Screening and Assessment of Genetic Diversity of Rice (Oryza sativa L.) Germplasm in Response to Soil Salinity Stress at Germination Stage
Abstract
1. Introduction
2. Materials and Methods
2.1. Plant Materials
2.2. Germination and Growth Parameters
2.3. Statistical Analysis
2.4. Genomic DNA Isolation
2.5. Genotyping by SSR
2.6. Population Structure
3. Results
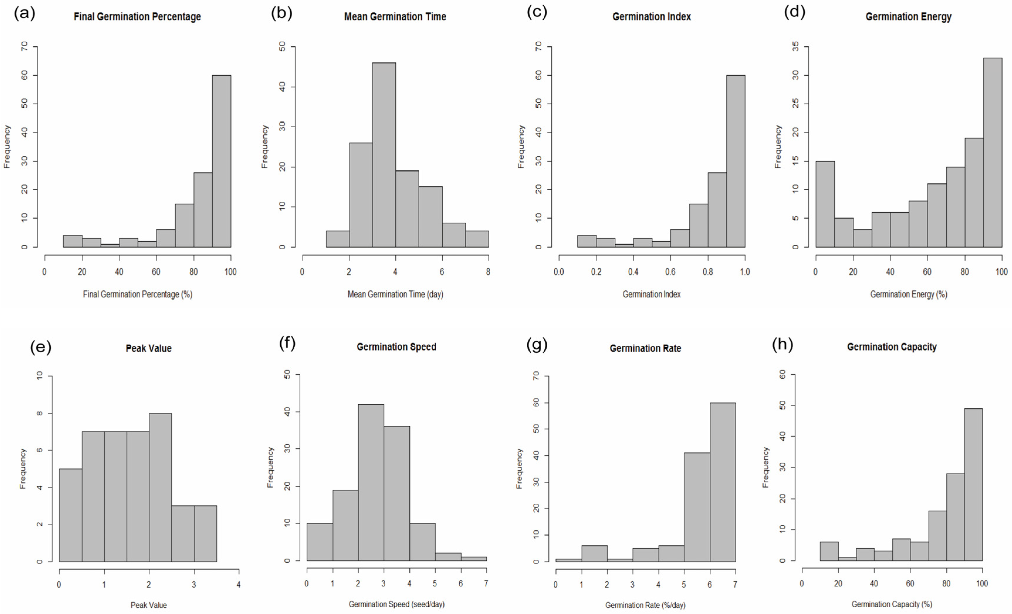
3.1. Germination Parameters
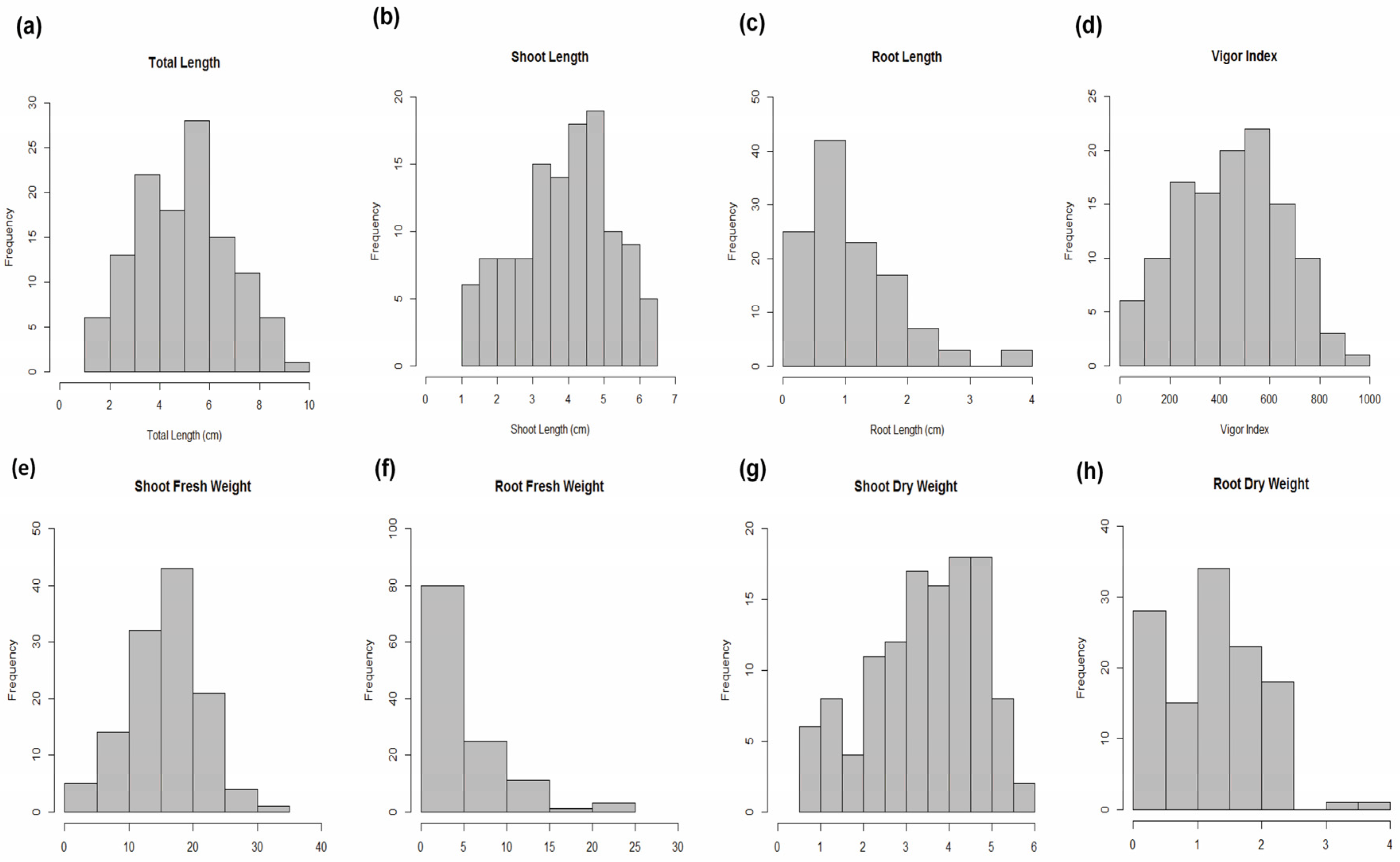
3.2. Growth Parameters
3.3. Genotyping Analysis
3.4. Population Structure Analysis
3.5. Genetic Diversity
4. Discussion
5. Conclusions
Supplementary Materials
Author Contributions
Funding
Data Availability Statement
Acknowledgments
Conflicts of Interest
References
- Zhang, J.; Zhu, Y.; Yu, L.; Yang, M.; Zou, X.; Yin, C.; Lin, Y. Research advances in cadmium uptake, transport and resistance in rice (Oryza sativa L.). Cells 2022, 11, 569. [Google Scholar] [CrossRef] [PubMed]
- Leridon, H. World population outlook: Explosion or implosion? Popul. Soc. 2020, 573, 1–4. [Google Scholar]
- Shahid, S.A.; Zaman, M.; Heng, L. Soil salinity: Historical perspectives and a world overview of the problem. In Guideline for Salinity Assessment, Mitigation and Adaptation Using Nuclear and Related Techniques; Springer: Berlin/Heidelberg, Germany, 2018; pp. 43–53. [Google Scholar]
- Liu, M.; Pan, T.; Allakhverdiev, S.I.; Yu, M.; Shabala, S. Crop halophytism: An environmentally sustainable solution for global food security. Trends Plant Sci. 2020, 25, 630–634. [Google Scholar] [CrossRef] [PubMed]
- Wang, W.; Vinocur, B.; Altman, A. Plant responses to drought, salinity and extreme temperatures: Towards genetic engineering for stress tolerance. Planta 2003, 218, 1–14. [Google Scholar] [CrossRef]
- Nadeem, M.A.; Nawaz, M.A.; Shahid, M.Q.; Doğan, Y.; Comertpay, G.; Yıldız, M.; Hatipoğlu, R.; Ahmad, F.; Alsaleh, A.; Labhane, N.; et al. DNA molecular markers in plant breeding: Current status and recent advancements in genomic selection and genome editing. Biotechnol. Biotechnol. Equip. 2018, 32, 261–285. [Google Scholar] [CrossRef]
- Ahmadi, J.; Fotokian, M.-H. Identification and mapping of quantitative trait loci associated with salinity tolerance in rice (Oryza sativa) using SSR markers. Iran. J. Biotechnol. 2011, 9, 21–30. [Google Scholar]
- Singh, V.K.; Singh, B.D.; Kumar, A.; Maurya, S.; Krishnan, S.G.; Vinod, K.K.; Singh, M.P.; Ellur, R.K.; Bhowmick, P.K.; Singh, A.K. Marker-Assisted Introgression of Saltol QTL Enhances Seedling Stage Salt Tolerance in the Rice Variety “Pusa Basmati 1”. Int. J. Genom. 2018, 2018, 8319879. [Google Scholar] [CrossRef]
- Kumari, R.; Kumar, P.; Sharma, V.K.; Kumar, H. Seedling stage salt stress response specific characterization of genetic polymorphism and validation of SSR markers in rice. Physiol. Mol. Biol. Plants Int. J. Funct. Plant Biol. 2019, 25, 407–419. [Google Scholar] [CrossRef]
- Liu, C.; Mao, B.; Yuan, D.; Chu, C.; Duan, M. Salt tolerance in rice: Physiological responses and molecular mechanisms. Crop J. 2022, 10, 13–25. [Google Scholar] [CrossRef]
- Ullah, M.A.; Abdullah-Zawawi, M.R.; Zainal-Abidin, R.A.; Sukiran, N.L.; Uddin, M.I.; Zainal, Z. A Review of Integrative Omic Approaches for Understanding Rice Salt Response Mechanisms. Plants 2022, 11, 1430. [Google Scholar] [CrossRef]
- Srivastava, P.; Singh, S.; Habde, S.; Singh, D.; Vennela, P.R.; Khaire, A. Studies on genetic diversity in rice (Oryza sativa L.) using SSR markers. J. Pharmacogn. Phytochem. 2019, 8, 922–928. [Google Scholar]
- Suvi, W.T.; Shimelis, H.; Laing, M.; Mathew, I.; Shayanowako, A.I.T. Assessment of the genetic diversity and population structure of rice genotypes using SSR markers. Acta Agric. Scand. Sect. B—Soil Plant Sci. 2020, 70, 76–86. [Google Scholar] [CrossRef]
- Jayabalan, S.; Pulipati, S.; Ramasamy, K.; Jaganathan, D.; Venkatesan, S.D.; Vijay, G.; Kumari, K.; Raju, K.; Hariharan, G.N.; Venkataraman, G. Analysis of genetic diversity and population structure using SSR markers and validation of a Cleavage Amplified Polymorphic Sequences (CAPS) marker involving the sodium transporter OsHKT1;5 in saline tolerant rice (Oryza sativa L.) landraces. Gene 2019, 713, 143976. [Google Scholar] [CrossRef] [PubMed]
- Jamil, M.; Rha, E.S. Response of transgenic rice at germination and early seedling growth under salt stress. Pak. J. Biol. Sci. 2007, 10, 4303–4306. [Google Scholar] [CrossRef]
- Pareek, A.; Dhankher, O.P.; Foyer, C.H. Mitigating the impact of climate change on plant productivity and ecosystem sustainability. J. Exp. Bot. 2020, 71, 451–456. [Google Scholar] [CrossRef]
- Linh, L.H.; Linh, T.H.; Xuan, T.D.; Ham, L.H.; Ismail, A.M.; Khanh, T.D. Molecular breeding to improve salt tolerance of rice (Oryza sativa L.) in the Red River Delta of Vietnam. Int. J. Plant Genom. 2012, 2012, 949038. [Google Scholar] [CrossRef]
- Reddy, I.N.B.L.; Kim, B.-K.; Yoon, I.-S.; Kim, K.-H.; Kwon, T.-R. Salt Tolerance in Rice: Focus on Mechanisms and Approaches. Rice Sci. 2017, 24, 123–144. [Google Scholar] [CrossRef]
- Singh, V.P. Challenges in meeting water security and resilience. Water Int. 2017, 42, 349–359. [Google Scholar] [CrossRef]
- Vareed Thomas, E. Development of a mechanism for transplanting rice seedlings. Mech. Mach. Theory 2002, 37, 395–410. [Google Scholar] [CrossRef]
- Zhao, J.; He, Y.; Huang, S.; Wang, Z. Advances in the Identification of Quantitative Trait Loci and Genes Involved in Seed Vigor in Rice. Front. Plant Sci. 2021, 12, 659307. [Google Scholar] [CrossRef]
- Kumar, V.; Ladha, J.K. Chapter Six—Direct Seeding of Rice: Recent Developments and Future Research Needs. In Advances in Agronomy; Sparks, D.L., Ed.; Academic Press: Cambridge, MA, USA, 2011; Volume 111, pp. 297–413. [Google Scholar]
- Cheng, J.; He, Y.; Yang, B.; Lai, Y.; Wang, Z.; Zhang, H. Association mapping of seed germination and seedling growth at three conditions in indica rice (Oryza sativa L.). Euphytica 2015, 206, 103–115. [Google Scholar] [CrossRef]
- Ikeda, N.; Bautista, N.S.; Yamada, T.; Kamijima, O.; Ishii, T. Ultra-simple DNA extraction method for marker-assisted selection using microsatellite markers in rice. Plant Mol. Biol. Report. 2001, 19, 27–32. [Google Scholar] [CrossRef]
- Kumari, S.; Kumar, P.; Sharma, V.J.J.O.P. Identification of microsatellite markers for genetic differentiation and authentication of promising aerobic rice genotypes. J. Pharmacogn. Phytochem. 2018, 7, 2772–2776. [Google Scholar]
- Anderson, J.A.; Churchill, G.; Autrique, J.; Tanksley, S.; Sorrells, M.J.G. Optimizing parental selection for genetic linkage maps. Genome 1993, 36, 181–186. [Google Scholar] [CrossRef]
- Nachimuthu, V.V.; Muthurajan, R.; Duraialaguraja, S.; Sivakami, R.; Pandian, B.A.; Ponniah, G.; Gunasekaran, K.; Swaminathan, M.; K, K.S.; Sabariappan, R. Analysis of population structure and genetic diversity in rice germplasm using SSR markers: An initiative towards association mapping of agronomic traits in Oryza sativa. Rice 2015, 8, 30. [Google Scholar] [CrossRef]
- Pritchard, J.K.; Stephens, M.; Donnelly, P. Inference of population structure using multilocus genotype data. Genetics 2000, 155, 945–959. [Google Scholar] [CrossRef]
- Earl, D.A.; VonHoldt, B.M. STRUCTURE HARVESTER: A website and program for visualizing STRUCTURE output and implementing the Evanno method. Conserv. Genet. Resour. 2012, 4, 359–361. [Google Scholar] [CrossRef]
- Peakall, R.; Smouse, P.E. GENALEX 6: Genetic analysis in Excel. Population genetic software for teaching and research. Mol. Ecol. Notes 2006, 6, 288–295. [Google Scholar] [CrossRef]
- Xiao, J.; Li, J.; Grandillo, S.; Ahn, S.N.; Yuan, L.; Tanksley, S.D.; McCouch, S.R. Identification of trait-improving quantitative trait loci alleles from a wild rice relative, Oryza rufipogon. Genetics 1998, 150, 899–909. [Google Scholar] [CrossRef]
- Huang, P.; Gu, Q.; Hu, Y.; Li, H.; Wu, Z.; Liu, W.; Zhu, Z.; Yuan, P.; Duan, L.; Zhou, Y.; et al. Genetic Analysis of a Collection of Rice Germplasm (Oryza sativa L.) through High-Density SNP Array Provides Useful Information for Further Breeding Practices. Genes 2022, 13, 830. [Google Scholar] [CrossRef]
- Ashfaq, M.; Rasheed, A.; Sajjad, M.; Ali, M.; Rasool, B.; Javed, M.A.; Allah, S.U.; Shaheen, S.; Anwar, A.; Ahmad, M.S.; et al. Genome wide association mapping of yield and various desirable agronomic traits in Rice. Mol. Biol. Rep. 2022, 49, 11371–11383. [Google Scholar] [CrossRef] [PubMed]
- Sun, L.; Lai, M.; Ghouri, F.; Nawaz, M.A.; Ali, F.; Baloch, F.S.; Nadeem, M.A.; Aasim, M.; Shahid, M.Q. Modern Plant Breeding Techniques in Crop Improvement and Genetic Diversity: From Molecular Markers and Gene Editing to Artificial Intelligence—A Critical Review. Plants 2024, 13, 2676. [Google Scholar] [CrossRef] [PubMed]
- Kumbhar, S.D.; Kulwal, P.L.; Patil, J.V.; Sarawate, C.D.; Gaikwad, A.P.; Jadhav, A.S. Genetic Diversity and Population Structure in Landraces and Improved Rice Varieties from India. Rice Sci. 2015, 22, 99–107. [Google Scholar] [CrossRef]
- Rafalski, J.A. Novel genetic mapping tools in plants: SNPs and LD-based approaches. Plant Sci. 2002, 162, 329–333. [Google Scholar] [CrossRef]
- Ashfaq, M.; Rasheed, A.; Zhu, R.; Ali, M.; Javed, M.A.; Anwar, A.; Tabassum, J.; Shaheen, S.; Wu, X. Genome-Wide Association Mapping for Yield and Yield-Related Traits in Rice (Oryza Sativa L.) Using SNPs Markers. Genes 2023, 14, 1089. [Google Scholar] [CrossRef]
- Salem, K.F.; Sallam, A. Analysis of population structure and genetic diversity of Egyptian and exotic rice (Oryza sativa L.) genotypes. Comptes Rendus Biol. 2016, 339, 1–9. [Google Scholar] [CrossRef]
- Anupam, A.; Imam, J.; Quatadah, S.M.; Siddaiah, A.; Das, S.P.; Variar, M.; Mandal, N.P. Genetic diversity analysis of rice germplasm in Tripura State of Northeast India using drought and blast linked markers. Rice Sci. 2017, 24, 10–20. [Google Scholar] [CrossRef]
- Wang, W.; Mauleon, R.; Hu, Z.; Chebotarov, D.; Tai, S.; Wu, Z.; Li, M.; Zheng, T.; Fuentes, R.R.; Zhang, F.; et al. Genomic variation in 3,010 diverse accessions of Asian cultivated rice. Nature 2018, 557, 43–49. [Google Scholar] [CrossRef]
- Zhao, H.; Yao, W.; Ouyang, Y.; Yang, W.; Wang, G.; Lian, X.; Xing, Y.; Chen, L.; Xie, W. RiceVarMap: A comprehensive database of rice genomic variations. Nucleic Acids Res. 2015, 43, D1018–D1022. [Google Scholar] [CrossRef]
- Huang, Y.; Sun, C.; Min, J.; Chen, Y.; Tong, C.; Bao, J. Association Mapping of Quantitative Trait Loci for Mineral Element Contents in Whole Grain Rice (Oryza sativa L.). J. Agric Food Chem. 2015, 63, 10885–10892. [Google Scholar] [CrossRef]
- McCouch, S.R.; Wright, M.H.; Tung, C.-W.; Maron, L.G.; McNally, K.L.; Fitzgerald, M.; Singh, N.; DeClerck, G.; Agosto-Perez, F.; Korniliev, P.; et al. Open access resources for genome-wide association mapping in rice. Nat. Commun. 2016, 7, 10532. [Google Scholar] [CrossRef] [PubMed]
- Dwivedi, S.L.; Ceccarelli, S.; Blair, M.W.; Upadhyaya, H.D.; Are, A.K.; Ortiz, R. Landrace Germplasm for Improving Yield and Abiotic Stress Adaptation. Trends Plant Sci. 2016, 21, 31–42. [Google Scholar] [CrossRef] [PubMed]
- Huong, C.T.; Anh, T.T.T.; Dat, T.D.; Dang Khanh, T.; Dang Xuan, T. Uniparental Inheritance of Salinity Tolerance and Beneficial Phytochemicals in Rice. Agronomy 2020, 10, 1032. [Google Scholar] [CrossRef]
- Zhang, Y.; He, Q.; Zhou, X.; Zheng, S.; Wang, Y.; Li, P.; Wang, Y. Genetic diversity and population structure of 93 rice cultivars (lines) (Oryza sativa Xian group) in Qinba in China by 3 types of genetic markers. BMC Genom. 2022, 23, 550. [Google Scholar] [CrossRef]
- Jasim Aljumaili, S.; Rafii, M.; Latif, M.; Sakimin, S.Z.; Arolu, I.W.; Miah, G. Genetic diversity of aromatic rice germplasm revealed by SSR markers. BioMed Res. Int. 2018, 2018, 7658032. [Google Scholar] [CrossRef]
- Yelome, O.I.; Audenaert, K.; Landschoot, S.; Dansi, A.; Vanhove, W.; Silue, D.; Van Damme, P.; Haesaert, G. Analysis of population structure and genetic diversity reveals gene flow and geographic patterns in cultivated rice (O. sativa and O. glaberrima) in West Africa. Euphytica 2018, 214, 215. [Google Scholar] [CrossRef]






| # | Varieties | Origin | Salinity Tolerance Status |
|---|---|---|---|
| 1 | POKKALI | India | Tolerant |
| 2 | LOCAL TAROM | Iran | Tolerant |
| 3 | SHIROODI | Iran | - |
| 4 | FADJIR | Iran | - |
| 5 | NEDA | Iran | Moderately Tolerant |
| 6 | HASHEMI TAROM | Iran | Susceptible |
| 7 | YASMIN | Iraq | - |
| 8 | ANBIR BARAKA | Iraq | - |
| 9 | MCHKAB | Iraq | - |
| 10 | FIRAT1 | Iraq | - |
| 11 | ANBIR33 | Iraq | - |
| 12 | KADARIA | Malaysia | - |
| 13 | MR159 | Malaysia | - |
| 14 | MR220 | Malaysia | - |
| 15 | SRI MALAYSIA 2 | Malaysia | - |
| 16 | MANIK | Malaysia | - |
| 17 | SRI MALAYSIA 1 | Malaysia | - |
| 18 | MR185 | Malaysia | - |
| 19 | RIA | Malaysia | - |
| 20 | MR232 | Malaysia | Tolerant |
| 21 | MAHSURI | Malaysia | Tolerant |
| 22 | MR211 | Malaysia | Tolerant |
| 23 | MASRIA | Malaysia | - |
| 24 | MR253 | Malaysia | Tolerant |
| 25 | PANDERAS | Malaysia | - |
| 26 | MR127 | Malaysia | - |
| 27 | MR219 | Malaysia | Tolerant |
| 28 | PULUT SIDING | Malaysia | - |
| 29 | JAYA MALAYSIA | Malaysia | Susceptible |
| 30 | MR263 | Malaysia | Tolerant |
| 31 | BAHAGIA | Malaysia | - |
| 32 | BAS515 | Pakistan | Tolerant |
| 33 | BAS385 | Pakistan | Moderately Tolerant |
| 34 | BAS386 | Pakistan | - |
| 35 | SRI8 | Pakistan | Moderately Tolerant |
| 36 | KP2 | Pakistan | - |
| 37 | 4365 | Pakistan | Moderately Susceptible |
| 38 | BAS2000 | Pakistan | Susceptible |
| 39 | PAKBAS | Pakistan | Moderately Susceptible |
| 40 | IR36 | Philippines | Sensitive |
| FGP | MGT | GI | GE | PV | GS | GR | GC | |
|---|---|---|---|---|---|---|---|---|
| Mean | 86.92 | 3.95 | 0.87 | 68.08 | 1.61 | 2.73 | 5.80 | 83.17 |
| Median | 95.00 | 3.60 | 0.95 | 80.00 | 1.67 | 2.85 | 6.34 | 90.00 |
| Anderson-Darling Normality Test | ||||||||
| AD-value | 13.8920 | 2.1206 | 13.8920 | 6.4223 | 0.3258 | 0.7669 | 13.8550 | 10.6010 |
| p-value | <2.20 × 10−16 | 2.03 × 10−5 | <2.20 × 10−16 | 7.48 × 10−16 | 0.5110 | 0.0450 | <2.20 × 10−16 | <2.20 × 10−16 |
| ANOVA | ||||||||
| Varieties (DF = 39) | ||||||||
| SS | 42492 | 198.44 | 4.249 | 122126 | 30.3100 | 152.40 | 108.2000 | 52397 |
| MS | 1089.6 | 5.088 | 0.10896 | 3131.4 | 0.7773 | 3.908 | 2.7740 | 1344 |
| F-value | 11.9900 | 24.3 | 11.99 | 32.39 | n/a | 42.03 | 1.9570 | 13.44 |
| p-value | <2 × 10−16 *** | <2 × 10−16 *** | <2 × 10−16 *** | <2 × 10−16 *** | n/a | <2 × 10−16 *** | 0.0058 ** | <2 × 10−16 *** |
| Error (DF = 80) | ||||||||
| SS | 7267 | 16.75 | 0.727 | 7733 | n/a | 7.44 | 113.4000 | 8000 |
| MS | 90.8 | 0.209 | 0.00908 | 96.7 | n/a | 0.093 | 1.4170 | 100 |
| TL | SL | RL | VI | SFW | RFW | SDW | RDW | |
|---|---|---|---|---|---|---|---|---|
| Mean | 4.96 | 3.88 | 1.07 | 444.29 | 15.80 | 4.63 | 3.45 | 1.19 |
| Median | 5.02 | 4.04 | 0.92 | 453.60 | 16.36 | 3.35 | 3.68 | 1.24 |
| Anderson-Darling Normality Test | ||||||||
| AD-value | 0.2618 | 0.6469 | 2.2196 | 0.2902 | 0.5547 | 4.7936 | 1.2093 | 1.8591 |
| p-value | 0.6997 | 0.0893 | 1.16 × 10−5 | 0.6061 | 0.1494 | 6.15 × 10−12 | 0.0036 | 8.93 × 10−5 |
| ANOVA | ||||||||
| Varieties (DF = 39) | ||||||||
| SS | 375.4481 | 180.2389 | 58.25 | 4,633,768 | 3385.1960 | 2470.3946 | 175.1349 | 62.2502 |
| MS | 9.6270 | 4.6220 | 1.49 | 118,815 | 86.8000 | 53.3400 | 4.4910 | 1.5962 |
| F-value | 15.81 | 13.71 | 15.25 | 15.36 | 36.06 | 43.58 | 20.65 | 8.37 |
| p-value | <2 × 10−16 *** | <2 × 10−16 *** | <2 × 10−16 *** | <2 × 10−16 *** | <2 × 10−16 *** | <2 × 10−16 *** | <2 × 10−16 *** | 8.93 × 10−16 *** |
| Error (DF = 80) | ||||||||
| SS | 48.7166 | 26.9623 | 7.8339 | 618,981 | 192.5450 | 116.2765 | 17.3964 | 15.2516 |
| MS | 0.6090 | 0.3370 | 0.0979 | 7737 | 2.4100 | 1.4500 | 0.2170 | 0.1906 |
| RSE | 0.7804 | 0.5805 | 0.3129 | 87.9617 | 1.5514 | 1.2056 | 0.4663 | 0.4366 |
| Germination Parameters | ||||||||
|---|---|---|---|---|---|---|---|---|
| Group | FGP | GR | MGT | GI | GE | GS | GC | PV |
| WT | −2.93 | −0.40 | 1.73 | −2.93 | −2.07 | −1.93 | −2.72 | −1.48 |
| MT | 0.23 | 0.01 | −0.10 | 0.23 | 0.13 | 0.13 | 0.20 | 0.10 |
| HT | 0.42 | 0.44 | −0.75 | 0.42 | 0.83 | 0.54 | 0.56 | 0.50 |
| Growth Parameters | ||||||||
| Group | TL | SL | RL | SFW | RFW | SDW | RDW | VI |
| WT | −1.21 | −1.09 | −1.16 | −1.37 | −0.79 | −1.28 | −1.07 | −1.78 |
| MT | −0.01 | 0.02 | −0.06 | 0.03 | −0.10 | 0.05 | −0.03 | 0.05 |
| HT | 1.93 | 1.21 | 2.76 | 1.54 | 3.00 | 1.01 | 2.14 | 1.77 |
| # | Marker | Chr | Repeat Motif | Number of Alleles | PIC |
|---|---|---|---|---|---|
| 1. | RM462 | 1 | (GA)12 | 3 | 0.40 |
| 2. | RM283 | 1 | (GA)18 | 3 | 0.61 |
| 3. | RM493 | 1 | (CTT)9 | 6 | 0.72 |
| 4. | RM9 | 1 | (GA)15GT(GA)2 | 8 | 0.83 |
| 5. | RM488 | 1 | (GA)17 | 8 | 0.84 |
| 6. | RM403 | 1 | (GA)8 | 2 | 0.50 |
| 7. | RM279 | 2 | (GA)16 | 6 | 0.73 |
| 8. | RM561 | 2 | (GA)11 | 4 | 0.70 |
| 9. | RM526 | 2 | (TAAT)5 | 4 | 0.63 |
| 10. | RM327 | 2 | (CAT)11(CTT)5 | 3 | 0.64 |
| 11. | RM475 | 2 | (TATC)8 | 6 | 0.77 |
| 12. | RM423 | 2 | (TTC)9 | 4 | 0.70 |
| 13. | RM231 | 3 | (CT)16 | 5 | 0.70 |
| 14. | RM489 | 3 | (ATA)8 | 4 | 0.60 |
| 15. | RM517 | 3 | (CT)15 | 5 | 0.76 |
| 16. | RM7 | 3 | (GA)19 | 5 | 0.75 |
| 17. | RM563 | 3 | (CCT)6 | 3 | 0.66 |
| 18. | RM261 | 4 | C9(CT)8 | 5 | 0.70 |
| 19. | RM317 | 4 | (GC)4(GT)18 | 4 | 0.60 |
| 20. | RM471 | 4 | (GA)12 | 5 | 0.75 |
| 21. | RM559 | 4 | (AACA)6 | 2 | 0.50 |
| 22. | RM267 | 5 | (GA)21 | 6 | 0.77 |
| 23. | RM574 | 5 | (GA)11 | 5 | 0.63 |
| 24. | RM430 | 5 | (GA)25 | 6 | 0.72 |
| 25. | RM161 | 5 | (AG)20 | 6 | 0.64 |
| 26. | RM343 | 6 | (CAT)5(CAC)5CAT(CAC)4 | 2 | 0.50 |
| 27. | RM539 | 6 | (TAT)21 | 6 | 0.87 |
| 28. | RM527 | 6 | (GA)17 | 5 | 0.72 |
| 29. | RM540 | 6 | (AG)16 | 5 | 0.72 |
| 30. | RM454 | 6 | (GCT)8 | 4 | 0.67 |
| 31. | RM217 | 6 | (CT)20 | 8 | 0.83 |
| 32. | RM481 | 7 | (CAA)12 | 9 | 0.86 |
| 33. | RM500 | 7 | (AAG)9 | 5 | 0.70 |
| 34. | RM560 | 7 | (CT)12 | 4 | 0.66 |
| 35. | RM505 | 7 | (CT)12 | 3 | 0.54 |
| 36. | RM18 | 7 | (GA)4AA(GA)(AG)16 | 4 | 0.68 |
| 37. | RM502 | 8 | (TG)10 | 4 | 0.66 |
| 38. | RM404 | 8 | (GA)33 | 5 | 0.72 |
| 39. | RM433 | 8 | (AG)13 | 5 | 0.50 |
| 40. | RM337 | 8 | (CTT)4-19-(CTT)8 | 3 | 0.66 |
| 41. | RM38 | 8 | (GA)16 | 7 | 0.73 |
| 42. | RM316 | 9 | (GT)8-(TG)9(TTTG)4(TG)4 | 5 | 0.79 |
| 43. | RM105 | 9 | (CCT)6 | 5 | 0.76 |
| 44. | RM566 | 9 | (AG)15 | 8 | 0.85 |
| 45. | RM242 | 9 | (CT)26 | 7 | 0.81 |
| 46. | RM201 | 9 | (CT)17 | 4 | 0.65 |
| 47. | RM333 | 10 | (TAT)19(CTT)19 | 8 | 0.83 |
| 48. | RM269 | 10 | (GA)17 | 5 | 0.64 |
| 49. | RM474 | 10 | (AT)13 | 5 | 0.78 |
| 50. | RM596 | 10 | (GAC)10 | 2 | 0.47 |
| 51. | RM20B | 11 | (ATT)n | 3 | N/A |
| 52. | RM332 | 11 | (CTT)5-12-(CTT)14 | 5 | 0.65 |
| 53. | RM479 | 11 | (TC)9 | 2 | 0.50 |
| 54. | RM209 | 11 | (CT)18 | 7 | 0.77 |
| 55. | RM21 | 11 | (GA)18 | 9 | 0.88 |
| 56. | RM19 | 12 | (ATC)10 | 6 | N/A |
| 57. | RM117 | 12 | (AG)7 | 3 | 0.70 |
| 58. | RM463 | 12 | (TTAT)5 | 3 | 0.60 |
| 59. | RM512 | 12 | (TTTA)5 | 3 | 0.57 |
Disclaimer/Publisher’s Note: The statements, opinions and data contained in all publications are solely those of the individual author(s) and contributor(s) and not of MDPI and/or the editor(s). MDPI and/or the editor(s) disclaim responsibility for any injury to people or property resulting from any ideas, methods, instructions or products referred to in the content. |
© 2025 by the authors. Licensee MDPI, Basel, Switzerland. This article is an open access article distributed under the terms and conditions of the Creative Commons Attribution (CC BY) license (https://creativecommons.org/licenses/by/4.0/).
Share and Cite
Anwar, A.; Tabassum, J.; Ahmad, S.; Ashfaq, M.; Hussain, A.; Ullah, M.A.; Saad, N.S.B.M.; Ghazy, A.I.; Javed, M.A. Screening and Assessment of Genetic Diversity of Rice (Oryza sativa L.) Germplasm in Response to Soil Salinity Stress at Germination Stage. Agronomy 2025, 15, 376. https://doi.org/10.3390/agronomy15020376
Anwar A, Tabassum J, Ahmad S, Ashfaq M, Hussain A, Ullah MA, Saad NSBM, Ghazy AI, Javed MA. Screening and Assessment of Genetic Diversity of Rice (Oryza sativa L.) Germplasm in Response to Soil Salinity Stress at Germination Stage. Agronomy. 2025; 15(2):376. https://doi.org/10.3390/agronomy15020376
Chicago/Turabian StyleAnwar, Alia, Javaria Tabassum, Shakeel Ahmad, Muhammad Ashfaq, Adil Hussain, Muhammad Asad Ullah, Nur Shuhadah Binti Mohd Saad, Abdelhalim I. Ghazy, and Muhammad Arshad Javed. 2025. "Screening and Assessment of Genetic Diversity of Rice (Oryza sativa L.) Germplasm in Response to Soil Salinity Stress at Germination Stage" Agronomy 15, no. 2: 376. https://doi.org/10.3390/agronomy15020376
APA StyleAnwar, A., Tabassum, J., Ahmad, S., Ashfaq, M., Hussain, A., Ullah, M. A., Saad, N. S. B. M., Ghazy, A. I., & Javed, M. A. (2025). Screening and Assessment of Genetic Diversity of Rice (Oryza sativa L.) Germplasm in Response to Soil Salinity Stress at Germination Stage. Agronomy, 15(2), 376. https://doi.org/10.3390/agronomy15020376

