Next Article in Journal
Synergistic Optimization of Root–Shoot Characteristics, Nitrogen Use Efficiency and Yield by Combining Planting Density with Nitrogen Level in Cotton (Gossypium hirsutum L.)
Previous Article in Journal
Evaluating the Performance of Winter Wheat Under Late Sowing Using UAV Multispectral Data
Previous Article in Special Issue
Insights into the Fate and Risk Identification of Cyantraniliprole and Lufenuron Based on Pak Choi (Brassica rapa L. subsp. chinensis)
 
 
Font Type:
Arial Georgia Verdana
Font Size:
Aa Aa Aa
Line Spacing:
Column Width:
Background:
Article

Biosynthesis of Selenium Nanoparticles from Rosa rugosa Extract: Mechanisms and Applications for Sustainable Crop Protection

1
Institute of Quality Standard and Testing Technology, BAAFS (Beijing Academy of Agriculture and Forestry Sciences), Beijing 100097, China
2
Shandong Academy of Pesticide Sciences Institute of Residue Technology, Shandong Academy of Agricultural Sciences, Jinan 250033, China
3
Shanxi Key Laboratory of Integrated Pest Management in Agriculture, College of Plant Protection, Shanxi Agricultural University, Taiyuan 030031, China
*
Authors to whom correspondence should be addressed.
Agronomy 2025, 15(10), 2385; https://doi.org/10.3390/agronomy15102385
Submission received: 26 August 2025 / Revised: 11 October 2025 / Accepted: 12 October 2025 / Published: 13 October 2025

Abstract

Selenium nanoparticles (SeNPs) show great potential for sustainable agriculture, but their green synthesis and practical application still need further optimization. This study established a green synthesis method for SeNPs using lyophilized rose (Rosa rugosa Thunb.) powder as both a reducing and stabilizing agent to reduce sodium selenite (Na2SeO3), key parameters, including template concentration, Na2SeO3/VC ratio, and reaction temperature were systematically optimized. This process yielded stable, spherical SeNPs with optimal properties, exhibiting a diameter of 90 nm and a zeta potential of −35 mV. Structural characterization confirmed that selenium forms chelation complexes through carboxyl and hydroxyl oxygen-binding sites. The SeNPs exhibited exceptional stability (retained 426 days at 25 °C) and pH tolerance (pH 4–10), though divalent cations (Ca2+) triggered aggregation. In agricultural application tests, 5 mg/L SeNPs increased tomato plant biomass by 84% and antioxidant capacity by 152% compared to controls, and the biosynthesis pathways of salicylic acid and jasmonic acid were upregulated. Moreover, the SeNPs exhibited strong concentration-dependent antifungal activity against several major pathogens. Among these pathogens, tomato gray mold (Botrytis cinerea) was the most sensitive, as evidenced by its low EC50 (4.86 mg/L) and sustained high inhibition rates, which remained substantial even at 1 mg/L and reached 94% at 10 mg/L. These findings highlight SeNPs as a friendly alternative for minimizing agrochemical use in sustainable agriculture.

1. Introduction

Selenium (Se), an essential trace element for both plants and animals, plays a critical role as a key component of the antioxidant enzyme system in living organisms. In plants, appropriate selenium levels can enhance stress resistance, promote growth, and improve nutritional quality. Meanwhile, in humans and animals, selenium deficiency is associated with a spectrum of pathophysiological conditions and various health disorders [1]. In recent years, with growing recognition of selenium’s dual importance in agricultural and health preservation, selenium-enriched products have garnered increasing attention [2]. Studies have demonstrated that selenium nanoparticles (SeNPs) exhibit lower toxicity and higher bioavailability compared to inorganic and organic selenium forms, making them highly valuable not only in nutraceuticals and biomedical research but also in agricultural applications such as crop biofortification and selenium supplementation.
Extensive research has been conducted on the synthesis of SeNPs, with primary approaches including chemical, physical, and biological methods. The biosynthesis of SeNPs offers a sustainable strategy for the utilization of selenium resources, enabling the creation of innovative, high-quality selenium-enriched products [3,4]. The biological method, which involves stabilizing SeNPs using plant extracts, has gained significant attention due to its green and environmentally friendly advantages, particularly with edible and medicinal plants [5].
The plant-mediated synthesis approach employs plant extracts as dual-function agents for both reduction and stabilization in the preparation of SeNPs. These bioactive extracts contain a diverse array of phytochemicals including polyphenols, flavonoids, vitamins, amino acids, and proteins, which possess various functional groups such as hydroxyl (–OH), carboxyl (–COOH), amino (–NH2), carbonyl (C=O), and hydrophobic moieties [6]. These functional groups facilitate interactions with selenium species through multiple mechanisms including electrostatic attraction, secondary bonding (e.g., hydrogen bonding and van der Waals forces), and hydrophobic effects. Such multifaceted interactions effectively inhibit the aggregation of selenium particles, yielding well-dispersed and stable elemental SeNPs with uniform morphology.
Previous studies have demonstrated that SeNPs can be successfully prepared from Allamanda cathartica L. flower extract, exhibiting strong antimicrobial activity against Pseudomonas marginalis and P. aeruginosa, and improving seed germination and growth parameters under salt stress [7]. Additionally, active substances extracted from Sargassum fusiforme and lemon plant leaves have been used to prepare SeNPs, although the process involves significant amounts of organic solvents such as ethanol and Tris-Cl [8]. L. Gunti et al. utilized ultrapure water to directly extract active substances from Emblica officinalis fruit to prepare SeNPs, avoiding the large-scale use of organic solvents [9]. Other plant sources, such as Clausena dentata leaves [10] and edible parts like garlic (Allium sativum) have also been explored [11]. The plant extract-mediated synthesis allows for control over the size, shape, and assembly of nanomaterials, with the biocompatibility and stability of SeNPs largely dependent on the type of plant extract and the nature of the functional groups present.
As a novel biostimulant, SeNPs have shown tremendous potential in agriculture as nano-fertilizers or biostimulants. They can directly inhibit microorganisms such as bacteria and fungi, significantly enhance the immune defense capabilities of plants, and induce long-lasting, broad-spectrum, and delayed disease resistance. Additionally, SeNPs can regulate plant metabolism, activate the antioxidant system, and synergize with fungicides [12]. The primary function of SeNPs as biological intervention factors is to maintain redox balance and reduce cellular damage caused by reactive oxygen species (ROS). Consequently, SeNPs have demonstrated significant potential in mitigating both abiotic stresses and biotic stressors. Studies have shown that SeNPs can accelerate the synthesis of endogenous auxin, cytokinin, and gibberellin in gerbera plants, enhance the activities of antioxidant enzymes such as CAT, POD, and SOD, and promote plant growth and flowering. They can also regulate the expression of key genes in cherry radish (Raphanus sativus L. var. radculus pers), promoting fruit growth, and enhance the assimilation of carbon and nitrogen in fruits by regulating the synthesis of ascorbic acid, glutathione, flavonoids, and amino acid metabolism pathways [13]. By promoting the accumulation of secondary metabolites, activating related metabolic pathways, and up-regulating the expression of defense-related genes, SeNPs enhance the antioxidant capacity of plants, thereby improving crop stress resistance.
In recent years, the effects of SeNPs on plant diseases have been increasingly studied. Application of SeNPs has been shown to significantly reduce the accumulation of ROS and H2O2 in sugarcane plants, increase the activity of antioxidant enzymes, elevate the content of JA and the expression of metabolic pathway genes, and markedly decrease the incidence of white stripe disease in sugarcane leaves [14]. In citrus, SeNPs have increased the content of metabolites such as chlorophyll, total soluble sugar, total flavonoids, and total phenols, enhanced membrane stability, and reduced the incidence of Huanglongbing [15]. Shahbaz et al. [7] demonstrated that SeNPs significantly inhibit the growth of Fusarium, reducing the incidence of wheat root rot by 75% and increasing wheat production by 5–40%. Additionally, SeNPs effectively inhibit the infection of lettuce wilt, wheat stripe rust, Magnaporthe grisea, and other common crop fungal diseases without developing pesticide resistance [16]. The enhancement of crop disease resistance induced by SeNPs not only prevents the direct invasion of pathogenic bacteria but also provides immunity against future pathogenic attacks, highlighting their broad application prospects in preventing and inhibiting crop diseases.
SeNPs have shown beneficial effects on aquatic organisms and soil microbes, yet selenium overload can induce toxicity [17]. It is therefore essential to adopt green synthesis approaches to avoid introducing additional hazardous agents. Rose (Rosa rugosa Thunb.) flowers, known for their high antioxidant content, such as phenols, flavonols, and catechins [18], serve as a suitable green feedstock. In this study, we used an aqueous rose extract to efficiently reduce Na2SeO3 into red elemental SeNPs. To our knowledge, a Rosa rugosa extract-mediated biosynthesis route for SeNPs has not been reported to date. Furthermore, the bioactivity and therapeutic efficacy of rose-derived SeNPs remain to be systematically elucidated.
The present study aims to (1) optimize the synthesis method to enhance the bioactivity and colloidal stability of SeNPs in Rose, (2) systematically evaluate the antioxidant capacity and antifungal efficacy of rose-derived SeNPs, and (3) assess their potential as biostimulants for crop improvement. This investigation not only advances our understanding of plant-mediated SeNPs synthesis but also provides critical insights for developing novel nano-enabled strategies in agricultural protection and fungal disease management.

2. Materials and Methods

2.1. Chemicals and Reagents

HPLC-grade acetonitrile was sourced from Merck KGaA in Darmstadt, Germany, while analytical-grade formic acid was supplied by Tianjin Kemeou Chemical Reagent Co., Ltd. (Tianjin, China). Ascorbic acid (VC, purity > 99.7%), sodium selenite (Na2O3Se, purity > 97.0%), and chitooligosaccharides (COS, molecular weight < 3000) were purchased from Sinopharm Chemical Reagent Co., Ltd. (Shanghai, China). Sodium tripolyphosphate (Na5P3O10, STPP, purity > 98.0%) was sourced from Shanghai Aladdin Bio-Chem Technology Co., Ltd. (Shanghai, China). Jasmonic acid (JA, >97.0% purity), salicylic acid (SA, >98.0% purity), abscisic acid (ABA, >98.0% purity), brassinosteroids (BRs, >98.0% purity), and methyl jasmonate (Me-JA, >97.0% purity) were purchased from Shanghai Yuanye Bio Co., Ltd. (Shanghai, China).
Rose samples were manually collected from the experimental base in Pingyin County, Jinan City, Shandong Province, China (36.28° N, 116.45° E). The flowers were dried and finely chopped for subsequent experiments. The experimental fungi and tomato plants were provided by the Shandong Academy of Pesticide Sciences Institute of Efficacy Technology (Jinan, China). Dialysis bags were purchased from Shanghai Yuanye Bio-Technology Co., Ltd. (Shanghai, China). All kits and additional biological materials used in the experiments were obtained from the Jiancheng Bioengineering Institute (Nanjing, China).

2.2. Preparation of Rose Extract and Lyophilized Rose Powder

Dried rose flowers were ground and added to a beaker. Preheated ultrapure water at 100 °C was added at a flower-to-water ratio of 1:30 (w/v). The beaker was placed on a temperature-controlled magnetic stirrer, and the mixture was stirred at 400 rpm while maintaining the temperature at 100 °C. The solution was boiled for 40 min, with gentle shaking every 10 min. After extraction, the reaction solution was allowed to soak and stand for 4 h at ambient temperature. The cooled liquid supernatant was then filtered under vacuum using quantitative filter paper. After cooling and adjusting to a fixed volume, the filtrate (hereafter referred to as the rose extract) was aliquoted into 10 mL centrifuge tubes and subsequently lyophilized at −80 °C for 12 h to obtain the lyophilized rose powder.

2.3. Biological Synthesis of SeNPs

For a typical synthesis of SeNPs, 500 mg of the lyophilized rose powder was accurately weighed and dissolved in 100 mL of ultrapure water within a 250 mL glass beaker. The mixture was homogenized using a temperature-controlled magnetic stirrer at 200 rpm and 40 °C for 15 min to ensure complete dissolution. After allowing the solution to stand briefly, Na2O3Se and VC were sequentially added, and the reaction was stirred for 30 min. The visual observation of a color change from pale yellow to brick red indicated the initial formation of SeNPs. To enhance colloidal stability, 5 mL of 1% sodium tripolyphosphate (STPP) was introduced, and the reaction continued for an additional 30 min. The resulting suspension was allowed to stand for 5 min to equilibrate. The crude SeNPs suspension was then transferred into a dialysis bag and dialyzed in distilled water for 73 h to ensure complete separation of small-molecule compounds. Finally, the purified SeNPs suspension was centrifuged at 12,000× g for 20 min, and the resulting product was lyophilized for further use.

2.4. The Characterization of SeNPs

2.4.1. UV–Visible Spectrophotometer

UV–visible spectrophotometry is a powerful analytical technique that identifies the presence, quantifies the concentration, and characterizes the properties of substances by measuring their absorbance at specific wavelengths. This method serves as a critical tool for scientists to gain profound insights into the composition, structure, and reaction mechanisms of various materials [19]. The UV spectra were recorded, using a UV spectrophotometer (EU2600RT, Shanghai Onlab Instruments Co., Ltd., Shanghai, China) in the wavelength range of 200 to 800 nm, to monitor whether the dialysis of SeNPs was complete and to verify the successful synthesis of SeNPs.

2.4.2. Dynamic Light Scattering (DLS)

DLS is a powerful technique for monitoring and characterizing the aggregation dynamics of nanoparticles [20]. To evaluate the stability of SeNPs, the Z-average size, Zeta potential, and polydispersity index (PDI) were measured using a Nanosizer ZS90 instrument (Malvern Instruments Ltd., Worcestershire, UK). Each sample was analyzed in triplicate during a single cycle (16 runs per measurement), and all measurements were conducted at 25 °C. The data were processed and analyzed using Malvern DTS 6.20 software. The Zeta potential reflects the surface charge characteristics of colloidal particles, with “+” and “−” indicating positive and negative charges, respectively. Higher absolute values of Zeta potential indicate better colloidal dispersion and enhanced system stability. The PDI is a critical parameter for assessing the width of the particle size distribution within the system, with values typically ranging from 0 to 1. A larger PDI value indicates a broader and more heterogeneous particle size distribution.

2.4.3. Scanning Electron Microscope (SEM) and Transmission Electron Microscope (TEM)

SEM employs a highly focused, high-energy electron beam to interact with the surface of a solid sample, generating a variety of signals. These signals, resulting from electron–sample interactions, provide detailed information about the sample, including its surface morphology (texture), chemical composition, and the crystalline structure and orientation of the material. SEM can observe the surface morphology of nano materials, and TEM can observe the size and shape of nano materials [21]. In this study, the morphology and particle size of the SeNPs were analyzed by the SEM (Phenom Pro desktop, Thermo Fisher Scientific, Eindhoven, The Netherlands) and TEM (JEM-1200EX, JEOL, Tokyo, Japan).

2.4.4. Fourier-Transform Infrared (FTIR) Spectroscopy Assay

FTIR spectroscopy operates on the principle of atomic vibrations and rotations within molecules. It has emerged as a widely utilized spectroscopic technique for analyzing internal molecular structures across diverse scientific and industrial fields [22]. In this study, we employed FTIR spectroscopy to systematically analyze the surface functional groups of biosynthesized SeNPs. Spectral acquisition was performed using a Nicolet iS10 FTIR spectrometer (Thermo Fisher Scientific, Waltham, MA, USA). Through detailed spectral deconvolution and band assignment, we identified characteristic vibrational modes corresponding to key functional groups involved in SeNPs stabilization. These spectroscopic findings can provide molecular-level evidence for template-mediated nanoparticle formation and critical insights into the colloidal stabilization mechanisms governing SeNPs dispersion stability.

2.4.5. The Stability of SeNPs

The stability of SeNPs is one of the key factors determining its biofunctional activity. The stability of SeNPs is not only influenced by process parameters such as reactant ratios, template concentration, reaction time, and temperature but is also closely related to the pH of the application medium, ion types and strength, storage temperature, and duration. In this study, stability tests were conducted from multiple perspectives, including storage time, pH, and ion types and concentrations. The SeNPs were stored at room temperature (25 ± 2 °C) for 0, 32, 130, 335, and 426 days. The pH levels were set at 2, 4, 6, 8, and 10, and the ions selected for testing included NaCl, KCl, and CaCl2, with concentrations set at 0, 10, 100, and 200 mmol/L.

2.5. Analysis on Tomato Growth and Metabolism

Tomato seedlings at the three-true-leaf stage (including two cotyledons), exhibiting an average height of 10 ± 0.5 cm, fully expanded dark green leaves, and no visible signs of disease, were selected for the experiment. All plants were cultivated in controlled—environment chambers, where the photoperiod was set at 16 h of light and 8 h of dark per day. The day and night temperatures were maintained at 27 °C and 18 °C, respectively, and the relative humidity was kept constant at 70%. The seedlings were divided into three groups and treated as follows: (1) Group L: foliar spray with 5 mg/L SeNPs; (2) Group H: foliar spray with 50 mg/L SeNPs; and (3) Control group: sprayed with an equivalent amount of distilled water. Each experimental group consisted of six tomato plants. Leaf samples were collected 7 days after treatment for analysis of physiological and biochemical parameters.

2.5.1. Analysis of Enzymatic and Non-Enzymatic Indicators

The antioxidant capacity of tomato leaf samples was evaluated by measuring key enzymatic activities, including peroxidase (POD) and superoxide dismutase (SOD). The DPPH radical scavenging capacity was employed to assess the overall antioxidant capacity of the samples. Furthermore, the levels of amino acids, chlorophyll a, chlorophyll b, and total chlorophyll, were determined. All measurements were conducted in accordance with the protocols provided by the manufacturer of the assay kits, which were sourced from the Jiancheng Bioengineering Institute (Nanjing, China).

2.5.2. Quantification of Phytohormones

The levels of phytohormones including brassinosteroids (BR), salicylic acid (SA), abscisic acid (ABA), jasmonic acid (JA) and methyl jasmonate (Me-JA), in tomato leaves were analyzed using high-performance liquid chromatography–tandem mass spectrometry (HPLC-MS/MS). The extraction protocol was adapted from a previously established method with minor modifications. In brief, 200 mg of each plant sample was homogenized, and 1 mL of 80% methanol aqueous solution containing 1% formic acid was added. The mixture was vortexed for 5 min, followed by ultrasonication for 10 min. After centrifugation at 10,000 rpm for 5 min, the supernatant was passed through a polytetrafluoroethylene (PTFE) filter with a pore size of 0.22 μm (ANPEL, Shanghai, China) and tested using HPLC-MS/MS analysis. Detailed parameters for the phytohormone measurements are provided in Tables S1 and S2.

2.6. Inhibitory Effect of SeNPs on Plant Pathogen Using the Plate Method

Several test strains, including Botrytis cinerea, Coniella diplodiella, Fusarium pseudograminearum, Bipolaris sorokiniana, Fusarium graminearum were activated by culturing in a constant temperature incubator. Under sterile conditions, 5 mL of SeNPs or fungicide at a predetermined concentration (based on the half-maximal effective concentration, EC50, obtained from preliminary tests) was added to 95 mL of potato dextrose agar (PDA) medium. The activated strains were then inoculated onto the PDA plates and cultured at (23 ± 1) °C for 3–5 days. Mycelial growth was observed, and the colony diameter was measured using the cross-cross method to assess the inhibitory effects of SeNPs or fungicides on the pathogens.
In the experiment, a water treatment served as the blank control group. The experimental groups included SeNPs, iprodione, boscalid, and other treatments. Each treatment was performed in quadruplicate, and the experiment was repeated in two independent batches to ensure reproducibility.

2.7. Data Visualization and Statistical Analysis

Graphical representations, including bar charts, were generated using Origin 2024 SR1 (Origin Lab Corporation, Northampton, MA, USA). Physiological and biochemical data were statistically analyzed using one-way analysis of variance (ANOVA) in SPSS 26.0 (IBM, Armonk, New York, NY, USA). Tukey’s t-test was applied for post hoc comparisons to determine significant differences among treatments at a significance level of p < 0.05. Prior to ANOVA, all datasets were verified to meet the assumptions of normality and homogeneity of variances, as confirmed by Levene’s test. All experiments were conducted with three biological replicates to ensure the reliability of the results.

3. Results and Discussion

3.1. Optimization of Preparation Parameters of SeNPs

3.1.1. Type of Template

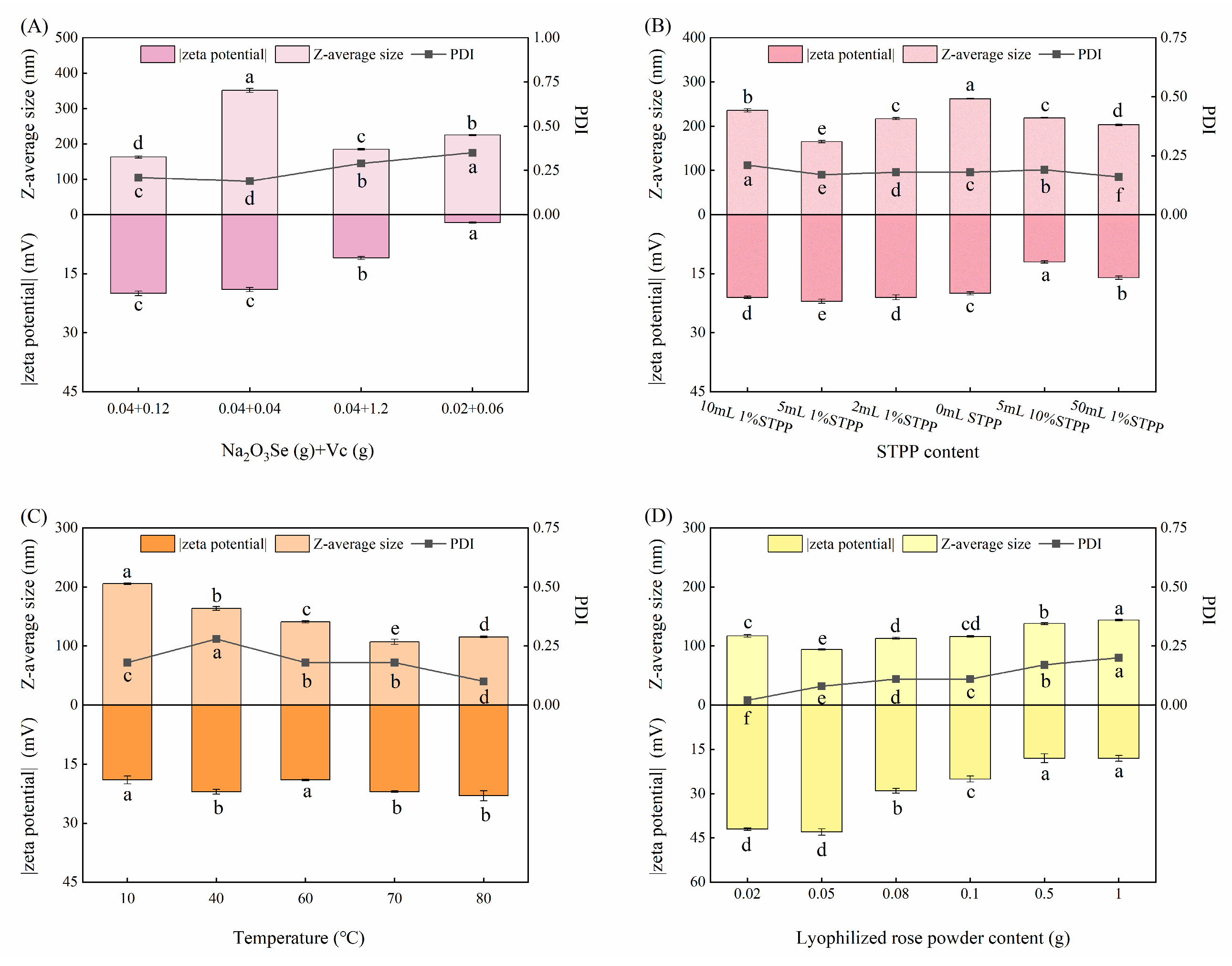
The key factors influencing the preparation of SeNPs include the type of template, the amount of antioxidant, reaction time, and temperature. Table S3 shows the reaction system containing only Na2O3Se and VC exhibited poor stability, characterized by low zeta potential and large particle size, leading to rapid agglomeration and inability to maintain a colloidal state. A comparison between G3 and G7 revealed that the lyophilized rose powder outperformed the rose extract supernatant in stabilizing the system. The zeta potentials for G3 and G7 were −20 mV and −0.34 mV, respectively, with SeNPs stabilized by lyophilized powder displaying smaller particle sizes. Additionally, the stabilizing capability of COS was evaluated. While the COS system yielded SeNPs with favorable particle sizes, its low zeta potential (0.155 mV) indicated poor stability. The superior performance of lyophilized rose powder can be attributed to its composition, which includes polyhydroxy and carbonyl organic compounds. These compounds possess strong reducing properties and functional groups such as amino, carboxyl, and aldehyde, which enhance the adsorption and dispersion of SeNPs, thereby stabilizing the colloidal system [23]. Using lyophilized rose powder as a template, the primary reaction mechanism was to allow the initially formed selenium particles to adsorb and encapsulate onto the external template prior to the redox reaction. On one hand, this prevents the particles from combining and agglomerating, while on the other hand, it mitigates and controls the growth of the particles, resulting in the production of stable SeNPs. Overall, the lyophilized rose powder proved to be the most effective stabilizer, providing SeNPs in a highly stable state.

3.1.2. The Ratio of Na2O3Se and VC

As illustrated in Figure 1A, the ratios of Na2O3Se to VC were set at 1:1, 1:3, and 1:30, with the 1:3 ratio demonstrating the optimal performance. At ratios of 1:1 and 1:30, significant peaks were observed at 5560 nm and 2888 nm, respectively, indicating system instability and the occurrence of coagulation. In contrast, at a ratio of 1:3, the particle size and zeta potential were more favorable for the combination of 0.04 g Na2O3Se and 0.12 g VC compared to 0.02 g Na2O3Se and 0.06 g VC, suggesting that the VC content significantly influences the particle size and stability of the nanoparticles. Both the amounts of Na2O3Se and VC are critical factors affecting the formation and stability of the nanoparticles. At lower Na2O3Se concentrations, nucleation kinetics dominate in the solution, facilitating the formation of numerous nucleation sites which promote the generation of smaller-sized nanoparticles. Simultaneously, the lyophilized powder functions as an effective stabilizer, suppressing further particle aggregation and maintaining system stability. However, with increasing Na2O3Se concentration, although the number of nucleation sites increases, the stabilizing capacity of the lyophilized powder gradually becomes insufficient to counteract the enhanced interparticle attractive forces, ultimately resulting in increased particle size and decreased stability.
As reported in the literature [24], the formation mechanism of SeNPs involves the reduction of Se4+ ions to elemental selenium (Se0) by VC, followed by the aggregation of Se atoms into SeNPs stabilized by a coating agent. While a high concentration of VC can be used and subsequently removed through dialysis, its concentration cannot be too low, as this would hinder the complete reduction of Se4+ to elemental Se.

3.1.3. The Effect of STPP Amount

STPP dissociates into multiple phosphate ions in water, forming polyanions with multiple charges. It is commonly employed as a stabilizer or dispersant, preventing particle aggregation through electrostatic repulsion, thereby enhancing the dispersion and stability of nanoparticles. As shown in Table S3, comparisons between groups (e.g., G2 vs. G3, G4 vs. G5) consistently demonstrated that the addition of STPP leads to the formation of SeNPs with smaller particle sizes.
Further investigation into the effect of STPP concentration on SeNP preparation under identical conditions is illustrated in Figure 1B. A 1% STPP solution was found to produce SeNPs with smaller particle sizes, higher zeta potential, and improved stability. Among the tested volumes (2 mL, 5 mL, and 10 mL), 5 mL exhibited the best performance. Specifically, 5 mL of 10% STPP yielded nanoparticles with a particle size of 219 nm and a zeta potential of −12 mV, while 5 mL of 1% STPP resulted in nanoparticles with a particle size of 167 nm and a zeta potential of −22 mV. Based on these results, 1% STPP was selected as the optimal concentration.
These findings highlight the significant role of STPP in reducing particle size and stabilizing nanoparticles. This effect is likely attributed to the ability of STPP to bind with excess positive charges on selenium ions, thereby energetically stabilizing the system.

3.1.4. The Effect of Reaction Temperature

As illustrated in Figure 1C, the reaction temperature significantly influences both the particle size and zeta potential of SeNPs. At 70 °C, the particle size reaches its minimum value of 107 nm, accompanied by a zeta potential of −22 mV, indicating enhanced stability. Over the temperature range of 10 °C to 80 °C, the zeta potential varies from −19 mV to −23 mV, while the particle size decreases from 206 nm to 115 nm. Elevated temperatures generally promote nanoparticle stabilization. However, beyond 70 °C, the particle size increases slightly from 107 nm to 115 nm, and the appearance of larger particles suggests the onset of aggregation. Consequently, the optimal reaction temperature was determined to be 70 °C.

3.1.5. Amount of Lyophilized Rose Powder

As shown in Figure 1D, the amount of lyophilized powder is also a significant influencing factor. Through optimization of the amount of lyophilized powder, it was found that when the added amount was 0.05 g, the zeta potential and particle size of SeNPs were −43 mV and 94 nm, respectively, representing the optimal results. When the amount of lyophilized powder was slightly lower at 0.02 g, the zeta potential and particle size were −41 mV and 119 nm, which also demonstrated relatively favorable outcomes. However, as the amount of lyophilized powder increased, the particle size of SeNPs became larger, the absolute value of the zeta potential decreased, and the PDI increased, indicating that excessive amounts of lyophilized powder may lead to slight aggregation among selenium particles.
These results suggest that, under certain conditions, a smaller amount of lyophilized powder is preferable, as it promotes the dispersion and stability of SeNPs. However, the amount cannot be too small, as insufficient lyophilized powder would lack enough active components to effectively disperse the selenium particles, preventing the system from reaching its optimal state. Therefore, 0.05 g was determined to be the optimal amount for this study.

3.2. Characterization of SeNPs

3.2.1. UV-Vis Analysis of SeNPs

Since the reaction system contained an excess amount of VC, we monitored the VC content at different sampling points during the dialysis process. As shown in Figure 2A, the results indicate that after 73 h of dialysis, no VC signal was detected in the dialysis solution, confirming the endpoint of dialysis.
Next, we established UV absorption spectra for each of the reaction components, including, Na2SeO3, VC, and STPP, and compared them with the spectrum of the SeNPs material. Figure 2B clearly shows that the characteristic absorption peak of the VC near 250 nm reveals its primary optical activity in the ultraviolet region. In the SeNPs system, the absorption peak near 250 nm may originate from incompletely reacted VC and its intermediate products, while Na2SeO3 and STPP exhibit absorption peaks only in the region below 200 nm. The lyophilized rose powder, on the other hand, shows a decreasing absorbance trend as the wavelength increases within the 200–400 nm range, but no distinct absorption peaks are observed. The SeNPs exhibit broad absorption across the 200–600 nm range, providing strong evidence for the successful synthesis of SeNPs. This indicates that the lyophilized rose powder in the system not only functions as a stabilizer and dispersant but also influences the optical properties of SeNPs through surface modification. However, it does not fundamentally alter their intrinsic optical characteristics.

3.2.2. Analysis of Particle Size, Zeta Potential, and Morphology of SeNPs

The size, zeta potential, and morphology of the SeNPs were characterized by DLS and SEM. As shown in Figure 2C,D, the prepared SeNPs exhibited an average hydrodynamic diameter of approximately 90 nm and a zeta potential of around −35 mV, indicating a stable SeNPs system. SEM and TEM imaging further confirmed that the synthesized SeNPs were well-dispersed spherical particles. Under different magnification levels, the SeNPs appear as small spherical particles with uniform and well-distributed morphology. In Figure 2E,F, clear gaps between individual particles can be observed, indicating minimal aggregation. The SeNPs exhibit a monodisperse distribution of well-rounded and full-shaped spherical particles, demonstrating that the lyophilized rose powder effectively disperses the SeNPs, ensuring its homogeneous distribution.

3.2.3. FTIR Analysis of SeNPs

The FTIR spectra of lyophilized rose powder and SeNPs are shown in Figure 2G. In the FTIR spectrum of lyophilized rose powder and SeNPs, a broad and intense O–H stretching vibration peak observed near 3200 cm−1 indicates a high hydroxyl group content in the sample. For the lyophilized rose powder, the spectrum is dominated by polysaccharides (1042 cm−1), polyphenols (1604 cm−1), and aliphatic components (2983 cm−1, 2899 cm−1), which aligns with the characteristic FTIR profile of rose extracts [25]. For lyophilized rose powder, the absorption peaks at 3292 cm−1 and 1604 cm−1 correspond to the stretching vibrations of O–H and C=O bonds, respectively. In contrast, the spectrum of SeNPs shows these peaks shifted to 3238 cm−1 (O–H) and 1590 cm−1 (C=O), exhibiting a blue shift compared to the rose powder. Notably, the O–H peak demonstrates a more pronounced blue shift (~53 cm−1), likely due to stronger hydrogen bonding between selenium surfaces and ligands. These observations suggest that the primary components of lyophilized rose powder (such as polysaccharides and polyphenols) interact with selenium through their O–H and C=O groups via inductive effects, with O–H groups showing greater involvement.
In the spectrum of SeNPs, there is a peak with enhanced response at 885 cm−1. This is usually related to the β-configuration of the sugar ring or the stretching vibration of the glycosidic bond (C–O–C), which is commonly found in polysaccharides or flavonoid glycoside compounds. If the reducing components (such as phenolic hydroxyl groups and polysaccharides) in the rose extract reduce selenite to SeNPs, new Se–O–C or Se=O bonds may be formed, and their vibration frequencies may overlap or couple with the original peaks, resulting in enhanced absorption [19]. Therefore, the SeNPs binds to the polysaccharides or phenols in the rose extract through Se–O bonds, and the vibration of the new bonds couples with the original peak at 918 cm−1, leading to a significant increase in the absorption intensity. In addition, the surface effect of SeNPs may further amplify the signal.
Notably, aliphatic C-H vibrations (2890/2980 cm−1) displayed minor shifts in SeNPs, reflecting environmental changes in fatty chains [26]. Additional peak shifts at 1736 (C=O), 1590 (C–O–C), and 885 cm−1 confirmed rose powder-Se interactions. We propose that −OH (polyphenols/polysaccharides), −NH2 (proteins), and C=O groups stabilize SeNPs through inductive effects, with O–H groups showing predominant involvement. Overall, the formation of SeNPs resulted in a shift in the peak value, and selenium chelated lyophilized rose powder via the sites of carboxyl oxygen and hydroxyl oxygen atoms.

3.2.4. Proposed Formation Mechanism of SeNPs

Na2SeO3 reacts with VC through a redox reaction to form initially unstable SeNPs that tend to aggregate and precipitate as dark selenium. Under the stabilizing and dispersing effects of lyophilized rose powder, the nanoparticles become stabilized through interactions with active groups from polysaccharides and polyphenols in the rose extract, ultimately yielding well-dispersed red SeNPs. The SeNPs are encapsulated by these polysaccharide or polyphenol molecules and stabilized through binding with numerous functional groups such as hydroxyl and carboxyl groups. Structural characterization provides preliminary analysis of the SeNPs formation mechanism. FTIR analysis reveals that the inductive effects between SeNPs and polysaccharides or polyphenols cause blue shifts in absorption peaks, with the most pronounced shift observed for O–H groups, indicating strong adsorption of SeNPs by the active molecules. SEM and TEM observations demonstrate that the SeNPs exhibit spherical morphology, consistent with previous reports on selenium nanoparticles [24,27].

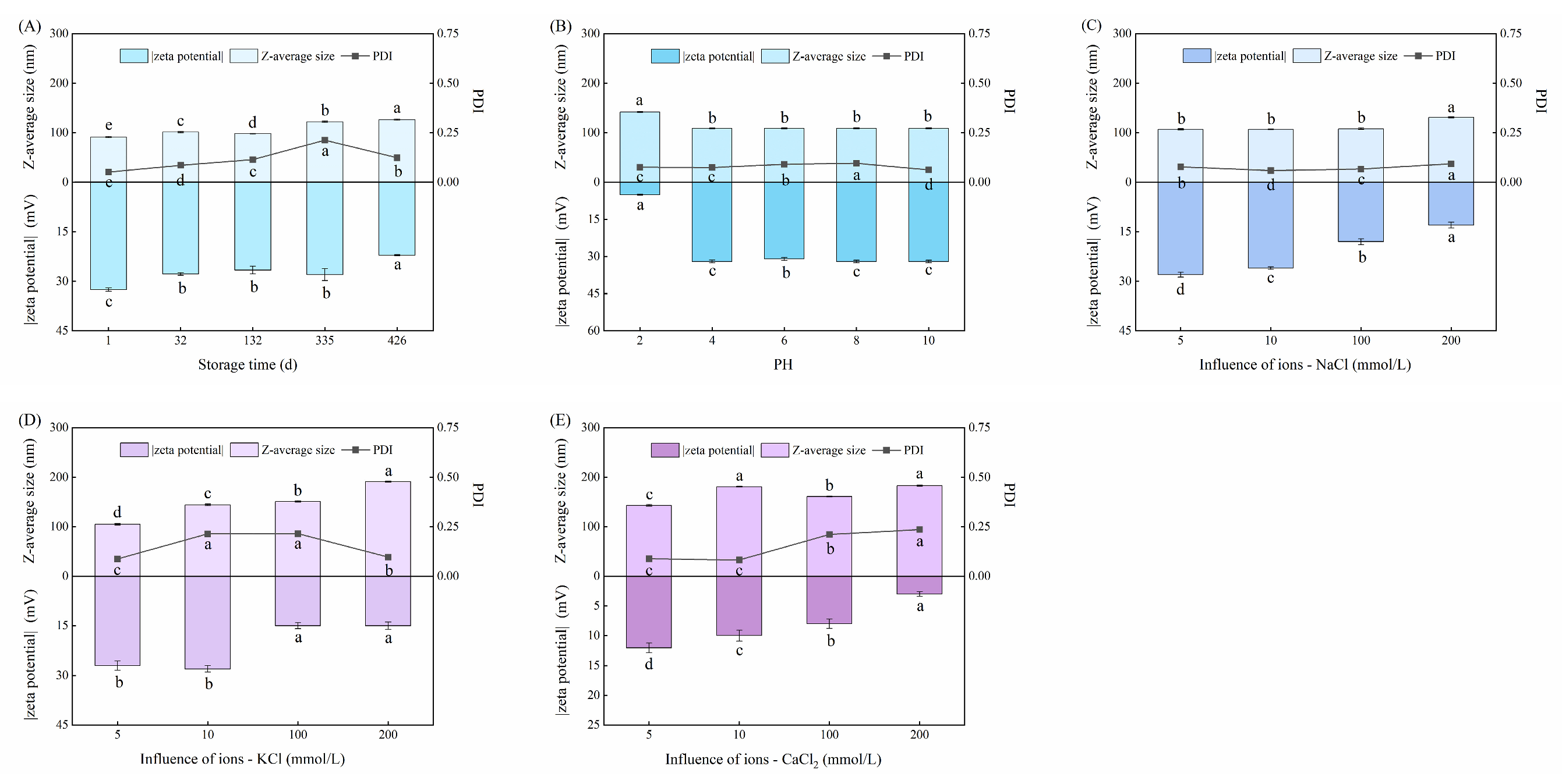
3.3. Stability Test of SeNPs

3.3.1. Effect of Storage Duration on SeNPs

Both storage temperature and duration are critical factors affecting SeNPs. However, considering typical application scenarios at room temperature, this study focused exclusively on room temperature condition. Storage duration significantly influenced the stability of SeNPs under ambient conditions. As shown in Figure 3A, during the 426-day observation period at 25 °C, we observed progressive but moderate changes in key stability indicators: zeta potential decreased from −40 mV to −22.1 mV, particle size increased from 92 nm to 127 nm, PDI rose from 0.052 to 0.124, these results suggest an overall reduction in stability, though the system remained relatively stable.
Notably, short-term storage (32 days) only caused minor alterations, suggesting good initial stability. Although visible red precipitation occurred after prolonged storage, the system maintained its redispersibility—gentle shaking readily restored a homogeneous, translucent colloidal dispersion. These findings demonstrate that the SeNPs possess satisfactory long-term stability for practical applications at room temperature (25 °C).

3.3.2. Effect of pH on SeNPs

As shown in Figure 3B, pH significantly influences the stability of SeNPs by altering their surface electrochemical properties and particle size, pH 2 exhibited the most pronounced effect on SeNPs stability, with corresponding particle size, zeta potential, and PDI values of 142 nm, −5 mV, and 0.076, respectively. Although the zeta potential decreased substantially, the PDI remained below 0.1, indicating that the dispersion stability was still favorable.
The lyophilized rose powder contains multiple components including soluble sugars and polyphenols, which are rich in functional groups such as carboxyl, amino, and hydroxyl groups. These groups dissociate in aqueous solution, generating negative charges. pH variations modify these surface charges, leading to the formation and breakage of chemical bonds between SeNPs, thereby affecting their aggregation or disaggregation behavior and ultimately influencing key stability parameters (zeta potential and particle size).
Notably, the SeNPs in this study demonstrated good stability within the pH range of 4–10, with minimal changes in particle size and zeta potential, indicating considerable pH tolerance. This observation suggests that the lyophilized rose powder may provide pH buffering capacity, helping to maintain relatively stable particle size distributions across different pH environments.

3.3.3. Effect of Ionic Species on SeNPs

The type and concentration of ions are crucial factors determining the stability of SeNPs in solution. To investigate these effects, we added varying concentrations of NaCl, KCl, and CaCl2 to SeNPs suspensions and evaluated changes in their colloidal properties through visual observation, particle size measurement, zeta potential analysis, and PDI determination. As shown in Figure 3C–E, the addition of NaCl and KCl maintained the clarity of SeNPs suspensions without visible precipitation. However, increasing NaCl concentrations gradually enlarged the particle size, decreased the absolute zeta potential values, and increased PDI values, indicating modified colloidal properties without causing aggregation or precipitation. KCl showed more pronounced effects than NaCl, at 10 mmol/L KCl concentration, the zeta potential remained unchanged compared to 5 mmol/L, but both particle size and PDI increased significantly. Notably, CaCl2 demonstrated the strongest destabilizing effects, causing immediate visible flocculation and a dramatic reduction in absolute zeta potential. At 200 mmol/L CaCl2, the particle size increased to 182 nm while PDI rose to 0.236, indicating substantially deteriorated dispersity and stability. These results clearly demonstrate that divalent Ca2+ ions exert much stronger electrostatic screening effects than monovalent Na+ and K+ ions, making SeNPs particularly sensitive to multivalent cations, with the stability following the hierarchy of NaCl < KCl < CaCl2. The findings highlight the importance of ionic environment control for maintaining SeNPs colloidal stability in practical applications.

3.4. Application of SeNPs in Crop Health and Disease Control

3.4.1. Effects on Tomato Growth and Metabolism

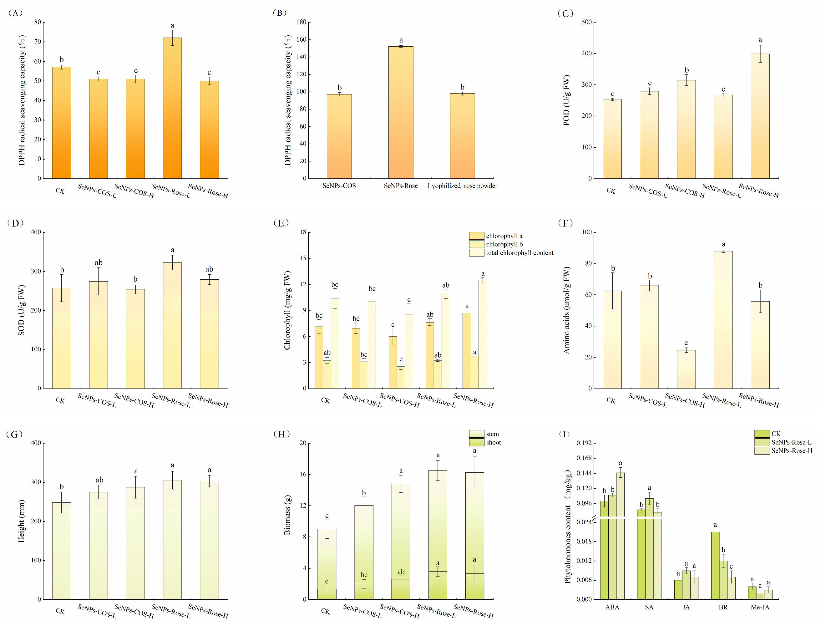
This study utilized two types of SeNPs synthesized with distinct stabilizers: chitooligosaccharides (designated as SeNPs-COS) and lyophilized rose powder (termed SeNPs-Rose). The results of the antioxidant capacity analysis revealed that although the lyophilized rose powder itself showed robust antioxidant activity, reaching 98%, SeNPs-Rose exhibited a notably higher antioxidant activity of 152%. This represented a 55% increase in antioxidant capacity compared to the pure rose extract. Additionally, SeNPs-Rose demonstrated superior antioxidant efficacy when compared to SeNPs-COS, which showed an antioxidant activity of 97%.
As shown in Figure 4A–D, physiological measurements conducted 24 h post-application demonstrated that low-concentration of SeNPs-Rose most effectively enhanced leaf antioxidant capacity, while both concentrations of SeNPs-COS and high-concentration of SeNPs-Rose showed relatively weaker effects. Similarly, low-concentration SeNPs-Rose preferentially stimulated SOD activity. POD activity remained unchanged under low-concentration SeNPs-Rose treatment but increased with high-concentration application.
Previous studies have indicated that SeNPs can influence crop photosynthesis [28]. As shown in Figure 4E, our findings revealed that low-concentration SeNPs-Rose more effectively increased chlorophyll content. Furthermore, as shown in Figure 4F, the nanoparticles significantly affected amino acid metabolism, with the low-concentration SeNPs-Rose treatment achieving 88 μmol/g fresh weight (FW)—a marked increase compared to the control group (63 μmol/g FW). Overall, SeNPs-Rose outperformed SeNPs-COS, with the low concentration demonstrating superior efficacy to the high concentration. These improvements in both growth parameters and the antioxidant system collectively promoted tomato growth.
One week after treatment, as shown in Figure 4G,H, measurements of biomass and plant height revealed that SeNPs-Rose significantly promoted the growth and biomass accumulation of tomato plants compared to the control group. Specifically, the low- and high-concentration SeNPs-Rose treatments increased the total plant weight by 84% and 81%, respectively, and the plant height by 23% and 22%, respectively. These results strongly indicate that SeNPs-Rose has a more pronounced effect on enhancing tomato health and growth performance. Our findings align well with previous research. As demonstrated by Liu et al., SeNPs treatment not only facilitates tomato growth, development, and maturation, and improves flavor quality, but may also effectively inhibit or control crop diseases [29].
Phytohormones are essential in plant stress responses, orchestrating intricate regulatory processes at morphological, physiological, biochemical, and molecular levels. Among them, BR, SA, ABA, JA and Me-JA have emerged as key regulators in developing stress-resistant crops. These phytohormones serve as effective strategies for plants to combat various biotic and abiotic stresses, highlighting their crucial role in modern agriculture and plant science research [30]. As shown in Figure 4I, our findings revealed that low-concentration SeNPs treatment significantly increased the levels of SA and JA, while high concentrations did not yield significant enhancements. In contrast, the high-concentration SeNPs treatment was more effective in elevating ABA content compared to the low concentration. Notably, as the SeNPs concentration increased, BR levels decreased significantly, whereas Me-JA levels remained unchanged. These results indicate that SeNPs exert concentration-dependent effects on phytohormone levels, underscoring the importance of determining optimal application rates for specific crops to maximize growth promotion and stress resistance.

3.4.2. In Vitro Antimicrobial Efficacy

Freshly prepared SeNPs were diluted to 10 mg/L and 1 mg/L for testing. As shown in Figure 5, at 10 mg/L, SeNPs exhibited strong inhibitory effects, with suppression rates of 94% against tomato gray mold (Botrytis cinerea), 89% against grape white rot (Coniella diplodiella), 77% against wheat stem base disease (Fusarium pseudograminearum), 70% against wheat root rot (Bipolaris sorokiniana), and 96% against wheat scab (Fusarium graminearum). These results demonstrate the significant antifungal activity of SeNPs against these pathogens. A clear dose-dependent response was observed, with markedly higher efficacy at 10 mg/L compared to the weaker inhibition at 1 mg/L. Consistent with previous findings, SeNPs effectively suppress Fusarium species, particularly inhibiting the growth and sporulation of F. culmorum and F. graminearum [31]. These findings indicate that the antifungal activity of SeNPs against these fungal pathogens is concentration-dependent, with significant inhibition observed only at higher concentrations (10 mg/L). This suggests that while SeNPs may not be effective as a standalone treatment at lower doses compared to conventional chemical fungicides, but rather could serve as a complementary approach for crop health management.
Using Botrytis cinerea as a model pathogen, concentration-gradient experiments determined an EC50 value of 4.86 mg/L for SeNPs, indicating potent antifungal activity. Comparative efficacy assessment with conventional fungicides demonstrated differential inhibition rates at 10 mg/L treatment: SeNPs achieved 94% pathogen suppression, approaching the performance of iprodione (98%) and surpassing boscalid (87%). Studies show that SeNPs and Me-JA together increase membrane permeability and lipid peroxidation in fungi, severely disrupting Botrytis cinerea cell function. This synergy reduces the fungus’ ability to infect tomatoes by inhibiting hyphal growth, spore germination, and delaying disease symptoms [32].
SeNPs demonstrate significant potential for sustainable crop protection through their dual capacity to enhance plant innate immunity and directly suppress pathogen growth. By simultaneously activating plant defense pathways and exerting antimicrobial effects, SeNPs enable significant reductions in synthetic pesticide use while supporting ecological farming practices.

4. Conclusions

This study establishes an innovative green synthesis method for SeNPs using lyophilized Rosa rugosa powder as a natural stabilizer. Through systematic optimization, we produced uniform, spherical SeNPs with well-defined properties. Characterization revealed the molecular mechanisms of non-covalent interactions between SeNPs and rose-derived bioactive compounds. This SeNPs exhibited remarkable environmental stability, maintaining colloidal integrity during long-term storage and across wide pH ranges, though their sensitivity to divalent cations requires consideration in field applications. In addition, these nanoparticles demonstrated dual functionality: enhancing tomato growth (increasing biomass and antioxidant capacity) while suppressing pathogenic fungi. These findings provide a sustainable nanotechnology solution for modern agriculture, combining plant growth promotion with disease control. Future research should address field-scale application parameters, ecological impacts, and potential synergies with other biological agents to maximize practical benefits.

Supplementary Materials

The following supporting information can be downloaded at: https://www.mdpi.com/article/10.3390/agronomy15102385/s1, Table S1: The mobile phase conditions of phytohormones analysis; Table S2: The mass spectrometric condition of these five phytohormones; Table S3: The Zeta-potential and particle size of SeNPs under different reaction matrix and conditions.

Author Contributions

Conceptualization, methodology, writing—reviewing and editing, funding acquisition, L.S. and Y.B.; investigation, M.L. and Y.W. All authors have read and agreed to the published version of the manuscript.

Funding

This research was funded by the Young Elite Scientist Sponsorship Program by BAST, grant number BYESS2024174; Shandong special fund for agro-scientific research in the public interest, grant number LNZZ2022055; Agricultural Science and Technology Innovation Project of Shandong Academy of Agricultural Sciences, grant number CXGC2025C17.

Data Availability Statement

The original contributions presented in this study are included in the article/Supplementary Material. Further inquiries can be directed to the corresponding author(s).

Acknowledgments

During the preparation of this manuscript, the author(s) used Deepseek, R1 for the purposes of grammar-based spelling check. The authors have reviewed and edited the output and take full responsibility for the content of this publication.

Conflicts of Interest

The authors declare no conflicts of interest.

References

  1. Cai, S.; Liu, X.; Yue, M.; Liu, X.; Yuan, Z.; Xu, F.; Cheng, S.; Rao, S. Comparative Study on Selenium Content and Nutritional Quality of Five Different Varieties of White Tea. Food Chem. X 2025, 26, 102282. [Google Scholar] [CrossRef] [PubMed]
  2. Devi, M.S.; Srinivasan, S.; Muthuvel, A. Selenium Nanomaterial Is a Promising Nanotechnology for Biomedical and Environmental Remediation: A Detailed Review. Biocatal. Agric. Biotechnol. 2023, 51, 102766. [Google Scholar] [CrossRef]
  3. Fernandes, R.; Medrano-Padial, C.; Dias-Costa, R.; Domínguez-Perles, R.; Botelho, C.; Fernandes, R.; Barros, A.N. Grape Stems as Sources of Tryptophan and Selenium: Functional Properties and Antioxidant Potential. Food Chem. X 2025, 26, 102260. [Google Scholar] [CrossRef] [PubMed]
  4. Zhang, L.; Song, H.; Guo, Y.; Fan, B.; Huang, Y.; Mao, X.; Liang, K.; Hu, Z.; Sun, X.; Fang, Y.; et al. Benefit–Risk Assessment of Dietary Selenium and Its Associated Metals Intake in China (2017–2019): Is Current Selenium-Rich Agro-Food Safe Enough? J. Hazard. Mater. 2020, 398, 123224. [Google Scholar] [CrossRef]
  5. Hussain, A.; Lakhan, M.N.; Hanan, A.; Soomro, I.A.; Ahmed, M.; Bibi, F.; Zehra, I. Recent Progress on Green Synthesis of Selenium Nanoparticles—A Review. Mater. Today Sustain. 2023, 23, 100420. [Google Scholar] [CrossRef]
  6. Nam, N.T.H.; Truong, D.P.; An, T.T.V.; Huong, Q.T.T.; Tuyen, N.N.K.; An, H.; Hai, N.D.; Tinh, N.T.; Linh, N.L.K.; Quynh, N.T.T.; et al. Biological Activity Prospects of Selenium-Decorated Graphene Oxide Composite by Green Synthesis Using Sesbania sesban Flower Extract. Diam. Relat. Mater. 2024, 141, 110563. [Google Scholar] [CrossRef]
  7. Prasad, K.S.; Patel, H.; Patel, T.; Patel, K.; Selvaraj, K. Biosynthesis of Se Nanoparticles and Its Effect on UV-Induced DNA Damage. Colloids Surf. B Biointerfaces 2013, 103, 261–266. [Google Scholar] [CrossRef]
  8. Wang, T.; Zhao, H.; Bi, Y.; Fan, X. Preparation and Antioxidant Activity of Selenium Nanoparticles Decorated by Polysaccharides from Sargassum fusiforme. J. Food Sci. 2021, 86, 977–986. [Google Scholar] [CrossRef]
  9. Gunti, L.; Dass, R.S.; Kalagatur, N.K. Phytofabrication of Selenium Nanoparticles From Emblica officinalis Fruit Extract and Exploring Its Biopotential Applications: Antioxidant, Antimicrobial, and Biocompatibility. Front. Microbiol. 2019, 10, 931. [Google Scholar] [CrossRef]
  10. Sowndarya, P.; Ramkumar, G.; Shivakumar, M.S. Green Synthesis of Selenium Nanoparticles Conjugated Clausena dentata Plant Leaf Extract and Their Insecticidal Potential against Mosquito Vectors. Artif. Cells Nanomed. Biotechnol. 2017, 45, 1490–1495. [Google Scholar] [CrossRef]
  11. Satgurunathan, T.; Bhavan, P.S.; Kalpana, R.; Jayakumar, T.; Sheu, J.-R.; Manjunath, M. Influence of Garlic (Allium sativum) Clove-Based Selenium Nanoparticles on Status of Nutritional, Biochemical, Enzymological, and Gene Expressions in the Freshwater Prawn Macrobrachium Rosenbergii (De Man, 1879). Biol. Trace Elem. Res. 2023, 201, 2036–2057. [Google Scholar] [CrossRef]
  12. D’Amato, R.; Regni, L.; Falcinelli, B.; Mattioli, S.; Benincasa, P.; Dal Bosco, A.; Pacheco, P.; Proietti, P.; Troni, E.; Santi, C.; et al. Current Knowledge on Selenium Biofortification to Improve the Nutraceutical Profile of Food: A Comprehensive Review. J. Agric. Food Chem. 2020, 68, 4075–4097. [Google Scholar] [CrossRef]
  13. Khai, H.D.; Mai, N.T.N.; Tung, H.T.; Luan, V.Q.; Cuong, D.M.; Ngan, H.T.M.; Chau, N.H.; Buu, N.Q.; Vinh, N.Q.; Dung, D.M.; et al. Selenium Nanoparticles as in Vitro Rooting Agent, Regulates Stomata Closure and Antioxidant Activity of Gerbera to Tolerate Acclimatization Stress. Plant Cell Tiss. Organ. Cult. 2022, 150, 113–128. [Google Scholar] [CrossRef]
  14. Shi, M.-T.; Zhang, T.-J.; Fang, Y.; Pan, C.-P.; Fu, H.-Y.; Gao, S.-J.; Wang, J. Nano-Selenium Enhances Sugarcane Resistance to Xanthomonas albilineans Infection and Improvement of Juice Quality. Ecotoxicol. Environ. Saf. 2023, 254, 114759. [Google Scholar] [CrossRef]
  15. Ikram, M.; Raja, N.I.; Mashwani, Z.-U.-R.; Omar, A.A.; Mohamed, A.H.; Satti, S.H.; Zohra, E. Phytogenic Selenium Nanoparticles Elicited the Physiological, Biochemical, and Antioxidant Defense System Amelioration of Huanglongbing-Infected ‘Kinnow’ Mandarin Plants. Nanomaterials 2022, 12, 356. [Google Scholar] [CrossRef] [PubMed]
  16. Shang, H.; Ma, C.; Li, C.; Cai, Z.; Shen, Y.; Han, L.; Wang, C.; Tran, J.; Elmer, W.H.; White, J.C.; et al. Aloe Vera Extract Gel-Biosynthesized Selenium Nanoparticles Enhance Disease Resistance in Lettuce by Modulating the Metabolite Profile and Bacterial Endophytes Composition. ACS Nano 2023, 17, 13672–13684. [Google Scholar] [CrossRef] [PubMed]
  17. Gong, H.; Wang, Y.; Pan, L.; Liu, Y.; Xu, W.; Zhai, H.; Zhang, Y.; Shao, H.; Tang, G.; Ge, C. Transformation and Accumulation of Selenium Nanoparticles in the Soil-Rice System under Different Water Management. Ecotoxicol. Environ. Saf. 2025, 291, 117880. [Google Scholar] [CrossRef] [PubMed]
  18. Bian, Y.; Pan, J.; Gao, D.; Feng, Y.; Zhang, B.; Song, L.; Wang, L.; Ma, X.; Liang, L. Bioactive Metabolite Profiles and Quality of Rosa rugosa during Its Growing and Flower-Drying Process. Food Chem. 2024, 450, 139388. [Google Scholar] [CrossRef]
  19. Li, J.-M.; Wang, W.-J.; Chen, H.; Lin, S.-Y.; Mao, X.-Y.; Yu, J.-M.; Chen, L.-L. Characterization, in Vitro Antioxidant Activity and Stability of Cattle Bone Collagen Peptides-selenium Chelate. Food Chem. X 2024, 23, 101789. [Google Scholar] [CrossRef]
  20. Rodriguez-Loya, J.; Lerma, M.; Gardea-Torresdey, J.L. Dynamic Light Scattering and Its Application to Control Nanoparticle Aggregation in Colloidal Systems: A Review. Micromachines 2023, 15, 24. [Google Scholar] [CrossRef]
  21. Kundrat, V.; Bukvisova, K.; Novak, L.; Prucha, L.; Houben, L.; Zalesak, J.; Vukusic, A.; Holec, D.; Tenne, R.; Pinkas, J. W18 O49 Nanowhiskers Decorating SiO2 Nanofibers: Lessons from In Situ SEM/TEM Growth to Large Scale Synthesis and Fundamental Structural Understanding. Cryst. Growth Des. 2024, 24, 378–390. [Google Scholar] [CrossRef]
  22. Gong, Y.; Chen, X.; Wu, W. Application of Fourier Transform Infrared (FTIR) Spectroscopy in Sample Preparation: Material Characterization and Mechanism Investigation. Adv. Sample Prep. 2024, 11, 100122. [Google Scholar] [CrossRef]
  23. Chen, W.; Li, X.; Cheng, H.; Xia, W. Chitosan-Based Selenium Composites as Potent Se Supplements: Synthesis, Beneficial Health Effects, and Applications in Food and Agriculture. Trends Food Sci. Technol. 2022, 129, 339–352. [Google Scholar] [CrossRef]
  24. Chen, Y.; Stoll, S.; Sun, H.; Liu, X.; Liu, W.; Leng, X. Stability and Surface Properties of Selenium Nanoparticles Coated with Chitosan and Sodium Carboxymethyl Cellulose. Carbohydr. Polym. 2022, 278, 118859. [Google Scholar] [CrossRef] [PubMed]
  25. Chen, S.; Wang, L.; Rong, S.; Duan, Y.; Wang, H. Extraction, Purification, Chemical Characterization, and in Vitro Hypoglycemic Activity of Polysaccharides Derived from Rosa laevigata Michx. Int. J. Biol. Macromol. 2024, 279, 135116. [Google Scholar] [CrossRef] [PubMed]
  26. Hao, H.; Cui, C.; Xing, Y.; Jia, X.; Ma, B.; Kang, W.; Li, T.; Gao, M.; Xu, C. Sulfation of the Extracellular Polysaccharide from the Edible Fungus Stropharia rugosoannulata with Its Antioxidant Activity. J. Future Foods 2023, 3, 37–42. [Google Scholar] [CrossRef]
  27. Song, J.; Zhou, J.; Li, X.; Li, P.; Tian, G.; Zhang, C.; Zhou, D. Nano-Selenium Stablilized by Konjac glucommannan and Its Biological Activity in Vitro. LWT 2022, 161, 113289. [Google Scholar] [CrossRef]
  28. Wei, L.; Ji, L.; Rico, C.; He, C.; Shakoor, I.; Fakunle, M.; Lu, X.; Xia, Y.; Hou, Y.; Hong, J. Transcriptomics Reveals the Pathway for Increasing Brassica chinensis L. Yield under Foliar Application of Titanium Oxide Nanoparticles. J. Agric. Food Chem. 2024, 72, 18957–18970. [Google Scholar] [CrossRef]
  29. Liu, R.; Li, B.; Liu, Y.; Pan, C.; Zhou, Z.; Diao, J.; Zhang, Y. Selenium Nanoparticle Alleviates Penthiopyrad-Induced Oxidative Stress and Restores the Development and Flavor Quality of Tomato Fruit. J. Food Compos. Anal. 2024, 130, 106142. [Google Scholar] [CrossRef]
  30. Altaf, M.A.; Shahid, R.; Kumar, R.; Altaf, M.M.; Kumar, A.; Khan, L.U.; Saqib, M.; Nawaz, M.A.; Saddiq, B.; Bahadur, S.; et al. Phytohormones Mediated Modulation of Abiotic Stress Tolerance and Potential Crosstalk in Horticultural Crops. J. Plant Growth Regul. 2023, 42, 4724–4750. [Google Scholar] [CrossRef]
  31. El-Saadony, M.T.; Saad, A.M.; Najjar, A.A.; Alzahrani, S.O.; Alkhatib, F.M.; Shafi, M.E.; Selem, E.; Desoky, E.-S.M.; Fouda, S.E.E.; El-Tahan, A.M.; et al. The Use of Biological Selenium Nanoparticles to Suppress Triticum aestivum L. Crown and Root Rot Diseases Induced by Fusarium Species and Improve Yield under Drought and Heat Stress. Saudi J. Biol. Sci. 2021, 28, 4461–4471. [Google Scholar] [CrossRef]
  32. Domínguez, I.; Ferreres, F.; Pascual Del Riquelme, F.; Font, R.; Gil, M.I. Influence of Preharvest Application of Fungicides on the Postharvest Quality of Tomato (Solanum lycopersicum L.). Postharvest Biol. Technol. 2012, 72, 1–10. [Google Scholar] [CrossRef]
Figure 1. Optimization of SeNPs synthesis conditions. (A) Effect of Na2SeO3-to-VC ratio; (B) Influence of STPP concentration; (C) Impact of reaction temperature; (D) Effect of lyophilized rose powder content. Data bars marked with different letters are significantly different (p < 0.05, Tukey’s HSD test).
Figure 1. Optimization of SeNPs synthesis conditions. (A) Effect of Na2SeO3-to-VC ratio; (B) Influence of STPP concentration; (C) Impact of reaction temperature; (D) Effect of lyophilized rose powder content. Data bars marked with different letters are significantly different (p < 0.05, Tukey’s HSD test).
Agronomy 15 02385 g001
Figure 2. Characterization of the SeNPs. (A) UV-Vis spectra of VC at different dialysis durations; (B) UV-Vis absorption profile of SeNPs; (C) The average particle size; (D) Zeta potential analysis; (E) SEM image; (F) TEM image; (G) FTIR spectrum of lyophilized rose powder and SeNPs.
Figure 2. Characterization of the SeNPs. (A) UV-Vis spectra of VC at different dialysis durations; (B) UV-Vis absorption profile of SeNPs; (C) The average particle size; (D) Zeta potential analysis; (E) SEM image; (F) TEM image; (G) FTIR spectrum of lyophilized rose powder and SeNPs.
Agronomy 15 02385 g002
Figure 3. Stability assessment of SeNPs under various conditions. (A) Long-term storage stability; (B) pH tolerance; (CE) Effects of NaCl, KCl, and CaCl2 on colloidal stability. Data bars marked with different letters are significantly different (p < 0.05, Tukey’s HSD test).
Figure 3. Stability assessment of SeNPs under various conditions. (A) Long-term storage stability; (B) pH tolerance; (CE) Effects of NaCl, KCl, and CaCl2 on colloidal stability. Data bars marked with different letters are significantly different (p < 0.05, Tukey’s HSD test).
Agronomy 15 02385 g003
Figure 4. Effects of SeNPs on tomato growth and metabolism. (A) DPPH radical scavenging capacity in leaves; (B) Comparative antioxidant activity (DPPH assay) of SeNPs and rose powder; (C) POD activity; (D) SOD activity; (E) Chlorophyll content; (F) Amino acid levels; (G) Plant height; (H) Biomass yield; (I) Phytohormone concentrations. Data bars marked with different letters are significantly different (p < 0.05, Tukey’s HSD test).
Figure 4. Effects of SeNPs on tomato growth and metabolism. (A) DPPH radical scavenging capacity in leaves; (B) Comparative antioxidant activity (DPPH assay) of SeNPs and rose powder; (C) POD activity; (D) SOD activity; (E) Chlorophyll content; (F) Amino acid levels; (G) Plant height; (H) Biomass yield; (I) Phytohormone concentrations. Data bars marked with different letters are significantly different (p < 0.05, Tukey’s HSD test).
Agronomy 15 02385 g004
Figure 5. In vitro antifungal activity of SeNPs against common phytopathogens and comparison with fungicides. (A) Grape white rot (Coniella diplodiella); (B) Wheat crown rot (Fusarium pseudograminearum); (C) Wheat root rot (Bipolaris sorokiniana); (D) Wheat scab (Fusarium graminearum); (E) Comparison of the antifungal effects of SeNPs, iprodione and boscalid on tomato gray mold (Botrytis cinerea). The concentration of SeNPs-L and SeNPs-H were 1 and 10 mg/L, respectively.
Figure 5. In vitro antifungal activity of SeNPs against common phytopathogens and comparison with fungicides. (A) Grape white rot (Coniella diplodiella); (B) Wheat crown rot (Fusarium pseudograminearum); (C) Wheat root rot (Bipolaris sorokiniana); (D) Wheat scab (Fusarium graminearum); (E) Comparison of the antifungal effects of SeNPs, iprodione and boscalid on tomato gray mold (Botrytis cinerea). The concentration of SeNPs-L and SeNPs-H were 1 and 10 mg/L, respectively.
Agronomy 15 02385 g005
Disclaimer/Publisher’s Note: The statements, opinions and data contained in all publications are solely those of the individual author(s) and contributor(s) and not of MDPI and/or the editor(s). MDPI and/or the editor(s) disclaim responsibility for any injury to people or property resulting from any ideas, methods, instructions or products referred to in the content.

Share and Cite

MDPI and ACS Style

Song, L.; Liang, M.; Wang, Y.; Bian, Y. Biosynthesis of Selenium Nanoparticles from Rosa rugosa Extract: Mechanisms and Applications for Sustainable Crop Protection. Agronomy 2025, 15, 2385. https://doi.org/10.3390/agronomy15102385

AMA Style

Song L, Liang M, Wang Y, Bian Y. Biosynthesis of Selenium Nanoparticles from Rosa rugosa Extract: Mechanisms and Applications for Sustainable Crop Protection. Agronomy. 2025; 15(10):2385. https://doi.org/10.3390/agronomy15102385

Chicago/Turabian Style

Song, Le, Man Liang, Yingxiu Wang, and Yanli Bian. 2025. "Biosynthesis of Selenium Nanoparticles from Rosa rugosa Extract: Mechanisms and Applications for Sustainable Crop Protection" Agronomy 15, no. 10: 2385. https://doi.org/10.3390/agronomy15102385

APA Style

Song, L., Liang, M., Wang, Y., & Bian, Y. (2025). Biosynthesis of Selenium Nanoparticles from Rosa rugosa Extract: Mechanisms and Applications for Sustainable Crop Protection. Agronomy, 15(10), 2385. https://doi.org/10.3390/agronomy15102385

Note that from the first issue of 2016, this journal uses article numbers instead of page numbers. See further details here.

Article Metrics

Back to TopTop