Responses of Hydrangea macrophylla In Vitro Plantlets to Different Light Intensities
Abstract
1. Introduction
2. Materials and Methods
2.1. Plant Materials
2.2. Measurements of Growth Parameters
2.3. Determination of Chlorophyll (Chl) and Carotenoid (Car) Content
2.4. Determination of Antioxidant Enzyme Activity (SOD, POD, CAT)
2.5. Determination of Soluble Sugar and Soluble Protein Content
2.6. Nutrient Content Measurement
2.7. RNA Extraction and Sequencing
2.8. Reads Mapping and Differential Gene Expression (DEG) Analysis
2.9. Quantitative Real-Time PCR (qRT-PCR)
2.10. Statistical Analysis
3. Results
3.1. Morphological Characteristics
3.2. Leaf Pigment Contents
3.3. Antioxidant Enzyme Activities, Soluble Sugar, and Soluble Protein Contents
3.4. Nutrient Element Contents
3.5. Transcriptome Data Analysis
3.6. Analysis of Differentially Expressed Genes
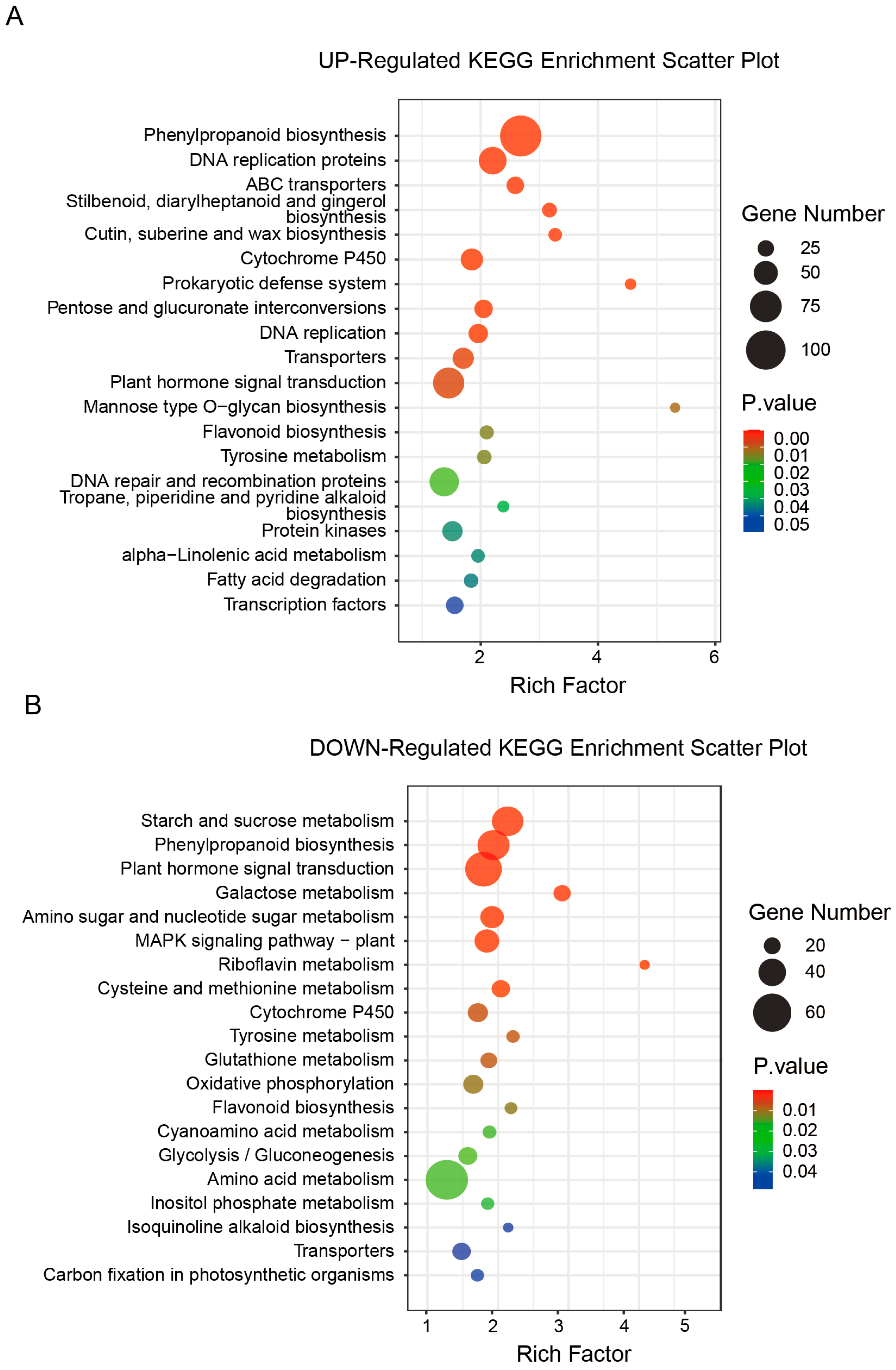
3.7. GO Analysis and KEGG Analysis of DEGs
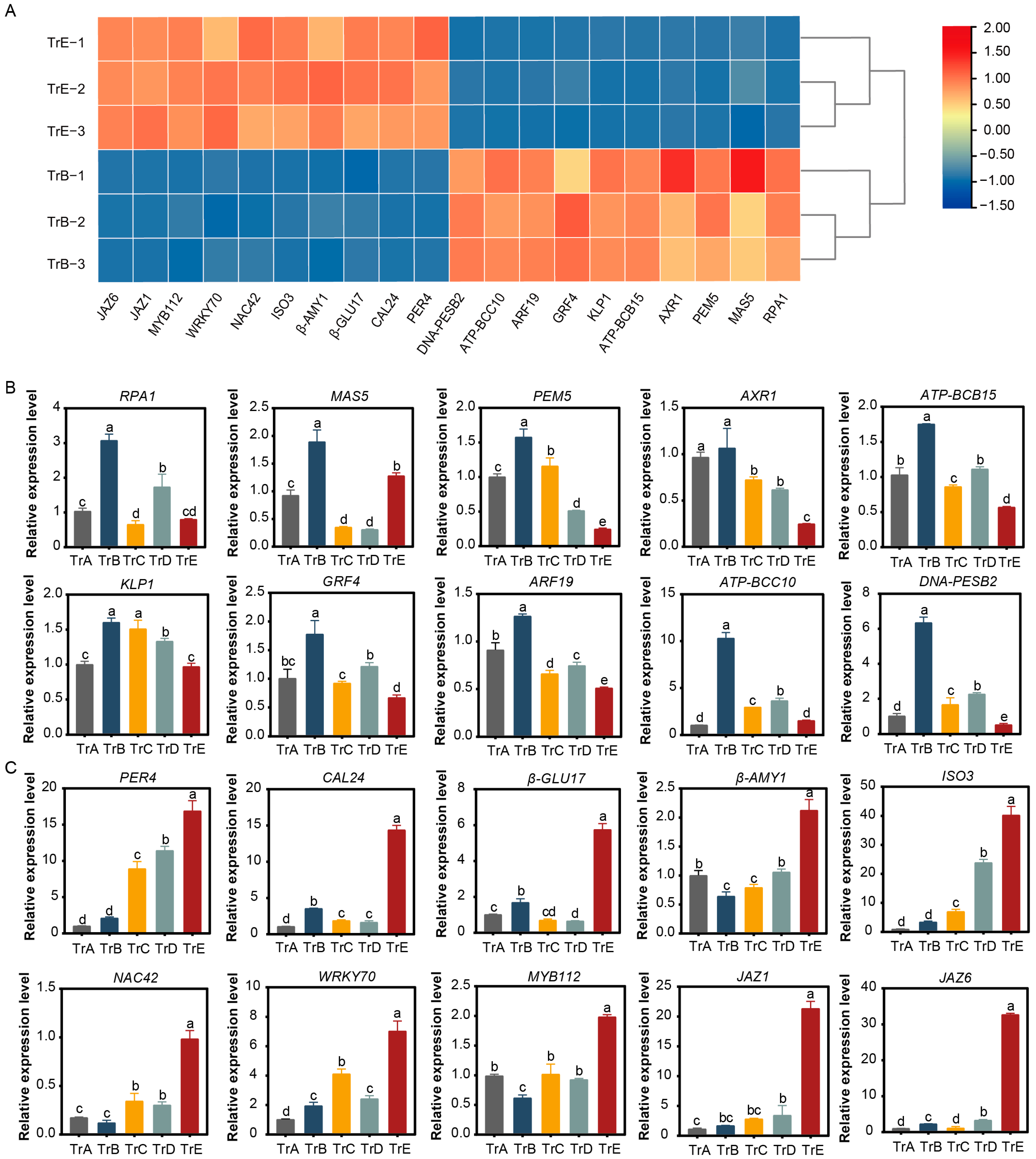
3.8. Genetic Expression Related to Physiology of DEGs
3.9. Verification of Gene Expression Levels in a qRT-PCR Assay
4. Discussion
5. Conclusions
Supplementary Materials
Author Contributions
Funding
Data Availability Statement
Acknowledgments
Conflicts of Interest
References
- Murzabulatova, F.K.; Shigapov, Z.K.; Polyakova, N.V. Early Ontogeny of Introduced Hydrangea Species. Russ. J. Dev. Biol. 2021, 52, 112–119. [Google Scholar] [CrossRef]
- Peng, J.; Dong, X.; Xue, C.; Liu, Z.; Cao, F. Exploring the Molecular Mechanism of Blue Flower Color Formation in Hydrangea macrophylla cv. “Forever Summer”. Front. Plant Sci. 2021, 12, 585665. [Google Scholar] [CrossRef]
- Sebastian, T.K.; Heuser, C.W. In vitro propagation of Hydrangea quercifolia Bartr. Sci. Hortic. 1987, 31, 303–309. [Google Scholar] [CrossRef]
- Rout, G.R.; Das, P. Recent trends in the biotechnology of Chrysanthemum: A critical review. Sci. Hortic. 1997, 69, 239–257. [Google Scholar] [CrossRef]
- Bailey, D.A.; Hammer, P.A. Possible Nonpathogenic Origin of Hydrangea. Distortion. HortScience 1990, 25, 808. [Google Scholar] [CrossRef]
- Hearon, S.; Lawson, R.; Smith, F.; McKenzie, J.; Rosen, J. Morphology of filamentous forms of a mycoplasmalike organism associated with hydrangea virescence. Phytopathology 1976, 66, 608. [Google Scholar] [CrossRef]
- Malabadi, R.B.; Chalannavar, R.K.; Kolkar, K.P. Plant cell totipotency: Plant tissue culture applications-An updated review. World J. Adv. Eng. Technol. Sci. 2025, 16, 112–135. [Google Scholar] [CrossRef]
- He, C.; Zeng, Y.; Fu, Y.; Wu, J.; Liang, Q. Light quality affects the proliferation of in vitro cultured plantlets of Camellia oleifera Huajin. PeerJ 2020, 8, e10016. [Google Scholar] [CrossRef] [PubMed]
- Yue, C.; Wang, Z.; Yang, P. Review: The effect of light on the key pigment compounds of photosensitive etiolated tea plant. Bot. Stud. 2021, 62, 21. [Google Scholar] [CrossRef]
- Zhou, J.; Li, P.P.; Wang, J.Z.; Fu, W. Growth, Photosynthesis, and Nutrient Uptake at Different Light Intensities and Temperatures in Lettuce. Am. Soc. Hortic. Sci. 2019, 54, 1925–1933. [Google Scholar] [CrossRef]
- Kang, J.H.; KrishnaKumar, S.; Atulba, S.L.S.; Jeong, B.R.; Hwang, S.J. Light intensity and photoperiod influence the growth and development of hydroponically grown leaf lettuce in a closed-type plant factory system. Hortic. Environ. Biotechnol. 2013, 54, 501–509. [Google Scholar] [CrossRef]
- Tribhuvan, K.U.; Sinha, S.; Mustafa, N.; Kaur, S.; Singh, B.K. Molecular insight into the photoperiod sensitivity in crop plants. Gene Rep. 2025, 39, 102190. [Google Scholar] [CrossRef]
- Díaz-Rueda, P.; Cantos-Barragán, M.; Colmenero-Flores, J.M. Growth Quality and Development of Olive Plants Cultured In-Vitro under Different Illumination Regimes. Plants 2021, 10, 2214. [Google Scholar] [CrossRef]
- Zhang, M.; Ming, Y.; Wang, H.-B.; Jin, H.-L. Strategies for adaptation to high light in plants. aBIOTECH 2024, 5, 381–393. [Google Scholar] [CrossRef]
- Lee, K.P.; Kim, C. Photosynthetic ROS and retrograde signaling pathways. New Phytol. 2024, 244, 1183–1198. [Google Scholar] [CrossRef]
- Zhang, F.; Zeng, Y.; Guo, X.; Wang, J.; Zhou, Y.; Shang, B.; Zhang, X. The GhNAC091-GhZAT12 module regulates cotton acclimation to excess light via ROS scavenging. New Crops 2025, 100085. [Google Scholar] [CrossRef]
- Rao, M.J.; Duan, M.; Zhou, C.; Jiao, J.; Cheng, P.; Yang, L.; Wei, W.; Shen, Q.; Ji, P.; Yang, Y. Antioxidant defense system in plants: Reactive oxygen species production, signaling, and scavenging during abiotic stress-induced oxidative damage. Horticulturae 2025, 11, 477. [Google Scholar] [CrossRef]
- Khan, A.; Kanwal, F.; Ullah, S.; Fahad, M.; Tariq, L.; Altaf, M.T.; Riaz, A.; Zhang, G. Plant Secondary Metabolites—Central Regulators Against Abiotic and Biotic Stresses. Metabolites 2025, 15, 276. [Google Scholar] [CrossRef] [PubMed]
- Jaakola, L.; Hohtola, A. Effect of latitude on flavonoid biosynthesis in plants. Plant Cell Environ. 2010, 33, 1239–1247. [Google Scholar] [CrossRef]
- Yang, L.; Wen, K.-S.; Ruan, X.; Zhao, Y.-X.; Wei, F.; Wang, Q. Response of Plant Secondary Metabolites to Environmental Factors. Molecules 2018, 23, 762. [Google Scholar] [CrossRef]
- Upadhyay, A.; Lambat, A.; Lambat, P.; Borthakur, M. Secondary Metabolite Production In Plants: In Response To Biotic And Abiotic Stress Factors. J. Adv. Zool. 2024, 45. [Google Scholar] [CrossRef]
- Fan, X.-X.; Xu, Z.-G.; Liu, X.-Y.; Tang, C.-M.; Wang, L.-W.; Han, X.-L. Effects of light intensity on the growth and leaf development of young tomato plants grown under a combination of red and blue light. Sci. Hortic. 2013, 153, 50–55. [Google Scholar] [CrossRef]
- Amoozgar, A.; Mohammadi, A.; Sabzalian, M.R. Impact of light-emitting diode irradiation on photosynthesis, phytochemical composition and mineral element content of lettuce cv. Grizzly. Photosynthetica 2017, 55, 85–95. [Google Scholar] [CrossRef]
- Martínez-Moreno, A.; Frutos-Tortosa, A.; Diaz-Mula, H.; Mestre, T.C.; Martínez, V. Effect of the Intensity and Spectral Quality of LED Light on Growth and Quality of Spinach Indoors. Horticulturae 2024, 10, 411. [Google Scholar] [CrossRef]
- Samuolienė, G.; Pukalskas, A.; Gudžinskaitė, I.; Viršilė, A. The Harnessing of Controlled Environment Agriculture Technologies for Phytochemical and Mineral Element Enrichment in Mesembryanthemum crystallinum. Horticulturae 2025, 11, 229. [Google Scholar] [CrossRef]
- Murashige, T.; Skoog, F. A revised medium for rapid growth and bio assays with tobacco tissue cultures. Physiol. Plant. 1962, 15, 473–497. [Google Scholar] [CrossRef]
- Yang, S.; Zhang, Z.; Chen, W.; Liang, C.; Li, X.; Liu, Z.; Cui, Q.; Ma, Y.; Zou, X. Fine-mapping and transcriptome analysis of the photosensitive leaf-yellowing gene CaLY1 in pepper (Capsicum annuum L.). Hortic. Plant J. 2023, 9, 122–132. [Google Scholar] [CrossRef]
- GB 5009.268-2016; National Food Safety Standard Determination of Multi-Elements in Foods. National Health Commission of the People’s Republic of China. China Food and Drug Administration: Beijing, China, 2016.
- Kim, D.; Paggi, J.M.; Park, C.; Bennett, C.; Salzberg, S.L. Graph-based genome alignment and genotyping with HISAT2 and HISAT-genotype. Nat. Biotechnol. 2019, 37, 907–915. [Google Scholar] [CrossRef] [PubMed]
- Kandpal, M.; Mukherjee, C.; Rami, B. Automated Navigation of the lncRNA Transcriptome: A comprehensive SnakeMake based computational Pipeline for robust Identification of lncRNAs and their putative targets. bioRxiv 2024. [Google Scholar] [CrossRef]
- Mortazavi, A.; Williams, B.A.; McCue, K.; Schaeffer, L.; Wold, B. Mapping and quantifying mammalian transcriptomes by RNA-Seq. Nat. Methods 2008, 5, 621–628. [Google Scholar] [CrossRef] [PubMed]
- Ma, K.S.; Li, F.; Liang, P.Z.; Chen, X.W.; Liu, Y.; Gao, X.W. Identification and Validation of Reference Genes for the Normalization of Gene Expression Data in qRT-PCR Analysis in Aphis gossypii (Hemiptera: Aphididae). J. Insect Sci. 2016, 16, 17. [Google Scholar] [CrossRef]
- Zhang, G.; Yuan, S.; Qi, H.; Chu, Z.; Liu, C. Identification of reliable reference genes for the expression of Hydrangea macrophylla ‘Bailmer’and ‘Duro’sepal color. Horticulturae 2022, 8, 835. [Google Scholar] [CrossRef]
- Livak, K.J.; Schmittgen, T.D. Analysis of relative gene expression data using real-time quantitative PCR and the 2(-Delta Delta C(T)) Method. Methods 2001, 25, 402–408. [Google Scholar] [CrossRef]
- Nashima, K.; Shirasawa, K.; Ghelfi, A.; Hirakawa, H.; Isobe, S.; Suyama, T.; Wada, T.; Kurokura, T.; Uemachi, T.; Azuma, M. Genome sequence of Hydrangea macrophylla and its application in analysis of the double flower phenotype. DNA Res. 2021, 28, dsaa026. [Google Scholar] [CrossRef]
- Chen, Y.-M.; Huang, J.-Z.; Hou, T.-W.; Pan, I.C. Effects of light intensity and plant growth regulators on callus proliferation and shoot regeneration in the ornamental succulent Haworthia. Bot. Stud. 2019, 60, 10. [Google Scholar] [CrossRef]
- Lim, M.-J.; Murthy, H.N.; Song, H.-Y.; Lee, S.-Y.; Park, S.-Y. Influence of White, Red, Blue, and Combination of LED Lights on In Vitro Multiplication of Shoots, Rooting, and Acclimatization of Gerbera jamesonii cv. ‘Shy Pink’ Plants. Agronomy 2023, 13, 2216. [Google Scholar] [CrossRef]
- Meziani, R.; Jaiti, F.; Mazri, M.A.; Anjarne, M.; Chitt, M.A.; El Fadile, J.; Alem, C. Effects of plant growth regulators and light intensity on the micropropagation of date palm (Phoenix dactylifera L.) cv. Mejhoul. J. Crop Sci. Biotechnol. 2015, 18, 325–331. [Google Scholar] [CrossRef]
- Melis, A.; Harvey, G.W. Regulation of photosystem stoichiometry, chlorophyll a and chlorophyll b content and relation to chloroplast ultrastructure. Biochim. Biophys. Acta (BBA) Bioenerg. 1981, 637, 138–145. [Google Scholar] [CrossRef]
- Shafiq, I.; Hussain, S.; Raza, M.A.; Iqbal, N.; Asghar, M.A.; Raza, A.; Fan, Y.-F.; Mumtaz, M.; Shoaib, M.; Ansar, M.; et al. Crop photosynthetic response to light quality and light intensity. J. Integr. Agric. 2021, 20, 4–23. [Google Scholar] [CrossRef]
- Yang, W.; Lin, Y.; Xue, Y.; Mao, M.; Zhou, X.; Hu, H.; Liu, J.; Feng, L.; Zhang, H.; Luo, J.; et al. Light Intensity Affects the Coloration and Structure of Chimeric Leaves of Ananas comosus var. bracteatus. Phyton 2022, 91, 333–348. [Google Scholar] [CrossRef]
- Ma, Z.; Li, S.; Zhang, M.; Jiang, S.; Xiao, Y. Light Intensity Affects Growth, Photosynthetic Capability, and Total Flavonoid Accumulation of Anoectochilus Plants. HortScience 2010, 45, 863–867. [Google Scholar] [CrossRef]
- Havaux, M.; Tardy, F.; Lemoine, Y. Photosynthetic light-harvesting function of carotenoids in higher-plant leaves exposed to high light irradiances. Planta 1998, 205, 242–250. [Google Scholar] [CrossRef]
- Hemphill, J.K.; Venketeswaran, S. Chlorophyll and Carotenoid Accumulation in Three Chlorophyllous Callus Phenotypes of Glycine Max. Am. J. Bot. 1978, 65, 1055–1063. [Google Scholar] [CrossRef]
- Silva, S.T.; Bertolucci, S.K.V.; da Cunha, S.H.B.; Lazzarini, L.E.S.; Tavares, M.C.; Pinto, J.E.B.P. Effect of light and natural ventilation systems on the growth parameters and carvacrol content in the in vitro cultures of Plectranthus amboinicus (Lour.) Spreng. Plant Cell Tissue Organ Cult. (PCTOC) 2017, 129, 501–510. [Google Scholar] [CrossRef]
- Liu, B.S.; Meng, C.; Wang, X.R.; Luo, J.; Zhao, Y. Effects of Light Intensity on Morphological Structure and Physiological Characteristics of Gleditsia sinensis Seedlings. Russ. J. Plant Physiol. 2023, 69, 164. [Google Scholar] [CrossRef]
- Foyer, C.H. Reactive oxygen species, oxidative signaling and the regulation of photosynthesis. Environ. Exp. Bot. 2018, 154, 134–142. [Google Scholar] [CrossRef]
- Shafi, M.; Bakht, J.; Hassan, M.J.; Raziuddin, M.; Zhang, G. Effect of cadmium and salinity stresses on growth and antioxidant enzyme activities of wheat (Triticum aestivum L.). Bull. Env. Contam. Toxicol. 2009, 82, 772–776. [Google Scholar] [CrossRef]
- Fu, W.; Li, P.; Wu, Y.; Tang, J. Effects of different light intensities on anti-oxidative enzyme activity, quality and biomass in lettuce. Hortic. Sci. 2012, 39, 129–134. [Google Scholar] [CrossRef]
- Ozturk, M.; Turkyilmaz Unal, B.; García-Caparrós, P.; Khursheed, A.; Gul, A.; Hasanuzzaman, M. Osmoregulation and its actions during the drought stress in plants. Physiol. Plant 2021, 172, 1321–1335. [Google Scholar] [CrossRef]
- Wang, H.; Wu, F.; Li, M.; Zhu, X.; Shi, C.; Ding, G. Morphological and Physiological Responses of Pinus massoniana Seedlings to Different Light Gradients. Forests 2021, 12, 523. [Google Scholar] [CrossRef]
- Hui, R.; Zhao, R.; Song, G.; Li, Y.; Zhao, Y.; Wang, Y. Effects of enhanced ultraviolet-B radiation, water deficit, and their combination on UV-absorbing compounds and osmotic adjustment substances in two different moss species. Environ. Sci. Pollut. Res. Int. 2018, 25, 14953–14963. [Google Scholar] [CrossRef]
- Li, L.; Duncan, O.; Ganguly, D.R.; Lee, C.P.; Crisp, P.A.; Wijerathna-Yapa, A.; Salih, K.; Trösch, J.; Pogson, B.J.; Millar, A.H. Enzymes degraded under high light maintain proteostasis by transcriptional regulation in Arabidopsis. Proc. Natl. Acad. Sci. USA 2022, 119, e2121362119. [Google Scholar] [CrossRef]
- Baligar, V.C.; Fageria, N.K.; Paiva, A.Q.; Silveira, A.; Pomella, A.W.V.; Machado, R.C.R. Light Intensity Effects on Growth and Micronutrient Uptake by Tropical Legume Cover Crops. J. Plant Nutr. 2006, 29, 1959–1974. [Google Scholar] [CrossRef]
- Almansa, E.; Espín, A.; Chica, R.M.; Lao, M. Nutritional Response of Seedling Tomato Plants under Different Lighting Treatments. J. Plant Nutr. 2016, 40, 467–475. [Google Scholar] [CrossRef]
- Wu, M.; Li, Z.; Wang, J. Transcriptional analyses reveal the molecular mechanism governing shade tolerance in the invasive plant Solidago canadensis. Ecol. Evol. 2020, 10, 4391–4406. [Google Scholar] [CrossRef]
- Toldi, D.; Gyugos, M.; Darkó, É.; Szalai, G.; Gulyás, Z.; Gierczik, K.; Székely, A.; Boldizsár, Á.; Galiba, G.; Müller, M.; et al. Light intensity and spectrum affect metabolism of glutathione and amino acids at transcriptional level. PLoS ONE 2019, 14, e0227271. [Google Scholar] [CrossRef] [PubMed]
- Ramel, F.; Birtic, S.; Ginies, C.; Soubigou-Taconnat, L.; Triantaphylidès, C.; Havaux, M. Carotenoid oxidation products are stress signals that mediate gene responses to singlet oxygen in plants. Proc. Natl. Acad. Sci. USA 2012, 109, 5535–5540. [Google Scholar] [CrossRef] [PubMed]
- Sakuraba, Y. Light-Mediated Regulation of Leaf Senescence. Int. J. Mol. Sci. 2021, 22, 3291. [Google Scholar] [CrossRef] [PubMed]
- Bobrovskikh, A.V.; Zubairova, U.S.; Bondar, E.I.; Lavrekha, V.V.; Doroshkov, A.V. Transcriptomic Data Meta-Analysis Sheds Light on High Light Response in Arabidopsis thaliana L. Int. J. Mol. Sci. 2022, 23, 4455. [Google Scholar] [CrossRef]
- Tran, A.D.; Cho, K.; Vu, M.A.; Kim, J.I.; Nguyen, H.T.T.; Han, O. Rice Peroxygenase-9 Negatively Regulates Production of Reactive Oxygen Species and Increases Cellular Resistance to Abiotic Stress. Int. J. Mol. Sci. 2025, 26, 6918. [Google Scholar] [CrossRef]
- Balfagón, D.; Sengupta, S.; Gómez-Cadenas, A.; Fritschi, F.B.; Azad, R.K.; Mittler, R.; Zandalinas, S.I. Jasmonic Acid Is Required for Plant Acclimation to a Combination of High Light and Heat Stress. Plant Physiol. 2019, 181, 1668–1682. [Google Scholar] [CrossRef] [PubMed]
- Bumee, S.; Ingkasuwan, P.; Kalapanulak, S.; Meechai, A.; Cheevadhanarak, S.; Saithong, T. Transcriptional Regulatory Network of Arabidopsis Starch Metabolism under Extensive Light Condition: A Potential Model of Transcription-modulated Starch Metabolism in Roots of Starchy Crops. Procedia Comput. Sci. 2013, 23, 113–121. [Google Scholar] [CrossRef]
- Dong, N.Q.; Lin, H.X. Contribution of phenylpropanoid metabolism to plant development and plant-environment interactions. J. Integr. Plant Biol. 2021, 63, 180–209. [Google Scholar] [CrossRef] [PubMed]








| Nutrient Element | Treatment | ||||
|---|---|---|---|---|---|
| TrA | TrB | TrC | TrD | TrE | |
| N (g/kg) | 51.63 ± 0.13 a | 42.38 ± 0.11 c | 47.09 ± 0.33 b | 39.90 ± 0.17 d | 39.58 ± 0.18 d |
| P (g/kg) | 5.02 ± 0.14 b | 5.37 ± 0.19 a | 4.28 ± 0.08 c | 3.87 ± 0.07 d | 3.65 ± 0.05 e |
| K (g/kg) | 98.87 ± 0.73 a | 84.15 ± 0.47 b | 75.33 ± 2.69 c | 70.65 ± 1.70 d | 76.58 ± 0.48 c |
| Ca (g/kg) | 2.45 ± 0.05 b | 2.57 ± 0.06 a | 2.52 ± 0.02 ab | 1.75 ± 0.01 d | 2.24 ± 0.09 c |
| Mg (g/kg) | 3.40 ± 0.03 a | 3.12 ± 0.10 b | 2.80 ± 0.02 c | 2.32 ± 0.05 d | 2.75 ± 0.10 c |
| S (g/kg) | 5.20 ± 0.07 a | 4.90 ± 0.07 b | 2.59 ± 0.06 d | 3.13 ± 0.08 c | 2.65 ± 0.07 d |
| Cu (mg/kg) | 18.32 ± 0.31 b | 21.41 ± 0.60 a | 20.79 ± 0.27 a | 13.24 ± 0.40 d | 16.56 ± 0.49 c |
| Fe (mg/kg) | 419.86 ± 10.67 b | 437.27 ± 4.89 a | 395.68 ± 4.50 c | 289.32 ± 8.79 e | 320.69 ± 5.76 d |
| Zn (mg/kg) | 329.99 ± 8.03 a | 254.27 ± 2.42 b | 209.75 ± 6.85 c | 139.22 ± 5.06 e | 153.28 ± 1.92 d |
| B (mg/kg) | 78.51 ± 2.36 a | 63.17 ± 1.36 b | 49.58 ± 0.95 c | 49.43 ± 1.61 c | 51.53 ± 0.76 c |
| Mn (mg/kg) | 256.27 ± 5.10 a | 212.11 ± 3.66 b | 171.14 ± 3.58 c | 169.56 ± 3.38 c | 165.51 ± 4.65 c |
| Mo (mg/kg) | 6.88 ± 0.22 a | 5.27 ± 0.08 c | 5.54 ± 0.09 b | 5.05 ± 0.10 c | 4.25 ± 0.11 d |
| Co (mg/kg) | 238.78 ± 5.38 c | 327.82 ± 5.83 a | 263.26 ± 5.93 b | 183.48 ± 3.90 e | 228.61 ± 3.91 d |
| Treatments | Clean Reads (M) | Clean Bases (G) | Total Map (M) | Unique Map (M) | Q20 | Q30 | GC |
|---|---|---|---|---|---|---|---|
| TrB-1 | 21.39 | 6.4 | 38.07 (89.0%) | 34.24 (80.04%) | 98.68 | 95.75 | 44.72 |
| TrB-2 | 22.88 | 6.8 | 40.73 (89.0%) | 36.64 (80.06%) | 98.60 | 95.46 | 44.69 |
| TrB-3 | 19.73 | 5.9 | 35.14 (89.04%) | 31.56 (79.97%) | 98.69 | 95.78 | 44.80 |
| TrE-1 | 21.24 | 6.3 | 37.73 (88.88%) | 34.09 (80.29%) | 98.51 | 95.21 | 44.90 |
| TrE-2 | 22.91 | 6.9 | 40.84 (89.15%) | 36.85 (80.44%) | 98.70 | 95.78 | 44.87 |
| TrE-3 | 21.04 | 6.3 | 37.37 (88.81%) | 33.71 (80.12%) | 98.58 | 95.41 | 44.97 |
Disclaimer/Publisher’s Note: The statements, opinions and data contained in all publications are solely those of the individual author(s) and contributor(s) and not of MDPI and/or the editor(s). MDPI and/or the editor(s) disclaim responsibility for any injury to people or property resulting from any ideas, methods, instructions or products referred to in the content. |
© 2025 by the authors. Licensee MDPI, Basel, Switzerland. This article is an open access article distributed under the terms and conditions of the Creative Commons Attribution (CC BY) license (https://creativecommons.org/licenses/by/4.0/).
Share and Cite
Huang, Z.; Wang, Y.; Liu, C.; Fan, Y.; Yuan, S. Responses of Hydrangea macrophylla In Vitro Plantlets to Different Light Intensities. Agronomy 2025, 15, 2782. https://doi.org/10.3390/agronomy15122782
Huang Z, Wang Y, Liu C, Fan Y, Yuan S. Responses of Hydrangea macrophylla In Vitro Plantlets to Different Light Intensities. Agronomy. 2025; 15(12):2782. https://doi.org/10.3390/agronomy15122782
Chicago/Turabian StyleHuang, Zinan, Yaxin Wang, Chun Liu, Youwei Fan, and Suxia Yuan. 2025. "Responses of Hydrangea macrophylla In Vitro Plantlets to Different Light Intensities" Agronomy 15, no. 12: 2782. https://doi.org/10.3390/agronomy15122782
APA StyleHuang, Z., Wang, Y., Liu, C., Fan, Y., & Yuan, S. (2025). Responses of Hydrangea macrophylla In Vitro Plantlets to Different Light Intensities. Agronomy, 15(12), 2782. https://doi.org/10.3390/agronomy15122782
