Identification, Classification, and Evolutionary Profile of the NPF Gene Family in Sorghum bicolor
Abstract
1. Introduction
2. Materials and Methods
2.1. Identification of Gene Family Members
2.2. Analysis of Gene Structure and Conserved Motifs
2.3. Phylogenetic Tree Construction
2.4. Analysis of Chromosome Distribution, Gene Dulication, and Selection Pressure
2.5. Gene Expression Analysis
3. Results
3.1. Genome-Wide Identification and Characterization of Sorghum NPF Genes
3.2. Phylogenetic Tree of SbNPF Gene Family in Sorghum
3.3. Structure and Conserved Motif Analysis of SbNPF Genes
3.4. Gene Duplication Analysis of SbNPF Genes
3.5. Synteny Analysis of SbNPF Genes
3.6. Analysis of Cis-Acting Elements of the SbNPF Gene Family
3.7. Expression Patterns of SbNPF Genes in Different Tissues
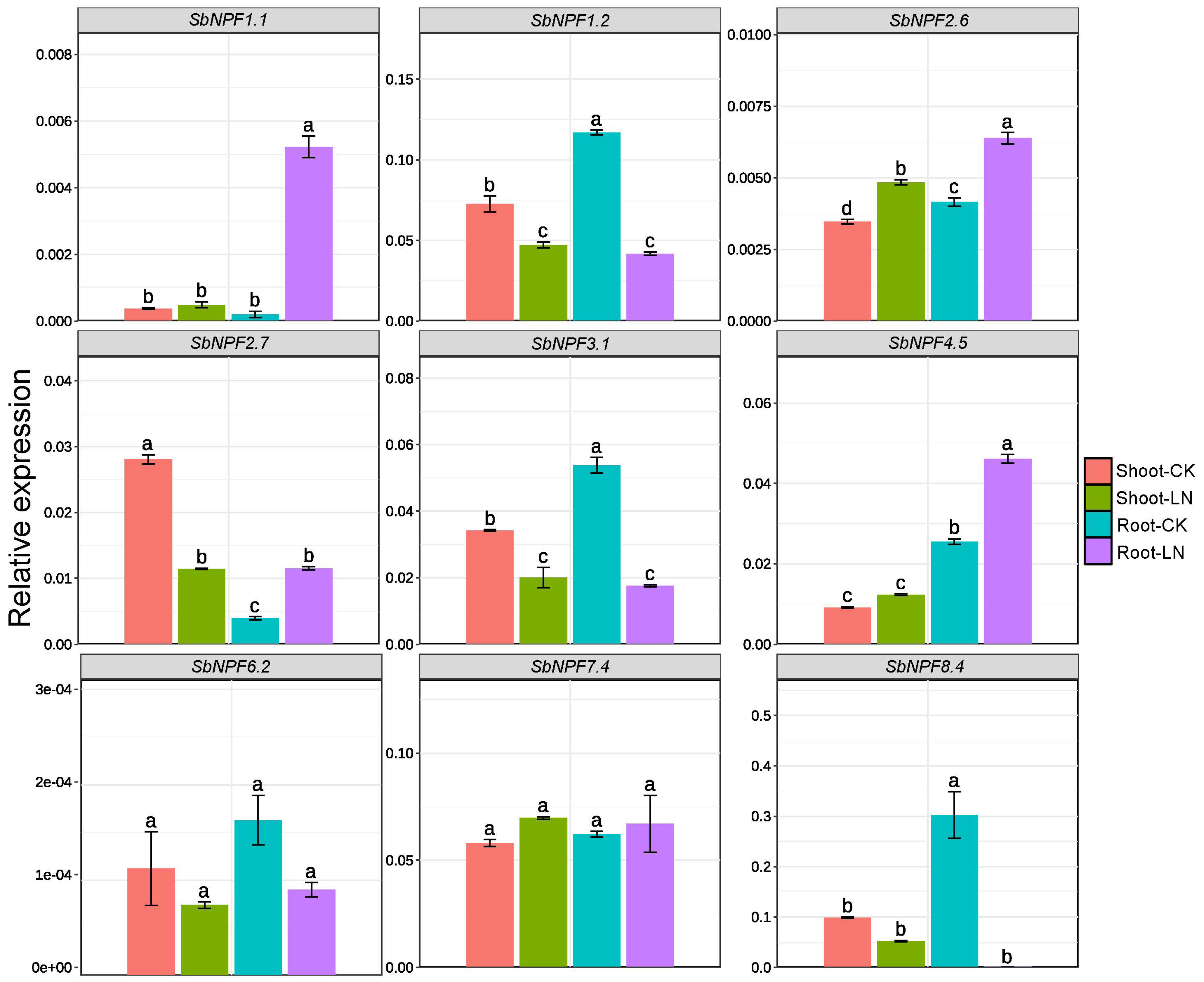
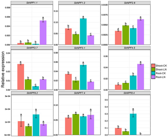
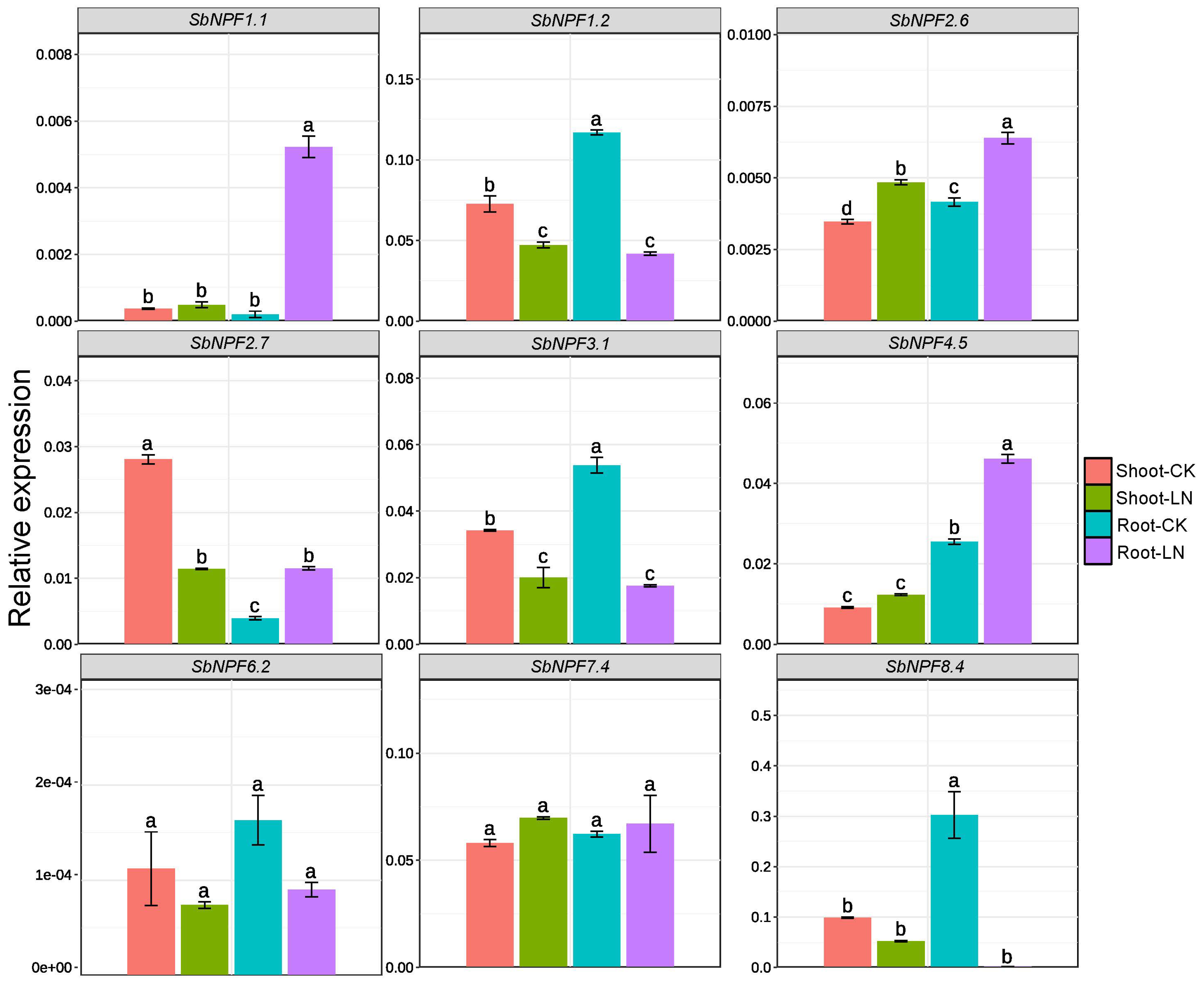
3.8. Expression of SbNPF Genes in Response to Low Nitrogen Stress by RT-qPCR
4. Discussion
4.1. Identification and Evolutionary Characteristics of the Sorghum NPF Gene Family: A Balance Between Conservation and Species Specificity
4.2. Gene Structure and Cis-Elements: The Molecular Basis of Functional Diversity
4.3. Tissue-Specific Expression and Stress Response: The Physiological Significance of Functional Division
4.4. Research Limitations and Future Prospects
5. Conclusions
Supplementary Materials
Author Contributions
Funding
Data Availability Statement
Conflicts of Interest
References
- Forde, B.G. Nitrate transporters in plants: Structure, function and regulation. Biochim. Biophys. Acta (BBA) Biomembr. 2000, 1465, 219–235. [Google Scholar] [CrossRef]
- Jargeat, P.; Rekangalt, D.; Verner, M.C.; Gay, G.; Debaud, J.C.; Marmeisse, R.; Fraissinet-Tachet, L. Characterisation and expression analysis of a nitrate transporter and nitrite reductase genes, two members of a gene cluster for nitrate assimilation from the symbiotic basidiomycete Hebeloma cylindrosporum. Curr. Genet. 2003, 43, 199–205. [Google Scholar] [CrossRef]
- Crawford, N.M. Nitrate: Nutrient and signal for plant growth. Plant Cell 1995, 7, 859–868. [Google Scholar] [CrossRef][Green Version]
- Chiba, Y.; Shimizu, T.; Miyakawa, S.; Kanno, Y.; Koshiba, T.; Kamiya, Y.; Seo, M. Identification of Arabidopsis thaliana NRT1/PTR FAMILY (NPF) proteins capable of transporting plant hormones. J. Plant Res. 2015, 128, 679–686. [Google Scholar] [CrossRef]
- Drechsler, N.; Courty, P.-E.; Brulé, D.; Kunze, R. Identification of arbuscular mycorrhiza-inducible Nitrate Transporter 1/Peptide Transporter Family (NPF) genes in rice. Mycorrhiza 2018, 28, 93–100. [Google Scholar] [CrossRef] [PubMed]
- Wang, T.; Hu, J.; Ma, X.; Li, C.; Yang, Q.; Feng, S.; Li, M.; Li, N.; Song, X. Identification, evolution and expression analyses of whole genome-wide TLP gene family in Brassica napus. BMC Genom. 2020, 21, 264. [Google Scholar] [CrossRef] [PubMed]
- Dong, Q.; Wang, G.; Iqbal, A.; Muhammad, N.; Wang, X.; Gui, H.; Zhang, H.; Kayoumu, M.; Li, X.; Zhang, X.; et al. Identification and Expression Analysis of the NPF Genes in Cotton. Int. J. Mol. Sci. 2022, 23, 14262. [Google Scholar] [CrossRef] [PubMed]
- Guo, F.-Q.; Wang, R.; Chen, M.; Crawford, N.M. The Arabidopsis Dual-Affinity Nitrate Transporter Gene AtNRT1.1 (CHL1) Is Activated and Functions in Nascent Organ Development during Vegetative and Reproductive Growth. Plant Cell 2001, 13, 1761–1777. [Google Scholar] [CrossRef]
- Tsay, Y.-F.; Chiu, C.-C.; Tsai, C.-B.; Ho, C.-H.; Hsu, P.-K. Nitrate transporters and peptide transporters. FEBS Lett. 2007, 581, 2290–2300. [Google Scholar] [CrossRef]
- Cui, Y.-N.; Li, X.-T.; Yuan, J.-Z.; Wang, F.-Z.; Wang, S.-M.; Ma, Q. Nitrate transporter NPF7.3/NRT1.5 plays an essential role in regulating phosphate deficiency responses in Arabidopsis. Biochem. Biophys. Res. Commun. 2019, 508, 314–319. [Google Scholar] [CrossRef]
- Huang, N.-C.; Liu, K.-H.; Lo, H.-J.; Tsay, Y.-F. Cloning and Functional Characterization of an Arabidopsis Nitrate Transporter Gene That Encodes a Constitutive Component of Low-Affinity Uptake. Plant Cell 1999, 11, 1381–1392. [Google Scholar] [CrossRef]
- Dölfors, F.; Ilbäck, J.; Bejai, S.; Fogelqvist, J.; Dixelius, C. Nitrate transporter protein NPF5.12 and major latex-like protein MLP6 are important defense factors against Verticillium longisporum. J. Exp. Bot. 2024, 75, 4148–4164. [Google Scholar] [CrossRef] [PubMed]
- Wang, W.; Hu, B.; Yuan, D.; Liu, Y.; Che, R.; Hu, Y.; Ou, S.; Liu, Y.; Zhang, Z.; Wang, H.; et al. Expression of the Nitrate Transporter Gene OsNRT1.1A/OsNPF6.3 Confers High Yield and Early Maturation in Rice. Plant Cell 2018, 30, 638–651. [Google Scholar] [CrossRef] [PubMed]
- Li, Y.; Ouyang, J.; Wang, Y.-Y.; Hu, R.; Xia, K.; Duan, J.; Wang, Y.; Tsay, Y.-F.; Zhang, M. Disruption of the rice nitrate transporter OsNPF2.2 hinders root-to-shoot nitrate transport and vascular development. Sci. Rep. 2015, 5, 9635. [Google Scholar] [CrossRef] [PubMed]
- Yu, W.; Wang, Y.; Hu, L.; Xu, J.; Yan, J.; Cao, P.; Liu, C.; Shi, X.; Liu, C.; Jiang, Y.; et al. The Identification of Kabatiella zeae as a Causal Agent of Northern Anthracnose of Sorghum in China and Estimation of Host Resistance. Plants 2024, 13, 1857. [Google Scholar] [CrossRef]
- Xue, B.; Liang, Z.; Liu, Y.; Li, D.; Cao, P.; Liu, C. Comparative Analysis of Casparian Strip Membrane Domain Protein Family in Oryza sativa (L.) and Arabidopsis thaliana (L.). Int. J. Mol. Sci. 2024, 25, 9858. [Google Scholar] [CrossRef]
- Bateman, A.; Birney, E.; Durbin, R.; Eddy, S.R.; Howe, K.L.; Sonnhammer, E.L. The Pfam Protein Families Database. Nucleic Acids Res. 2002, 30, 276–280. [Google Scholar] [CrossRef]
- Bailey, T.L.; Johnson, J.; Grant, C.E.; Noble, W.S. The MEME Suite. Nucleic Acids Res. 2015, 43, W39–W49. [Google Scholar] [CrossRef]
- Liang, Z.; Shi, S.; Xue, B.; Li, D.; Liu, Y.; Liu, C. Comparative Analysis of TALE Gene Family in Gramineae. Agronomy 2025, 15, 1460. [Google Scholar] [CrossRef]
- Nguyen, L.-T.; Schmidt, H.A.; Von Haeseler, A.; Minh, B.Q. IQ-TREE: A Fast and Effective Stochastic Algorithm for Estimating Maximum-Likelihood Phylogenies. Mol. Biol. Evol. 2015, 32, 268–274. [Google Scholar] [CrossRef]
- Yu, G.; Smith, D.K.; Zhu, H.; Guan, Y.; Lam, T.T.Y. ggtree: An r package for visualization and annotation of phylogenetic trees with their covariates and other associated data. Methods Ecol. Evol. 2017, 8, 28–36. [Google Scholar] [CrossRef]
- Wang, Y.; Tang, H.; DeBarry, J.D.; Tan, X.; Li, J.; Wang, X.; Lee, T.-H.; Jin, H.; Marler, B.; Guo, H.; et al. MCScanX: A toolkit for detection and evolutionary analysis of gene synteny and collinearity. Nucleic Acids Res. 2012, 40, e49. [Google Scholar] [CrossRef] [PubMed]
- Tang, H.; Krishnakumar, V.; Bidwell, S.; Rosen, B.; Chan, A.; Zhou, S.; Gentzbittel, L.; Childs, K.L.; Yandell, M.; Gundlach, H.; et al. An improved genome release (version Mt4.0) for the model legume Medicago truncatula. BMC Genom. 2014, 15, 312. [Google Scholar] [CrossRef] [PubMed]
- Thompson, J.D.; Gibson, T.J.; Higgins, D.G. Multiple Sequence Alignment Using ClustalW and ClustalX. Curr. Protoc. Bioinform. 2003, 2, 2.3. [Google Scholar] [CrossRef] [PubMed]
- Xue, B.; Liang, Z.; Liu, Y.; Li, D.; Liu, C. Genome-Wide Identification of the RALF Gene Family and Expression Pattern Analysis in Zea mays (L.) under Abiotic Stresses. Plants 2024, 13, 2883. [Google Scholar] [CrossRef]
- Xue, B.; Liang, Z.; Li, D.; Liu, Y.; Liu, C. Genome-wide identification and expression analysis of CASPL gene family in Zea mays (L.). Front. Plant Sci. 2024, 15, 1477383. [Google Scholar] [CrossRef]
- Liu, C.; Tian, L.; Yu, W.; Wang, Y.; Yao, Z.; Liu, Y.; Yang, L.; Liu, C.; Shi, X.; Liu, T.; et al. Natural variation in SbTEF1 contributes to salt tolerance in sorghum seedlings. J. Integr. Agric. 2024, in press. [Google Scholar] [CrossRef]
- Wang, H.; Wan, Y.; Buchner, P.; King, R.; Ma, H.; Hawkesford, M.J. Phylogeny and gene expression of the complete NITRATE TRANSPORTER 1/PEPTIDE TRANSPORTER FAMILY in Triticum aestivum. J. Exp. Bot. 2020, 71, 4531–4546. [Google Scholar] [CrossRef]
- Jia, L.; Hu, D.; Wang, J.; Liang, Y.; Li, F.; Wang, Y.; Han, Y. Genome-Wide Identification and Functional Analysis of Nitrate Transporter Genes (NPF, NRT2 and NRT3) in Maize. Int. J. Mol. Sci. 2023, 24, 12941. [Google Scholar] [CrossRef]
- Hsu, P.-K.; Tsay, Y.-F. Two Phloem Nitrate Transporters, NRT1.11 and NRT1.12, are Important for Redistributing Xylem-Borne Nitrate to Enhance Plant Growth. Plant Physiol. 2013, 163, 844–856. [Google Scholar] [CrossRef]
- Kanno, Y.; Hanada, A.; Chiba, Y.; Ichikawa, T.; Nakazawa, M.; Matsui, M.; Koshiba, T.; Kamiya, Y.; Seo, M. Identification of an abscisic acid transporter by functional screening using the receptor complex as a sensor. Proc. Natl. Acad. Sci. USA 2012, 109, 9653–9658. [Google Scholar] [CrossRef] [PubMed]
- Tal, I.; Zhang, Y.; Jørgensen, M.E.; Pisanty, O.; Barbosa, I.C.R.; Zourelidou, M.; Regnault, T.; Crocoll, C.; Olsen, C.E.; Weinstain, R.; et al. The Arabidopsis NPF3 protein is a GA transporter. Nat. Commun. 2016, 7, 11486. [Google Scholar] [CrossRef]
- Zhang, L.; Yu, Z.; Xu, Y.; Yu, M.; Ren, Y.; Zhang, S.; Yang, G.; Huang, J.; Yan, K.; Zheng, C.; et al. Regulation of the stability and ABA import activity of NRT1.2/NPF4.6 by CEPR2-mediated phosphorylation in Arabidopsis. Mol. Plant 2021, 14, 633–646. [Google Scholar] [CrossRef]
- Liu, X.; Zhang, L.; Zhao, Z.; Zheng, Y.; Ren, Y.; Zhao, X.; Zhang, S.; Yang, G.; Huang, J.; Yan, K.; et al. Regulation of the non-selective Na+ importer capacity of NRT1.2/NPF4.6/AIT1 by SOS2-mediated phosphorylation in Arabidopsis. Cell Rep. 2025, 44, 115729. [Google Scholar] [CrossRef]
- Hu, B.; Wang, W.; Doug, S.J.B.; Tang, J.Y.; Li, H.; Che, R.H.; Zhang, Z.H.; Chai, X.Y.; Wang, H.R.; Wang, Y.Q.; et al. Variation in NRT1.1B contributes to nitrate-use divergence between rice subspecies. Nat. Genet. 2015, 47, 834–838. [Google Scholar] [CrossRef]
- Yang, X.; Nong, B.; Chen, C.; Wang, J.; Xia, X.; Zhang, Z.; Wei, Y.; Zeng, Y.; Feng, R.; Wu, Y.; et al. OsNPF3.1, a member of the NRT1/PTR family, increases nitrogen use efficiency and biomass production in rice. Crop. J. 2023, 11, 108–118. [Google Scholar] [CrossRef]
- Zhang, J.; Liu, Y.-X.; Zhang, N.; Hu, B.; Jin, T.; Xu, H.; Qin, Y.; Yan, P.; Zhang, X.; Guo, X.; et al. NRT1.1B is associated with root microbiota composition and nitrogen use in field-grown rice. Nat. Biotechnol. 2019, 37, 676–684. [Google Scholar] [CrossRef] [PubMed]
- Shi, X.; Cui, F.; Han, X.; He, Y.; Zhao, L.; Zhang, N.; Zhang, H.; Zhu, H.; Liu, Z.; Ma, B.; et al. Comparative genomic and transcriptomic analyses uncover the molecular basis of high nitrogen-use efficiency in the wheat cultivar Kenong 9204. Mol. Plant 2022, 15, 1440–1456. [Google Scholar] [CrossRef] [PubMed]










Disclaimer/Publisher’s Note: The statements, opinions and data contained in all publications are solely those of the individual author(s) and contributor(s) and not of MDPI and/or the editor(s). MDPI and/or the editor(s) disclaim responsibility for any injury to people or property resulting from any ideas, methods, instructions or products referred to in the content. |
© 2025 by the authors. Licensee MDPI, Basel, Switzerland. This article is an open access article distributed under the terms and conditions of the Creative Commons Attribution (CC BY) license (https://creativecommons.org/licenses/by/4.0/).
Share and Cite
Liang, Z.; Jiang, Z.; Li, D.; Zhang, S.; Liu, S.; Liu, Y.; Shi, S.; Liu, C. Identification, Classification, and Evolutionary Profile of the NPF Gene Family in Sorghum bicolor. Agronomy 2025, 15, 2402. https://doi.org/10.3390/agronomy15102402
Liang Z, Jiang Z, Li D, Zhang S, Liu S, Liu Y, Shi S, Liu C. Identification, Classification, and Evolutionary Profile of the NPF Gene Family in Sorghum bicolor. Agronomy. 2025; 15(10):2402. https://doi.org/10.3390/agronomy15102402
Chicago/Turabian StyleLiang, Zicong, Zhiyang Jiang, Dongyang Li, Silu Zhang, Sitong Liu, Yue Liu, Shuai Shi, and Chang Liu. 2025. "Identification, Classification, and Evolutionary Profile of the NPF Gene Family in Sorghum bicolor" Agronomy 15, no. 10: 2402. https://doi.org/10.3390/agronomy15102402
APA StyleLiang, Z., Jiang, Z., Li, D., Zhang, S., Liu, S., Liu, Y., Shi, S., & Liu, C. (2025). Identification, Classification, and Evolutionary Profile of the NPF Gene Family in Sorghum bicolor. Agronomy, 15(10), 2402. https://doi.org/10.3390/agronomy15102402

