Effects of Straw Return on Soil Physicochemical Properties and Microbial Communities in a Cold-Region Alkaline Farmland
Abstract
1. Introduction
2. Materials and Methods
2.1. Experimental Site
2.2. Field Straw Decomposition Experiment
2.3. Indoor Low-Temperature Period Simulation Experiment
2.4. Straw Sample Collection and Determination
2.5. Soil Sample Collection and Determination
2.6. Microbial High-Throughput Sequencing
2.7. Data Analysis
3. Results and Discussion
3.1. Effects of the Low-Temperature Period on the Straw Structure
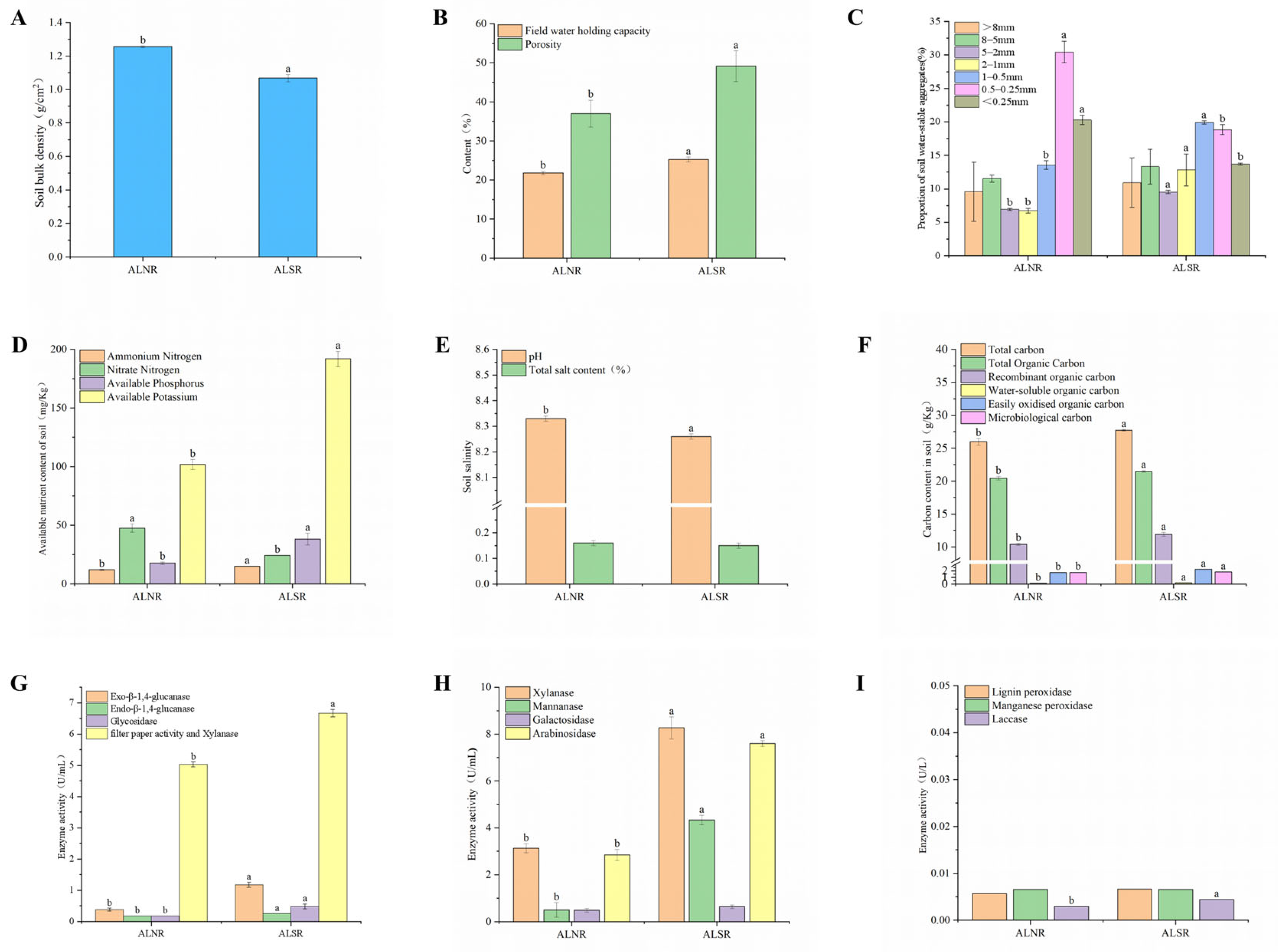
3.2. Physicochemical Characteristics and Microbial Diversity of Saline Soil
3.3. Microorganisms of Saline Soil
4. Conclusions
Author Contributions
Funding
Data Availability Statement
Acknowledgments
Conflicts of Interest
Abbreviations
| BLNR | Before the low temperature period (BL) and non-straw return treatment (NR) |
| ALNR | After the low temperature period (AL) and non-straw return treatment (NR) |
| ALSR | After the low temperature period (AL) and the straw return treatment (SR) |
Appendix A


References
- Chen, L.; Sun, S.; Yao, B.; Peng, Y.; Gao, C.; Qin, T.; Zhou, Y.; Sun, C.; Quan, W. Effects of straw return and straw biochar on soil properties and crop growth: A review. Front. Plant Sci. 2022, 13, 986763. [Google Scholar] [CrossRef] [PubMed]
- Yang, L.; Muhammad, I.; Chi, Y.X.; Liu, Y.X.; Wang, G.Y.; Wang, Y.; Zhou, X.B. Straw return and nitrogen fertilization regulate soil greenhouse gas emissions and global warming potential in dual maize cropping system. Sci. Total. Environ. 2022, 853, 158370. [Google Scholar] [CrossRef]
- Wahdan, S.F.M.; Ji, L.; Schädler, M.; Wu, Y.-T.; Sansupa, C.; Tanunchai, B.; Buscot, F.; Purahong, W. Future climate conditions accelerate wheat straw decomposition alongside altered microbial community composition, assembly patterns, and interaction networks. ISME J. 2023, 17, 238–251. [Google Scholar] [CrossRef] [PubMed]
- Wang, Y.; Li, F.Y.; Song, X.; Wang, X.; Suri, G.; Baoyin, T. Changes in Litter Decomposition Rate of Dominant Plants in a Semi-Arid Steppe Across Different Land-Use Types: Soil Moisture, Not Home-Field Advantage, Plays a Dominant Role. Agric. Ecosyst. Environ. 2020, 303, 107119. [Google Scholar] [CrossRef]
- Portela, S.I.; Reixachs, C.; Torti, M.J.; Beribe, M.J.; Giannini, A.P. Contrasting Effects of Soil Type and Use of Cover Crops on Nitrogen and Phosphorus Leaching in Agricultural Systems of the Argentinean Pampas. Agric. Ecosyst. Environ. 2024, 364, 108897. [Google Scholar] [CrossRef]
- Merino-Martín, L.; Stokes, A.; Gweon, H.S.; Moragues-Saitua, L.; Staunton, S.; Plassard, C.; Oliver, A.; Bissonnais, Y.L.; Griffiths, R.I. Interacting effects of land use type, soil microbes and plant traits on aggregate stability. Soil Biol. Biochem. 2021, 154, 108072. [Google Scholar] [CrossRef]
- Eduah, J.O.; Nartey, E.K.; Abekoe, M.K.; Breuning-Madsen, H.; Andersen, M.N. Phosphorus retention and availability in three contrasting soils amended with rice husk and corn cob biochar at varying pyrolysis temperatures. Geoderma 2019, 341, 10–17. [Google Scholar] [CrossRef]
- Wang, J.; Xu, C.; Zhang, W.; Hong, Y.; Shen, G.; Wang, W.; Tang, H.; Zhang, S.; Pan, J.; Wang, W. Synergistic effect of two bacterial strains promoting anaerobic digestion of rice straw to produce methane. Environ. Res. 2024, 252, 118974. [Google Scholar] [CrossRef]
- Wang, K.; Hu, W.; Xu, Z.; Xue, Y.; Zhang, Z.; Liao, S.; Zhang, Y.; Li, X.; Ren, T.; Cong, R.; et al. Seasonal Temporal Characteristics of In Situ Straw Decomposition in Different Types and Returning Methods. J. Soil Sci. Plant Nut. 2022, 22, 4228–4240. [Google Scholar] [CrossRef]
- Nguyen, J.; Lara-Gutiérrez, J.; Stocker, R. Environmental fluctuations and their effects on microbial communities, populations and individuals. Fems. Microbiol. Rev. 2021, 45, fuaa068. [Google Scholar] [CrossRef]
- Wang, X.; Lu, J.; Zhang, X.; Wang, P. Contrasting microbial mechanisms of soil priming effects induced by crop residues depend on nitrogen availability and temperature. Appl. Soil Ecol. 2021, 168, 104186. [Google Scholar] [CrossRef]
- Huang, F.; Ding, X.; Li, W.; Jia, H.; Wei, X.; Zhao, X. The effect of temperature on the decomposition of different parts of maize residues in a solonchak. Catena 2021, 201, 105207. [Google Scholar] [CrossRef]
- Sun, B.; Wang, X.; Wang, F.; Jiang, Y.; Zhang, X.-X. Assessing the Relative Effects of Geographic Location and Soil Type on Microbial Communities Associated with Straw Decomposition. Appl. Environ. Microb. 2013, 79, 3327–3335. [Google Scholar] [CrossRef] [PubMed]
- Xie, S.; Dou, S.; Fu, J.; Ma, R. Corn straw return effectively improves the stability and increases the carbon and nitrogen contents of waterstable aggregates in northeastern China black soil. Bragantia 2023, 82, e20220218. [Google Scholar] [CrossRef]
- Nabi, F.; Chen, H.; Sajid, S.; Yang, G.; Kyung, Y.; Shah, S.M.M.; Wang, X.; Hu, Y. Degradation of agricultural waste is dependent on chemical fertilizers in long-term paddy-dry rotation field.15. J. Environ. Manag. 2024, 355, 120460. [Google Scholar] [CrossRef]
- Şahin, Y.; Akkaya, Y.; Taşdemir, M.A. Effects of freezing conditions on the frost resistance and microstructure of concrete. Constr. Build. Mater. 2021, 270, 121458. [Google Scholar] [CrossRef]
- Jia, G.; Chen, Y.; Sun, A.; Orlien, V. Control of ice crystal nucleation and growth during the food freezing process. Compr. Rev. Food Sci. Food Saf. 2022, 21, 2433–2454. [Google Scholar] [CrossRef]
- Raza, T.; Qadir, M.F.; Khan, K.S.; Eash, N.S.; Yousuf, M.; Chatterjee, S.; Manzoor, R.; Rehman, S.U.; Oetting, J.N. Unraveling the potential of microbes in decomposition of organic matter and release of carbon in the ecosystem. J. Environ. Manag. 2023, 344, 118529. [Google Scholar] [CrossRef]
- Cruz-Paredes, C.; Tájmel, D.; Rousk, J. Can moisture affect temperature dependences of microbial growth and respiration? Soil Biol. Biochem. 2021, 156, 108223. [Google Scholar] [CrossRef]
- Xu, H.; Huang, L.; Chen, J.; Zhou, H.; Wan, Y.; Qu, Q.; Wang, M.; Xue, S. Changes in Soil Microbial Activity and Their Linkages with Soil Carbon under Global Warming. Catena 2023, 232, 107419. [Google Scholar] [CrossRef]
- Mu, X.; Zhang, S.; Lv, X.; Ma, Y.; Zhang, Z.; Han, B. Water flow and temperature drove epiphytic microbial community shift: Insight into nutrient removal in constructed wetlands from microbial assemblage and co-occurrence patterns. Bioresour. Technol. 2021, 332, 125134. [Google Scholar] [CrossRef]
- Li, S.; Cui, Y.; Xia, Z.; Zhang, X.; Zhou, C.; An, S.; Zhu, M.; Gao, Y.; Yu, W.; Ma, Q. Microbial nutrient limitations limit carbon sequestration but promote nitrogen and phosphorus cycling: A case study in an agroecosystem with long-term straw return. Sci. Total Environ. 2023, 870, 161865. [Google Scholar] [CrossRef]
- Gebremedhin, M.T.; Loescher, H.W.; Tsegaye, T.D. Carbon Balance of No-Till Soybean with Winter Wheat Cover Crop in the Southeastern United States. Agron. J. 2012, 104, 1321–1335. [Google Scholar] [CrossRef]
- Song, C.; Dai, C.; Wang, C.; Yu, M.; Gao, Y.; Tu, W. Characteristic Analysis of the Spatio-Temporal Distribution of Key Variables of the Soil Freeze–Thaw Processes over Heilongjiang Province, China. Water 2022, 14, 2573. [Google Scholar] [CrossRef]
- Wang, X.; Li, Y.; Zhang, L.; Song, S.; Pan, T.; Ren, C.; Tan, Y. Mechanism and effects of the increase in winter temperatures in the Arctic region on cold winters in Heilongjiang Province, Northeast China for the period 1961–2018. J. Geogr. Sci. 2022, 32, 225–240. [Google Scholar] [CrossRef]
- Wang, X.; Wang, X.; Geng, P.; Yang, Q.; Chen, K.; Liu, N.; Fan, Y.; Zhan, X.; Han, X. Effects of different returning method combined with decomposer on decomposition of organic components of straw and soil fertility. Sci. Rep. 2021, 11, 15495. [Google Scholar] [CrossRef]
- Hopmans, J.W.; Qureshi, A.S.; Kisekka, I.; Munns, R.; Grattan, S.R.; Rengasamy, P.; Ben-Gal, A.; Assouline, S.; Javaux, M.; Minhas, P.S.; et al. Critical knowledge gaps and research priorities in global soil salinity. Adv. Agron. 2021, 169, 1–191. [Google Scholar] [CrossRef]
- Hou, R.-J.; Li, T.-X.; Fu, Q.; Liu, D.; Li, M.; Zhou, Z.-Q.; Yan, J.-W.; Zhang, S. Research on the Distribution of Soil Water, Heat, Salt and Their Response Mechanisms under Freezing Conditions. Soil Till. Res. 2020, 196, 104486. [Google Scholar] [CrossRef]
- Ginot, F.; Lenavetier, T.; Dedovets, D.; Deville, S. Solute Strongly Impacts Freezing under Confinement. Appl. Phys. Lett. 2020, 116, 253701. [Google Scholar] [CrossRef]
- Chengyou, C.; Shuang, T.; Zhenbo, C.; Ying, Z. Response of Soil Properties and Microbial Communities to Increasing Salinization in the Meadow Grassland of Northeast China. Microb. Ecol. 2021, 82, 722–735. [Google Scholar] [CrossRef] [PubMed]
- Chase, J.M. Drought Mediates the Importance of Stochastic Community Assembly. Proc. Natl. Acad. Sci. USA 2007, 104, 17430–17434. [Google Scholar] [CrossRef]
- Li, Y.; Cha, Q.-Q.; Dang, Y.-R.; Chen, X.-L.; Wang, M.; McMinn, A.; Espina, G.; Zhang, Y.-Z.; Blamey, J.M.; Qin, Q.-L. Reconstruction of the Functional Ecosystem in the High Light, Low Temperature Union Glacier Region, Antarctica. Front. Cell. Infect. Microbiol. 2019, 10, 02408. [Google Scholar] [CrossRef] [PubMed]
- Bradley, J.A.; Trivedi, C.B.; Winkel, M.; Mourot, R.; Lutz, S.; Larose, C.; Keuschnig, C.; Doting, E.; Halbach, L.; Zervas, A.; et al. Active and dormant microorganisms on glacier surfaces. Geobiology 2022, 21, 244–261. [Google Scholar] [CrossRef]
- Wei, S.; Liu, K.; Ji, X.; Wang, T.; Wang, R. Application of enzyme technology in biopulping and biobleaching. Cellulose 2021, 28, 10099–10116. [Google Scholar] [CrossRef]
- Hamid, B.; Bashir, Z.; Yatoo, A.M.; Mohiddin, F.; Majeed, N.; Bansal, M.; Poczai, P.; Almalki, W.H.; Sayyed, R.Z.; Shati, A.A.; et al. Cold-Active Enzymes and Their Potential Industrial Applications—A Review. Molecules 2022, 27, 5885. [Google Scholar] [CrossRef] [PubMed]
- Zhang, G.S.; Liu, Y.F. The distribution of microplastics in soil aggregate fractions in southwestern China. Sci. Total Environ. 2018, 642, 12–20. [Google Scholar] [CrossRef]
- Zhang, G.S.; Hu, X.B.; Zhang, X.X.; Li, J. Effects of plastic mulch and crop rotation on soil physical properties in rain-fed vegetable production in the mid-Yunnan plateau, China. Soil Till. Res. 2015, 145, 111–117. [Google Scholar] [CrossRef]
- Ruirui, C.; Xiaoting, W. BOOK REVIEW: Analytical Methods for Soil and Agro-Chemistry; Zhu, H.Z., He, P.A., Chen, C.Z., Zhou, H.M., Su, D.C., Xu, J.M., Qin, H.Y., Bao, S.D., Lu, S.R.K., Jiang, H., Eds.; Soil Science Society of China; Agricultural Science and Technology Press: Beijing, China, 2000; p. 638. ISBN 9787801199256. (In Chinese) [Google Scholar] [CrossRef]
- Zhang, F.; Yu, W.; Liu, W.; Xu, Z. The Mixed Fermentation Technology of Solid Wastes of Agricultural Biomass. Front. Energy Res. 2020, 8, 00050. [Google Scholar] [CrossRef]
- Sadalage, P.S.; Dar, M.A.; Chavan, A.R.; Pawar, K.D. Formulation of synthetic bacterial consortia and their evaluation by principal component analysis for lignocellulose rich biomass degradation. Renew. Energy 2020, 148, 467–477. [Google Scholar] [CrossRef]
- Guan, X.-K.; Wei, L.; Turner, N.C.; Ma, S.-C.; Yang, M.-D.; Wang, T.-C. Improved straw management practices promote in situ straw decomposition and nutrient release, and increase crop production. J. Clean. Prod. 2020, 250, 119514. [Google Scholar] [CrossRef]
- Qin, X.-C.; Meng, S.-P.; Cao, D.-F.; Tu, Y.-M.; Sabourova, N.; Grip, N.; Ohlsson, U.; Blanksvärd, T.; Sas, G.; Elfgren, L. Evaluation of freeze-thaw damage on concrete material and prestressed concrete specimens. Constr. Build. Mater. 2016, 125, 892–904. [Google Scholar] [CrossRef]
- Zhang, K.; Zhou, J.; Yin, Z. Experimental Study on Mechanical Properties and Pore Structure Deterioration of Concrete under Freeze–Thaw Cycles. Materials 2021, 14, 6568. [Google Scholar] [CrossRef] [PubMed]
- Wang, S.; Qin, J.; Zheng, K.; Yang, F.; Zhang, Y.; Wei, S.; Ren, D. Study on Physical Properties and Energy Evolution of Natural Gypsum Rock under Freeze-thaw Cycles. Int. J. Energy Res. 2023, 2, 72–75. [Google Scholar] [CrossRef]
- Zhang, J.; Deng, H.; Taheri, A.; Ke, B.; Liu, C.; Yang, X. Degradation of physical and mechanical properties of sandstone subjected to freeze-thaw cycles and chemical erosion. Cold Reg. Sci. Technol. 2018, 155, 37–46. [Google Scholar] [CrossRef]
- Luo, X.; Zhou, S.; Huang, B.; Jiang, N.; Xiong, M. Effect of Freeze–Thaw Temperature and Number of Cycles on the Physical and Mechanical Properties of Marble. Geotech. Geol. Eng. 2020, 39, 567–582. [Google Scholar] [CrossRef]
- Zhang, S.; Wang, X.; Xiao, Z.; Qu, F.; Wang, X.; Li, Y.; Aurangzeib, M.; Zhang, X.; Liu, X. Quantitative Studies of Gully Slope Erosion and Soil Physiochemical Properties During Freeze-Thaw Cycling in a Mollisol Region. Sci. Total Environ. 2019, 707, 136191. [Google Scholar] [CrossRef]
- Liu, S.; Huang, Q.; Zhang, W.; Ren, D.; Xu, X.; Xiong, Y.; Huang, G. An Improved Estimation of Soil Water and Salt Dynamics by Considering Soil Bulk Density Changes under Freeze/thaw Conditions in Arid Areas with Shallow Groundwater Tables. Sci. Total Environ. 2023, 859, 160342. [Google Scholar] [CrossRef]
- Liu, B.; Fan, H.; Han, W.; Zhu, L.; Zhao, X.; Zhang, Y.; Ma, R. Linking soil water retention capacity to pore structure characteristics based on X-ray computed tomography: Chinese Mollisol under freeze-thaw effect. Geoderma 2021, 401, 115170. [Google Scholar] [CrossRef]
- Wang, Z.; Zhang, Y.; Flury, M.; Zou, H. Freeze-thaw Cycles Lead to Enhanced Colloid-Facilitated Pb Transport in a Chernozem Soil. J. Contam. Hydrol. 2022, 251, 104093. [Google Scholar] [CrossRef]
- Zhai, J.; Zhang, S.; Zhang, Z.; Melnikov, A.; Li, H. Study on the geometry characteristics of soil primary mineral particles under cryogenic action. Sci. Rep. 2022, 12, 16766. [Google Scholar] [CrossRef]
- Zhang, Y.; Fu, Y.; Xu, J.; Li, Y.; Zhao, Y.; Wei, S.; Liu, B.; Zhang, X.; Lei, H.; Shao, S. Impact of Freeze–thaw Cycling on the Stability and Turnover of Black Soil Aggregates. Geoderma 2024, 449, 117004. [Google Scholar] [CrossRef]
- Sun, L.; Chang, X.; Yu, X.; Jia, G.; Chen, L.; Wang, Y.; Liu, Z. Effect of freeze-thaw processes on soil water transport of farmland in a semi-arid area. Agric. Water Manag. 2021, 252, 106876. [Google Scholar] [CrossRef]
- Qiu, L.; Zhu, H.; Liu, J.; Yao, Y.; Wang, X.; Rong, G.; Zhao, X.; Shao, M.; Wei, X. Soil Erosion Significantly Reduces Organic Carbon and Nitrogen Mineralization in a Simulated Experiment. Agric. Ecosyst. Environ. 2021, 307, 107232. [Google Scholar] [CrossRef]
- Zeng, Q.-X.; Zeng, X.-M.; Lin, K.-M.; Zhang, Q.-F.; Cheng, L.; Zhou, J.-C.; Lin, Q.-Y.; Chen, Y.-M.; Xu, J.-G. [Responses of Soil Phosphorus Fractions and Microorganisms to Nitrogen Application in a Subtropical Phyllostachys Pubescen Forest]. J. Appl. Ecol. 2020, 31, 753–760. [Google Scholar] [CrossRef]
- Liao, J.; Dou, Y.; Yang, X.; An, S. Soil microbial community and their functional genes during grassland restoration. Environ. Manag. 2023, 325, 116488. [Google Scholar] [CrossRef]
- Coonan, E.C.; Kirkby, C.A.; Kirkegaard, J.A.; Amidy, M.R.; Strong, C.L.; Richardson, A.E. Microorganisms and nutrient stoichiometry as mediators of soil organic matter dynamics. Nutr. Cycl. Agroecosyst. 2020, 117, 273–298. [Google Scholar] [CrossRef]
- Huang, T.; Yang, N.; Lu, C.; Qin, X.; Siddique, K.H.M. Soil Organic Carbon, Total Nitrogen, Available Nutrients, and Yield under Different Straw return Methods. Soil Till. Res. 2021, 214, 105171. [Google Scholar] [CrossRef]
- Huang, C.; Huang, H.; Huang, S.; Li, W.; Zhang, K.; Chen, Y.; Yang, L.; Luo, L.; Deng, L. Effects of Straw return on Soil Aggregates and Its Organic Carbon and Nitrogen Retention under Different Mechanized Tillage Modes in Typical Hilly Regions of Southwest China. Agronomy 2024, 14, 928. [Google Scholar] [CrossRef]
- Song, J.; Huang, J.; Gao, J.-S.; Wang, Y.-N.; Wu, C.-X.; Bai, L.-Y.; Zeng, X.-B. Effects of Green Manure Planted in Winter and Straw return on Soil Aggregates and Organic Matter Functional Groups in Double Cropping Rice Area. J. Appl. Ecol. 2021, 32, 564–570. [Google Scholar] [CrossRef]
- Bai, T.; Ran, C.; Ma, Q.; Miao, Y.; Li, S.; Lan, H.; Li, X.; Chen, Q.; Zhang, Q.; Shao, X. The Application of Straw Return with Nitrogen Fertilizer Increases Rice Yield in Saline–Sodic Soils by Regulating Rice Organ Ion Concentrations and Soil Leaching Parameters. Agronomy 2024, 14, 2807. [Google Scholar] [CrossRef]
- Curtright, A.J.; Tiemann, L.K. Intercropping Increases Soil Extracellular Enzyme Activity: A Meta-Analysis. Agric. Ecosyst. Environ. 2021, 319, 107489. [Google Scholar] [CrossRef]
- Donhauser, J.; Qi, W.; Bergk-Pinto, B.; Frey, B. High Temperatures Enhance the Microbial Genetic Potential to Recycle C and N from Necromass in High-mountain Soils. Glob. Change Biol. 2020, 27, 1365–1386. [Google Scholar] [CrossRef]
- Donhauser, J.; Niklaus, P.A.; Rousk, J.; Larose, C.; Frey, B. Temperatures Beyond the Community Optimum Promote the Dominance of Heat-Adapted, Fast Growing and Stress Resistant Bacteria in Alpine Soils. Soil Biol. Biochem. 2020, 148, 107873. [Google Scholar] [CrossRef]
- Misiak, M.; Goodall-Copestake, W.P.; Sparks, T.H.; Worland, M.R.; Boddy, L.; Magan, N.; Convey, P.; Hopkins, D.W.; Newsham, K.K. Inhibitory Effects of Climate Change on the Growth and Extracellular Enzyme Activities of a Widespread Antarctic Soil Fungus. Glob. Change Biol. 2020, 27, 1111–1125. [Google Scholar] [CrossRef] [PubMed]
- Dahl, M.B.; Kreyling, J.; Petters, S.; Wang, H.; Mortensen, M.S.; Maccario, L.; Sorensen, S.J.; Urich, T.; Weigel, R. Warmer Winters Result in Reshaping of the European Beech Forest Soil Microbiome (bacteria, Archaea and Fungi)—With Potential Implications for Ecosystem Functioning. Environ. Microbiol. 2023, 25, 1118–1135. [Google Scholar] [CrossRef]
- Guo, Y.; Zhang, Z.; Dou, J.; Liu, G.; Li, X.; Zhao, J. Structural Characterization of Corn Fiber Hemicelluloses Extracted by Organic Solvent and Screening of Degradation Enzymes. Int. J. Antimicrob. Agents 2023, 313, 120820. [Google Scholar] [CrossRef]
- Jia, H.; Feng, X.; Huang, J.; Guo, Y.; Zhang, D.; Li, X.; Zhao, J. Recombinant Family 1 Carbohydrate-Binding Modules Derived from Fungal Cellulase Enhance Enzymatic Degradation of Lignocellulose as Novel Effective Accessory Protein. Front. Microbiol. 2022, 13, 876466. [Google Scholar] [CrossRef]
- Sepideh, P.; Nurulfarhana, H.; Shahir, S.M.; Jafar, R. Psychrophilic Enzymes: Structural Adaptation, Pharmaceutical and Industrial Applications. Appl. Microbiol. Biot. 2021, 105, 899–907. [Google Scholar] [CrossRef]
- Dzurendova, S.; Losada, C.B.; Dupuy-Galet, B.X.; Fjær, K.; Shapaval, V. Mucoromycota Fungi as Powerful Cell Factories for Modern Biorefinery. Appl. Microbiol. Biot. 2021, 106, 101–115. [Google Scholar] [CrossRef]
- López-Mondéjar, R.; Algora, C.; Baldrian, P. Lignocellulolytic systems of soil bacteria: A vast and diverse toolbox for biotechnological conversion processes. Biotechnol. Adv. 2019, 37, 107374. [Google Scholar] [CrossRef] [PubMed]
- Gavande, P.V.; Basak, A.; Sen, S.; Lepcha, K.; Murmu, N.; Rai, V.; Mazumdar, D.; Saha, S.P.; Das, V.; Ghosh, S. Functional Characterization of Thermotolerant Microbial Consortium for Lignocellulolytic Enzymes with Central Role of Firmicutes in Rice Straw Depolymerization. Sci. Rep. 2021, 11, 3032. [Google Scholar] [CrossRef]
- Kim, S.-R.; Lee, J.; Lee, M.G.; Sung, H.G.; Hwang, S.-G. Analysis of Microbial Communities in Solid and Liquid Pig Manure During the Fertilization Process. Sci. Rep. 2024, 14, 72. [Google Scholar] [CrossRef] [PubMed]
- Geng, A.; Jin, M.; Li, N.; Zhu, D.; Xie, R.; Wang, Q.; Lin, H.; Sun, J. New Insights into the Co-Occurrences of Glycoside Hydrolase Genes among Prokaryotic Genomes Through Network Analysis. Microorganisms 2021, 9, 427. [Google Scholar] [CrossRef]
- Soong, J.L.; Fuchslueger, L.; Maranon-Jimenez, S.; Torn, M.S.; Janssens, I.A.; Penuelas, J.; Richter, A. Microbial Carbon Limitation: The Need for Integrating Microorganisms into Our Understanding of Ecosystem Carbon Cycling. Glob. Change Biol. 2020, 26, 1953–1961. [Google Scholar] [CrossRef]
- Mcnichol, S.M.; Sanchez-Quete, F.; Loeb, S.K.; Teske, A.P.; Walter, S.R.S.; Mahmoudi, N. Dynamics of Carbon Substrate Competition among Heterotrophic Microorganisms. ISME J. 2024, 18, wrae018. [Google Scholar] [CrossRef]
- Andlar, M.; Rezić, T.; Marđetko, N.; Kracher, D.; Ludwig, R.; Šantek, B. Lignocellulose degradation: An overview of fungi and fungal enzymes involved in lignocellulose degradation. Eng. Life Sci. 2018, 18, 768–778. [Google Scholar] [CrossRef] [PubMed]
- Ebrahim, W.; Ebada, S.S. Antimicrobial Metabolites from Extremophilic Fungus Botryotrichum piluliferum Strain WESH19. Chem. Nat. Compd. 2021, 57, 654–658. [Google Scholar] [CrossRef]
- Kim, Y.-S.; Lee, S.-Y.; Chung, C.-U.; Park, J.-S.; Kim, Y.-J.; Oem, J.-K. Fungal Diversity in Korean Caves and Cave-Inhabiting Bats with Attention to Pseudogymnoascus Species. Diversity 2023, 15, 198. [Google Scholar] [CrossRef]
- Yoshinaga, T.T.; Giovanella, P.; de Farias, G.S.; dos Santos, J.A.; Pellizzer, E.P.; Sette, L.D. Fungi from Antarctic Marine Sediment: Characterization and Assessment for Textile Dye Decolorization and Detoxification. Braz. J. Microbiol. 2024, 55, 3437–3448. [Google Scholar] [CrossRef] [PubMed]
- Georgiadou, D.N.; Avramidis, P.; Ioannou, E.; Hatzinikolaou, D.G. Microbial Bioprospecting for Lignocellulose Degradation at a Unique Greek Environment. Heliyon 2020, 7, e07122. [Google Scholar] [CrossRef]
- Ali, S.S.; Jiao, H.; El-Sapagh, S.; Sun, J. Biodegradation of Willow Sawdust by Novel Cellulase-Producing Bacterial Consortium from Wood-Feeding Termites for Enhancing Methane Production. Bioresour. Technol. 2023, 383, 129232. [Google Scholar] [CrossRef] [PubMed]
- Miao, Q.; Zhang, X.; Wang, Y.; Li, X.; Wang, Z.; Tian, L.; Qu, L.; Wei, Y. Characterization of Novel Pectinolytic Enzymes Derived from the Efficient Lignocellulose Degradation Microbiota. Biomolecules 2022, 12, 1388. [Google Scholar] [CrossRef] [PubMed]
- Cho, C.-Y.; Han, S.-R.; Oh, T.-J. Complete Genome Sequence of Pedobacter sp. PAMC26386 and Their Low Temperature Application in Arabinose-containing Polysaccharides Degradation. Curr. Microbiol. 2021, 78, 944–953. [Google Scholar] [CrossRef] [PubMed]






Disclaimer/Publisher’s Note: The statements, opinions and data contained in all publications are solely those of the individual author(s) and contributor(s) and not of MDPI and/or the editor(s). MDPI and/or the editor(s) disclaim responsibility for any injury to people or property resulting from any ideas, methods, instructions or products referred to in the content. |
© 2025 by the authors. Licensee MDPI, Basel, Switzerland. This article is an open access article distributed under the terms and conditions of the Creative Commons Attribution (CC BY) license (https://creativecommons.org/licenses/by/4.0/).
Share and Cite
Zhang, W.; Wang, J.; Khan, A.; Shen, G.; Wei, D.; Wang, W. Effects of Straw Return on Soil Physicochemical Properties and Microbial Communities in a Cold-Region Alkaline Farmland. Agronomy 2025, 15, 2433. https://doi.org/10.3390/agronomy15102433
Zhang W, Wang J, Khan A, Shen G, Wei D, Wang W. Effects of Straw Return on Soil Physicochemical Properties and Microbial Communities in a Cold-Region Alkaline Farmland. Agronomy. 2025; 15(10):2433. https://doi.org/10.3390/agronomy15102433
Chicago/Turabian StyleZhang, Wei, Jinghong Wang, Aman Khan, Guinan Shen, Dan Wei, and Weidong Wang. 2025. "Effects of Straw Return on Soil Physicochemical Properties and Microbial Communities in a Cold-Region Alkaline Farmland" Agronomy 15, no. 10: 2433. https://doi.org/10.3390/agronomy15102433
APA StyleZhang, W., Wang, J., Khan, A., Shen, G., Wei, D., & Wang, W. (2025). Effects of Straw Return on Soil Physicochemical Properties and Microbial Communities in a Cold-Region Alkaline Farmland. Agronomy, 15(10), 2433. https://doi.org/10.3390/agronomy15102433

