Next Article in Journal
Film Mulching Enhances Wheat Productivity in Tilled Systems but Not in No-Till Systems by Differentially Regulating Root-Zone Temperature During the Spring Season in the North China Plain
Previous Article in Journal
Multi-Omics Reveals Stage-Specific Flavonoid Accumulation in Bupleurum chinense DC. Inflorescences
 
 
Font Type:
Arial Georgia Verdana
Font Size:
Aa Aa Aa
Line Spacing:
Column Width:
Background:
Article

Improving Pollination Efficiency in Greenhouse Strawberries Through Honeybee (Apis mellifera L.) Feeding Management

Division of Apiculture, Department of Agricultural Biology, National Institute of Agricultural Science, Rural Development Administration, Wanju 55365, Republic of Korea
*
Author to whom correspondence should be addressed.
Agronomy 2025, 15(11), 2608; https://doi.org/10.3390/agronomy15112608
Submission received: 29 September 2025 / Revised: 6 November 2025 / Accepted: 7 November 2025 / Published: 13 November 2025
(This article belongs to the Section Horticultural and Floricultural Crops)

Abstract

Stable pollination by honeybees (Apis mellifera L.) is essential for the reliable production of strawberries cultivated in winter greenhouses in Korea. Few studies focused on the management of pollination hives within greenhouses during flowering. Thus, this study aimed to investigate the effects of nutritional feed management by supplementing pollen patties and sugar solution on the pollination efficiency and colony longevity of honeybees under greenhouse conditions. In March, the number of foraging bees in the treatment group was 1.94 times higher than that in the control group. The number of bees inside the hive was approximately 2000 greater in February and approximately 2925 greater in March in the treatment group than in the control group. The pollen patties supplemented one time were completely consumed after 53 days, whereas 50% of the patties remained even after 70 days when supplemented three times. The commercial fruit set rate was 5.9% higher, and the fruit weight was significantly heavier, by 1.7 g, in the treatment group than in the control group, although other quality parameters showed no significant differences. Additionally, bee activity was approximately 2.2 times higher in the treatment group with sugar syrup supplementation than in the control group, but the fruit set rate or quality did not significantly differ between the two groups. These findings indicate that the feed management of honeybees during winter greenhouse strawberry cultivation is essential for stable pollination. Proper nutritional supplementation not only enhances bee activity and colony longevity but also improves strawberry productivity, leading to an estimated additional profit of approximately KRW 2.29 million (≈USD 1700) per 0.1 ha. This demonstrates that nutritional management of pollination hives provides both biological and economic benefits for greenhouse strawberry growers.

1. Introduction

Strawberry (Fragaria × ananassa Duch.), an herbaceous perennial plant belonging to the family Rosaceae, is a widely cultivated horticultural crop worldwide [1]. In Korea, strawberries are primarily cultivated in greenhouses from late September to the end of May and are a major fruit vegetable consumed from winter to spring [2,3]. Although strawberry flowers are capable of self-pollination, the activity of pollinators such as honeybees is essential for the stable production of high-quality fruits with superior marketability [4,5,6,7].
Honeybees (Apis mellifera) are the most extensively used managed pollinators in greenhouse strawberry cultivation, as their foraging activity substantially increases fruit set, weight, and overall quality compared with self- or wind-pollination [4]. Insufficient pollination frequently results in misshapen fruits, highlighting the critical role of efficient insect-mediated pollination in achieving commercial fruit quality [8].
In addition to honeybees, other insect species such as bumblebees (Bombus terrestris), hoverflies (Syrphidae), and solitary bees (Osmia, Andrena spp.) have also been reported to contribute to strawberry pollination [9,10]. Bumblebees exhibit high pollination efficiency under low-temperature and low-light conditions typical of winter greenhouses, whereas hoverflies are more active under warmer and brighter environments [11]. Despite this ecological diversity, honeybees remain the most widely used pollinators in commercial greenhouse systems because they can be efficiently managed at the colony level and offer high operational and economic advantages [12].
While partial self-pollination (autogamy) can occur in strawberries, complete fruit development requires successful fertilization, and no evidence of apomixis (asexual seed formation) has been reported in cultivated Fragaria × ananassa [7,13]. This indicates that normal fruit formation depends entirely on effective pollen transfer by insects, reinforcing the necessity of maintaining healthy and active honeybee colonies for consistent fruit quality. The use of honeybees as pollinators in strawberry cultivation was first reported in Germany in 1967, and their application in greenhouse strawberry production became widespread in Japan during the 1970s [14,15]. In Korea, honeybees were introduced to winter strawberry cultivation in the late 1970s, and their use rapidly expanded in the 1980s in conjunction with the increase in greenhouse cultivation areas [16]. By the 2000s, the majority of strawberry growers in Korea had adopted honeybees for pollination purposes [17,18]
In Korea, the flowering period of strawberries cultivated in greenhouse facilities extends from winter to spring, necessitating stable pollination by honeybees for more than 5 months under greenhouse cultivation conditions [19]. Therefore, the development and application of systematic honeybee colony management techniques aimed at sustaining colony survival and foraging activity during the strawberry flowering period are important [20,21]. Although studies in Korea have examined the pollination effectiveness of honeybees and the optimal hive release density in strawberry cultivation [16,20,22,23], systematic research on the management of pollination hives within greenhouses during the flowering period remains limited.
In winter greenhouse cultivation, strawberry pollination occurs under unique environmental conditions characterized by low temperatures, weak light intensity, and the exclusion of external insects. Although strawberries are self-compatible, incomplete pollination often leads to malformed fruits with low marketability. Therefore, the precision and stability of pollination are critical factors determining the profitability of strawberry production. To achieve such precision, it is essential to maintain the physiological vitality and sustained foraging activity of honeybee colonies throughout the flowering period. However, research on practical management strategies to maintain colony activity and ensure stable pollination performance under winter greenhouse conditions remains limited [5].
Honeybees are employed as pollinators over an extended period of strawberry cultivation; hence, proper colony management to sustain the oviposition of the queen is essential [19,24]. The oviposition of the queen is influenced by environmental factors, such as temperature; however, the most critical factor is sufficient intake of pollen, a protein source that enables ovarian development [25,26,27]. Nevertheless, strawberry flowers naturally produce limited amounts of pollen and nectar, making the supplementation of protein sources necessary to maintain healthy colony reproduction [11].
Previous studies on greenhouse strawberry cultivation have primarily focused on environmental factors such as hive density, colony placement, temperature, and light in tensity, which affect pollination efficiency [2,28,29]. However, no study has quantitatively analyzed the integrated effects of nutritional and feeding management—such as pollen patty and sugar solution supplementation—on the physiological vitality of honey bee colonies, pollination stability, and economic performance. In other greenhouse crops such as tomato (Solanum lycopersicum) and bell pepper (Capsicum annuum), research has been conducted on hive placement and colony activity [30,31], but systematic approaches focusing on nutritional regulation remain insufficient.
Stable pollination by honeybees is essential for improving the fruit set rate and yield in greenhouse strawberry cultivation [4,5]. Therefore, this study aimed to establish effective feeding management practices for honeybees to ensure consistent pollination performance in strawberry greenhouses. We investigated the effects of pollen patties, which influence queen egg laying, and sugar solution, an energy source for honeybee activity, on the pollination behavior and colony longevity of honeybees under greenhouse conditions. The consumption patterns of both feeds were monitored to determine optimal management timing. In addition, we evaluated the effects of pollen patty and sugar solution supplementation on strawberry quality and yield.
Therefore, this study represents the first integrative analysis of the interactions among supplemental feeding, colony physiology, pollination efficiency, and economic productivity under winter greenhouse conditions. These findings provide a scientific basis for developing precision pollination management strategies that enhance both colony health and crop productivity.

2. Materials and Methods

2.1. Study Crop and Colony

The strawberry cultivar used in this study was Fragaria × ananassa var. Seolhyang. Honeybees (Apis mellifera L., Italian hybrid strain) used for pollination were obtained from a pollinator bee farm in Nonsan, Chungcheongnam-do, Republic of Korea (36°07′36″ N 127°05′01″ E). Each colony had a nurse-to-forager bee ratio of approximately 3:1.

2.2. Study Sites and Hive Setup

This study on the feeding management of honeybee colonies in strawberry cultivation was conducted from 20 September 2018 (transplanting date) to 30 April 2019, at a strawberry farm in Samnye-eup, Wanju, Jeonbuk, Republic of Korea (35°54′19″ N, 127°04′44″ E). The study was carried out in 10 greenhouses, each measuring 660 m2, where 2000 strawberry seedlings were transplanted per house. Each beehive used in the study contained approximately 10,000 bees, including one queen, four comb frames, a 1.5 kg pollen patty (Korean Beekeeper Nonghyup, Seoul, Republic of Korea), and one frame containing approximately 2 kg of stored honey. The colonies were housed in wooden pollination hives (49.5 cm × 20.5 cm × 32.5 cm). The hives were introduced into the greenhouses on 30 October 2018, and removed on 10 March 2019. The experiment was conducted using a completely randomized design.

2.3. Feeding Management and Hive Placement

To investigate pollination performance through hive feeding management, this study was designed with the following treatments: Pollen patties were initially provided once during colony introduction. The control group received no further feeding, whereas the treatment groups received either one additional feeding (total of two applications) or two additional feedings (total of three applications). Sugar solution treatments were determined based on the depletion of honey stored in the honeycomb. Colonies in the control group received no supplemental feeding after depletion, whereas those in the treatment groups were provided with sugar solution thereafter. The treatment hives were placed in five separate greenhouses, and the control hives were placed in the five remaining greenhouses. The pollen patty used was a commercial product with 80% pollen content (Premium Pollen Patties, Yangbong Nonghyup, Seoul, Republic of Korea). A 50% sucrose solution was prepared by dissolving 50 g of sugar (CJ CheilJedang Corp., Seoul, Republic of Korea) in 500 mL of distilled water. The hives were placed on stands 0.6 m above ground level and located 20 m from the greenhouse entrance.

2.4. Greenhouse Environmental Monitoring

To verify that both greenhouses provided identical microclimatic conditions for pollination and to rule out any potential environmental influence on pollen germination or bee activity, key environmental parameters were continuously monitored throughout the experiment. Monitoring ensured that any observed differences in colony performance or fruit set could be attributed solely to the feeding management treatments, rather than to uncontrolled variations in temperature or humidity. Each greenhouse was equipped with an Illuminance/UV Recorder (TR-74Ui; T&D Co., Matsumoto, Nagano, Japan) positioned at flower height (approximately 1.0 m above ground) near the hive entrance. Air temperature (°C), relative humidity (%), illuminance (lux), and ultraviolet irradiance (mW m−2) were automatically measured at 10 min intervals from 08:00 to 18:00 h each day. The vapor pressure deficit (VPD, kPa) was calculated from temperature and humidity data using the following equation:
V P D = 0.6108 × e x p 17.27 T T + 237.3 × 1 R H 100
where T is temperature (°C) and RH is relative humidity (%). Hourly and daily means of each variable were used for subsequent analyses. Comparisons of microclimatic variables between greenhouses were performed using linear mixed-effects models and two one-sided equivalence tests (TOST) with practical bounds of ±1.5 °C for temperature, ±10% for relative humidity, and ±0.1 kPa for VPD.

2.5. Assessment of Honeybee Activity and Colony Longevity

The activity levels of honeybees in response to feeding treatments were evaluated by continuously monitoring the traffic of foraging bees at each hive entrance throughout the study period. An image-based deep learning system for quantifying bee activity was installed at the entrance of each hive to objectively measure external worker traffic [11]. Bee activity was recorded at 1 min intervals and converted into data in *.csv format. For analysis, the average daily bee traffic was calculated and used as the primary metric.
Colony longevity during strawberry pollination was assessed by conducting monthly hive inspections from 15th December to 15th March. The number of adult workers was estimated by photographing the comb surfaces and calculating the area covered by the bees on each frame. Images were analyzed using the regression model proposed by Burgett and Burikam (1985) [32], which estimates the number of bees based on their visible coverage on both sides of each comb frame [33].

2.6. Assessment of Pollination Effect According to Feeding Management

The effects of feeding management on the pollination performance of the honeybees were evaluated based on the commercial fruit set rate and fruit quality of strawberries. The commercial fruit set rate was measured based on the inflorescence pattern during each harvest period (1st: 10 January 2019; 2nd: 27 February 2019; and 3rd: 28 March 2019). For each harvest, 30 fruits were randomly collected at 10, 30, 50, 70, and 90 m from the entrance of each greenhouse, and the percentage of malformed fruits was calculated. Fruit quality was assessed by measuring weight, firmness, soluble solid content (SSC), acidity, and sugar–acid ratio. Fruit weight was measured using an electronic balance (CB-3000; AND, Seoul, Republic of Korea). Firmness was measured three times at the midsection of each fruit using a handheld penetrometer (TMS-Pro; Food Technology, Sterling, VA, USA) with a cylindrical probe (5Φ × 10 mm), and the average was calculated [34]. SSC was determined by extracting juice from 10 strawberries using gauze and analyzing it with a digital refractometer (PR-32α, Atago, Tokyo, Japan). Acidity was determined by mixing 5 mL of juice with 35 mL of distilled water, titrating with 0.1 N NaOH, and converting the results to citric acid equivalents [22]. The sugar–acid ratio was calculated by dividing the SSC by the acidity.

2.7. Analysis of Nutritional Feed Depletion

Feed depletion over time after colony installation was examined to determine the appropriate timing for managing the nutritional feed of honeybees used for pollination. The study was conducted in two separate periods: from 20 September 2018 to 30 April 2019 and from 1 December 2021 to 19 April 2022. The first trial along with a nutritional management experiment was conducted in Wanju-gun. In the five colonies under nutritional management, the duration until the initially supplied pollen patty was reduced to less than 10% was recorded. A new pollen patty was then provided, and the duration was measured again using the same method. Three rounds of pollen patty supplementation were performed during the pollination period.
The second trial was conducted in five greenhouses at a strawberry farm in Nonsan-si (36°19′15″ N 127°06′02″ E). The pollen patties and honeycomb frames inside the colonies were weighed every 10 days. The first round of pollen patty monitoring was conducted from the installation date to day 60, when approximately 10% of the patty remained. The second round covered days 70–110 after replenishment, and the third round spanned from day 120 until the end of the pollination period. The weight of the honeycomb was monitored from the initial placement until complete depletion of the stored honey, which occurred by day 200.

2.8. Statistical Analysis

All data used in the analysis were tested for normality using the Kolmogorov–Smirnov and Shapiro–Wilk test. Microclimatic variables (temperature, relative humidity, and vapor pressure deficit) between the control and treatment greenhouses were compared using linear mixed-effects models and equivalence testing based on two one-sided tests (TOST) to confirm the statistical equivalence of environmental conditions. For bee activity data with more than 100 observations, normality tests were not performed separately in accordance with the central limit theorem. Based on datasets that satisfied the assumption of normality, significant differences in the number of adult bees, activity levels, commercial fruit set rate, and fruit quality according to feed management were evaluated using t-tests. Comparisons of adult bee numbers, activity levels, commercial fruit set rate, and fruit quality across different measurement periods were conducted using one-way ANOVA, followed by Tukey’s HSD test for post hoc comparisons. When the assumption of homogeneity of variance was not met, Welch’s t-test was applied. The correlation between feeding management and bee activity was analyzed using Pearson’s correlation. The colony survival duration in each treatment group was estimated using second-order regression equations derived from regression analysis. All statistical analyses were conducted using SPSS PASW 22.0 for Windows (IBM Corp, Chicago, IL, USA) and statistical significance was determined at p < 0.05. In addition, an economic feasibility analysis was conducted based on the differences in marketable fruit set rate and yield between the treatment and control groups. Costs for supplemental pollen patties, sugar solution, labor, and packaging were compared with the additional income from increased marketable yield. Currency conversions were based on the 2024 average exchange rate (1 USD ≈ 1350 KRW).

3. Results

3.1. Greenhouse Microclimatic Conditions

Environmental data were summarized at two temporal scales to verify the equivalence of greenhouse conditions. Hourly data (08:00–18:00 h) were averaged across all days to evaluate microclimatic similarity during active bee foraging periods (Supplementary Figure S1; Supplementary Table S1), whereas daily means were calculated to assess long-term environmental stability throughout the entire experimental period from 20 November to 30 April (Supplementary Figure S2; Supplementary Table S2). Temperature, relative humidity, and vapor pressure deficit (VPD) were continuously monitored using data loggers to confirm that both greenhouses provided comparable environmental conditions for pollination. Statistical analyses using linear mixed-effects models and two one-sided equivalence tests (TOST) indicated that temperature (21.3 ± 4.2 °C vs. 21.6 ± 4.3 °C), relative humidity (69.6 ± 18.1% vs. 70.2 ± 17.5%), and VPD (1.05 ± 0.75 kPa vs. 1.06 ± 0.74 kPa) were statistically equivalent between the treatment and control greenhouses (pTOST < 0.05; Table S1). These parameters remained within the optimal range for strawberry pollen germination (20–27 °C; 60–80% RH), ensuring that any observed differences in bee activity or fruit set were attributable primarily to the feeding management treatments rather than to microclimatic variation.

3.2. Comparison of Honeybee Numbers in Hive and Foraging Bee Traffic According to Pollen Patty Supplementation

The number of honeybees in the hive was compared monthly according to the pollen patty supplementation (Figure 1). No significant differences in this number were observed between the treatment and control groups in December and January (p > 0.05). However, in February and March, the treatment group showed over 2000 (t6 = 5.908, p = 0.001) and approximately 2925 more bees, respectively, than the control group (t5.540 = 9.807, p = 0.0001).
The average daily foraging bee traffic was compared between the treatment and control groups throughout the flowering period of strawberry (Table 1). Although the difference in bee traffic among the colonies supplemented three times with pollen patties was not statistically significant, the total number of foraging activities showed visible differences. In December and January, shortly after hive placement in the strawberry greenhouse, both groups exhibited similar activity levels (p > 0.05). In February, the treatment group showed 184.3 more bees than the control group, but the difference was not statistically significant (p > 0.05). However, in March, the treatment group maintained consistent supplementation, resulting in 210.8 more bee activities on average than the control group (t12.220 = 2.598, p = 0.023).
Overall, the foraging activities in the treatment and control groups decreased over time (Figure 2). Regression analysis confirmed a significant decrease in bee traffic in the control group (R2 = 0.2285, y = −3.8181x + 166,679). A decreasing trend was also observed in the treatment group, although the rate of decline was relatively moderate (R2 = 0.46, y = −6.0297x + 262,810).

3.3. Comparison of Commercial Fruit Set and Fruit Quality in Response to Supplemental Feeding

This study investigated whether continuous supplemental feeding affects pollination performance in strawberries. As shown in Table 2, the commercial fruit set rate in the treatment group that received pollen patties was 91.5% ± 7.1%, which was approximately 5.9% higher than that in the control group (t58 = 2.828, p = 0.006). When examined according to harvest period, the treatment and control groups showed no significant difference in commercial fruit set rate during the first harvest (p > 0.05). In the second harvest, however, the treatment group showed a 7.1% higher commercial fruit set rate than the control group (t18 = 2.351, p = 0.030). In the third harvest, the treatment group remained to have a higher fruit set rate, but the difference was not statistically significant (p > 0.05). Overall, the treatment group that received supplemental feeding had a commercial fruit set rate of 91.5% ± 7.1%, which was approximately 5.9% greater than that in the control group (t58 = 2.828, p = 0.006).
The fruit quality characteristics of the harvested strawberries were also compared according to supplemental feeding (Table 3). The average fruit weight in the treatment group was 1.7 g heavier than that in the control group, and the difference was statistically significant (t358 = 2.631, p = 0.009). No significant differences in firmness, soluble solid content (Brix), acidity, or sugar-to-acid ratio were observed between the treatment and control groups (p > 0.05). By flowering order, in the second inflorescence, strawberries from the treatment group were 3.3 g heavier than those from the control group (t118 = 3.657, p = 0.0001), whereas firmness was 0.2 N higher in the control group than in the treatment group (t118 = −2.065, p = 0.041). In the third inflorescence, acidity was 0.1% higher (t118 = 2.766, p = 0.007) and the sugar-to-acid ratio was significantly higher in the control group than in the treatment group (t118 = −2.102, p = 0.038). No other significant differences were observed in fruit weight, firmness, Brix, acidity, or sugar-to-acid ratio during the remaining harvest periods (p > 0.05).
Based on the improvements in fruit set rate (5.9%) and fruit weight (1.7 g) in the treatment group, an economic analysis estimated that nutritional feed management could increase net profit by approximately KRW 2.29 million (≈USD 1700) per 0.1 ha compared with the control group. Detailed calculations are provided in Table 4.

3.4. Pollen Patty Consumption Duration According to Number of Supplementations

When pollen patties were supplemented for the first time, the average consumption period was 37.4 ± 7.7 days (Table 5). For the second and third supplementation, the period increased to 55.6 ± 14.3 and 85.0 ± 0.0 days, respectively. The consumption duration significantly increased with each successive supplementation (one-way ANOVA test: F2,12 = 32.704, p = 0.0001).
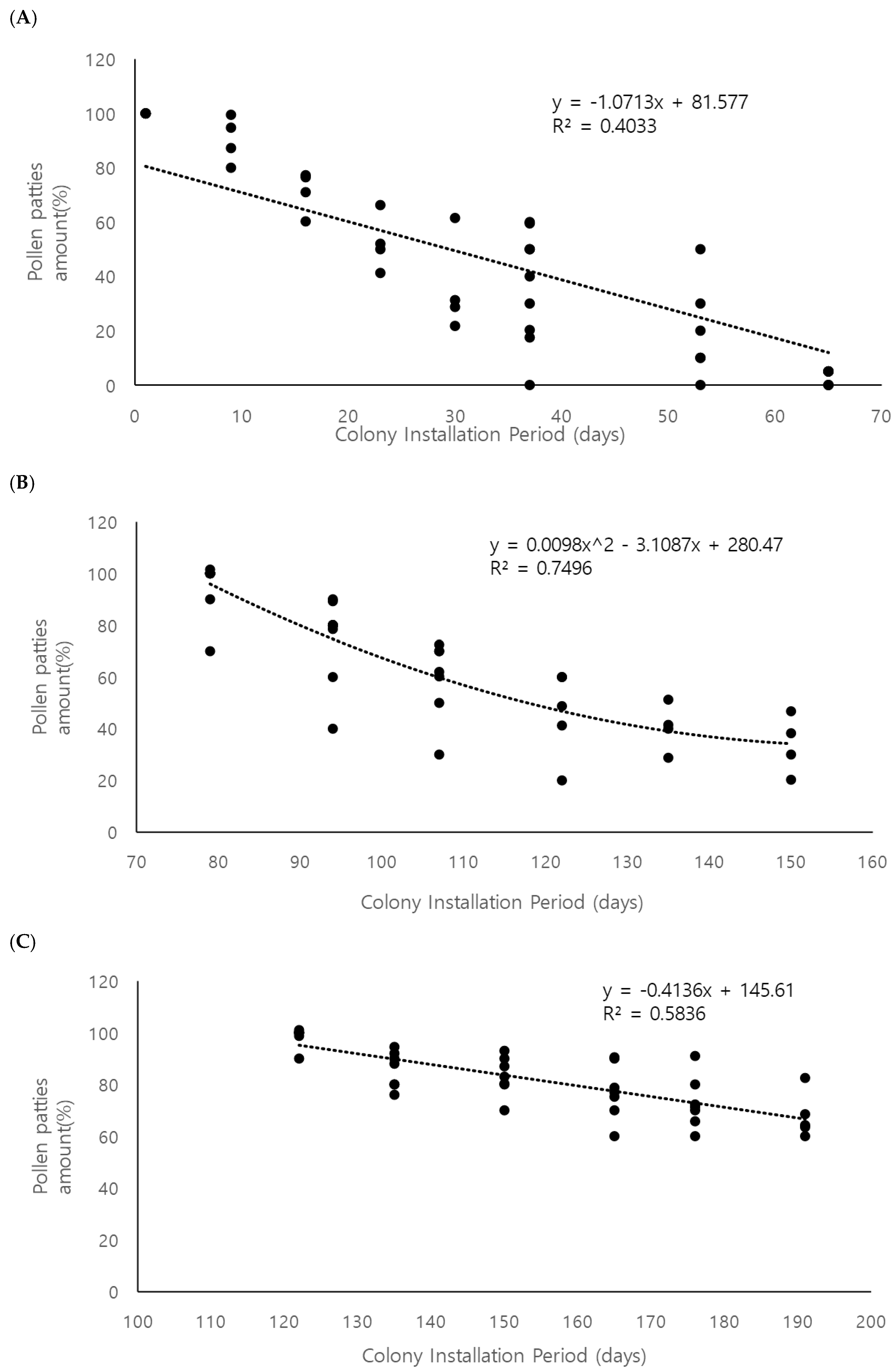
Correlation analysis revealed a significantly negative correlation between the number of bees on combs and pollen patty consumption duration (r = −0.870, p = 0.0001) (Figure 3).
In the first supplementation (Figure 3A), the consumption rate of the pollen patty significantly decreased as the number of installation days increased. Approximately 10% of the patty remained after approximately 50 days (ANOVA: F1,40 = 179.958, p = 0.0001; DW = 0.740; R2 = 0.814; y = −0.548x + 58.009). During the second supplementation (Figure 3B), the slope became more gradual, and the consumption period increased (ANOVA: F1,36 = 89.227, p = 0.0001; DW = 0.711; R2 = 0.705; y = −0.780x + 157.627). In the third supplementation (Figure 3C), even after about 80 days, approximately 40% of the pollen patty remained (ANOVA: F1,38 = 53.262, p = 0.0001; DW = 0.973; R2 = 0.573; y = −1.411x + 269.926).

3.5. Comparison of Bee Foraging Activity and Fruit Quality Characteristics According to Sugar Solution Supplementation

The foraging activity of the honeybee colonies supplied with sugar solution, an essential energy source, was monitored over time (Figure 4 and Figure 5). The activity levels of the colonies that received the sugar solution increased and gradually diverged from those that did not receive supplementation over time. To assess the pollination effect of sugar solution supplementation, the commercial fruit set rate was analyzed (Figure 6). The treatment group with sugar solution showed a 0.9% higher fruit set rate than the control group, but this difference was not statistically significant (t25.837 = 0.819, p = 0.420). Minor differences in fruit quality characteristics such as weight, firmness, soluble solids content (Brix), and acidity were observed between the treatment and control groups (p > 0.05; Table 6).

3.6. Depletion Period of Honeycomb-Containing Stored Honey

The weight of the honeycomb was monitored to determine the number of days it takes for the honeycomb-containing stored honey (honeycomb frame) to be depleted after the initial placement of the honeybee colony in the strawberry greenhouse and to identify the appropriate timing for sugar solution supplementation (Figure 7). The depletion time ranged from 94 days to 150 days, reaching approximately 1 kg in weight (ANOVA F1,50 = 120.277, p = 0.0001, DW = 0.269, R2 = 0.706, y = −63.931x + 182.409). A weight of 1 kg indicated that approximately one-third of the honey remained in the frame.
These results suggest that sugar solution supplementation at around day 130, when the honeycomb weight approaches 1 kg, is effective in maintaining colony strength.

4. Discussion

In the case of soil-cultivated strawberries in greenhouses, flowering typically occurs from late October to April [2], requiring honeybee colonies to be maintained for approximately 5 months under winter greenhouse conditions. Oviposition by the queen and the foraging activity of worker bees are closely related in honeybees [35,36]. Among various factors, the presence of a sufficient protein source is one of the most critical elements for sustaining oviposition by the queen [21,37,38]. Strawberry flowers alone do not provide sufficient pollen to meet the nutritional needs of the queen for continuous egg laying, making supplementary protein sources necessary [11,39]. In December and January, when the colonies were first introduced to the strawberry greenhouse, no significant differences were observed. However, in February, when the initially supplied pollen patties were depleted, the colonies that received additional supplementation exhibited increased foraging activity. By March, the difference in activity had reached a nearly 1.94 fold increase compared with the control group.
The number of bees on the comb also showed a notable divergence beginning in February. In specific, it decreased sharply in the control group, whereas the colonies supplemented with pollen patties exhibited a more gradual decline. According to the regression equations derived for foraging activity over the pollination period, the estimated time until colony depletion was approximately 70 days in the control group and 88 days in the treatment group, suggesting that pollen patty supplementation extended colony activity by approximately 1.26 times. In December and January, oviposition by the queen and generational turnover from nurse bees to foragers occurred smoothly, as supported by the initially supplied pollen patties. This phenomenon possibly helped maintain the foraging activity and number of bees on the comb during this period. By contrast, in February, the depletion of pollen patties in the control group probably halted queen oviposition, disrupting the replacement of old bees with newly emerged bees. Over time, as more nurse bees transitioned into foragers without sufficient replacements, the number of bees on the comb declined. Additionally, the commercial fruit set rate was significantly higher (i.e., by 5.9%) in the treatment group than in the control group, with a 7.1% higher rate observed specifically in the second harvest conducted in late February. Strawberries typically require approximately 45 days from flowering to harvest [40]. Thus, flowers blooming in late January were possibly affected by changes in bee activity. However, in the third harvest, no significant difference in fruit set rate was observed. This finding is likely due to the increased greenhouse ventilation during warmer periods, such as March, when the sidewalls are opened. Under these conditions, wind and external pollinators possibly synergistically contributed to pollination, thus diminishing the observed differences between the treatment and control groups.
Low-temperature conditions can negatively affect pollen formation and pollen tube development in strawberries [17,41,42] while acting as a limiting factor for the pollination activity of honeybee foragers [43,44,45]. In Korea, the period between late December and mid-January, when the second inflorescence of strawberries typically blooms, is generally the coldest in greenhouses [41]. In the present study, the average internal greenhouse temperature during the second inflorescence flowering period (December and January) was more than 3 °C lower than that in March, which possibly contributed to the reduced commercial fruit set rate compared with the first inflorescence. Nevertheless, the fruit set rate of the colonies that received supplemental feed in the first harvest was higher than that of the colonies in the control group in the first and second harvests. This result indicates that even under suboptimal conditions for fruit set due to cold stress, the maintenance of colony vitality through nutritional supplementation enables foraging bees to perform effective pollination, thereby reducing the incidence of malformed fruits. Notably, strawberries harvested from the second inflorescence are generally sold at prices 20–30% higher than those harvested from the third inflorescence and beyond [34]. Therefore, improving productivity during this period could contribute substantially to the profitability of strawberry farming.
The nectar from flowers serves as the primary energy source for honeybees. In environments such as greenhouses where floral nectar is scarce, supplying sugar syrup is essential for maintaining bee activity and ensuring colony survival, which are indispensable conditions for stable pollination performance [46]. Compared with other crops, strawberry flowers produce relatively lower amounts of nectar and pollen, making them an insufficient energy source to sustain colonies [11].
In the present study, we compared bee activity between colonies that were provided with sugar syrup after honey in the honeycomb frames was fully depleted and those that were not. The results showed a clear difference between the treatment and control groups, with bee activity in the syrup-supplemented colonies consistently increasing over time. The average activity level in the treatment group was approximately 2.2 times higher than that in the control group. However, no significant differences in commercial fruit set rate or fruit quality were observed between the treatment and control groups. This result may be attributed to the timing of the survey, which was conducted after March, when the side windows in the greenhouse were opened. Under these conditions, wind and external pollinators might have contributed synergistically to pollination, thereby diminishing the observable effects of sugar syrup supplementation. Furthermore, whether sugar syrup supplementation has only a temporary effect on bee activity or whether it also influences colony longevity and strawberry productivity over the entire pollination period remains unclear. Therefore, additional long-term studies during the full pollination season are necessary to evaluate the impact of sugar syrup supplementation on colony lifespan and crop yield.
Nutritional management of honeybee colonies within greenhouses is a key factor that influences colony longevity and pollination, thereby contributing to improved strawberry productivity. However, strawberry growers are not beekeepers and may face challenges in providing pollen patties or sugar syrup at appropriate times. Moreover, frequent hive inspections can cause stress to the bees [47], highlighting the importance of accurately predicting feeding intervals. In the present study, we estimated the consumption period of pollen patties to establish effective feeding schedules in strawberry greenhouses. When 800 g of pollen patties was supplied once, they were consumed within 53 days. With a second supply, consumption was extended to 70 days. With a third supply, the patties remained at 50% unconsumed even after 70 days, at which point the hive was removed. These results indicate that the consumption duration increased over time. This trend corresponds to the observed negative correlation between the number of capped brood cells and the duration of pollen patty consumption, suggesting that higher brood numbers accelerate feed depletion. Therefore, assuming that the side ventilation windows are opened after March, if colonies are introduced in November, supplying pollen patties once in December and again in February may be sufficient to support consistent oviposition and colony development throughout the critical pollination period.
Beyond biological effectiveness, nutritional feeding management also demonstrated clear economic benefits. The increase in marketable fruit set rate and average fruit weight translated into an additional net profit of approximately KRW 2.29 million (≈USD 1700) per 0.1 ha, and the major contributor to this profitability was the higher proportion of marketable fruits, which accounted for approximately KRW 2.14 million (≈USD 1585) (Table 4). Additional benefits were derived from reduced hive rental costs (≈KRW 0.52 million; USD 385), while the additional expenses for pollen patties, sugar solution, labor, and packaging amounted to only KRW 0.37 million (USD 277). Considering that strawberries harvested during the second inflorescence generally command 20–30% higher prices in the market, the profitability of feeding management is particularly relevant for growers seeking to maximize returns during this critical production window. These findings indicate that nutritional management of pollination hives is not only biologically effective but also economically viable for commercial strawberry production.
This study evaluated the impact of nutritional feed management on colony maintenance and pollination performance of honeybee colonies used in strawberry greenhouses. The results demonstrated that the colonies that received supplemental feeding exhibited extended longevity and higher bee foraging activity than those that did not. Although no significant differences were observed in fruit quality, the commercial fruit set rate was higher in the treatment group than in the control group, contributing to improved productivity. These findings highlight the importance of implementing proper nutritional management when honeybee colonies are used for strawberry pollination in greenhouse systems. This study provides practical evidence that can help strawberry growers utilize honeybee colonies more effectively over extended periods, thereby enhancing crop productivity. Moreover, it provides foundational data demonstrating that colony management under greenhouse conditions can enhance pollination efficiency and potentially increase farm income when applied in the field.
Previous studies on strawberry pollination have primarily focused on assessing pollination efficiency, flower-visiting frequency, or hive density of honeybees in greenhouse systems. However, few have explored the physiological and behavioral mechanisms that sustain colony activity and pollination performance throughout the extended flowering period of winter strawberry cultivation. The present study offers an integrative understanding of how nutritional management of Apis mellifera colonies can improve both pollination precision and agronomic productivity, thereby providing new insights into how nutritional and environmental regulation can optimize pollination efficiency and fruit development under controlled cultivation conditions.
While it is well recognized that colony nutrition influences bee survival and pollination activity, this study is unique in that it provides quantitative evidence under the specific context of winter greenhouse strawberry cultivation in Korea. This production system presents distinct challenges, including prolonged low temperatures and limited floral resources, which require tailored management strategies for sustaining colony activity and pollination stability.
By integrating biological, agronomic, and economic analyses, the present work offers novel insights into how feeding management can be optimized for both colony performance and grower profitability.
Although this study was conducted under controlled greenhouse conditions, further long-term investigations that consider interannual and regional environmental variability are necessary. In addition, the effect of sugar syrup supplementation on strawberry production requires further quantitative evaluation, as this aspect was limited in the current study. Future studies should also analyze commercial fruit set and quality according to the inflorescence type.
Recent studies have highlighted that pollen germination strongly influences fertilization success and fruit quality in strawberries. Moreover, the viability of pollen collected by honeybees can decline to below 30% owing to salivary or handling effects, and at least 11 floral visits are often required to achieve fully marketable fruits [4,48]. This study has a limitation in that pollen germination was not directly assessed. However, continuous environmental monitoring indicated that temperature, relative humidity, and vapor pressure deficit (VPD) were statistically equivalent between greenhouses and remained within the optimal range for strawberry pollen germination (20–27 °C; 60–80% RH) [32]. These findings suggest that both treatments likely provided suitable conditions for fertilization, although minor microclimatic variation could still affect pollen germination. Therefore, future studies should incorporate pollen viability assays (e.g., acetocarmine or FDA staining), which have been effectively used to assess pollen performance in strawberries and other horticultural crops [49,50], to better clarify the relative contributions of floral physiology and pollinator behavior to fruit-set outcomes.
The findings of this study, although focused on strawberries, may be applicable to other horticultural crops that require long-term pollination by honeybees. Crops such as greenhouse peppers, oriental melons, and mangoes could benefit from further research on the effects of colony maintenance and feed management. Expanding this line of research across different crops has the potential to improve pollination stability and agricultural productivity on a broader scale.
In summary, supplemental feeding of honeybee colonies extended colony longevity, increased foraging activity, and improved fruit set rate and weight under greenhouse strawberry cultivation. Importantly, these improvements translated into an estimated additional net profit of approximately KRW 2.29 million (≈USD 1700) per 0.1 ha, highlighting the economic value of nutritional feeding management. This approach therefore represents a practical strategy to enhance both biological pollination stability and farm profitability.

5. Conclusions

This study confirmed that colonies supplemented with pollen patties maintained longer activity periods and higher foraging activity levels than those without supplementation, resulting in a 5.9% higher commercial fruit set rate and a 1.7 g increase in average fruit weight. These improvements were estimated to result in an additional economic benefit of approximately KRW 2.29 million (≈USD 1700) per 0.1 ha. Supplying 800 g of pollen patties twice, in December and February, was effective in maintaining colony strength and queen oviposition during the main flowering period. Although sugar syrup supplementation increased bee activity by approximately 2.2 times, no statistically significant differences were observed in fruit set or fruit quality. Overall, these results demonstrate that systematic nutritional management of honeybee colonies contributes to sustained colony maintenance and stable pollination efficiency, thereby enhancing both productivity and profitability in greenhouse strawberry production.

Supplementary Materials

The following supporting information can be downloaded at: https://www.mdpi.com/article/10.3390/agronomy15112608/s1, Figure S1: Hourly variation of (A) temperature (°C), (B) relative humidity (%), and (C) vapor pressure deficit (VPD, kPa) in the control (no feeding) and treatment (with feeding) greenhouses during daytime (08:00–18:00 h), averaged across all days of the experimental period (20 November–30 April). These data represent typical daytime microclimatic patterns corresponding to the active foraging hours of honeybees. Error bars are omitted for clarity, as both treatments exhibited nearly identical diurnal patterns and minimal variation (see Supplementary Tables S1 and S2 for statistical details). No significant differences were detected between treatments (p > 0.05; pTOST < 0.05); Figure S2: Daily mean (A) temperature (°C), (B) relative humidity (%), and (C) vapor pressure deficit (VPD, kPa) in the control (no feeding) and treatment (with feeding) greenhouses recorded from 20 November to 30 April. These data illustrate long-term environmental stability throughout the experimental period and confirm that microclimatic conditions remained statistically equivalent between greenhouses (pTOST < 0.05; see Supplementary Tables S1 and S2. Error bars are omitted for clarity, as both treatments exhibited nearly identical daily patterns and minimal variation (see Supplementary Table S2 for statistical details); Table S1: Comparison of hourly mean (08:00–18:00 h) microclimatic variables averaged across all days during the experimental period (20 November–30 April); Table S2: Comparison of daily mean microclimatic variables between the control (no feeding) and treatment (with feeding) greenhouses during the experimental period (20 November–30 April).

Author Contributions

K.Y.L., Y.-B.L., B.-S.P. and S.-K.K. contributed to the conceptualization and methodology of the study. H.K. prepared the original draft of the manuscript and performed the formal analysis. M.S. and D.H.L. contributed to data curation and formal analysis. S.H.M. participated in the investigation. K.-W.K., S.J.L. and S.-B.K. were involved in reviewing and editing the manuscript. All authors have read and agreed to the published version of the manuscript.

Funding

This research received no external funding.

Data Availability Statement

The original contributions presented in this study are included in the article. Further inquiries can be directed to the corresponding author.

Acknowledgments

This study was supported by the 2025 RDA Fellowship Program of the National Institute of Agricultural Sciences, Rural Development Administration, Republic of Korea, and was conducted as part of the RDA research project titled “Improvement of Quality and Safety of Large-Sized Strawberries for Export Using Convergent Technologies”(Project No. RS-2021-RD009627). The findings of this study are based on the outcomes of these efforts.

Conflicts of Interest

The authors declare that they have no known competing financial interests or personal relationships that could have appeared to influence the work reported in this paper.

References

  1. RDA. Strawberry Cultivation; RDA Press (Rural Development Administration): Jeonju, Republic of Korea, 2019. [Google Scholar]
  2. Choi, H.R.; Lee, S.J.; Lee, J.H.; Kwon, J.W.; Lee, H.K.; Jeong, J.T.; Lee, T.B. Cholesterol-lowering effects of unripe black raspberry water extract. J. Korean Soc. Food Sci. Nutr. 2013, 42, 1899–1907. [Google Scholar] [CrossRef]
  3. Yoon, H.J.; Lee, K.Y.; Lee, Y.B.; Lee, M.Y.; Kathanan, S.; Park, J.D. Current status of insect pollinators use for horticultural crops in Korea, 2020. J. Apic. 2021, 36, 111–123. [Google Scholar] [CrossRef]
  4. Abrol, D.P.; Gorka, A.K.; Ansari, M.J.; Al-Ghamdi, A.; Al-Kahtani, S. Impact of insect pollinators on yield and fruit quality of strawberry. Saudi J. Biol. Sci. 2019, 26, 524–530. [Google Scholar] [CrossRef]
  5. Cao, Z.; He, G.; Mu, S.; Qu, H. Effects of bee density and hive distribution on pollination efficiency for greenhouse strawberries: A simulation study. Agronomy 2023, 13, 731. [Google Scholar] [CrossRef]
  6. Pion, S.; De Oliveira, D.; Paradis, R.O. Agents pollinisateurs et productivité du fraisier ‘redcoat’. Phytoprotection 1980, 61, 72–78. [Google Scholar]
  7. Vincent, C.; De Oliveira, D.; Bélanger, A. The Management of Insect Pollinators and Pests in Québec Strawberry Plantations. In Monitoring and Integrated Management of Arthropod Pests of Small Fruit Crops; Intercept: Andover, UK, 1990; pp. 177–192. [Google Scholar]
  8. Choi, Y.S.; Lee, M.Y.; Jung, C. Effect of hive density on pollination efficiency and fruit quality in greenhouse strawberries. J. Apic. 2019, 34, 95–104. [Google Scholar]
  9. Klatt, B.K.; Holzschuh, A.; Westphal, C.; Clough, Y.; Smit, I.; Pawelzik, E.; Tscharntke, T. Bee diversity and pollination services in strawberry crops: Functional relevance under controlled conditions. Ecol. Appl. 2023, 33, e02671. [Google Scholar]
  10. Voyiatzis, D.G.; Paraskevopoulou-Paroussi, G. Factors affecting the quality and in vitro germination capacity of strawberry pollen. J. Hortic. Sci. Biotechnol. 2002, 77, 200–203. [Google Scholar] [CrossRef]
  11. Gilbert, C.; Breen, P.J. Low pollen production as a cause of fruit malformation in strawberry. J. Am. Soc. Hortic. Sci. 1987, 112, 56–60. [Google Scholar] [CrossRef]
  12. Rivera, M.D.; Donaldson-Matasci, M.; Dornhaus, A. Quitting time: When do honey bee foragers decide to stop foraging on natural resources? Front. Ecol. Evol. 2015, 3, 50. [Google Scholar] [CrossRef]
  13. McGregor, S.E. Strawberry-Insect pollination of cultivated crop plants. In USDA Handbook; USDA: Washington, DC, USA, 1976; Volume 496, pp. 338–343. [Google Scholar]
  14. Shimotori, K. Honeybees and strawberry industry in Tochigi. Honeybee Sci. 1981, 2, 57–60. [Google Scholar]
  15. Sujikawa, Y. Honeybees in greenhouses, their effects on strawberries and a problem of UV-cut firm house. Honeybee Sci. 1981, 2, 49–56. [Google Scholar]
  16. Ahn, S.B.; Kim, I.S.; Cho, W.S.; Choi, K.M. Survey on the present situation of honeybee use as the pollinator in the plastic house of strawberry cultivation area by the questionnaires. J. Apic. 1987, 4, 1–8. [Google Scholar]
  17. Willis Chan, D.S.; Rotheray, E.L.; Cresswell, J.E. Effects of environmental conditions on foraging behavior of bumblebees in greenhouse crops. Environ. Entomol. 2020, 49, 1205–1213. [Google Scholar]
  18. Yoon, H.J.; Lee, K.Y.; Kim, M.A.; Park, I.G.; Choi, Y.C. Current status of insect pollinator use in strawberry crop in Korea. J. Apic. 2011, 26, 143–155. [Google Scholar]
  19. Oh, E.U.; Jeong, S.Y.; Kang, H.H.; Song, K.J. Characterization of Pollen Development in Staminate Kiwifruit (Actinidia sp.) Cultivars. Hortic. Sci. Technol. 2020, 38, 1–8. [Google Scholar] [CrossRef]
  20. Lee, S.B.; Yoon, H.J.; Kang, S.W.; Kwon, J.S.; Park, K.K. Comparison of the pollinating activities according to number of combs per honeybee (Apis mellifera) hive released in the strawberry (Seolhyang var.) vinyl-houses. J. Seric. Entomol. Sci. 2014, 52, 134–141. [Google Scholar]
  21. Ohishi, T. Appropriate management of honeybee colonies for strawberry pollination. Honeybee Sci. 1999, 20, 9–16. [Google Scholar]
  22. Lee, S.B.; Yoon, H.J.; Park, I.G.; Kim, Y.S.; Lee, M.Y.; Lee, M.L. Comparison on the pollinating activities of bumblebee, Bombus terrestris L. and honeybee, Apis mellifera L. (Hymenoptera: Apidae) in the Strawberry Houses. J. Apic. 2006, 21, 125–130. [Google Scholar]
  23. Lim, S.; Hwang, H.; Shin, Y. Physicochemical properties and antioxidant activities of ‘Seolhyang’ and ‘Janghee’ strawberries from different ripening stages grown in Korea. J. East Asian Soc. Diet. Life 2016, 26, 80–87. [Google Scholar] [CrossRef]
  24. Brodschneider, R.; Crailsheim, K. Nutrition and health in honey bees. Apidologie 2010, 41, 278–294. [Google Scholar] [CrossRef]
  25. Chuda-Mickiewicz, B.; Samborski, J. Effect of restricted pollen supply to colonies on the quality of reared queen bees. Acta Sci. Pol. Zootech. 2019, 18, 21–26. [Google Scholar] [CrossRef]
  26. Haydak, M.H. Honey bee nutrition. Annu. Rev. Entomol. 1970, 15, 143–156. [Google Scholar] [CrossRef]
  27. Renzi, M.T.; Rodríguez-Gasol, N.; Medrzycki, P.; Porrini, C.; Martini, A.; Burgio, G.; Maini, S.; Sgolastra, F. Combined effect of pollen quality and thiamethoxam on hypopharyngeal gland development and protein content in Apis mellifera. Apidologie 2016, 47, 779–788. [Google Scholar] [CrossRef]
  28. Kim, J.H.; Park, B.S.; Jung, C. Influence of environmental factors on honeybee pollination efficiency in greenhouse strawberry production. Korean J. Apic. 2021, 36, 1–9. [Google Scholar]
  29. Lee, M.Y.; Mah, Y.I.; Chang, Y.D.; Kim, T.I.; Park, I.K. Effect of Apis mellifera on fruit production of strawberry cultivated in the vinyl-house. J. Apic. 1998, 13, 21–26. [Google Scholar]
  30. Acar, B.; Kandemir, İ.; Kence, M. Foraging activity and pollination efficiency of honey bees (Apis mellifera L.) in greenhouse-grown peppers (Capsicum annuum L.). Turk. J. Agric. For. 2018, 42, 169–177. [Google Scholar]
  31. Ish-Am, G.; Eisikowitch, D. The behavior of honey bees (Apis mellifera) visiting bell pepper (Capsicum annuum L.) flowers and their influence on fruit set. Am. Bee J. 1998, 138, 32–35. [Google Scholar]
  32. Burgett, M.; Burikam, I. Number of adult honey bees (Hymenoptera: Apidae) occupying a comb: A standard for estimating colony populations. J. Econ. Entomol. 1985, 78, 1154–1156. [Google Scholar] [CrossRef]
  33. Lee, K.Y.; Choi, S.; Lee, J.; Yoon, H.J. Development of imaging-based honeybee traffic measurement system and Its application to crop pollination. J. Apic. 2020, 35, 233–243. [Google Scholar] [CrossRef]
  34. KREI (Korea Rural Economic Institute). Agricultural Outlook Information; KREI Press: Naju, Republic of Korea, 2020. [Google Scholar]
  35. Roldán Serrano, A.; Roldán, E.; Martín-Closas, L. Pollination management with honeybees in greenhouse strawberry crops: Implications for fruit set and quality. Sci. Hortic. 2020, 261, 108962. [Google Scholar]
  36. Seeley, T.D. The Wisdom of the Hive; Harvard University Press: Cambridge, MA, USA; London, UK, 1995. [Google Scholar] [CrossRef]
  37. Stabentheiner, A.; Kovac, H. Energetic optimisation of foraging honeybees: Flexible change of strategies in response to environmental challenges. PLoS ONE 2014, 9, e105432. [Google Scholar] [CrossRef]
  38. Szopek, M.; Schmickl, T.; Thenius, R.; Radspieler, G.; Crailsheim, K. Dynamics of collective decision making of honeybees in complex temperature fields. PLoS ONE 2013, 8, e76250. [Google Scholar] [CrossRef] [PubMed]
  39. Lee, K.Y.; Kathanan, S.; Lee, Y.B.; Yoon, H.J. Effect of thermal insulation of honeybee (Apis mellifera L.) hive on strawberry pollination in greenhouse. J. Apic. 2022, 37, 207–216. [Google Scholar] [CrossRef]
  40. Forney, C.F.; Breen, P.J. Growth and ripening of strawberry fruit under field conditions. Proc. Fla. State Hortic. Soc. 1987, 98, 276–278. [Google Scholar]
  41. Lee, G.B.; Choe, Y.U.; Park, E.J.; Wang, Z.; Li, M.; Li, K.; Park, Y.H.; Choi, Y.W.; Kang, N.J.; Kang, J.S. Influence of abnormally low temperatures on growth, yield, and biologically active compounds of strawberry. J. Environ. Sci. Int. 2017, 26, 381–392. [Google Scholar] [CrossRef]
  42. Sharma, V.P.; Sharma, R.R. The Strawberry; Indian Council of Agricultural Research: New Delhi, India, 2004. [Google Scholar]
  43. Abou-Shaara, H.F.; Owayss, A.A.; Ibrahim, Y.Y.; Basuny, N.K. A review of impacts of temperature and relative humidity on various activities of honey bees. Insect. Soc. 2017, 64, 455–463. [Google Scholar] [CrossRef]
  44. Joshi, N.C.; Joshi, P.C. Foraging behaviour of Apis spp. on apple flowers in a subtropical environment. N. Y. Sci. J. 2010, 3, 71–76. [Google Scholar]
  45. Lee, K.Y.; Lim, J.; Yoon, H.J.; Ko, H.J. Effect of climatic conditions on pollination behavior of honeybees (Apis mellifera L.) in the greenhouse cultivation of watermelon (Citrullus lanatus L.). J. Apic. 2018, 33, 239–250. [Google Scholar] [CrossRef]
  46. DeGrandi-Hoffman, G.; Eckholm, B.J.; Huang, M.H. A comparison of bee bread made by Africanized and European honey bees (Apis mellifera) and its effects on hemolymph protein titers. Apidologie 2013, 44, 52–63. [Google Scholar] [CrossRef]
  47. Medina-Sanchez, J.; Kjellberg, F. Reproductive biology of Fragaria × ananassa: Evidence against apomixis in cultivated strawberry. Plant Reprod. 2020, 33, 351–359. [Google Scholar]
  48. Ohashi, M.; Okada, R.; Kimura, T.; Ikeno, H. Observation system for the control of the hive environment by the honeybee (Apis mellifera). Behav. Res. Methods 2009, 41, 782–786. [Google Scholar] [CrossRef] [PubMed]
  49. Abdul-Baki, A.A. Determination of pollen viability in tomatoes. J. Am. Soc. Hortic. Sci. 1992, 117, 473–476. [Google Scholar] [CrossRef]
  50. Obsie, E.Y.; Qu, H.; Drummond, F. Wild blueberry yield prediction using a combination of computer simulation and machine learning algorithms. Comput. Electron. Agric. 2020, 178, 105778. [Google Scholar] [CrossRef]
Figure 1. Effect of pollen substitute application on hive bee populations.
Figure 1. Effect of pollen substitute application on hive bee populations.
Agronomy 15 02608 g001
Figure 2. Effect of pollen substitute feeding frequency on the foraging activity of honeybees in a strawberry greenhouse.
Figure 2. Effect of pollen substitute feeding frequency on the foraging activity of honeybees in a strawberry greenhouse.
Agronomy 15 02608 g002
Figure 3. Effect of colony installation period on pollen patty amount in greenhouse strawberry cultivation. (A) First, (B), second, and (C) third pollen patty feeding.
Figure 3. Effect of colony installation period on pollen patty amount in greenhouse strawberry cultivation. (A) First, (B), second, and (C) third pollen patty feeding.
Agronomy 15 02608 g003
Figure 4. Effect of sugar solution on honeybee activity.
Figure 4. Effect of sugar solution on honeybee activity.
Agronomy 15 02608 g004
Figure 5. Effect of Sugar Solution on Mean Honeybee Activity.
Figure 5. Effect of Sugar Solution on Mean Honeybee Activity.
Agronomy 15 02608 g005
Figure 6. Effect of sugar solution on marketable fruit rates.
Figure 6. Effect of sugar solution on marketable fruit rates.
Agronomy 15 02608 g006
Figure 7. Monitoring of the Weight of Stored Honey in Comb after Colony Placement in the Strawberry Greenhouse.
Figure 7. Monitoring of the Weight of Stored Honey in Comb after Colony Placement in the Strawberry Greenhouse.
Agronomy 15 02608 g007
Table 1. Monthly average daily foraging activity of pollinating honeybees by frequency of pollen substitute supplementation in a strawberry greenhouse.
Table 1. Monthly average daily foraging activity of pollinating honeybees by frequency of pollen substitute supplementation in a strawberry greenhouse.
DecemberJanuaryFebruaryMarchTotal
Control723.5 ± 163.3666.5 ± 139.2591.5 ± 239.0225.5 ± 85.5500.2 ± 283.2
Application of pollen substitutes700.8 ± 140.1614.1 ± 96.3775.8 ± 187.7436.3 ± 255.0 *578.9 ± 251.3
* Data between the insulation and control groups were significantly different according to t-test (p < 0.05).
Table 2. Marketable fruit rate according to the frequency of pollen substitute supplementation in a strawberry greenhouse.
Table 2. Marketable fruit rate according to the frequency of pollen substitute supplementation in a strawberry greenhouse.
Harvest Period
Treatment1st2nd3rdTotal
Control79.7 ± 10.384.1 ± 6.292.8 ± 4.885.6 ± 9.1
Application of pollen substitutes87.2 ± 7.391.2 ± 7.3 *96.1 ± 3.391.5 ± 7.1 *
1st harvest: 10 January 2019; 2nd harvest: 27 February 2019; and 3rd harvest: 28 March 2019; * Data between the insulation and control groups were significantly different according to t-test (p < 0.05).
Table 3. Comparison of physical attributes of strawberry according to pollen substitute supplementation.
Table 3. Comparison of physical attributes of strawberry according to pollen substitute supplementation.
Harvest
Period x
TreatmentWeight
(g)
Firmness
(N)
Soluble Solids
(Brix)
Acidity
(%)
SS/TA y
1stControl31.3 ± 7.82.7 ± 0.79.6 ± 1.40.6 ± 0.116.5 ± 4.7
Application of pollen substitutes33.0 ± 6.42.7 ± 1.010.7 ± 12.50.6 ± 0.118.7 ± 28.0
2ndControl28.1 ± 5.32.4 ± 0.69.3 ± 1.30.5 ± 0.223.1 ± 14.9
Application of pollen substitutes31.4 ± 4.7 *2.2 ± 0.4 *9.2 ± 1.20.5 ± 0.220.7 ± 14.3
3rdControl28.4 ± 4.22.1 ± 0.510.1 ± 0.90.3 ± 0.136.4 ± 14.2
Application of pollen substitutes28.2 ± 4.82.3 ± 0.510.4 ± 0.90.4 ± 0.1 *31.6 ± 10.7 *
TotalControl29.2 ± 6.12.4 ± 0.79.6 ± 1.30.5 ± 0.225.3 ± 14.7
Application of pollen substitutes30.9 ± 5.7 *2.4 ± 0.710.1 ± 7.30.5 ± 0.223.7 ± 19.9
x 1st harvest: 14–20 December 2018; 2nd harvest: 15–19 February 2019; and 3rd harvest: 5–8 April 2019; y Soluble solids/titratable acidity; * Data between insulation and control were significantly different according to t-test (p < 0.05).
Table 4. Estimated economic impact of supplemental feeding management on strawberry yield and profitability (per 0.1 ha).
Table 4. Estimated economic impact of supplemental feeding management on strawberry yield and profitability (per 0.1 ha).
CategoryItemAmount (KRW)Amount (USD)Calculation Basis
Additional Costs (A)Pollen substitute (pollen patty)20,000155 applications × 4000 KRW
Sugar solution (sucrose)15,000115 applications × 3000 KRW
Additional labor for harvesting175,924130185 kg extra fruit ÷ 12.5 kg/hour × 11,728 KRW/hour
Additional packaging162,800121185 kg × 880 KRW
Subtotal (A)373,724277
Additional Benefits (B)Reduced malformed fruit (higher marketable yield)2,139,2401585(93.6–88.0%) × 3310 kg × 11,541 KRW/kg
Reduced hive rental/purchase cost *520,000385Market price per hive (4–5 combs, 10,000 bees)
Subtotal (B)2,659,2401969
Net Profit (B–A) 2,285,5161692
* Exchange rate: 1 USD = 1350 KRW (2024 average). Hive cost based on rental market price in Chungnam Province, Korea (2023–2024).
Table 5. Duration of pollen substitute consumption by honeybee colonies under different feeding frequencies in a strawberry greenhouse.
Table 5. Duration of pollen substitute consumption by honeybee colonies under different feeding frequencies in a strawberry greenhouse.
Number of Pollen Substitute Applications
1 Time2 Times3 Times
Pollen substitute consumption period (days)37.4 ± 7.7 a55.6 ± 14.3 b85.0 ± 0.0 a
Pollen substitute applied: 800 g. One-way ANOVA, F2,12 = 32.704, p = 0.0001. Different lowercase letters within a row indicate significant differences among treatments according to one-way ANOVA followed by a post hoc test (p < 0.05).
Table 6. Comparison of physical attributes of strawberry according to sugar solution provided.
Table 6. Comparison of physical attributes of strawberry according to sugar solution provided.
TreatmentWeight
(g)
Firmness
(N)
Soluble Solids
(Brix)
Acidity
(%)
Control28.1 ± 3.9310.6 ± 81.810.4 ± 1.10.1 ± 0.1
Sugar solution provided26.1 ± 3.7319.7 ± 74.910.4 ± 0.90.2 ± 0.1
Disclaimer/Publisher’s Note: The statements, opinions and data contained in all publications are solely those of the individual author(s) and contributor(s) and not of MDPI and/or the editor(s). MDPI and/or the editor(s) disclaim responsibility for any injury to people or property resulting from any ideas, methods, instructions or products referred to in the content.

Share and Cite

MDPI and ACS Style

Kim, H.; Son, M.; Lee, D.H.; Min, S.H.; Park, B.-S.; Kwak, K.-W.; Lee, S.J.; Kim, S.-B.; Kim, S.-K.; Lee, Y.-B.; et al. Improving Pollination Efficiency in Greenhouse Strawberries Through Honeybee (Apis mellifera L.) Feeding Management. Agronomy 2025, 15, 2608. https://doi.org/10.3390/agronomy15112608

AMA Style

Kim H, Son M, Lee DH, Min SH, Park B-S, Kwak K-W, Lee SJ, Kim S-B, Kim S-K, Lee Y-B, et al. Improving Pollination Efficiency in Greenhouse Strawberries Through Honeybee (Apis mellifera L.) Feeding Management. Agronomy. 2025; 15(11):2608. https://doi.org/10.3390/agronomy15112608

Chicago/Turabian Style

Kim, Heeji, Minwoong Son, Dong Hee Lee, Sung Hyun Min, Bo-Sun Park, Kyu-Won Kwak, Su Jin Lee, Su-Bae Kim, Sung-Kook Kim, Young-Bo Lee, and et al. 2025. "Improving Pollination Efficiency in Greenhouse Strawberries Through Honeybee (Apis mellifera L.) Feeding Management" Agronomy 15, no. 11: 2608. https://doi.org/10.3390/agronomy15112608

APA Style

Kim, H., Son, M., Lee, D. H., Min, S. H., Park, B.-S., Kwak, K.-W., Lee, S. J., Kim, S.-B., Kim, S.-K., Lee, Y.-B., & Lee, K. Y. (2025). Improving Pollination Efficiency in Greenhouse Strawberries Through Honeybee (Apis mellifera L.) Feeding Management. Agronomy, 15(11), 2608. https://doi.org/10.3390/agronomy15112608

Note that from the first issue of 2016, this journal uses article numbers instead of page numbers. See further details here.

Article Metrics

Article metric data becomes available approximately 24 hours after publication online.
Back to TopTop