Effects of Co-Existing Microplastics on Adsorption–Desorption Behavior of Perfluorooctanoic Acid in Soil: Co-Sorption and Mechanism Insight
Abstract
1. Introduction
2. Materials and Methods
2.1. Experimental Materials
2.2. Adsorption Experiments
2.2.1. Adsorption Equilibrium Experiment
2.2.2. Adsorption and Desorption Isothermal Experiments
2.3. Instruments and Analytical Methods
2.4. Result Calculations
2.5. Adsorption Model
2.6. Quantum Chemistry Calculation
3. Results
3.1. Characterization of Co-Sorption Between Different MPs and Soil
3.1.1. Characterization of MPs After Adsorption
3.1.2. Fourier-Transform Infrared (FTIR) Analysis of PFOA Adsorption by MPs
3.2. Electrostatic Potential and Molecular Orbital
3.3. Co-Sorption of PFOA by Soil and MPs
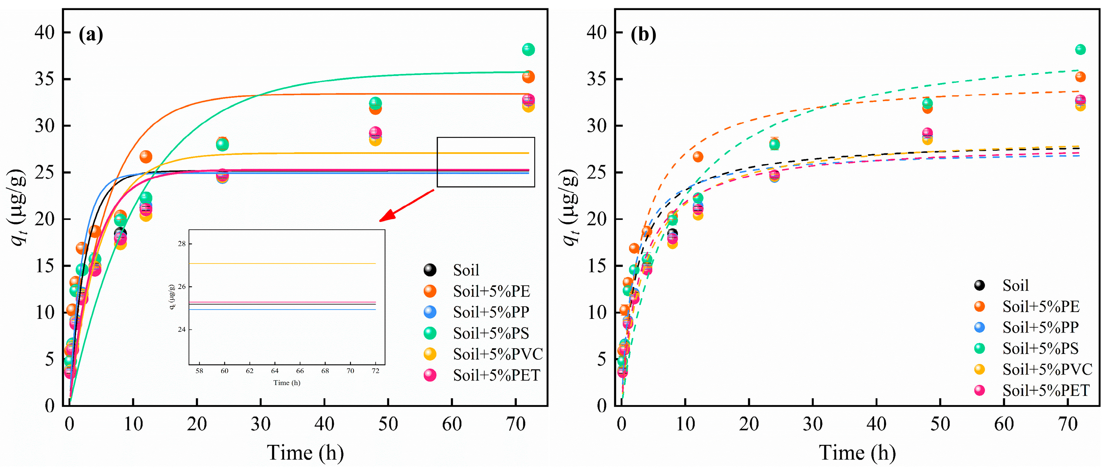
3.3.1. Adsorption Kinetics
3.3.2. Adsorption and Desorption Isotherms of PFOA by MPs and Soil
4. Discussion
4.1. Characterization Analysis
4.2. Theoretical Calculation
4.3. Adsorption and Desorption Mechanisms
4.4. Future Perspectives
5. Conclusions
Supplementary Materials
Author Contributions
Funding
Data Availability Statement
Acknowledgments
Conflicts of Interest
Abbreviations
| MPs | Microplastics |
| PFOA | perfluorooctanoic acid |
| PFASs | perfluoroalkyl and polyfluoroalkyl substances |
| PE | polyethylene |
| PP | polypropylene |
| PS | polystyrene |
| PVC | polyvinyl chloride |
| PET | polyethylene terephthalate |
| SEM | scanning electron microscope |
| EDS | energy dispersive X-ray spectroscopy |
| FTIR | Fourier-transform infrared |
References
- Bons, H.K.; Rattanpal, H.S.; Brar, A.S. Influence of different mulches on growth and productivity of kinnow mandarin. Agric. Res. J. 2018, 55, 765–767. [Google Scholar] [CrossRef]
- Singh, R.; Kumar, V.; Jat, R.; Singh, V.P. Mulches and Their Impact on Floor Management and Performance of Fruit Crops: A Review. Curr. J. Appl. Sci. Technol. 2020, 39, 62–78. [Google Scholar] [CrossRef]
- Marín-Guirao, J.I.; Martín-Expósito, E.; García-García, M.d.C.; de Cara-García, M. Alternative Mulches for Sustainable Greenhouse Tomato Production. Agronomy 2022, 12, 1333. [Google Scholar] [CrossRef]
- Lian, Y.; Liu, W.; Shi, R.; Zeb, A.; Wang, Q.; Li, J.; Zheng, Z.; Tang, J. Effects of polyethylene and polylactic acid microplastics on plant growth and bacterial community in the soil. J. Hazard. Mater. 2022, 435, 129057. [Google Scholar] [CrossRef]
- Mahinroosta, R.; Senevirathna, L. A review of the emerging treatment technologies for PFAS contaminated soils. J. Environ. Manag. 2020, 255, 109896. [Google Scholar] [CrossRef]
- Evich, M.G.; Davis, M.J.B.; McCord, J.P.; Acrey, B.; Awkerman, J.A.; Knappe, D.R.U.; Lindstrom, A.B.; Speth, T.F.; Tebes-Stevens, C.; Strynar, M.J.; et al. Per- and polyfluoroalkyl substances in the environment. Science 2022, 375, eabg9065. [Google Scholar] [CrossRef]
- Simones, T.L.; Evans, C.; Goossen, C.P.; Kersbergen, R.; Mallory, E.B.; Genualdi, S.; Young, W.; Smith, A.E. Uptake of Per- and Polyfluoroalkyl Substances in Mixed Forages on Biosolid-Amended Farm Fields. J. Agric. Food Chem. 2024, 72, 23108–23117. [Google Scholar] [CrossRef]
- Wee, S.Y.; Aris, A.Z. Environmental impacts, exposure pathways, and health effects of PFOA and PFOS. Ecotoxicol. Environ. Saf. 2023, 267, 115663. [Google Scholar] [CrossRef]
- Allen, S.; Allen, D.; Phoenix, V.; Roux, G.L.; Jiménez, P.D.; Simonneau, A.; Binet, S.; Galop, D. Atmospheric transport and deposition of microplastics in a remote mountain catchment. Nat. Geosci. 2019, 12, 339–344. [Google Scholar] [CrossRef]
- Tian, L.; Jinjin, C.; Ji, R.; Ma, Y.; Yu, X. Microplastics in agricultural soils: Sources, effects, and their fate. Curr. Opin. Environ. Sci. Health 2022, 25, 100311. [Google Scholar] [CrossRef]
- Zhu, N.; Li, Z.; Yu, Y.; Liu, Z.; Liang, X.; Wang, W.; Zhao, J. Fate of microplastics in soil-water systems: View from free radicals driven by global climate change. Ecotoxicol. Environ. Saf. 2025, 295, 118138. [Google Scholar] [CrossRef] [PubMed]
- Liu, W.; Wang, Y.; Gu, C.; Wang, J.; Dai, Y.; Maryam, B.; Chen, X.; Yi, X.; Liu, X. Polyethylene microplastics distinctly affect soil microbial community and carbon and nitrogen cycling during plant litter decomposition. J. Environ. Manag. 2025, 373, 123616. [Google Scholar] [CrossRef] [PubMed]
- Machado, A.A.d.S.; Lau, C.W.; Till, J.; Kloas, W.; Lehmann, A.; Becker, R.; Rillig, M.C. Impacts of Microplastics on the Soil Biophysical Environment. Environ. Sci. Technol. 2018, 52, 9656–9665. [Google Scholar] [CrossRef] [PubMed]
- Xiao, J.; Zhang, Z. Sources, occurrence characteristics and potential risks of microplastics in farmland soils: A review. China Plast. 2024, 38, 137–144. [Google Scholar] [CrossRef]
- Song, J.; Song, J.; Zhang, R.; Che, C.; Yuan, Y.; Tan, W.; Xi, B.; Hui, K.; Zhang, J. Study on interaction, feedback, and response between perfluorinated compounds and soil environments. Emerg. Contam. 2025, 11, 100428. [Google Scholar] [CrossRef]
- Wang, Y.; Munir, U.; Huang, Q. Occurrence of per- and polyfluoroalkyl substances (PFAS) in soil: Sources, fate, and remediation. Soil Environ. Health 2023, 1, 100004. [Google Scholar] [CrossRef]
- Ghisi, R.; Vamerali, T.; Manzetti, S. Accumulation of perfluorinated alkyl substances (PFAS) in agricultural plants: A review. Environ. Res. 2019, 169, 326–341. [Google Scholar] [CrossRef]
- Zhang, W.; Cao, H.; Liang, Y. Plant uptake and soil fractionation of five ether-PFAS in plant-soil systems. Sci. Total Environ. 2021, 771, 144805. [Google Scholar] [CrossRef]
- Qin, C.; Lu, C.; Lu, C.; Zhao, L.; Li, X.; Sun, Y.; Weng, L.; Li, Y. Toxicological effects of per- and polyfluoroalkyl substances (PFASs) on earthworms: Progress and prospects. Appl. Soil Ecol. 2025, 206, 105853. [Google Scholar] [CrossRef]
- Zheng, X.-q.; Shi, Y.-j.; Lu, Y.-l.; Xu, X.-b. Growth inhibition and DNA damage in the earthworm (Eisenia fetida) exposed to perfluorooctane sulphonate and perfluorooctanoic acid. Chem. Ecol. 2016, 32, 103–116. [Google Scholar] [CrossRef]
- Bolan, N.; Sarkar, B.; Yan, Y.; Li, Q.; Wijesekara, H.; Kannan, K.; Tsang, D.C.W.; Schauerte, M.; Bosch, J.; Noll, H.; et al. Remediation of poly- and perfluoroalkyl substances (PFAS) contaminated soils–To mobilize or to immobilize or to degrade? J. Hazard. Mater. 2021, 401, 123892. [Google Scholar] [CrossRef]
- Biswas, B.; Joseph, A.; Parveen, N.; Ranjan, V.P.; Goel, S.; Mandal, J.; Srivastava, P. Contamination of per- and poly-fluoroalkyl substances in agricultural soils: A review. J. Environ. Manag. 2025, 380, 124993. [Google Scholar] [CrossRef]
- Fuller, S.G.; Gautam, A. A Procedure for Measuring Microplastics using Pressurized Fluid Extraction. Environ. Sci. Technol. 2016, 50, 5774–5780. [Google Scholar] [CrossRef]
- Guo, X.; Pang, J.; Chen, S.; Jia, H. Sorption properties of tylosin on four different microplastics. Chemosphere 2018, 209, 240–245. [Google Scholar] [CrossRef]
- Frisch, M.J.; Trucks, G.W.; Schlegel, H.B.; Scuseria, G.E.; Robb, M.A.; Cheeseman, J.R.; Scalmani, G.; Barone, V.; Petersson, G.A.; Nakatsuji, H.; et al. Gaussian 16 Rev. A.03; Gaussian Inc.: Wallingford, CT, USA, 2016. [Google Scholar]
- Marenich, A.V.; Cramer, C.J.; Truhlar, D.G. Universal Solvation Model Based on Solute Electron Density and on a Continuum Model of the Solvent Defined by the Bulk Dielectric Constant and Atomic Surface Tensions. J. Phys. Chem. B 2009, 113, 6378–6396. [Google Scholar] [CrossRef] [PubMed]
- Bian, J.; Cao, Y.; Han, Y.; Liu, J.; Chen, Q.; Liu, Z.; Li, M. Screening, identification, and performance of Microplastic degrading functional bacteria in Saline-alkali soil environment. Environ. Sci. 2025, 1–16. [Google Scholar] [CrossRef]
- Tang, J.; Peng, S.; Gu, W.; Bai, J.; Zhao, J.; Ma, Q. Effective degradation of polypropylene plastics by Bacillus Subtilis. Nonferrous Met. 2025, 116–123. [Google Scholar] [CrossRef]
- Bao, Z.; Chen, Z.; Qi, Z.; Wang, G.; Cai, Z. Adsorption mechanism of typical monohydroxyphenanthrene on polyvinyl chloride microplastics. Chin. J. Chromatogr. 2021, 39, 870–877. [Google Scholar] [CrossRef]
- Guo, J.; Du, Y.; Yang, L.; Luo, Y.; Zhong, G.; Zhao, H.-M.; Liu, J. Effects of microplastics on the environmental behaviors of the herbicide atrazine in soil: Dissipation, adsorption, and bioconcentration. J. Hazard. Mater. 2024, 465, 133085. [Google Scholar] [CrossRef]
- Wu, P.; Cai, Z.; Jin, H.; Tang, Y. Adsorption mechanisms of five bisphenol analogues on PVC microplastics. Sci. Total Environ. 2019, 650, 671–678. [Google Scholar] [CrossRef]
- Zheng, T.; Hu, T.; Zhang, J.; Tang, C.; Duan, J.; Song, Y.; Zhang, Q. Dynamics in imidacloprid sorption related to changes of soil organic matter content and quality along a 20-year cultivation chronosequence of citrus orchards. Environ. Pollut. 2021, 291, 118069. [Google Scholar] [CrossRef]
- Tourinho, P.S.; Kočí, V.; Loureiro, S.; van Gestel, C.A.M. Partitioning of chemical contaminants to microplastics: Sorption mechanisms, environmental distribution and effects on toxicity and bioaccumulation. Environ. Pollut. 2019, 252, 1246–1256. [Google Scholar] [CrossRef] [PubMed]
- Liang, S.; Wang, K.; Wang, K.; Kou, Y.; Wang, T.; Guo, C.; Wang, W.; Wang, J. Adsorption of Diclofenac Sodium by Aged Degradable and Non-Degradable Microplastics: Environmental Effects, Adsorption Mechanisms. Toxics 2022, 11, 24. [Google Scholar] [CrossRef] [PubMed]
- Simonetti, F.; Mancini, M.; Gioia, V.; Zumpano, R.; Mazzei, F.; Frugis, A.; Migliorati, V. Unveiling the adsorption mechanism of perfluorooctane sulfonate onto polypropylene nanoplastics: A combined theoretical and experimental investigation. Water Res. 2025, 278, 123324. [Google Scholar] [CrossRef] [PubMed]
- Ding, L.; Zhang, S.; Wang, X.; Yang, X.; Zhang, C.; Qi, Y.; Guo, X. The occurrence and distribution characteristics of microplastics in the agricultural soils of Shaanxi Province, in north-western China. Sci. Total Environ. 2020, 720, 137525. [Google Scholar] [CrossRef]
- Weithmann, N.; Möller, J.N.; Löder, M.G.J.; Piehl, S.; Laforsch, C.; Freitag, R. Organic fertilizer as a vehicle for the entry of microplastic into the environment. Sci. Adv. 2018, 4, eaap8060. [Google Scholar] [CrossRef]
- Wang, J.; Li, J.; Liu, S.; Li, H.; Chen, X.; Peng, C.; Zhang, P.; Liu, X. Distinct microplastic distributions in soils of different land-use types: A case study of Chinese farmlands. Environ. Pollut. 2021, 269, 116199. [Google Scholar] [CrossRef]
- Barhoumi, B.; Sander, S.G.; Tolosa, I. A review on per- and polyfluorinated alkyl substances (PFASs) in microplastic and food-contact materials. Environ. Res. 2022, 206, 112595. [Google Scholar] [CrossRef]
- Zhang, H. Study on the Toxicity Mechanisms of Polystyrene Microplastics and Perfluorooctanoic Acid to Submerged Plants. Master’s Thesis, Shenyang Jianzhu University, Shenyang, China, 2024. [Google Scholar] [CrossRef]
- Li, J.; Guo, K.; Cao, Y.; Wang, S.; Song, Y.; Zhang, H. Enhance in mobility of oxytetracycline in a sandy loamy soil caused by the presence of microplastics. Environ. Pollut. 2021, 269, 116151. [Google Scholar] [CrossRef]
- Joo, S.H.; Liang, Y.; Kim, M.; Byun, J.; Choi, H. Microplastics with adsorbed contaminants: Mechanisms and Treatment. Environ. Chall. 2021, 3, 100042. [Google Scholar] [CrossRef]
- Zhang, H.; Wang, J.; Zhou, B.; Zhou, Y.; Dai, Z.; Zhou, Q.; Chriestie, P.; Luo, Y. Enhanced adsorption of oxytetracycline to weathered microplastic polystyrene: Kinetics, isotherms and influencing factors. Environ. Pollut. 2018, 243, 1550–1557. [Google Scholar] [CrossRef]
- Wang, C.; Liu, X.; Wang, M.; Liu, M.; Yan, Z.; Zhao, Y.; Zhao, R.; Jiang, F.; Dai, Y.; Yue, T.; et al. Occurrence, adsorption and transport mechanism of microplastics in soil. Sci. Sin. Chim. 2024, 54, 2463–2479. [Google Scholar] [CrossRef]
- Wang, J.; Guo, X. Adsorption kinetic models: Physical meanings, applications, and solving methods. J. Hazard. Mater. 2020, 390, 122156. [Google Scholar] [CrossRef] [PubMed]
- Almouallem, W.; Michel, J.; Dorge, S.; Joyeux, C.; Trouvé, G.; Le Nouen, D. A comparative study of the sorption of O-PAHs and PAHs onto soils to understand their transport in soils and groundwater. J. Environ. Sci. 2023, 124, 61–75. [Google Scholar] [CrossRef] [PubMed]
- Zhang, X.; Li, J.; Li, M.; Zhang, W.; Wang, Y.; Xian, Q. The effects of co-existing acridine on adsorption-desorption behavior of carbazole in soils: Co-sorption and mechanism insight. J. Hazard. Mater. 2024, 470, 134205. [Google Scholar] [CrossRef]
- Guo, X.; Ge, J.; Yang, C.; Wu, R.; Dang, Z.; Liu, S. Sorption behavior of tylosin and sulfamethazine on humic acid: Kinetic and thermodynamic studies. RSC Adv. 2015, 5, 58865–58872. [Google Scholar] [CrossRef]
- Yin, Y.; Guo, X.; Yang, C.; Gao, L.; Hu, Y. An efficient method for tylosin removal from an aqueous solution by goethite modified straw mass. RSC Adv. 2016, 6, 95425–95434. [Google Scholar] [CrossRef]
- Huang, X.; Chen, K.; Wang, C.; Gao, P. Characteristics of fluoride adsorption in different soil types: Potential factors and implications for environmental risk assessment. Environ. Pollut. 2025, 367, 125537. [Google Scholar] [CrossRef]
- Wu, T.; He, C.; Chang, H.; Bian, C.; Zhou, R.; Dong, Z.; Li, Y.; Li, B. Adsorption-desorption mechanisms and migration behavior of fluchlordiniliprole in four different soils under varied conditions. Ecotoxicol. Environ. Saf. 2024, 285, 117026. [Google Scholar] [CrossRef]
- Ning, Z.; Zhou, S.; Yang, Y.; Li, P.; Zhao, Z.; Zhang, W.; Lu, L.; Ren, N. Adsorption behaviors of perfluorooctanoic acid on aged microplastics. Water Environ. Res. 2024, 96, e11080. [Google Scholar] [CrossRef]
- Du, Z.; Deng, S.; Bei, Y.; Huang, Q.; Wang, B.; Huang, J.; Yu, G. Adsorption behavior and mechanism of perfluorinated compounds on various adsorbents—A review. J. Hazard. Mater. 2014, 274, 443–454. [Google Scholar] [CrossRef]
- Hüffer, T.; Metzelder, F.; Sigmund, G.; Slawek, S.; Schmidt, T.C.; Hofmann, T. Polyethylene microplastics influence the transport of organic contaminants in soil. Sci. Total Environ. 2019, 657, 242–247. [Google Scholar] [CrossRef]
- Cheng, J.; Vecitis, C.D.; Park, H.; Mader, B.T.; Hoffmann, M.R. Sonochemical Degradation of Perfluorooctane Sulfonate (PFOS) and Perfluorooctanoate (PFOA) in Groundwater: Kinetic Effects of Matrix Inorganics. Environ. Sci. Technol. 2010, 44, 445–450. [Google Scholar] [CrossRef]
- Salawu, O.A.; Olivares, C.I.; Adeleye, A.S. Adsorption of PFAS onto secondary microplastics: A mechanistic study. J. Hazard. Mater. 2024, 470, 134185. [Google Scholar] [CrossRef]
- Kaihe, L.; Cong, M.; Shikun, C.; Zifu, L. Research Progress on Adsorption, Migration, and Compound Toxic of Microplastics and Antibiotics in Soil. Environ. Sci. 2025, 46, 5271–5282. [Google Scholar] [CrossRef]







| Samples | Langmuir | Freundlich | ||||
|---|---|---|---|---|---|---|
| kLdes | Cm | R2 | kFdes | n | R2 | |
| Soil | 0.037 | 8.383 | 0.914 | 0.766 | 0.513 | 0.985 |
| Soil + 5% PET | 0.033 | 8.997 | 0.872 | 0.455 | 0.662 | 0.924 |
| Soil + 5% PVC | 0.036 | 3.357 | 0.374 | 0.269 | 0.526 | 0.514 |
| Soil + 5% PP | 0.276 | 3.627 | 0.594 | 1.190 | 0.232 | 0.883 |
| Soil + 5% PE | 0.029 | 14.834 | 0.809 | 1.437 | 0.443 | 0.908 |
| Soil + 5% PS | 0.036 | 15.595 | 0.839 | 1.069 | 0.548 | 0.892 |
| Samples | Langmuir | Freundlich | ||||
|---|---|---|---|---|---|---|
| kLdes | Cm | R2 | kFdes | n | R2 | |
| Soil | 0.031 | 36.446 | 0.834 | 1.326 | 0.711 | 0.964 |
| Soil + 5% PET | 0.033 | 41.601 | 0.876 | 1.422 | 0.735 | 0.990 |
| Soil + 5% PVC | 0.037 | 22.500 | 0.868 | 1.272 | 0.618 | 0.978 |
| Soil + 5% PP | 0.035 | 24.824 | 0.864 | 1.238 | 0.646 | 0.978 |
| Soil + 5% PE | 0.026 | 57.995 | 0.854 | 0.773 | 0.940 | 0.997 |
| Soil + 5% PS | 0.021 | 67.791 | 0.807 | 0.318 | 1.165 | 0.999 |
Disclaimer/Publisher’s Note: The statements, opinions and data contained in all publications are solely those of the individual author(s) and contributor(s) and not of MDPI and/or the editor(s). MDPI and/or the editor(s) disclaim responsibility for any injury to people or property resulting from any ideas, methods, instructions or products referred to in the content. |
© 2025 by the authors. Licensee MDPI, Basel, Switzerland. This article is an open access article distributed under the terms and conditions of the Creative Commons Attribution (CC BY) license (https://creativecommons.org/licenses/by/4.0/).
Share and Cite
Zhao, W.; Chen, G.; Jiao, J.; Liu, Z.; Zhou, Y.; Liu, G.; Zhou, C.; Yan, Q.; Xin, S.; Xin, Y.; et al. Effects of Co-Existing Microplastics on Adsorption–Desorption Behavior of Perfluorooctanoic Acid in Soil: Co-Sorption and Mechanism Insight. Agronomy 2025, 15, 2802. https://doi.org/10.3390/agronomy15122802
Zhao W, Chen G, Jiao J, Liu Z, Zhou Y, Liu G, Zhou C, Yan Q, Xin S, Xin Y, et al. Effects of Co-Existing Microplastics on Adsorption–Desorption Behavior of Perfluorooctanoic Acid in Soil: Co-Sorption and Mechanism Insight. Agronomy. 2025; 15(12):2802. https://doi.org/10.3390/agronomy15122802
Chicago/Turabian StyleZhao, Wei, Guilan Chen, Jing Jiao, Zhihai Liu, Yuanming Zhou, Guocheng Liu, Chengzhi Zhou, Qinghua Yan, Shuaishuai Xin, Yanjun Xin, and et al. 2025. "Effects of Co-Existing Microplastics on Adsorption–Desorption Behavior of Perfluorooctanoic Acid in Soil: Co-Sorption and Mechanism Insight" Agronomy 15, no. 12: 2802. https://doi.org/10.3390/agronomy15122802
APA StyleZhao, W., Chen, G., Jiao, J., Liu, Z., Zhou, Y., Liu, G., Zhou, C., Yan, Q., Xin, S., Xin, Y., & Wang, Q. (2025). Effects of Co-Existing Microplastics on Adsorption–Desorption Behavior of Perfluorooctanoic Acid in Soil: Co-Sorption and Mechanism Insight. Agronomy, 15(12), 2802. https://doi.org/10.3390/agronomy15122802
