Recycling Agricultural Residues as Straw and Hydrochar for Improved Soil Carbon Management Under Contrasting Irrigation Conditions
Abstract
1. Introduction
2. Materials and Methods
2.1. Site Description and Hydrochar
2.2. Experimental Design
2.3. Soil Sampling and Analysis
2.4. Carbon Pool Management Index (CPMI)
2.5. Statistical Analysis
3. Results
3.1. Soil ROC
3.2. Soil DOC
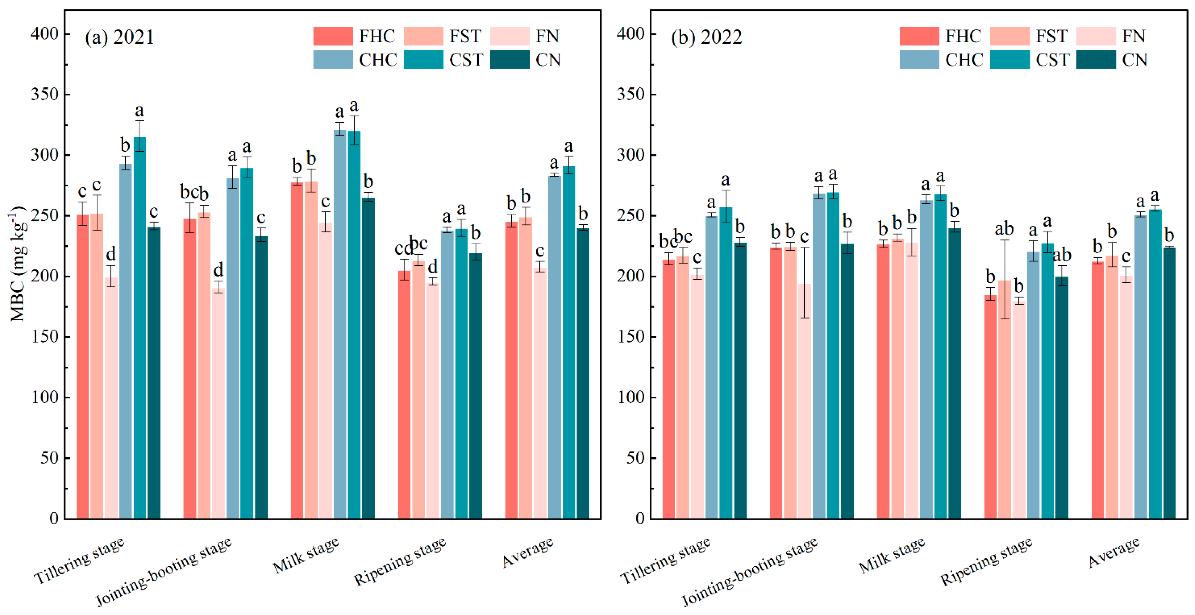
3.3. Soil MBC
3.4. SOC and CPMI
4. Discussion
4.1. Irrigation Regimes as a Management Tool for Improving Carbon Retention and Resource Efficiency
4.2. Residue Recycling Pathways: Contrasting Effects of Straw and Hydrochar on Carbon Dynamics
4.3. Evaluation of Residue Recycling and Irrigation Strategies for Soil Carbon Management Using CPMI
5. Conclusions
Supplementary Materials
Author Contributions
Funding
Data Availability Statement
Conflicts of Interest
Abbreviations
| SOC | Soil organic carbon |
| MBC | Microbial biomass carbon |
| ROC | Readily oxidizable organic carbon |
| DOC | Dissolved organic carbon |
| CPMI | Carbon pool management index |
| HTC | Hydrothermal carbonization |
| FI | Flooding irrigation |
| CI | Controlled irrigation |
| EOC | Exogenous organic carbon |
| ST | Straw |
| HC | Hydrochar |
| FN | Flooding irrigation + nitrogen fertilizer only |
| CN | Controlled irrigation + nitrogen fertilizer only |
| FHC | Flooding irrigation + hydrochar + nitrogen fertilizer |
| CHC | Controlled irrigation + hydrochar + nitrogen fertilizer |
| FST | Flooding irrigation + straw + nitrogen fertilizer |
| CST | Controlled irrigation + straw + nitrogen fertilizer |
| BF | Basal fertilizer |
| TF | Tillering fertilizer |
| PF | Panicle fertilizer |
| CPI | Soil carbon pool index |
| LI | Carbon lability index |
| L | Lability of sample soil |
| ANOVA | Analysis of variance |
| df | Degrees of freedom |
| χ2/df | Chi-square divided by degrees of freedom |
| p | Probability level |
| RMSEA | Root mean square error of approximation |
| GFI | Goodness-of-fit index |
| CFI | Comparative fit index |
References
- Singh, G.; Arya, S.K. A review on management of rice straw by use of cleaner technologies: Abundant opportunities and expectations for Indian farming. J. Clean. Prod. 2021, 291, 125278. [Google Scholar] [CrossRef]
- Bhattacharyya, P.; Bisen, J.; Bhaduri, D.; Priyadarsini, S.; Munda, S.; Chakraborti, M.; Adak, T.; Panneerselvam, P.; Mukherjee, A.K.; Swain, S.L.; et al. Turn the wheel from waste to wealth: Economic and environmental gain of sustainable rice straw management practices over field burning in reference to India. Sci. Total Environ. 2021, 775, 145896. [Google Scholar] [CrossRef]
- Le, H.A.; Phuong, D.M.; Linh, L.T. Emission inventories of rice straw open burning in the Red River Delta of Vietnam: Evaluation of the potential of satellite data. Environ. Pollut. 2020, 260, 113972. [Google Scholar] [CrossRef]
- Abraham, A.; Mathew, A.K.; Sindhu, R.; Pandey, A.; Binod, P. Potential of rice straw for bio-refining: An overview. Bioresour. Technol. 2016, 215, 29–36. [Google Scholar] [CrossRef]
- Zhao, X.; Liu, B.Y.; Liu, S.L.; Qi, J.Y.; Wang, X.; Pu, C.; Li, S.S.; Zhang, X.Z.; Yang, X.G.; Lal, R.; et al. Sustaining crop production in China’s cropland by crop residue retention: A meta-analysis. Land Degrad. Dev. 2020, 31, 694–709. [Google Scholar] [CrossRef]
- Ma, L.J.; Kong, F.X.; Lv, X.B.; Wang, Z.; Zhou, Z.G.; Meng, Y.L. Responses of greenhouse gas emissions to different straw management methods with the same amount of carbon input in cotton field. Soil Tillage Res. 2021, 213, 105126. [Google Scholar] [CrossRef]
- Liu, Y.L.; Ge, T.D.; van Groenigen, K.J.; Yang, Y.H.; Wang, P.; Cheng, K.; Zhu, Z.K.; Wang, J.K.; Li, Y.; Guggenberger, G.; et al. Rice paddy soils are a quantitatively important carbon store according to a global synthesis. Commun. Earth Environ. 2021, 2, 154. [Google Scholar] [CrossRef]
- Lal, R. Soil carbon sequestration to mitigate climate change. Geoderma 2004, 123, 1–22. [Google Scholar] [CrossRef]
- Smith, P. How long before a change in soil organic carbon can be detected? Glob. Change Biol. 2004, 10, 1878–1883. [Google Scholar] [CrossRef]
- Poeplau, C.; Don, A. Sensitivity of soil organic carbon stocks and fractions to different land-use changes across Europe. Geoderma 2013, 192, 189–201. [Google Scholar] [CrossRef]
- Anahita, K.; Zheng, H.; Liu, Q.; Hashemi, M.; Tang, Y.; Xing, B. Production and characterization of hydrochars and their application in soil improvement and environmental remediation. Chem. Eng. J. 2021, 420, 133–142. [Google Scholar] [CrossRef]
- Diekow, J.; Mielniczuk, J.; Knicker, H.; Bayer, C.; Dick, D.P.; Kögel-Knabner, I. Carbon and nitrogen stocks in physical fractions of a subtropical Acrisol as influenced by long-term no-till cropping systems and N fertilisation. Plant Soil 2005, 268, 319–328. [Google Scholar] [CrossRef]
- Islam, M.U.; Guo, Z.; Jiang, F.; Peng, X. Does straw return increase crop yield in the wheat-maize cropping system in China? A meta-analysis. Field Crops Res. 2022, 279, 108447. [Google Scholar] [CrossRef]
- Liu, B.; Arlotti, D.; Huyghebaert, B.; Tebbe, C.C. Disentangling the impact of contrasting agricultural management practices on soil microbial communities—Importance of rare bacterial community members. Soil Biol. Biochem. 2022, 166, 108573. [Google Scholar] [CrossRef]
- Wang, K.C.; Xu, J.Z.; Chen, P.; Liao, L.X.; Fan, J.L.; Wang, H.; Sleutel, S. Balancing energy inputs and carbon outcomes in hydrochar applications: Temperature-Dependent effects on soil carbon sequestration. Biomass Bioenerg. 2026, 204, 108382. [Google Scholar] [CrossRef]
- Chen, J.; Sun, X.; Li, L.; Liu, X.; Zhang, B.; Zheng, J.; Pan, G. Change in active microbial community structure, abundance and carbon cycling in an acid rice paddy soil with the addition of biochar. Eur. J. Soil Sci. 2016, 67, 857–867. [Google Scholar] [CrossRef]
- Huo, R.; Wang, J.; Wang, K.; Zhang, Y.; Ren, T.; Li, X.; Cong, R.; Lu, J. Long-term straw return enhanced crop yield by improving ecosystem multifunctionality and soil quality under triple rotation system: An evidence from a 15 years study. Field Crops Res. 2024, 312, 109395. [Google Scholar] [CrossRef]
- Liu, J.; Qiu, T.; Peñuelas, J.; Sardans, J.; Tan, W.; Wei, X.; Cui, Y.; Cui, Q.; Wu, C.; Liu, L.; et al. Crop residue return sustains global soil ecological stoichiometry balance. Glob. Change Biol. 2023, 29, 2203–2226. [Google Scholar] [CrossRef] [PubMed]
- Ninkuu, V.; Liu, Z.; Qin, A.; Xie, Y.; Song, X.; Sun, X. Impact of straw returning on soil ecology and crop yield: A review. Heliyon 2025, 11, e41651. [Google Scholar] [CrossRef]
- Wang, K.C.; Xu, J.Z.; Guo, H.; Min, Z.H.; Wei, Q.; Chen, P.; Sleutel, S. Reuse of straw in the form of hydrochar: Balancing the carbon budget and rice production under different irrigation management. Waste Manag. 2024, 189, 77–87. [Google Scholar] [CrossRef]
- Wang, Y.; Pang, J.; Zhang, M.; Tian, Z.; Wei, T.; Jia, Z.; Ren, X.; Zhang, P. Is adding biochar be better than crop straw for improving soil aggregates stability and organic carbon contents in film mulched fields in semiarid regions? –Evidence of 5-year field experiment. J. Environ. Manag. 2023, 338, 117711. [Google Scholar] [CrossRef]
- Li, X.; Wang, R.; Shao, C.; Li, D.; Bai, S.; Hou, N.; Zhao, X. Biochar and Hydrochar from Agricultural Residues for Soil Conditioning: Life Cycle Assessment and Microbially Mediated C and N Cycles. Acs Sustain. Chem. Eng. 2022, 10, 3574–3583. [Google Scholar] [CrossRef]
- Entwistle, J.; Zhang, L.; Zhang, H.Y.; Tapia-Ruiz, N. 5.09—Materials Synthesis for Na-Ion Batteries, in Comprehensive Inorganic Chemistry III, 3rd ed.; Reedi, J., Poeppelmeier, K.R., Seshadri, R., Cussen, S., Eds.; Elsevier: Oxford, UK, 2023; pp. 199–215. [Google Scholar]
- Ma, Y.; Xie, W.; Yao, R.; Feng, Y.; Wang, X.; Xie, H.; Feng, Y.; Yang, J. Biochar and hydrochar application influence soil ammonia volatilization and the dissolved organic matter in salt-affected soils. Sci. Total Environ. 2024, 926, 171845. [Google Scholar] [CrossRef]
- Yin, S.J.; Zhang, X.; Suo, F.Y.; You, X.W.; Yuan, Y.; Cheng, Y.D.; Zhang, C.S.; Li, Y.Q. Effect of biochar and hydrochar from cow manure and reed straw on lettuce growth in an acidified soil. Chemosphere 2022, 298, 134191. [Google Scholar] [CrossRef]
- Zhu, X.D.; Liu, Y.C.; Qian, F.; Zhou, C.; Zhang, S.C.; Chen, J.M. Role of Hydrochar Properties on the Porosity of Hydrochar-based Porous Carbon for Their Sustainable Application. ACS Sustain. Chem. Eng. 2015, 3, 833–840. [Google Scholar] [CrossRef]
- Garlapalli, R.K.; Wirth, B.; Reza, M.T. Pyrolysis of hydrochar from digestate: Effect of hydrothermal carbonization and pyrolysis temperatures on pyrochar formation. Bioresour. Technol. 2016, 220, 168–174. [Google Scholar] [CrossRef] [PubMed]
- Kambo, H.S.; Dutta, A. A comparative review of biochar and hydrochar in terms of production, physico-chemical properties and applications. Renew. Sustain. Energy Rev. 2015, 45, 359–378. [Google Scholar] [CrossRef]
- Ball, K.R.; Malik, A.A.; Muscarella, C.; Blankinship, J.C. Irrigation alters biogeochemical processes to increase both inorganic and organic carbon in arid-calcic cropland soils. Soil Biol. Biochem. 2023, 187, 109189. [Google Scholar] [CrossRef]
- Chen, P.; Xu, J.Z.; Zhang, Z.X.; Wang, K.C.; Li, T.C.; Wei, Q.; Li, Y.W. Carbon pathways in aggregates and density fractions in Mollisols under water and straw management: Evidence from C-13 natural abundance. Soil Biol. Biochem. 2022, 169, 108684. [Google Scholar] [CrossRef]
- Chen, P.; Xu, J.; Wang, K.; Zhang, Z.; Liu, X.; Wei, Q.; Nie, T.; Zhou, Z.; Meng, Q.; Lei, C. Biochar-or straw-mediated alteration in rice paddy microbial community structure and its urea-C utilization are depended on irrigation regimes. Appl. Soil Ecol. 2024, 203, 105608. [Google Scholar] [CrossRef]
- Ishfaq, M.; Farooq, M.; Zulfiqar, U.; Hussain, S.; Akbar, N.; Nawaz, A.; Anjum, S.A. Alternate wetting and drying: A water-saving and ecofriendly rice production system. Agric. Water Manag. 2020, 241, 106363. [Google Scholar] [CrossRef]
- Chen, P.; Xu, J.Z.; Wang, K.C.; Zhang, Z.X.; Zhou, Z.Q.; Li, Y.W.; Li, T.C.; Nie, T.Z.; Wei, Q.; Liao, L.X. Straw return combined with water-saving irrigation increases microbial necromass accumulation by accelerating microbial growth-turnover in Mollisols of paddy fields. Geoderma 2025, 454, 117211. [Google Scholar] [CrossRef]
- Peng, L.; Deng, S.; Wu, Y.; Yi, W.; Zhang, Y.; Yao, X.; Xing, P.; Gu, Q.; Qi, J.; Tang, X. A rapid increase of soil organic carbon in paddy fields after applying organic fertilizer with reduced inorganic fertilizer and water-saving irrigation is linked with alterations in the structure and function of soil bacteria. Agric. Ecosyst. Environ. 2025, 379, 109353. [Google Scholar] [CrossRef]
- Peng, L.; Deng, S.; Yi, W.; Wu, Y.; Cui, B.; Zhang, Y.; Yao, X.; Zhang, X.; Yang, H.; Tang, X. Modulation of greenhouse gas emissions and soil organic carbon in rice paddies through various crop rotation systems combined with water-saving irrigation: Insights into soil bacterial composition and functional alterations. Agric. Ecosyst. Environ. 2025, 394, 109897. [Google Scholar] [CrossRef]
- Blair, G.; Lefroy, R.; Lisle, L. Soil carbon fractions based on their degree of oxidation, and the development of a carbon management index for agricultural systems. Aust. J. Agric. Res. 1995, 46, 1459–1466. [Google Scholar] [CrossRef]
- Brookes, P.C.; Landman, A.; Pruden, G.; Jenkinson, D.S. Chloroform fumigation and the release of soil nitrogen: A rapid direct extraction method to measure microbial biomass nitrogen in soil. Soil Biol. Biochem. 1985, 17, 837–842. [Google Scholar] [CrossRef]
- Li, J.; Wen, Y.; Li, X.; Li, Y.; Yang, X.; Lin, Z.; Song, Z.; Cooper, J.M.; Zhao, B. Soil labile organic carbon fractions and soil organic carbon stocks as affected by long-term organic and mineral fertilization regimes in the North China Plain. Soil Tillage Res. 2018, 175, 281–290. [Google Scholar] [CrossRef]
- Soroush, S.; Ronsse, F.; Park, J.; Ghysels, S.; Wu, D.; Kim, K.-W.; Heynderickx, P.M. Microwave assisted and conventional hydrothermal treatment of waste seaweed: Comparison of hydrochar properties and energy efficiency. Sci. Total Environ. 2023, 878, 163193. [Google Scholar] [CrossRef] [PubMed]
- Funke, A.; Ziegler, F. Hydrothermal carbonization of biomass: A summary and discussion of chemical mechanisms for process engineering. Biofuels Bioprod. Biorefining 2010, 4, 160–177. [Google Scholar] [CrossRef]
- Heidari, M.; Dutta, A.; Acharya, B.; Mahmud, S. A review of the current knowledge and challenges of hydrothermal carbonization for biomass conversion. J. Energy Inst. 2019, 92, 1779–1799. [Google Scholar] [CrossRef]
- Ma, Q.L.; Han, L.J.; Huang, G.Q. Effect of water-washing of wheat straw and hydrothermal temperature on its hydrochar evolution and combustion properties. Bioresour. Technol. 2018, 269, 96–103. [Google Scholar] [CrossRef]
- Raheem, A.; He, Q.; Ding, L.; Dastyar, W.; Yu, G. Evaluating performance of pyrolysis and gasification processes of agriculture residues-derived hydrochar: Effect of hydrothermal carbonization. J. Clean. Prod. 2022, 338, 130578. [Google Scholar] [CrossRef]
- Zhu, L.; Hu, N.; Zhang, Z.; Xu, J.; Tao, B.; Meng, Y. Short-term responses of soil organic carbon and carbon pool management index to different annual straw return rates in a rice–wheat cropping system. CATENA 2015, 135, 283–289. [Google Scholar] [CrossRef]
- Jiang, X.; Xu, D.; Rong, J.; Ai, X.; Ai, S.; Su, X.; Sheng, M.; Yang, S.; Zhang, J.; Ai, Y. Landslide and aspect effects on artificial soil organic carbon fractions and the carbon pool management index on road-cut slopes in an alpine region. CATENA 2021, 199, 105094. [Google Scholar] [CrossRef]
- Siedt, M.; Schäffer, A.; Smith, K.E.C.; Nabel, M.; Roß-Nickoll, M.; van Dongen, J.T. Comparing straw, compost, and biochar regarding their suitability as agricultural soil amendments to affect soil structure, nutrient leaching, microbial communities, and the fate of pesticides. Sci. Total Environ. 2021, 751, 141607. [Google Scholar] [CrossRef] [PubMed]
- Xue, P.; Fu, Q.; Li, T.; Liu, D.; Hou, R.; Li, Q.; Li, M.; Meng, F. Effects of biochar and straw application on the soil structure and water-holding and gas transport capacities in seasonally frozen soil areas. J. Environ. Manag. 2022, 301, 113943. [Google Scholar] [CrossRef]
- Bai, N.; Zhang, H.; Zhou, S.; Sun, H.; Zhao, Y.; Zheng, X.; Li, S.; Zhang, J.; Lv, W. Long-term effects of straw return and straw-derived biochar amendment on bacterial communities in soil aggregates. Sci. Rep. 2020, 10, 7891. [Google Scholar] [CrossRef] [PubMed]
- Zhang, Q.; Song, Y.; Wu, Z.; Yan, X.; Gunina, A.; Kuzyakov, Y.; Xiong, Z. Effects of six-year biochar amendment on soil aggregation, crop growth, and nitrogen and phosphorus use efficiencies in a rice-wheat rotation. J. Clean. Prod. 2020, 242, 118435. [Google Scholar] [CrossRef]
- Blakemore, L.C.; Searle, P.L.; Daly, B.K. Methods for Chemical Analysis of Soils; NZ Soil Bureau, Department of Scientific and Industrial Research: Wellington, New Zealand, 1987. [Google Scholar]
- Yang, F.; Zhao, L.; Gao, B.; Xu, X.Y.; Cao, X.D. The Interfacial Behavior between Biochar and Soil Minerals and Its Effect on Biochar Stability. Environ. Sci. Technol. 2016, 50, 2264–2271. [Google Scholar] [CrossRef]
- Helrich, K. Association of official analytical chemists. In Official Methods of Analysis of the Association of Official Analytical Chemists, 15th ed.; Association of Official Analytical Chemist: Washington, DC, USA, 1990; Volume 12. [Google Scholar]
- Van Soest, P.J.; Robertson, J.B.; Lewis, B.A. Methods for Dietary Fiber, Neutral Detergent Fiber, and Nonstarch Polysaccharides in Relation to Animal Nutrition. J. Dairy Sci. 1991, 74, 3583–3597. [Google Scholar] [CrossRef]
- Singleton, V.L.; Orthofer, R.; Lamuela-Raventos, R.M. Analysis of total phenols and other oxidation substrates and antioxidants by means of Folin-Ciocalteu reagent. In Oxidants and Antioxidants; Packer, L., Ed.; Academic Press: Cambridge, MA, USA, 1999; pp. 152–178. [Google Scholar]
- Dreywood, R. Qualitative Test for Carbohydrate Material. Ind. Eng. Chem. Anal. Ed. 1946, 18, 499. [Google Scholar] [CrossRef]
- Bradford, M.M. A rapid and sensitive method for the quantitation of microgram quantities of protein utilizing the principle of protein-dye binding. Anal. Biochem. 1976, 72, 248–254. [Google Scholar] [CrossRef] [PubMed]
- Galvão, M.; Arruda, A.; Bezerra, I.; Ferreira, M.; Soares, L. Evaluation of the Folin-Ciocalteu Method and Quantification of Total Tannins in Stem Barks and Pods from Libidibia ferrea (Mart. ex Tul) L. P. Queiroz. Braz. Arch. Biol. Technol. 2018, 61, e18170586. [Google Scholar] [CrossRef]






| Total C Content | Total N Content | C: N Ratio | Labile Fractions | Recalcitrant Fraction | ||||||
|---|---|---|---|---|---|---|---|---|---|---|
| Cellulose | Hemicellulose | Soluble Sugar | Starch | Lignin | Polyphenol | Tannin | ||||
| g kg−1 | g kg−1 | g kg−1 | g kg−1 | g kg−1 | g kg−1 | g kg−1 | g kg−1 | g kg−1 | ||
| straw | 369.94 ± 0.34 | 13.83 ± 0.06 | 26.75 ± 0.09 | 375.93 ± 9.39 | 198.14 ± 8.20 | 36.96 ± 0.24 | 46.32 ± 0.22 | 46.55 ± 1.38 | 3.51 ± 0.02 | 3.12 ± 0.05 |
| hydrochar | 434.84 ± 0.57 | 16.86 ± 0.11 | 25.79 ± 0.13 | 436.39 ± 6.94 | 26.25 ± 3.13 | 22.13 ± 0.32 | 1.46 ± 0.03 | 192.89 ± 3.40 | 29.90 ± 0.31 | 41.92 ± 0.04 |
| Treatment | SOC (g kg−1) | L | LI | CPI | CPMI (%) |
|---|---|---|---|---|---|
| FHC 1 | 14.15 ± 0.31 ab 2 | 0.30 ± 0.04 a | 1.05 ± 0.14 a | 1.08 ± 0.03 a | 113.92 ± 12.85 ab |
| FST | 13.77 ± 0.44 abc | 0.29 ± 0.01 a | 1.04 ± 0.02 a | 1.06 ± 0.02 ab | 110.10 ± 4.28 ab |
| FN 3 | 13.08 ± 0.22 c | 0.28 ± 0.01 a | 1.00 ± 0.00 a | 1.00 ± 0.00 b | 100.00 ± 0.00 b |
| CHC | 14.38 ± 0.11 a | 0.32 ± 0.04 a | 1.15 ± 0.15 a | 1.10 ± 0.02 a | 126.84 ± 19.80 a |
| CST | 14.01 ± 0.35 ab | 0.33 ± 0.03 a | 1.19 ± 0.12 a | 1.08 ± 0.03 a | 127.73 ± 8.61 a |
| CN | 13.37 ± 0.14 bc | 0.30 ± 0.03 a | 1.04 ± 0.11 a | 1.03 ± 0.01 ab | 106.19 ± 10.16 b |
| Two–way ANOVA effect significance levels 3 | |||||
| I | ns | ns | ns | ns | ns |
| E | ** | ns | * | ** | ** |
| I × E | ns | ns | ns | ns | ns |
Disclaimer/Publisher’s Note: The statements, opinions and data contained in all publications are solely those of the individual author(s) and contributor(s) and not of MDPI and/or the editor(s). MDPI and/or the editor(s) disclaim responsibility for any injury to people or property resulting from any ideas, methods, instructions or products referred to in the content. |
© 2025 by the authors. Licensee MDPI, Basel, Switzerland. This article is an open access article distributed under the terms and conditions of the Creative Commons Attribution (CC BY) license (https://creativecommons.org/licenses/by/4.0/).
Share and Cite
Wang, K.; Xu, J.; Zhu, L.; Qian, Y.; Zhang, J.; Chen, P.; Liao, L.; Fan, J. Recycling Agricultural Residues as Straw and Hydrochar for Improved Soil Carbon Management Under Contrasting Irrigation Conditions. Agronomy 2025, 15, 2686. https://doi.org/10.3390/agronomy15122686
Wang K, Xu J, Zhu L, Qian Y, Zhang J, Chen P, Liao L, Fan J. Recycling Agricultural Residues as Straw and Hydrochar for Improved Soil Carbon Management Under Contrasting Irrigation Conditions. Agronomy. 2025; 15(12):2686. https://doi.org/10.3390/agronomy15122686
Chicago/Turabian StyleWang, Kechun, Junzeng Xu, Lili Zhu, Yu Qian, Jian Zhang, Peng Chen, Linxian Liao, and Junliang Fan. 2025. "Recycling Agricultural Residues as Straw and Hydrochar for Improved Soil Carbon Management Under Contrasting Irrigation Conditions" Agronomy 15, no. 12: 2686. https://doi.org/10.3390/agronomy15122686
APA StyleWang, K., Xu, J., Zhu, L., Qian, Y., Zhang, J., Chen, P., Liao, L., & Fan, J. (2025). Recycling Agricultural Residues as Straw and Hydrochar for Improved Soil Carbon Management Under Contrasting Irrigation Conditions. Agronomy, 15(12), 2686. https://doi.org/10.3390/agronomy15122686

