Research on Simplified Nursery and Labor-Saving Mechanized Transplanting Technologies to Improve Rice Production Efficiency in Southern China
Abstract
1. Introduction
2. Materials and Methods
2.1. Experimental Site Description
2.2. Measurement Items and Methods
2.2.1. Substrate Physicochemical Properties
2.2.2. Seedling Emergence Rate
2.2.3. Seedling Tray Weight
2.2.4. Seedling Quality
2.2.5. Nitrogen Content and Accumulation
2.2.6. Mechanized Transplanting Quality
2.2.7. Yield and Its Components
2.3. Statistical Analysis
3. Results
3.1. Effects of Different Substrates on Seedling Quality, Transplanting Quality and Yield
3.1.1. Seedling Quality
3.1.2. Transplanting Quality and Seedling Tray Weight
3.1.3. Yield and Its Components
3.2. Effects of Different Seeding Densities and Age on Seedlings
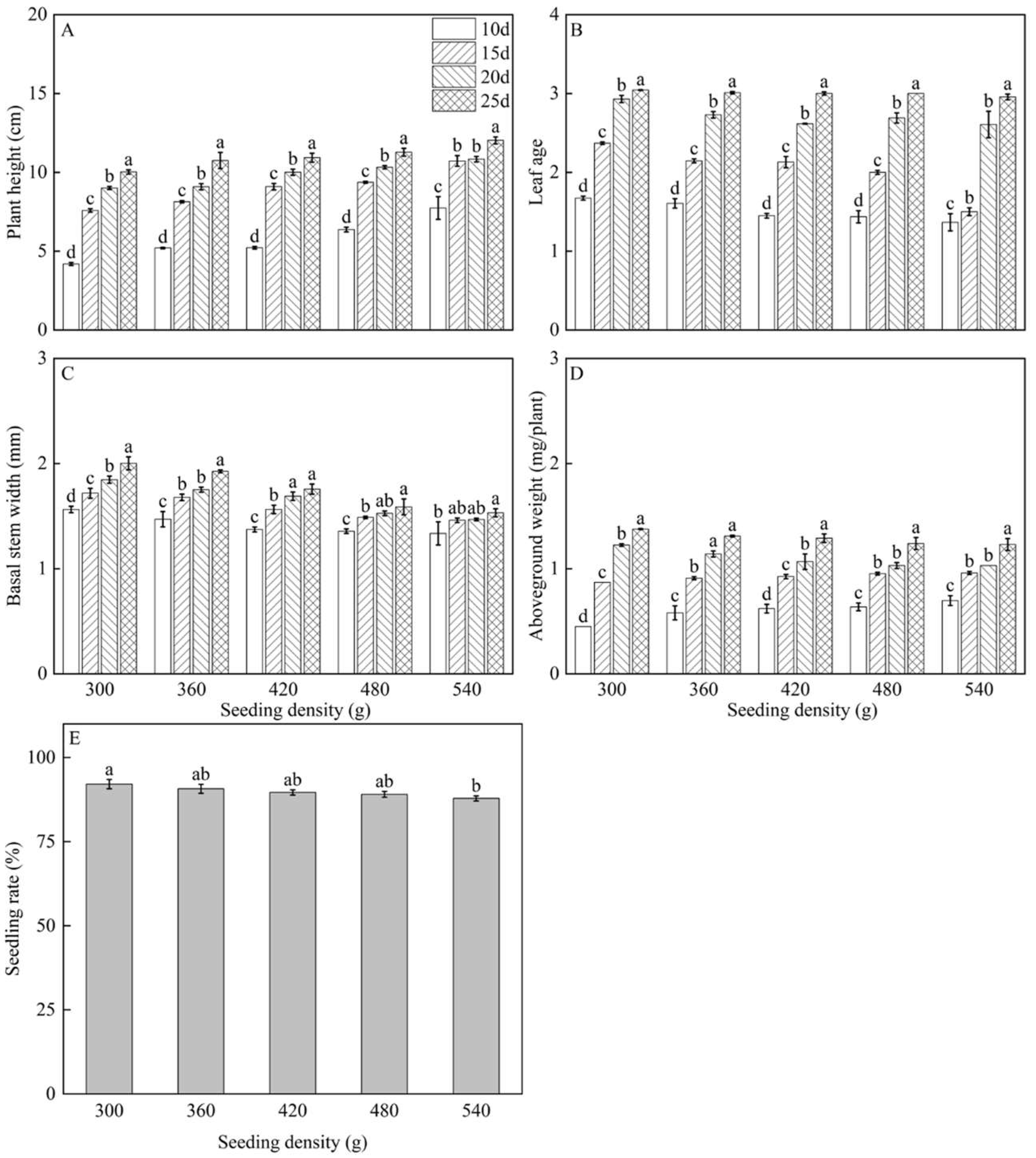
3.2.1. Aboveground Traits of Rice Seedlings
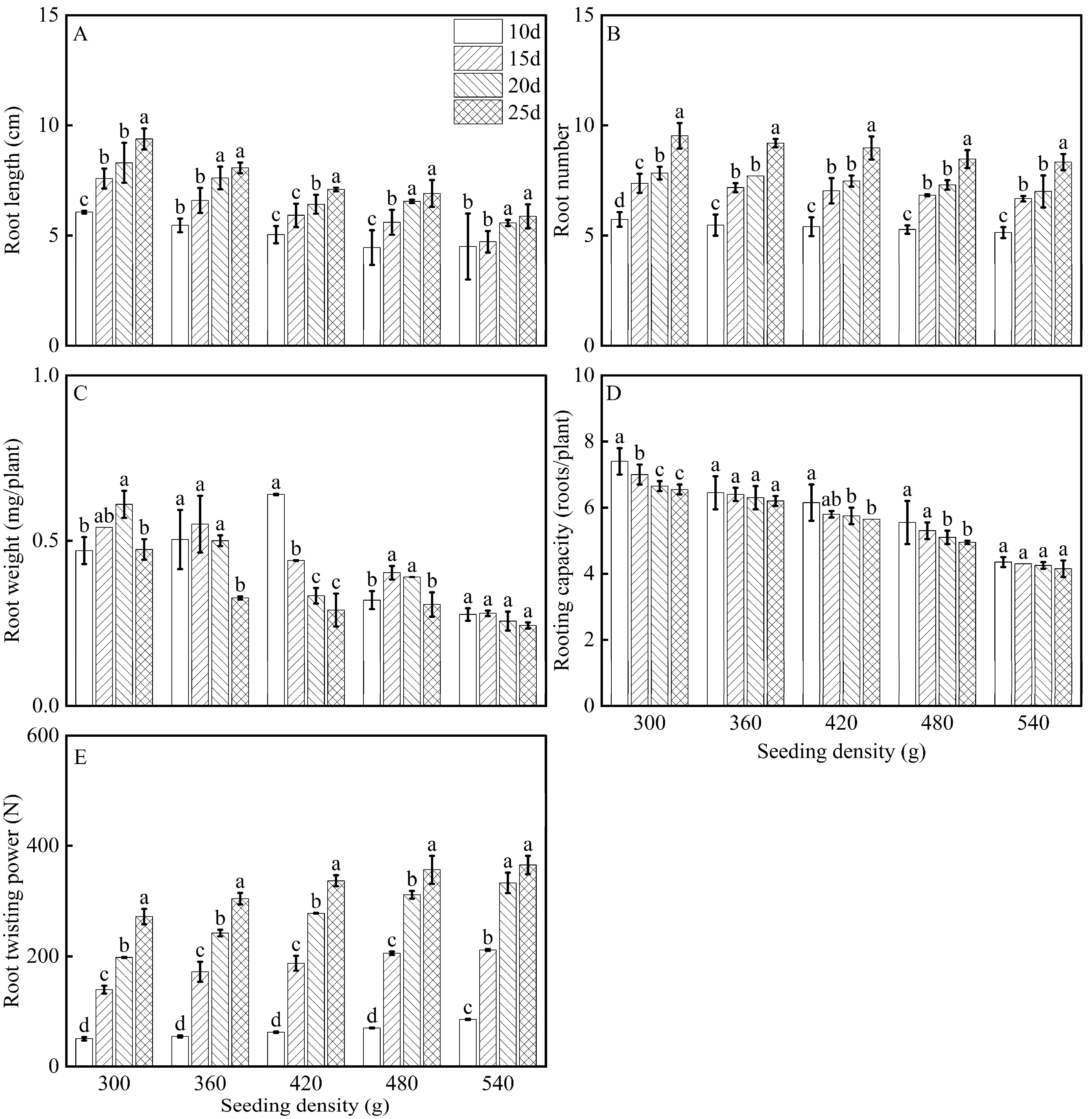
3.2.2. Root Traits of Rice Seedlings
3.2.3. Nitrogen Content and Nitrogen Accumulation
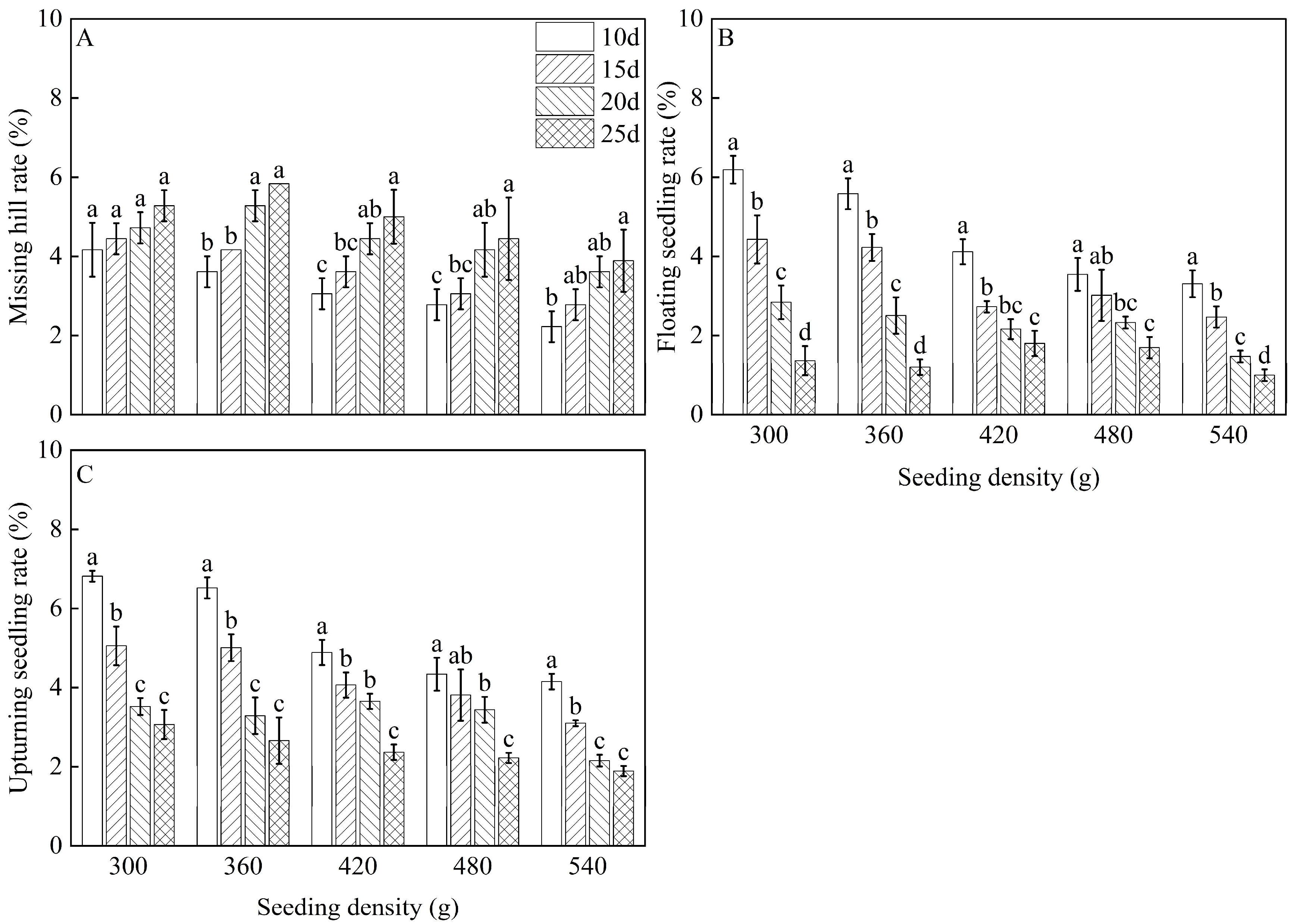
3.2.4. Mechanized Transplanting Quality
3.2.5. Seedling Tray and Mat Weight
3.2.6. Cost of Seedling Cultivation and Transportation
3.2.7. PCA and Comprehensive Score
4. Discussion
4.1. Effect of Lightweight Seedling Substrates on Rice Seedling Cultivation
4.2. Effects of Seeding Density and Seedling Age on Rice Seedling Cultivation
4.3. Practical Implications for Large-Scale Mechanized Transplanting
5. Conclusions
Author Contributions
Funding
Institutional Review Board Statement
Informed Consent Statement
Data Availability Statement
Conflicts of Interest
References
- Azeem, B.; KuShaari, K.; Man, Z.B.; Basit, A.; Thanh, T.H. Review on materials & methods to produce controlled release coated urea fertilizer. J. Controlled Release 2014, 181, 11–21. [Google Scholar] [CrossRef]
- Bo, Y.; Wang, X.H.; van Groenigen, K.J.; Linquist, B.A.; Müller, C.; Li, T.; Yang, J.C.; Jägermeyr, J.; Qin, Y.; Zhou, F. Improved alternate wetting and drying irrigation increases global water productivity. Nat. Food 2024, 5, 1005–1013. [Google Scholar] [CrossRef]
- Li, Z.H.; Ma, X.; Li, X.H.; Chen, L.T.; Li, H.W.; Yuan, Z.C. Research Progress of Rice Transplanting Mechanization. Trans. Chin. Soc. Agric. Mach. 2018, 49, 1–20. [Google Scholar] [CrossRef]
- Peng, S.B.; Zheng, C.; Yu, X. Progress and challenges of rice ratooning technology in China. Crop. Environ. 2023, 2, 5–11. [Google Scholar] [CrossRef]
- Zhang, X.; Ding, J.S.; Liu, Y.L.; Gu, Y.; Han, K.F.; Wu, L.H. Effects of mechanical transplanting of rice with controlled release bulk blending fertilizer on rice yield and soil fertility. Chin. J. Appl. Ecol. 2014, 25, 783–789. [Google Scholar] [CrossRef]
- Paman, U.; Inaba, S.; Uchida, S. The mechanization of small-scale rice farming: Labor requirements and costs. Eng. Agric. Environ. Food 2014, 7, 122–126. [Google Scholar] [CrossRef]
- Rath, I.; Pradhan, P.L.; Dash, R.C.; Mahapatra, M.; Sahoo, P.K.; Behera, D.; Behera, A.; Verma, K. Enhancing rice production economics with self-propelled rice transplanters. Int. J. Res. Agron. 2024, 7, 10–13. [Google Scholar] [CrossRef]
- Liu, B.; Han, Y.N.; Yuan, X.F.; Zhu, W.B.; Wang, X.F.; Cui, Z.J. Effects of Five Fungal Chaff Pretreatment Methods on Substrate Properties and Growth of Rice Seedlings. Sci. Agric. Sin. 2016, 49, 3098–3107. [Google Scholar] [CrossRef]
- Ding, W.C.; Song, D.L.; Zhou, W. Dominant factors driving the farmland quality in China and strategies for improvemen. J. Plant Nutr. Fert. 2024, 30, 1580–1594. [Google Scholar] [CrossRef]
- Wei, H.Y.; Xu, F.F.; Zhang, H.C.; Hu, Q.; Liu, G.D.; Li, G.Y.; Zhu, Y. Seedling Cultivation Tray for Labor-Saving Mechanical Transplanting. CN Patent 221843167U, 18 October 2024. [Google Scholar]
- Long, R.P.; Leng, S.C.; Zhao, L.J.; Yin, J.; Yang, J.; Li, G.Y.; Xia, Q.M.; Zhu, H.P.; Zhang, Y.P.; Yang, C.D. Preliminary Study on Mechanical Transplanting Technique of Small Indica Rice Seedlings in Yunnan Province. China Rice 2021, 27, 134–136+139. [Google Scholar] [CrossRef]
- Ling, Y.F.; Liu, M.Z.; Feng, Y.; Xing, Z.P.; Gao, H.; Wei, H.Y.; Hu, Q.; Zhang, H.C. Effects of increased seeding density on seedling characteristics, mechanical transplantation quality, and yields of rice with crop straw boards for seedling cultivation. J. Integr. Agric. 2025, 24, 101–113. [Google Scholar] [CrossRef]
- Lin, Y.J.; Zhang, J.H.; Hu, Z.H.; Zhu, L.F.; Yu, S.M.; Jin, Q.Y. Research on Rice Mechanized Seedling Substrate in China. China Rice 2015, 21, 7–13. [Google Scholar] [CrossRef]
- Zhou, L.Y.; Wu, J.; Gong, K.C.; Zhou, H.; Lu, C.; Huo, Z.Y. Research Progress of Machine-transplanted Rice and Substrate Seedling Raising Techniques. China Rice 2018, 24, 20–23. [Google Scholar] [CrossRef]
- Zhang, Z.H.; Qu, X.S.; Wan, S.; Chen, L.H.; Zhu, Y.G. Comparison of QTL controlling seedling vigour under different temperature conditions using recombinant inbred lines in rice (Oryza sativa). Ann. Bot. 2005, 95, 423–429. [Google Scholar] [CrossRef]
- Wang, D.Y.; Chen, S.; Wang, Z.M.; Ji, C.L.; Xu, C.M.; Zhang, X.F.; Chauhan, B.S. Optimizing Hill Seeding Density for High-Yielding Hybrid Rice in a Single Rice Cropping System in South China. PLoS ONE 2014, 9. [Google Scholar] [CrossRef]
- Ren, H.; Gray, W.M. SAUR Proteins as Effectors of Hormonal and Environmental Signals in Plant Growth. Mol. Plant 2015, 8, 1153–1164. [Google Scholar] [CrossRef] [PubMed]
- Teng, F.; Chen, H.Z.; Zhu, D.F.; Cai, X.Q.; Xiang, J.; Xu, Y.C.; Zhang, Z.K. Effects of seed rate on root twining Power and seedling quality. Acta Agric. Univ. Jiangxiensis 2015, 37, 398–403. [Google Scholar] [CrossRef]
- Jiangsu Academy of Agricultural Sciences. A Multi-Layer Rice Straw Substrate Block for Mechanical Rice Transplanting and a Method for Raising Seedlings. CN Patent 201910772006.3, 25 June 2021. [Google Scholar]
- Longping Seed Co., Ltd. A Tray-Free and Soilless Seedling Raising Method for MechanicallyTransplanted Rice Using Rock Wool Substrate. CN Patent 202110944569.3, 5 November 2021. [Google Scholar]
- Zhang, H.; Jing, W.J.; Zhao, B.H.; Wang, W.L.; Xu, Y.J.; Zhang, W.Y.; Gu, J.F.; Liu, L.J.; Wang, Z.Q.; Yang, J.C. Alternative fertilizer and irrigation practices improve rice yield and resource use efficiency by regulating source-sink relationships. Field Crop. Res. 2021, 265, 108124. [Google Scholar] [CrossRef]
- Chen, H.Z.; XU, Y.C.; Zhang, Y.P.; Xiang, J.; Zhang, Y.K.; Zhu, D.F. Effect of Pot-Mat Seedling on the Quality of Machined Transplanting and Yield Formation of Super Early Rice. Sci. Agric. Sin. 2019, 52, 4240–4250. [Google Scholar] [CrossRef]
- Acuña, R.A.; Bonachela, S.; Magán, J.J.; Marfà, O.; Hernández, J.H.; Cáceres, R. Reuse of rockwool slabs and perlite grow-bags in a low-cost greenhouse: Substrates’ physical properties and crop production. Sci. Hortic. 2013, 160, 139–147. [Google Scholar] [CrossRef]
- Jiang, M.; Chen, Z.; Li, Y.; Wang, J.Q.; Shen, X.P. Effects of different seedling substrates on seedling quality and yield of machine-transplanted rice. Appl. Ecol. Env. Res. 2023, 21, 4407–4423. [Google Scholar] [CrossRef]
- Zhang, Q.; Xiang, K.H.; Sun, Y.J.; Wu, Y.X.; Guo, C.C.; Tang, Y.; Liu, F.Y.; Ma, J. Effects of Seeding Amount and Transplanting Machines on Rice Yield and Population Quality Under Different Seedling Raising Methods. J. Nucl. Agric. Sci. 2020, 34, 2595–2606. [Google Scholar] [CrossRef]
- Zhu, J.W.; Liang, J.; Xu, Z.H.; Fan, X.R.; Zhou, Q.S.; Shen, Q.R.; Xu, G.H. Root aeration improves growth and nitrogen accumulation in rice seedlings under low nitrogen. Aob Plants 2015, 7, plv131. [Google Scholar] [CrossRef]
- Saurabh, K.; Roy, H.S.; Shubha, K.; Sundaram, P.K.; Prakash, V.; Koley, T.K.; Mukherjee, A.; Sarkar, B.; Singh, A.K.; Das, A. Transforming rice straw into eco-friendly growing medium for microgreens: A solution for agricultural waste management. Front. Sustain. Food Syst. 2025, 9, 1556396. [Google Scholar] [CrossRef]
- Hossen, M.A.; Hossain, M.M.; Haque, M.E.; Bell, R.W. Effect of Seed Rate on Seedling Quality for Mechanical Rice Transplanting. Bangladesh Rice J. 2019, 22, 9–23. [Google Scholar] [CrossRef]
- Wu, W.G.; Zhou, Y.J.; Chen, G.; Cai, H.T.; Wu, R.R.; Li, X.H.; Sun, R.Y. Effects of Different Seedling Nursery Substrates and Water Management Modes on Seedling Quality and Yield of Mechanically Transplanted Rice. Chin. J. Eco-Agric. 2014, 22, 1057–1063. [Google Scholar] [CrossRef]
- Li, X.Y.; Zuo, Q.S.; Chang, H.B.; Bai, G.P.; Kuai, J.; Zhou, G.S. Higher density planting benefits mechanical harvesting of rapeseed in the Yangtze River Basin of China. Field Crop. Res. 2018, 218, 97–105. [Google Scholar] [CrossRef]
- Tian, G.L.; Gao, L.M.; Kong, Y.L.; Hu, X.Y.; Xie, K.L.; Zhang, R.Q.; Ling, N.; Shen, Q.R.; Guo, S.W. Improving rice population productivity by reducing nitrogen rate and increasing plant density. PLoS ONE 2017, 12, e0182310. [Google Scholar] [CrossRef]
- Dunn, B.W.; Dunn, T.S.; Mitchell, J.H.; Brinkhoff, J. Effects of plant population and row spacing on grain yield of aerial-sown and drill-sown rice. Crop Pasture Sci. 2020, 71, 219–228. [Google Scholar] [CrossRef]
- Zhang, J.Y.; Zhou, H. Substitution elasticity of labor and machinery in the productionof rice under the background of mechanization: Based on thesurvey data of rice farmers in Jiangsu Province. J. South. Agric. 2019, 50, 432–438. [Google Scholar] [CrossRef]








| Substrate Type | Bulk Density (g/cm3) | Organic Matter (g/kg) | Available N (g/kg) | Available P (g/kg) | Available K (g/kg) |
|---|---|---|---|---|---|
| Nutrient soil | 0.68 | 30.63 | 0.19 | 0.03 | 0.25 |
| Crop straw boards | 0.51 | 720.87 | 0.64 | 0.97 | 2.34 |
| Matrix cotton | 0.09 | 1.86 | 0.00 | 0.00 | 0.00 |
| Treatments | Nutrient Soil | Crop Straw Boards | Matrix Cotton |
|---|---|---|---|
| Seedling rate (%) | 90.33 a | 90.69 a | 91.03 a |
| Plant length (cm) | 8.59 b | 9.34 a | 9.85 a |
| Leaf age | 2.87 b | 2.90 b | 3.03 a |
| Basal stem width (mm) | 1.49 c | 1.65 b | 1.78 a |
| Aboveground dry weight (mg/plant) | 8.47 b | 9.30 a | 9.83 a |
| Root length (cm) | 5.66 a | 5.69 a | 5.53 a |
| Root number | 7.93 a | 8.27 a | 8.18 a |
| Rooting capacity (roots/plant) | 5.60 a | 5.75 a | 5.85 a |
| Root dry weight (mg/plant) | 3.80 a | 4.20 a | 3.07 b |
| Root twisting force (Newton) | 277.73 c | 346.67 b | 487.47 a |
| Nitrogen content (mg/g) | 14.09 b | 14.01 b | 17.77 a |
| 100 plants N accumulation (mg) | 11.93 c | 13.03 b | 17.47 a |
| Treatments | MH | FS | US | ST | TAD | MBT | Number of Trays |
|---|---|---|---|---|---|---|---|
| (%) | (%) | (%) | (kg) | (kg) | (kg) | (trays/ha) | |
| Single blanket—Nutrient soil | 2.74 b | 2.04 b | 2.57 b | 0.57 b | 6.27 c | 7.27 c | 282 a |
| Double blanket—Nutrient soil | 4.17 a | 2.95 a | 3.75 a | 1.55 a | 12.94 a | 14.93 a | 118 b |
| Double blanket—Crop straw boards | 3.33 b | 2.82 a | 3.18 ab | 1.55 a | 8.66 b | 7.58 bc | 118 b |
| Double blanket—Matrix cotton | 2.50 b | 1.18 c | 2.23 b | 1.55 a | 9.19 b | 8.11 b | 118 b |
| Treatments | Panicle Number | Spikelets Per | Filled Grains | Grain Weight | Yield |
|---|---|---|---|---|---|
| (104/ha) | Panicle | (%) | (mg) | (t/ha) | |
| Single blanket—Nutrient soil | 391.95 a | 121.32 b | 90.91 b | 22.51 a | 9.69 b |
| Double blanket—Nutrient soil | 393.30 a | 112.33 b | 90.56 b | 23.22 a | 9.30 b |
| Double blanket—Crop straw boards | 404.70 a | 125.83 a | 90.01 b | 20.78 b | 9.72 a |
| Double blanket—Matrix cotton | 393.30 a | 124.89 a | 92.28 a | 21.13 b | 9.76 a |
| Treatments | Initial Seeding Number 104/ha | Seedling Number 104/Tray | Theoretical Number of Trays/ha | Actual Number of Trays/ha |
|---|---|---|---|---|
| D-300 | 142.5 a | 1.06 e | 134 a | 141 a |
| D-360 | 142.5 a | 1.26 d | 113 b | 118 b |
| D-420 | 142.5 a | 1.43 c | 100 c | 104 c |
| D-480 | 142.5 a | 1.60 b | 89 d | 92 d |
| D-540 | 142.5 a | 1.77 a | 80 e | 83 e |
| Treatments | Actual Number of Trays/ha | Costs of Seedling Trays (CNY/ha) | Costs of Substrates (CNY/ha) | Transportation Expenses for Seedling Trays (CNY/ha) | Overall Costs (CNY/ha) |
|---|---|---|---|---|---|
| SN-150 | 282.00 a | 846.00 a | 366.60 b | 124.08 a | 1336.68 a |
| DS-300 | 141.00 b | 846.00 a | 423.00 a | 62.04 b | 1331.04 b |
| DS-360 | 118.00 c | 708.00 b | 354.00 c | 51.92 c | 1113.92 c |
| DS-420 | 104.00 d | 624.00 c | 312.00 d | 45.76 d | 981.76 d |
| DS-480 | 92.00 e | 552.00 d | 276.00 e | 40.48 e | 868.48 e |
| DS-540 | 83.00 f | 498.00 e | 249.00 f | 36.52 f | 783.52 f |
Disclaimer/Publisher’s Note: The statements, opinions and data contained in all publications are solely those of the individual author(s) and contributor(s) and not of MDPI and/or the editor(s). MDPI and/or the editor(s) disclaim responsibility for any injury to people or property resulting from any ideas, methods, instructions or products referred to in the content. |
© 2025 by the authors. Licensee MDPI, Basel, Switzerland. This article is an open access article distributed under the terms and conditions of the Creative Commons Attribution (CC BY) license (https://creativecommons.org/licenses/by/4.0/).
Share and Cite
Wang, H.; Hu, Z.; Ge, Y.; Xu, F.; Li, G.; Zhu, Y.; Liu, G.; Hu, Q.; Wei, H. Research on Simplified Nursery and Labor-Saving Mechanized Transplanting Technologies to Improve Rice Production Efficiency in Southern China. Agronomy 2025, 15, 2808. https://doi.org/10.3390/agronomy15122808
Wang H, Hu Z, Ge Y, Xu F, Li G, Zhu Y, Liu G, Hu Q, Wei H. Research on Simplified Nursery and Labor-Saving Mechanized Transplanting Technologies to Improve Rice Production Efficiency in Southern China. Agronomy. 2025; 15(12):2808. https://doi.org/10.3390/agronomy15122808
Chicago/Turabian StyleWang, Haoyu, Zengyou Hu, Yutong Ge, Fangfu Xu, Guangyan Li, Ying Zhu, Guodong Liu, Qun Hu, and Haiyan Wei. 2025. "Research on Simplified Nursery and Labor-Saving Mechanized Transplanting Technologies to Improve Rice Production Efficiency in Southern China" Agronomy 15, no. 12: 2808. https://doi.org/10.3390/agronomy15122808
APA StyleWang, H., Hu, Z., Ge, Y., Xu, F., Li, G., Zhu, Y., Liu, G., Hu, Q., & Wei, H. (2025). Research on Simplified Nursery and Labor-Saving Mechanized Transplanting Technologies to Improve Rice Production Efficiency in Southern China. Agronomy, 15(12), 2808. https://doi.org/10.3390/agronomy15122808

