of Day of Year (DOY) 91 and ends in November with the ordinal date of DOY 304. During this period, management events such as irrigation and harvesting occurred several times, literately two to four times from May to October per year, varying from site to site. In the C2 region, the alfalfa harvest occurred in mid-May and early October, and additional harvesting occurred in mid-August in the C3 region. In the C4 region, the alfalfa harvest occurred in early May, end of July, early September, and end of October, with shorter intervals between harvests. Compared with alfalfa, the phenological trajectories of cereal crops were very similar among study sites. The growing season was from May to September, with wheat or corn harvested per year.
The annual VCDs of cropland and alfalfa grassland were 111 days and 191 days, which were calculated by the NDVI time series (Figure 3a,b). The annual VCDs of alfalfa grassland were significantly different among study sites, and that of cropland was different but not significant. Alfalfa and cereal crops covered the land surface for 221 days and 133 days, respectively, in CJ, which was the longest among study sites. The annual VCDs of alfalfa grassland were higher than that of cropland in all study sites, increasing by 80 days on average per year. In CF, alfalfa covered the land surface for 123 days longer than cereal crops per year, which was the most different among study sites. Alfalfa grassland in HLBE had the shortest covering time, which was also 48 days longer than cropland (155 days versus 107 days per year). The increase in VCDs mostly occurred in spring, with an average of 43 days in spring and 37 days in autumn, except HLBE, CF, and DY. Vegetation-covered days of both alfalfa and cropland were not significantly different among agroecological regions, although there was a significant difference between alfalfa and cropland within each region (Figure 3c,d). VCDs of alfalfa grassland and cropland slightly increased from northeast China (E1) to northwest China (E3), with 197 days for alfalfa grassland and 116 days for cropland in the E3 region. E2 region showed the most difference in vegetation-covered days between alfalfa and cropland, while vegetation-covered days of alfalfa grassland exceeded that of cropland by 87 days. Management practice had little effect on vegetation-covered days of cropland but caused a significant difference in that of alfalfa grassland. Alfalfa covers the longest period by days (203 days per year) when harvested three times a year. Alfalfa should be harvested at least twice a year, and the increase in the alfalfa grassland covered days over cropland was the shortest under this situation: 45 days per year.
Figure 3.
Vegetation-covered days of alfalfa and cropland in the study sites and different regions (a,b), and the differences in vegetation-covered days between alfalfa and cropland in different seasons (c,d).
3.2. Soil Wind Erosion Prevention of Alfalfa Grassland and Cropland
Soil wind erosion prevention between alfalfa grassland and cropland was analyzed by assessing Soil Losses under Vegetation Conditions (SLv) and Soil Retention (SR). These values were calculated using the Revised Wind Erosion Equation (RWEQ) model as described in Section 2.1 and Supplementary Materials, based on measurements from 25-hectare experimental plots. As depicted in Figure 4 and Figure S1, alfalfa grassland demonstrated superior soil preservation at nine study sites, evidenced by reduced SLv and augmented SR compared to cropland. Specifically, soil losses in cropland were more than double those in alfalfa grassland, averaging 50.70 t/ha/yr and 24.02 t/ha/year, respectively. Soil retention by alfalfa grassland surpassed cropland threefold, recording 1.52 t/ha/yr against 0.59 t/ha/yr, which was considerably lower than soil losses. The retention ratio of alfalfa grassland was also higher than cropland. The highest soil losses were recorded at CJ, with 79.2 t/ha/yr for alfalfa grassland and 142.09 t/ha/yr for cropland, followed by SHZ. The highest SR for alfalfa grassland was also observed in CJ (3.79 t/ha/yr). In SH, alfalfa grassland has the lowest SR (0.08 t/ha/yr) and the lowest SLv (0.7 t/ha/yr), resulting the highest RR (21.95%), whereas the disparity in soil losses between alfalfa grassland and cropland was most pronounced. Overall, alfalfa grassland’s soil retention markedly exceeded that of cropland, alongside lower soil losses. These suggested that the alfalfa system is notably more effective in reducing wind erosion compared to traditional cereal crops.
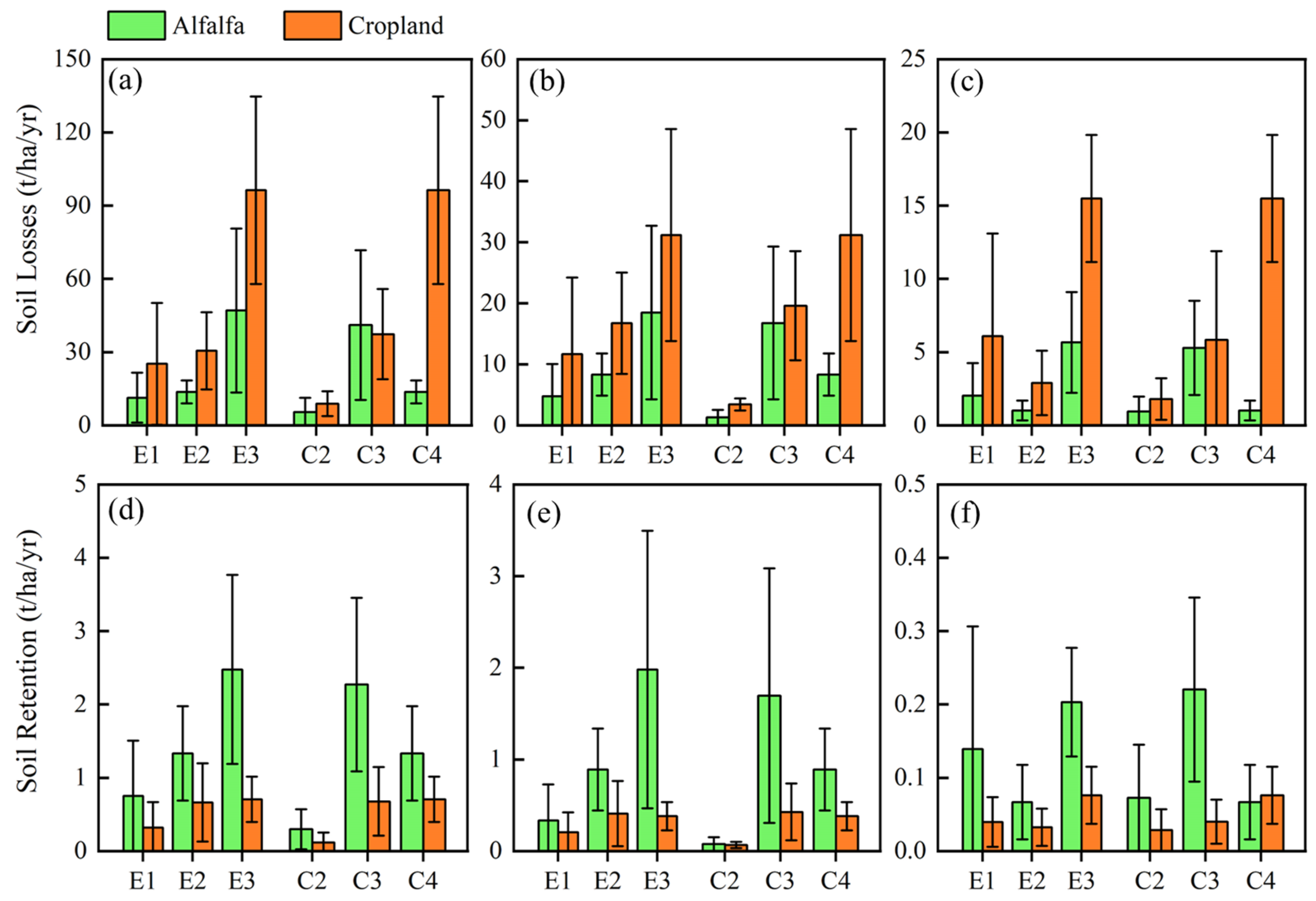
Figure 4.
Soil losses (SLv, t/ha/yr) and soil retention (SR, t/ha/yr) of alfalfa and cropland at the study sites: annual (a,d), in spring (b,e) and in autumn (c,f).
In both Regions 1 and 2, alfalfa outperformed cropland in reducing wind erosion, as evidenced by lower soil loss (SL) and higher soil retention (SR) in Figure 5. Region 1 reflects three different agroecological regions, while Region 2 represents different management practices. Alfalfa grasslands showed two to three times greater soil retention compared to croplands across three agroecological regions. The northeast region (E1) had the lowest SL and SR, with alfalfa at 11.34 t/ha/yr and croplands at 25.19 t/ha/yr for SL; alfalfa’s SR was 2.48 t/ha/yr compared to cropland’s 0.71 t/ha/yr. Conversely, the northwest region (E3) experienced the highest soil losses, with 47.05 t/ha/yr for alfalfa and 96.35 t/ha/yr for cropland. The retention ratio (RR) is also the lowest (8.03% for alfalfa), which may be due to climate conditions limiting the ability of vegetation to stabilize the soil. The cropping system, particularly the frequency of alfalfa harvesting, also played a crucial role. Region C2, with the biannual cutting treatment, exhibited the highest RR for alfalfa (12.76% shown in Figure S1). The SR is highest in C3 with three cuts (2.27 t/ha/yr), but at the same time, the SLv is also quite high (41.08 t/ha/yr). In general, higher mowing frequency increases the duration of soil exposure to air, resulting in greater wind erosion losses. It is shown that different mowing management methods affect alfalfa’s ability to protect soil from wind erosion.
Figure 5.
Soil losses (SLv, t/ha/yr) and soil retention (SR, t/ha/yr) of alfalfa and cropland in different regions: annual (a,d), in spring (b,e) and in autumn (c,f).
Soil wind erosion shows significant seasonal differences in both alfalfa and cropland. A seasonal comparison in Figure 4, Figure 5 and Figure S1 indicated significantly higher soil losses in spring than in autumn, with alfalfa grassland and cropland experiencing additional wind erosion of 7.62 and 11.71 t/ha/yr in spring, respectively. Meanwhile, more soil is retained in the spring through the effect of vegetation. Therefore, in the spring, the soil retention rate (RR) is higher, with alfalfa at 1.12% and farmland at 0.94%. The total annual sand fixation by artificial alfalfa grasslands in northern China was calculated by determining their area through visual interpretation of 2019 satellite imagery and field surveys, combined with per-unit soil retention (SR) values derived from RWEQ model at study sites. The total annual sand fixation by artificial alfalfa grasslands across three agroecological regions in northern China ranged from 1.20 × 104 to 13.74 × 104 tons in 2019 (Table S2). E2, with its vast artificial grasslands, had the highest sand fixation, while E3, despite smaller planting areas, fixed the most sand in spring and autumn.
3.3. Seasonal Sensitivity of Covering Days and Soil Retention to Climate Factors
The sensitivities of soil losses and soil retention to vegetation and climate factors were assessed by standard coefficients of multiple linear regression (Figure 6). Annual VCDs and annual precipitation (Pre) were significantly related to soil losses and soil retention of alfalfa grassland and cropland. As for the SLv, the most sensitive factors of alfalfa grassland and cropland were annual VCDs and annual Pre, respectively, while the former was positive and the latter was negative. The SLv of alfalfa grassland was less sensitive to annual Pre than the SLv of cropland, which suggests that cropland is more exposed to wind erosion than alfalfa grassland in case of drought and decreasing precipitation. Moreover, there were significant positive relations between Tmin and SLv in both alfalfa grassland and cropland, while the sensitivity of alfalfa grassland to Tmin was slightly higher than that of cropland. This is because alfalfa is more cold-resistant than traditional cereal crops, and low temperatures have less effect on it. The SLv of cropland showed a significantly positive relation with annual Temp, which suggests that a warming climate increases soil wind erosion.
Figure 6.
Sensitivities of soil losses (SLv, t/ha/yr) and soil retention (SR, t/ha/yr) in alfalfa and cropland to vegetation cover and climate factors varies across different seasons. The red *, **, and *** represent significance levels at p < 0.05, p < 0.01, and p < 0.001, respectively.
The impacts of spring and autumn climate factors on the SLv followed similar patterns to annual climate factors, but the SLv was more sensitive to spring climate factors. The SLv of alfalfa grassland was significantly positively related to spring Temp and spring Tmin, while the SLv of cropland was also positively related to spring Temp, Tmax, and Tmin. This indicates that temperature plays an important role in spring wind erosion because it determines the green-up date of vegetation. Oppositely, in autumn, precipitation was more critical to wind erosion as the only significant factor related to the SLv of alfalfa grassland and cropland. The sensitivities of soil retention to vegetation and climate factors for alfalfa grassland and cropland were similar to that of soil losses. For alfalfa grassland, the most sensitive factor to SR was annual VCDs, followed by annual Pre and spring Temp. In addition, annual Temp, spring Tmax, spring Tmin, and autumn Pre were significantly related to the SR of alfalfa grassland, while only autumn Pre had a negative relation. On the other hand, for cropland, spring Tmax showed to be most sensitive to the SR, followed by annual Pre, annual Tmax, spring Temp, annual VCDs, and autumn Pre. Unlike the SL, the SR of alfalfa grassland was more sensitive to annual VCDs and Pre than cropland. It is worth noting that neither SL nor SR of alfalfa and cropland were significantly related to WS and WSmax, which indicates that vegetation cover attenuates the increase in wind erosion from wind speed.
4. Discussion
In this study, we compared the abilities of two different production systems, cereal crops, and alfalfa, in terms of soil conservation by assessing vegetation cover days and soil wind erosion, thereby providing a scientific basis for optimizing planting systems and offering new ideas for finding the optimal configuration to maximize both ecological and economic benefits. Our results showed that alfalfa grassland had a stronger ability to reduce wind erosion than cropland, showing lower soil losses and higher soil retentions.
Increasing cover crops during non-growing seasons is more effective in enhancing vegetation’s ability to mitigate wind erosion [19]. We found that soil wind erosion was significantly positively sensitive to vegetation-covered days not only on the alfalfa grassland but also on the cropland. The annual vegetation-covered days of alfalfa grassland increased by 80 days per year in northern China, compared to cropland. The alfalfa grassland covered the ground longer than cropland, and thus increased coverage, resulting in less soil losses. Gómez et al. [43] found similar results where effective cover management measures, such as increased cover crops, significantly reduced soil loss compared to conventional tillage. Ma et al. [18] suggested that cultivating over-wintering varieties more resistant to extreme cold for crop rotation in northern China during winter, which could reduce wind erosion and increase economic benefits. As a cold-tolerant overwintering crop, alfalfa can be effectively incorporated into crop rotation systems to help mitigate the severe wind erosion problems in northern China during the winter and spring seasons.
Furthermore, FCOV of alfalfa was higher than cropland because artificial alfalfa is planted at higher densities than traditional cereal crops. It is evident that the cover effect of alfalfa was superior to cereal crops from Figure S1, explaining why alfalfa fields better mitigate soil wind erosion. The efficiency of vegetation cover in reducing soil erosion varied among vegetation types, crop varieties, coverage density, management practices, termination time, and time after vegetation coverage termination [44]. Dong et al. [45] indicated that when vegetation coverage surpasses a certain threshold, it could decrease wind speed, reduce dust entrainment and transport, thereby safeguarding the topsoil. Moreover, Yan et al. [46] also showed that decreasing in vegetation coverage leads to an accelerated loss of soil nutrients through wind erosion. The reason for this is that, under low vegetation coverage, the fine soil particles are more vulnerable to wind erosion [47]. Due to the substantial nutrient content in fine soil particles, the preferential erosion of these particles directly results in a significant decrease in organic carbon and nutrients. Vegetation coverage has a major impact on decreasing loss ratio of fine particles and nutrients. Furthermore, alfalfa leaves standing residues after harvest, which prevents bare land in winter. Blanco-Canqui [48] indicated that the higher the stubble’s height, the slower the residue’s decomposition. If alfalfa is not used in a winter rotation but is grown alone, the number of cuts becomes a key factor affecting its ability to retain soil. Essentially, the more frequently it is cut, the longer the bare soil is exposed to the air, increasing the threat of wind erosion. Although alfalfa cutting leaves stubble, the height of the vegetation has a significant impact on soil wind erosion. Our study suggested that two harvests per year may be more beneficial for balancing agricultural production and mitigating wind erosion.
Soil properties also have great impacts on wind erosion, such as texture, chemistry, and organic matter content, as they directly determine soil erodibility by influencing soil particle size, weight, water retention, and the ability to form a crust [46]. For example, aeolian sandy soil is more vulnerable to wind erosion, resulting in significant soil losses in deserts [45,49]. Our results show the most severe soil wind erosion occurred in the northwest region (E3), where the majority of lands are covered in an aeolian sandy soil. The northeast region (E1) was mainly covered in phaeozem soil and thus had the lowest wind erosion. Additionally, alfalfa has been proven to improve soil properties by increasing soil N and the soil organic carbon storage, especially in the pasture–crop rotation system [27,50]. Legumes improve soil fertility through biological nitrogen fixation, while also enhancing the water-use efficiency [51]. Soil organic carbon plays an important factor in increasing aggregate stability by binding soil particles and forming stable macroaggregates [52]. However, previous studies have found that the continuous cultivation of alfalfa for several years might lead to soil desiccation, especially in areas with limited precipitation because deep-rooted plants like alfalfa extract water from deeper soil layers [53]. Jun et al. [30] found a 15-year-old alfalfa field in the Loess Plateau showed sustained dry layers in the deep soil. Soil water depletion will exacerbate wind erosion. Previous studies, nevertheless, indicated that rotation of alfalfa and crops achieved soil water and nutrients restoration and improved soil water conservation capability [54].
In addition, seasonal sensitivities of covering days and soil retention were also evaluated. Our results indicate that wind erosion is mainly concentrated in spring, in which the land surface suffered 7.62 t/ha/yr and 11.71 t/ha/yr more wind erosion than in autumn for alfalfa grassland and cropland, respectively. Spring is a critical period for wind erosion in northern China, driven by multiple environmental factors including wind speeds, dust storms, low precipitation, and vegetation coverage. The significant seasonal difference in soil wind erosion can be attributed to vegetation cover patterns, with cropland being particularly vulnerable after winter and before spring planting. (Figure 6). Our sensitivity analysis has shown that vegetation cover and climate factors affect soil wind erosion differently across different seasons. In northern China, spring and winter typically experience higher wind speed, lower vegetation coverage and lacks precipitation or irrigation, compared to summer and autumn [49]. In spring, the temperature was proven to be the most sensitive factor to soil wind erosion, especially for cropland, because cropland normally remains bare and unproductive in spring, and FCOV is reduced. In this situation, rising temperatures in spring accelerate soil evaporation and reduce soil water content. Therefore, the extended number of cover days of alfalfa in the spring is highly beneficial for mitigating spring wind erosion. Oppositely, in autumn, precipitation was more critical to wind erosion as the only significant factor related to the wind erosion of alfalfa grassland and cropland. It is worth noting that wind erosion of alfalfa and cropland was not significantly related to wind speed, which indicates that vegetation cover attenuates the increase in wind erosion from wind speed. Greater attention should be given to the seasonal variations in wind erosion and its driving forces, with future research aiming to enhance comprehension of the mechanisms steering changes in seasonal wind erosion in northern China.
5. Conclusions
In conclusion, this study compared the abilities of alfalfa and traditional cereal crops in terms of soil conservation by assessing vegetation-covered days and the amount of soil retention. Our results show that the annual vegetation-covered days of cropland and alfalfa grassland were 111 days and 191 days in northern China, increased by 80 days on average per year, which mainly occurred in the spring season, 43 days in spring versus 37 days in autumn. Alfalfa grassland had a stronger ability to reduce wind erosion than cropland, showing a lower SL and a higher SR. The soil wind erosion of alfalfa grassland was half the amount of soil wind erosion of cropland, while soil retention of alfalfa grassland outnumbered cropland by over three times. Wind erosion is mainly concentrated in spring, in which the land surface suffered 7.62 t/ha/yr and 11.71 t/ha/yr more wind erosion than in autumn for alfalfa grassland and cropland, respectively. Furthermore, the northwest region (E3) suffered from the most severe soil wind erosion, while the northeast region (E1) had the lowest wind erosion. By assessing the sensitivity of wind erosion to vegetation and climate factors, we found that wind erosion of alfalfa grassland and cropland was mainly influenced by vegetation-covered days and annual precipitation, showing a positive impact and a negative impact, respectively. This study proved that alfalfa can significantly reduce soil wind erosion by approximately 1.20 × 104 t to 13.74 × 104 t per year. Whether alfalfa is used as an overwintering crop in a rotation system or as a year-round cover crop to form a new, efficient planting method, it is highly beneficial for mitigating wind erosion and conserving soil in northern China.
Supplementary Materials
The following supporting information can be downloaded at: https://www.mdpi.com/article/10.3390/agronomy15020387/s1. Table S1: Study sites and regions; Table S2: Regional sand fixation by alfalfa grassland; Figure S1: Retention ratio (RR, %) of alfalfa and cropland at the study sites and different regions: annual (a, d), in spring (b, e), and in autumn (c, f); Figure S2: The trend of soil losses (SLv, t/ha) and FCOV per week of alfalfa grassland and cropland.
Author Contributions
Q.Q.: Data curation, Methodology, Software, Validation, Visualization, Writing—original draft. J.Q.: Conceptualization, Supervision, Writing—review and editing. X.X.: Conceptualization, Funding acquisition, Supervision, Writing—review and editing. D.X.: Data curation, Formal analysis, Resources. R.Y.: Data curation, Formal analysis, Resources. All authors have read and agreed to the published version of the manuscript.
Funding
This work was supported by the National Key Research and Development Program of China (2021YFD1300500); the Special Funding for Modern Agricultural Technology Systems from the Chinese Ministry of Agriculture (CARS-34); and the Agricultural Science and Technology Innovation Alliance Construction—Basic Long-term Scientific and Technological Work in Agriculture (NAES037SQ18). We also thank the National Data Center for Agricultural Scientific, the National Science and Technology Infrastructure of China (http://www.agridata.cn (accessed on 23 August 2024)), and the National Tibetan Plateau Data Center (http://data.tpdc.ac.cn (accessed on 23 August 2024)) for supporting data. Acknowledgement for the data support from the “National Forestry and Grassland Science Data Center (NFGSDC), National Science and Technology Infrastructure of China (http://www.forestdata.cn (accessed on 23 August 2024))”.
Data Availability Statement
The raw data supporting the conclusions of this article will be made available by the authors on request.
Conflicts of Interest
The authors declare that they have no known competing financial interests or personal relationships that could have appeared to influence the work reported in this paper.
References
- Ravi, S.; D’Odorico, P.; Breshears, D.D.; Field, J.P.; Goudie, A.S.; Huxman, T.E.; Li, J.; Okin, G.S.; Swap, R.J.; Thomas, A.D.; et al. Aeolian processes and the biosphere. Rev. Geophys. 2011, 49, RG3001. [Google Scholar] [CrossRef]
- Shao, Y.; Wyrwoll, K.-H.; Chappell, A.; Huang, J.; Lin, Z.; McTainsh, G.H.; Mikami, M.; Tanaka, T.Y.; Wang, X.; Yoon, S. Dust cycle: An e merging core theme in Earth system science. Aeolian Res. 2011, 2, 181–204. [Google Scholar] [CrossRef]
- FAO. Status of the World’s Soil Resources—Main Report; Food and Agriculture Organization of the United Nations: Rome, Italy, 2019. [Google Scholar]
- Pimentel, D.; Allen, J.; Beers, A.; Guinand, L.; Linder, R.; McLaughlin, P.; Meer, B.; Musonda, D.; Perdue, D.; Poisson, S.; et al. World Agriculture and Soil Erosion. BioScience 1987, 37, 277–283. [Google Scholar] [CrossRef]
- Shi, P.; Yan, P.; Yuan, Y.; Nearing, M.A. Wind erosion research in China: Past, present and future. Prog. Phys. Geogr. Earth Environ. 2004, 28, 366–386. [Google Scholar] [CrossRef]
- Zhang, H.; Fan, J.; Cao, W.; Harris, W.; Li, Y.; Chi, W.; Wang, S. Response of wind erosion dynamics to climate change and human activity in Inner Mongolia, China during 1990 to 2015. Sci. Total Environ. 2018, 639, 1038–1050. [Google Scholar] [CrossRef] [PubMed]
- Huang, G.B.; Yu, A.; Guo, Q.Y.; Yang, R. Wind tunnel experiment on effect of conservative tillage in winter wheat fields on soil wind erosion in Hexi corridor, Gansu Province. Acta Pedol. Sin. 2007, 44, 968–973. (In Chinese) [Google Scholar]
- Jiang, Y.; Gao, Y.; Dong, Z.; Liu, B.; Zhao, L. Simulations of wind erosion along the Qinghai-Tibet Railway in north-central Tibet. Aeolian Res. 2018, 32, 192–201. [Google Scholar] [CrossRef]
- Goudie, A.S. Dust Storms and Human Health. In Extreme Weather Events and Human Health: International Case Studies; Akhtar, R., Ed.; Springer International Publishing: Cham, Switzerland, 2020; pp. 13–24. [Google Scholar]
- Zobeck, T.M.; Van Pelt, R.S. Wind Erosion, Soil Management: Building a Stable Base for Agriculture; Wiley: Hoboken, NJ, USA, 2011; pp. 209–227. [Google Scholar]
- Tibke, G. Basic principles of wind erosion control. Agric. Ecosyst. Environ. 1988, 22–23, 103–122. [Google Scholar] [CrossRef]
- Zhang, G.; Azorin-Molina, C.; Shi, P.; Lin, D.; Guijarro, J.A.; Kong, F.; Chen, D. Impact of near-surface wind speed variability on wind erosion in the eastern agro-pastoral transitional zone of Northern China, 1982–2016. Agric. For. Meteorol. 2019, 271, 102–115. [Google Scholar] [CrossRef]
- Cotrufo, M.F.; Soong, J.L.; Horton, A.J.; Campbell, E.E.; Haddix, M.L.; Wall, D.H.; Parton, W.J. Formation of soil organic matter via biochemical and physical pathways of litter mass loss. Nat. Geosci. 2015, 8, 776–779. [Google Scholar] [CrossRef]
- Ven, T.A.M.; Fryrear, D.W.; Spaan, W.P. Vegetation characteristics and soil loss by wind. J. Soil Water Conserv. 1989, 44, 347–349. [Google Scholar]
- Gao, Y.; Dang, X.; Yu, Y.; Li, Y.; Liu, Y.; Wang, J. Effects of Tillage Methods on Soil Carbon and Wind Erosion. Land Degrad. Dev. 2016, 27, 583–591. [Google Scholar] [CrossRef]
- Bryan, B.A.; Gao, L.; Ye, Y.; Sun, X.; Connor, J.D.; Crossman, N.D.; Stafford-Smith, M.; Wu, J.; He, C.; Yu, D.; et al. China’s response to a national land-system sustainability emergency. Nature 2018, 559, 193–204. [Google Scholar] [CrossRef]
- Shen, Y.; Zhang, C.; Wang, X.; Zou, X.; Kang, L. Statistical characteristics of wind erosion events in the erosion area of Northern China. CATENA 2018, 167, 399–410. [Google Scholar] [CrossRef]
- Ma, L.; Wang, X.; Pu, Y.; Wu, J.; Coulter, J.A.; Li, X.; Wang, L.; Liu, L.; Fang, Y.; Niu, Z.; et al. Ecological and economic benefits of planting winter rapeseed (Brassica rapa L.) in the wind erosion area of northern China. Sci. Rep. 2019, 9, 20272. [Google Scholar] [CrossRef] [PubMed]
- Cougnon, M.; Durand, J.L.; Julier, B.; Barre, P.; Litrico, I. Using perennial plant varieties for use as living mulch for winter cereals. A Review. Agron. Sustain. Dev. 2022, 42, 110. [Google Scholar] [CrossRef]
- Hawkins, C.; Yu, L. Recent progress in alfalfa (Medicago sativa L.) genomics and genomic selection. Crop J. 2018, 6, 565–575. [Google Scholar] [CrossRef]
- Deng, L.; Wang, K.B.; Li, J.P.; Shangguan, Z.P.; Sweeney, S. Carbon Storage Dynamics in Alfalfa (Medicago sativa) Fields in the Hilly-Gully Region of the Loess Plateau, China. Clean Soil Air Water 2014, 42, 1253–1262. [Google Scholar] [CrossRef]
- Martin, G.; Durand, J.L.; Duru, M.; Gastal, F.; Julier, B.; Litrico, I.; Louarn, G.; Médiène, S.; Moreau, D.; Valentin-Morison, M.; et al. Role of ley pastures in tomorrow’s cropping systems. A review. Agron. Sustain. Dev. 2020, 40, 17. [Google Scholar] [CrossRef]
- Luo, J.; Balvert, S.F.; Wise, B.; Welten, B.; Ledgard, S.F.; de Klein, C.; Lindsey, S.; Judge, A. Using alternative forage species to reduce emissions of the greenhouse gas nitrous oxide from cattle urine deposited onto soil. Sci. Total Environ. 2018, 610–611, 1271–1280. [Google Scholar] [CrossRef] [PubMed]
- White, J.G.; Scott, T.W. Effects of perennial forage-legume living mulches on no-till winter wheat and rye. Field Crops Res. 1991, 28, 135–148. [Google Scholar] [CrossRef]
- Castonguay, Y.; Laberge, S.; Brummer, E.C.; Volenec, J.J. Alfalfa Winter Hardiness: A Research Retrospective and Integrated Perspective. Adv. Agron. 2006, 90, 203–265. [Google Scholar]
- Luo, D.; Zhou, Q.; Wu, Y.; Chai, X.; Liu, W.; Wang, Y.; Yang, Q.; Wang, Z.; Liu, Z. Full-length transcript sequencing and comparative transcriptomic analysis to evaluate the contribution of osmotic and ionic stress components towards salinity tolerance in the roots of cultivated alfalfa (Medicago sativa L.). BMC Plant Biol. 2019, 19, 32. [Google Scholar] [CrossRef] [PubMed]
- Bo, J.; Wang, Z.; Pan, Z.; Xu, H.; Han, X.; Xie, Y. Soil Carbon Storage Characteristics of Alfalfa (Medicago sativa) Artificial Grasslands in the Semi-Arid Hilly Gully Region of the Loess Plateau, China. Russ. J. Ecol. 2020, 51, 466–476. [Google Scholar]
- Russelle, M.P. Alfalfa. Am. Sci. 2001, 89, 252–261. [Google Scholar] [CrossRef]
- Carof, M.; de Tourdonnet, S.; Saulas, P.; Le Floch, D.; Roger-Estrade, J. Undersowing wheat with different living mulches in a no-till system. I. Yield Analysis. Agron. Sustain. Dev. 2007, 27, 347–356. [Google Scholar] [CrossRef]
- Jun, F.; Shao, M.; Wang, Q.; Scott, B.J.; Klaus, R.; Cheng, X.; Fu, X. Toward sustainable soil and water resources use in China’s highly erodible semi-arid loess plateau. Geoderma 2010, 155, 93–100. [Google Scholar] [CrossRef]
- Fan, J.; Hao, M.D.; Wang, Y.G. Effects of rotations and fertilizations on soil fertility on upland of the Loess Plateau. Res. Soil Water Conserv. 2003, 10, 31–36, (In Chinese with English Abstract). [Google Scholar]
- Lackoóvá, L.; Lieskovský, J.; Nikseresht, F.; Halabuk, A.; Hilbert, H.; Halászová, K.; Bahreini, F. Unlocking the Potential of Remote Sensing in Wind Erosion Studies: A Review and Outlook for Future Directions. Remote Sens. 2023, 15, 3316. [Google Scholar] [CrossRef]
- Zhou, J.; Li, J.; Massimo, M. Reconstruction of global MODIS NDVI time series: Performance of Harmonic ANalysis of Time Series (HANTS). Remote Sens. Environ. 2015, 163, 217–228. [Google Scholar] [CrossRef]
- Che, T.; Dai, L.; Li, X. Long-Term Series of Daily Snow Depth Dataset in China (1979–2020, 2012–2023). A Big Earth Data Platform for Three Poles; National Tibetan Plateau Scientific Data Center: Beijing, China, 2015. [Google Scholar]
- Liu, F.; Zhang, G. Basic Soil Property Dataset of High-Resolution China Soil Information Grids (2010–2018). A Big Earth Data Platform for Three Poles; National Tibetan Plateau Scientific Data Center: Beijing, China, 2021. [Google Scholar]
- Meng, X.; Wang, H. Siol Map Based Harmonized World Soil Database (v1.2). A Big Earth Data Platform for Three Poles; National Tibetan Plateau Scientific Data Center: Beijing, China, 2018. [Google Scholar]
- Fryrear, D.W.; Saleh, A.; Bilbro, J.D.; Schomberg, H.M.; Stout, J.E.; Zobeck, T.M. Revised Wind Erosion Equation. USDA, ARS, Technical Bulletin No. 1; Soil Erosion Net: Rome, Italy, 1998. [Google Scholar]
- Fryrear, D.W.; Bilbro, J.D.; Saleh, A.; Schomberg, H.; Stout, J.E.; Zobeck, T.M. RWEQ: Improved wind erosion technology. J. Soil Water Conserv. 2000, 55, 183–189. [Google Scholar]
- Jarrah, M.; Mayel, S.; Tatarko, J.; Funk, R.; Kuka, K. A review of wind erosion models: Data requirements, processes, and validity. CATENA 2020, 187, 104388. [Google Scholar] [CrossRef]
- Du, H.; Dou, S.; Deng, X.; Xue, X.; Wang, T. Assessment of wind and water erosion risk in the watershed of the Ningxia-Inner Mongolia Reach of the Yellow River, China. Ecol. Indic. 2016, 67, 117–131. [Google Scholar] [CrossRef]
- Jiang, X.; Wu, Q.; Feng, J.; Cheng, Q. Wind erosion actuality and countermeasures in oases area of southern xinjiang autonomous region. Bull. Soil Water Conserv. 2003, 62–65. (In Chinese) [Google Scholar]
- Chi, W.; Zhao, Y.; Kuang, W.; He, H. Impacts of anthropogenic land use/cover changes on soil wind erosion in China. Sci. Total Environ. 2019, 668, 204–215. [Google Scholar] [CrossRef] [PubMed]
- Gómez, J.A.; Guzmán, M.G.; Giráldez, J.V.; Fereres, E. The influence of cover crops and tillage on water and sediment yield, and on nutrient, and organic matter losses in an olive orchard on a sandy loam soil. Soil Tillage Res. 2009, 106, 137–144. [Google Scholar] [CrossRef]
- Luo, Q.; Zhen, L.; Xiao, Y.; Wang, H. The effects of different types of vegetation restoration on wind erosion prevention: A case study in Yanchi. Environ. Res. Lett. 2020, 15, 115001. [Google Scholar] [CrossRef]
- Dong, Z.; Chen, W.; Dong, G.; Chen, G.; Li, Z.; Yang, Z. Influence of vegetation cover on the wind erosion of sandy soil. Acta Sci. Circumastantiae 1996, 16, 437–443. (In Chinese) [Google Scholar]
- Yan, Y.; Xin, X.P.; Xu, X.; Wang, X.; Yang, G.; Yan, R.; Chen, B. Quantitative effects of wind erosion on the soil texture and soil nutrients under different vegetation coverage in a semiarid steppe of northern China. Plant Soil 2013, 369, 585–598. [Google Scholar] [CrossRef]
- Leys, J.; McTainsh, G. Soil loss and nutrient decline by wind erosion—Cause for concern. Aust. J. Soil Water Conserv. 1994, 7, 30–35. [Google Scholar]
- Blanco-Canqui, H. Crop Residue Removal for Bioenergy Reduces Soil Carbon Pools: How Can We Offset Carbon Losses? BioEnergy Res. 2013, 6, 358–371. [Google Scholar] [CrossRef]
- Zhao, H.L.; Yi, X.Y.; Zhou, R.L.; Zhao, X.Y.; Zhang, T.H.; Drake, S. Wind erosion and sand accumulation effects on soil properties in Horqin Sandy Farmland, Inner Mongolia. CATENA 2006, 65, 71–79. [Google Scholar] [CrossRef]
- Osterholz, W.R.; Ruark, M.D.; Renz, M.J.; Grabber, J.H. Interseeding alfalfa into corn silage increases corn N fertilizer demand and increases system yield. Agron. Sustain. Dev. 2021, 41, 58. [Google Scholar] [CrossRef]
- Wang, X.L.; Sun, G.J.; Jia, Y.; Li, F.M.; Xu, J.Z. Crop yield and soil water restoration on 9-year-old alfalfa pasture in the semiarid Loess Plateau of China. Agric. Water Manag. 2008, 95, 190–198. [Google Scholar] [CrossRef]
- Colazo, J.C.; Buschiazzo, D.E. Soil dry aggregate stability and wind erodible fraction in a semiarid environment of Argentina. Geoderma 2010, 159, 228–236. [Google Scholar] [CrossRef]
- Li, Y.; Huang, M. Pasture yield and soil water depletion of continuous growing alfalfa in the Loess Plateau of China. Agric. Ecosyst. Environ. 2008, 124, 24–32. [Google Scholar] [CrossRef]
- Amossé, C.; Jeuffroy, M.H.; David, C. Relay intercropping of legume cover crops in organic winter wheat: Effects on performance and resource availability. Field Crops Res. 2013, 145, 78–87. [Google Scholar] [CrossRef]
Disclaimer/Publisher’s Note: The statements, opinions and data contained in all publications are solely those of the individual author(s) and contributor(s) and not of MDPI and/or the editor(s). MDPI and/or the editor(s) disclaim responsibility for any injury to people or property resulting from any ideas, methods, instructions or products referred to in the content. |
© 2025 by the authors. Licensee MDPI, Basel, Switzerland. This article is an open access article distributed under the terms and conditions of the Creative Commons Attribution (CC BY) license (https://creativecommons.org/licenses/by/4.0/).





