Identification of Mango Cultivars’ Resistance Against Red Spider Mite: Impact of Climate Elements on Resistance Performance
Abstract
1. Introduction
2. Materials and Methods
2.1. Mango Cultivars
2.2. Laboratory Rearing of MRSM
2.3. Identification of Mango Resistance to MRSM
2.4. Greenhouse Identification of Mango Cultivar Resistance to MRSM
2.5. Greenhouse Evaluation of Various Mango Cultivars on the Reproduction and Development of the MRSM
2.6. Field Evaluation of Mango Cultivar Resistance to MRSM
2.7. The Yield of Mango Fruit With or Without Acaricide Application
2.8. Climate Elements
2.9. Statistical Analyses
2.9.1. Statistical Analyses for Resistance and Yield Performance
2.9.2. Statistical Analyses of Climate Elements
Kendall’s Coefficient of Concordance (Kendall’s W)
Multiple Linear Least-Squares Regression for Climate Data
Mann–Kendall Trend Analysis on Climate Data
3. Results
3.1. Identification of Mango Cultivar Resistance to MRSM Under Greenhouse Condition
3.2. The Impact on Reproduction and Development of the MRSM While Fed on Different Mango Cultivars
3.3. Field Identification of Mango Cultivars Resistance to MRSM
3.4. The Climate Element Dynamic in the Five Planting Seasons
3.5. The MRSM Density Dynamic Under the Changing Climate Elements
3.6. Impact of Climate Elements on MRSM-Resistance Performance
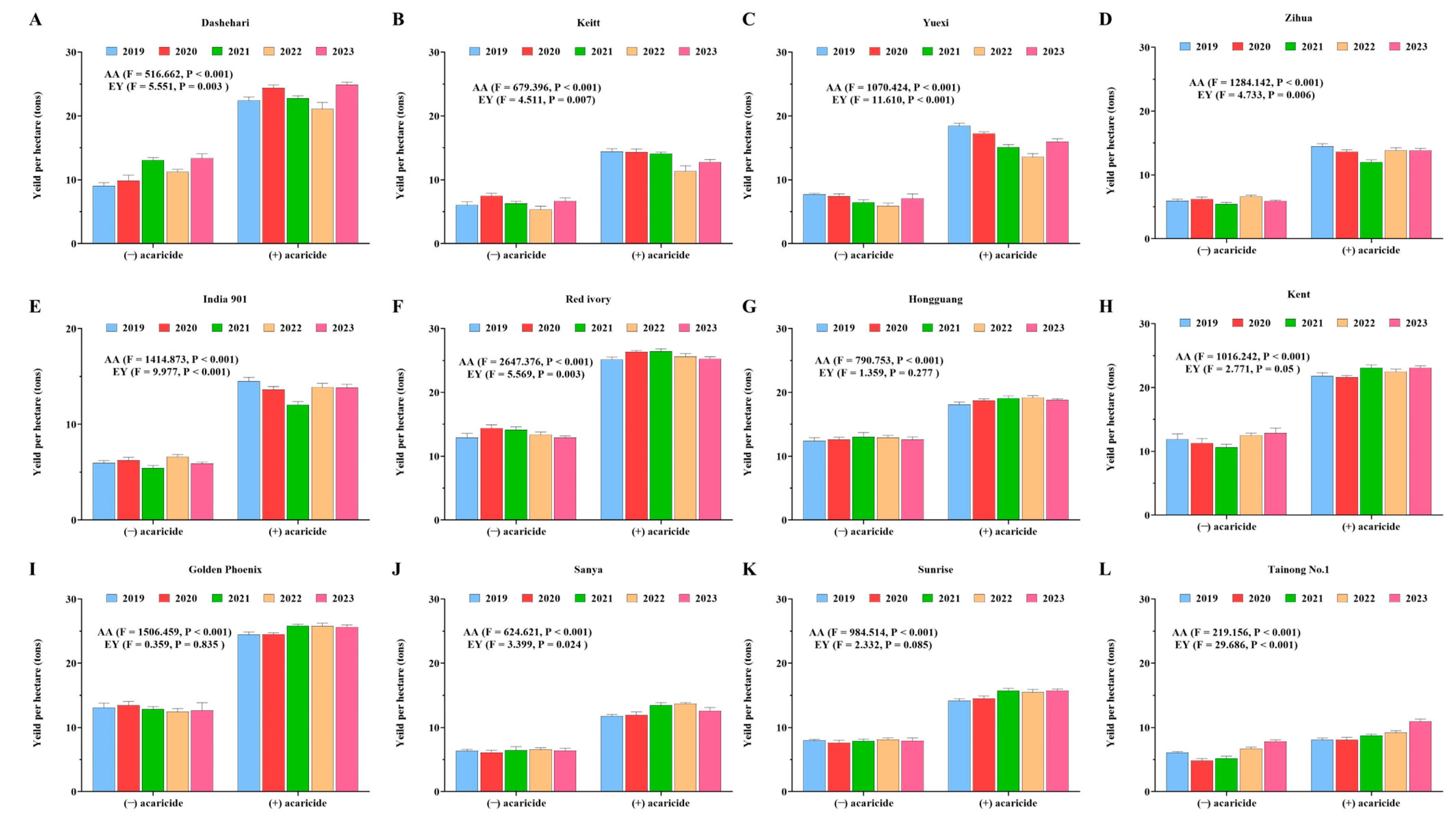
3.7. The Yield Losses of Different Mango Cultivars Caused by MRSM
4. Discussion
5. Conclusions
Supplementary Materials
Author Contributions
Funding
Data Availability Statement
Conflicts of Interest
References
- Zhang, H.; Liu, Z.; Luo, R.; Sun, Y.; Yang, C.; Li, X.; Gao, A.; Pu, J. Genome-wide characterization, identification and expression profile of MYB transcription factor gene family during abiotic and biotic stresses in mango (Mangifera indica). Plants 2022, 11, 3141. [Google Scholar] [CrossRef]
- Lin, M.-Y. Temperature-dependent life history of Oligonychus mangiferus (Acari: Tetranychidae) on Mangifera indica. Exp. Appl. Acarol. 2013, 61, 403–413. [Google Scholar] [CrossRef] [PubMed]
- Migeon, A.; Dorkeld, F. Spider Mites Web: A Comprehensive Database for the Tetranychidae. Physics Web 2006–2012. Available online: http://www1.montpellier.inra.fr/CBGP/spmweb/ (accessed on 15 July 2012).
- Van Leeuwen, T.; Vontas, J.; Tsagkarakou, A.; Dermauw, W.; Tirry, L. Acaricide resistance mechanisms in the two-spotted spider mite Tetranychus urticae and other important Acari: A review. Insect Biochem. Mol. Biol. 2010, 40, 563–572. [Google Scholar] [CrossRef] [PubMed]
- Nguyen, T.V.; Shih, C.-I.T. Predation rates of Neoseiulus womersleyi (Schicha) and Euseius ovalis (Evans) feeding on tetranychid mites (Acari: Phytoseiidae, Tetranychidae). J. Asia-Pac. Entomol. 2011, 14, 441–447. [Google Scholar] [CrossRef]
- Liang, X.; Chen, Q.; Liu, Y.; Wu, C.; Li, K.; Wu, M.; Yao, X.; Qiao, Y.; Zhang, Y.; Geng, Y. Identification of cassava germplasms resistant to two-spotted spider mite in China: From greenhouse large-scale screening to field validation. Front. Plant Sci. 2022, 13, 1054909. [Google Scholar] [CrossRef] [PubMed]
- Bhumannavar, B.S.; Singh, S.P.; Sulladmath, V.V. Evaluation of citrus germplasm for resistance to the oriental red mite, Eutetranychus orientalis (Klein) under tropical humid South Indian conditions. Trop. Pest Manag. 1988, 34, 193–198. [Google Scholar] [CrossRef]
- Rodrigues, J.C.V.; Irish, B.M. Effect of coconut palm proximities and Musa spp. germplasm resistance to colonization by Raoiella indica (Acari: Tenuipalpidae). Exp. Appl. Acarol. 2012, 57, 309–316. [Google Scholar] [CrossRef]
- Felipe, J.E.L.; Lachica, J.A.P.; Dela Cueva, F.M.; Laurel, N.R.; Alcasid, C.E.; Sison, M.L.J.; Valencia, L.D.C.; Ocampo, E.T.M. Validation and molecular analysis of β-1,3-GLU2 SNP marker associated with resistance to Colletotrichum gloeosporioides in mango (Mangifera indica L.). Physiol. Mol. Plant Pathol. 2022, 118, 101804. [Google Scholar] [CrossRef]
- Sivankalyani, V.; Feygenberg, O.; Diskin, S.; Wright, B.; Alkan, N. Increased anthocyanin and flavonoids in mango fruit peel are associated with cold and pathogen resistance. Postharvest Biol. Technol. 2016, 111, 132–139. [Google Scholar] [CrossRef]
- Vitale, A.; Alfenas, A.C.; de Siqueira, D.L.; Magistà, D.; Perrone, G.; Polizzi, G. Cultivar resistance against colletotrichum asianum in the world collection of mango germplasm in Southeastern Brazil. Plants 2020, 9, 182. [Google Scholar] [CrossRef] [PubMed]
- Ferguson, S.H.; Joly, D.O. Dynamics of springtail and mite populations: The role of density dependence, predation, and weather. Ecol. Entomol. 2002, 27, 565–573. [Google Scholar] [CrossRef]
- Ochiai, N.; Mizuno, M.; Mimori, N.; Miyake, T.; Dekeyser, M.; Canlas, L.J.; Takeda, M. Toxicity of bifenazate and its principal active metabolite, diazene, to Tetranychus urticae and Panonychus citri and their relative toxicity to the predaceous mites, Phytoseiulus persimilis and Neoseiulus californicus. Exp. Appl. Acarol. 2007, 43, 181–197. [Google Scholar] [CrossRef] [PubMed]
- Bolker, B.M.; Brooks, M.E.; Clark, C.J.; Geange, S.W.; Poulsen, J.R.; Stevens, M.H.H.; White, J.-S.S. Generalized linear mixed models: A practical guide for ecology and evolution. Trends Ecol. Evol. 2009, 24, 127–135. [Google Scholar] [CrossRef]
- Legendre, P. Species associations: The Kendall coefficient of concordance revisited. J. Agric. Biol. Environ. Stat. 2005, 10, 226–245. [Google Scholar] [CrossRef]
- Mondal, A.; Kundu, S.; Mukhopadhyay, A. Rainfall trend analysis by Mann-Kendall test: A case study of north-eastern part of Cuttack district, Orissa. Int. J. Geol. Earth Environ. Sci. 2012, 2, 70–78. [Google Scholar]
- Pirnia, A.; Golshan, M.; Darabi, H.; Adamowski, J.; Rozbeh, S. Using the Mann–Kendall test and double mass curve method to explore stream flow changes in response to climate and human activities. J. Water Clim. Change 2019, 10, 725–742. [Google Scholar] [CrossRef]
- Bao, Z.; Zhang, J.; Wang, G.; Chen, Q.; Guan, T.; Yan, X.; Liu, C.; Liu, J.; Wang, J. The impact of climate variability and land use/cover change on the water balance in the Middle Yellow River Basin, China. J. Hydrol. 2019, 577, 123942. [Google Scholar] [CrossRef]
- Bellotti, A.; Herrera Campo, B.V.; Hyman, G. Cassava production and pest management: Present and potential threats in a changing environment. Trop. Plant Biol. 2012, 5, 39–72. [Google Scholar] [CrossRef]
- Hussey, N.W.; Parr, W.J. The effect of glasshouse red spider mite (Tetranychus Urticae Koch) on the yield of cucumbers. J. Hortic. Sci. 1963, 38, 255–263. [Google Scholar] [CrossRef]
- Miyazaki, J.; Wilson, L.J.; Stiller, W.N. Fitness of twospotted spider mites is more affected by constitutive than induced resistance traits in cotton (Gossypium spp.). Pest Manag. Sci. 2013, 69, 1187–1197. [Google Scholar] [CrossRef]
- Lu, F.; Chen, Z.; Lu, H.; Liang, X.; Zhang, H.; Li, Q.; Chen, Q.; Huang, H.; Hua, Y.; Tian, W. Effects of resistant and susceptible rubber germplasms on development, reproduction and protective enzyme activities of Eotetranychus sexmaculatus (Acari: Tetranychidae). Exp. Appl. Acarol. 2016, 69, 427–443. [Google Scholar] [CrossRef] [PubMed]
- Miyazaki, J.; Stiller, W.N.; Wilson, L.J. Novel cotton germplasm with host plant resistance to twospotted spider mite. Field Crops Res. 2012, 134, 114–121. [Google Scholar] [CrossRef]
- Bhusal, S.J.; Jiang, G.L.; Tilmon, K.J.; Hesler, L.S. Identification of soybean aphid resistance in early maturing genotypes of soybean. Crop Sci. 2013, 53, 491–499. [Google Scholar] [CrossRef]
- Zhu, L.; Li, J.; Xu, Z.; Hakim, M.; Li, S.; Alariqi, M.; Jin, S.; Zhang, X. Identification and selection of resistance to Bemisia tabaci among 550 cotton genotypes in thefield and greenhouse experiments. Front. Agric. Sci. Eng. 2018, 5, 236–252. [Google Scholar]
- Hardman, J.M.; Jensen, K.I.N.; Franklin, J.L.; Moreau, D.L. Effects of dispersal, predators (Acari: Phytoseiidae), weather, and ground cover treatments on populations of Tetranychus urticae (Acari: Tetranychidae) in apple orchards. J. Econ. Entomol. 2005, 98, 862–874. [Google Scholar] [CrossRef] [PubMed]
- Bostanian, N.J.; Hardman, J.M.; Racette, G.; Franklin, J.L. The relationship between winter egg counts of the European red mite Panonychus ulmi (Acari: Tetranychidae) and its summer abundance in a reduced spray orchard. Exp. Appl. Acarol. 2007, 42, 185–195. [Google Scholar] [CrossRef]
- Nasrin, M.; Amin, M.R.; Miah, M.R.U.; Akanda, A.M.; Miah, M.G.; Kwon, O.; Suh, S.J. Occurrence and severity of mite Polyphagotarsonemus latus (Tarsonemidae) on chili plants: Analysis of pest-weather and host plant characteristics. Entomol. Res. 2021, 51, 273–281. [Google Scholar] [CrossRef]
- Rubiales, D.; Flores, F.; Emeran, A.A.; Kharrat, M.; Amri, M.; Rojas-Molina, M.M.; Sillero, J.C. Identification and multi-environment validation of resistance against broomrapes (Orobanche crenata and Orobanche foetida) in faba bean (Vicia faba). Field Crops Res. 2014, 166, 58–65. [Google Scholar] [CrossRef]
- Villegas-Fernández, A.M.; Sillero, J.C.; Emeran, A.A.; Winkler, J.; Raffiot, B.; Tay, J.; Flores, F.; Rubiales, D. Identification and multi-environment validation of resistance to Botrytis fabae in Vicia faba. Field Crops Res. 2009, 114, 84–90. [Google Scholar] [CrossRef]
- Bellotti, A.C. Cassava pests and their management. In Encyclopedia of Entomology; Capinera, J.L., Ed.; Springer: Dordrecht, The Netherland, 2008; pp. 764–794. [Google Scholar]
- Louda, S.M.; Collinge, S.K. Plant resistance to insect herbivores: A field test of the environmental stress hypothesis. Ecology 1992, 73, 153–169. [Google Scholar] [CrossRef]
- de los Campos, G.; Pérez-Rodríguez, P.; Bogard, M.; Gouache, D.; Crossa, J. A data-driven simulation platform to predict cultivars’ performances under uncertain weather conditions. Nat. Commun. 2020, 11, 4876. [Google Scholar] [CrossRef]
- CIAT. Annual Report Cassava Program; CIAT: Cali, Colombia, 2007. [Google Scholar]







| No. | Cultivars | Three Rounds of Greenhouse Tests | MDI Average | Overall RL | |||||
|---|---|---|---|---|---|---|---|---|---|
| 1st | RL | 2nd | RL | 3rd | RL | ||||
| 1 | Dashehari | 88.89 | HS | 94.44 | HS | 95.83 | HS | 93.06 ± 2.12 a | HS |
| 2 | Keitt | 90.28 | HS | 91.67 | HS | 94.44 | HS | 92.13 ± 1.22 a | HS |
| 3 | Yuexi | 90.2 | HS | 93.06 | HS | 91.67 | HS | 91.67 ± 0.80 a | HS |
| 4 | Zihua | 80.56 | S | 81.94 | HS | 91.67 | HS | 84.72 ± 3.49 b | S |
| 5 | India 901 | 79.17 | S | 73.61 | S | 77.78 | S | 76.85 ± 1.67 c | S |
| 6 | Red ivory | 69.44 | S | 65.28 | S | 63.89 | S | 66.20 ± 1.66 d | S |
| 7 | Hongguang | 76.39 | S | 79.17 | S | 79.17 | S | 78.24 ± 0.92 bc | S |
| 8 | Kent | 54.17 | MR | 65.28 | S | 69.44 | S | 62.96 ± 4.55 d | S |
| 9 | Golden Phoenix | 50.00 | MR | 45.83 | MR | 48.61 | MR | 48.15 ± 1.22 e | MR |
| 10 | Sanya | 30.56 | R | 29.17 | R | 34.72 | R | 31.48 ± 1.66 f | R |
| 11 | Sunrise | 33.33 | R | 30.56 | R | 22.22 | R | 28.70 ± 3.33 f | R |
| 12 | Tainong No. 1 | 9.72 | HR | 11.11 | HR | 9.72 | HR | 10.19 ± 0.46 g | HR |
| Greenhouse Concordance | Field Concordance | Greenhouse-Field Concordance | |
|---|---|---|---|
| Total, N | 12 | 12 | 12 |
| Kendall’s W | 0.256 | 0.424 | 0.278 |
| Test statistic | 1.348 | 20.333 | 1.333 |
| Degree of freedom | 2 | 4 | 1 |
| Asymptotic sig. | 0.510 | 0.002 ** | 0.248 |
| TSUM | PSUM | RAH | |
|---|---|---|---|
| Total, N | 5 | 5 | 5 |
| Kendall’s W | 0.524 | 0.280 | 0.712 |
| Test statistic | 16.480 | 5.600 | 14.240 |
| Degree of freedom | 4 | 4 | 4 |
| Asymptotic sig. | 0.012 * | 0.231 | 0.007 ** |
| Seasons | 2018–2019 | 2019–2020 | 2020–2021 | 2021–2022 | 2022–2023 |
|---|---|---|---|---|---|
| Weather Lements | Average Mite Density/Leaf | ||||
| TSUM | 0.5715 * | −0.1489 | 0.1663 | −0.2919 | 0.6100 * |
| PSUM | −0.8186 ** | −0.5941 * | −0.5733 * | −0.6765 ** | −0.7499 ** |
| RAH | −0.0499 | 0.1493 | 0.2297 | 0.2079 | 0.2047 |
Disclaimer/Publisher’s Note: The statements, opinions and data contained in all publications are solely those of the individual author(s) and contributor(s) and not of MDPI and/or the editor(s). MDPI and/or the editor(s) disclaim responsibility for any injury to people or property resulting from any ideas, methods, instructions or products referred to in the content. |
© 2025 by the authors. Licensee MDPI, Basel, Switzerland. This article is an open access article distributed under the terms and conditions of the Creative Commons Attribution (CC BY) license (https://creativecommons.org/licenses/by/4.0/).
Share and Cite
Liang, X.; Xu, X.; Liu, Y.; Wu, C.; Wu, M.; Chen, Q. Identification of Mango Cultivars’ Resistance Against Red Spider Mite: Impact of Climate Elements on Resistance Performance. Agronomy 2025, 15, 324. https://doi.org/10.3390/agronomy15020324
Liang X, Xu X, Liu Y, Wu C, Wu M, Chen Q. Identification of Mango Cultivars’ Resistance Against Red Spider Mite: Impact of Climate Elements on Resistance Performance. Agronomy. 2025; 15(2):324. https://doi.org/10.3390/agronomy15020324
Chicago/Turabian StyleLiang, Xiao, Xuelian Xu, Ying Liu, Chunling Wu, Mufeng Wu, and Qing Chen. 2025. "Identification of Mango Cultivars’ Resistance Against Red Spider Mite: Impact of Climate Elements on Resistance Performance" Agronomy 15, no. 2: 324. https://doi.org/10.3390/agronomy15020324
APA StyleLiang, X., Xu, X., Liu, Y., Wu, C., Wu, M., & Chen, Q. (2025). Identification of Mango Cultivars’ Resistance Against Red Spider Mite: Impact of Climate Elements on Resistance Performance. Agronomy, 15(2), 324. https://doi.org/10.3390/agronomy15020324

