Evaluating the Performance of Winter Wheat Under Late Sowing Using UAV Multispectral Data
Abstract
1. Introduction
2. Materials and Methods
2.1. Field Experiments
2.2. Quantification of the Tolerance to Late Sowing in Wheat
2.3. Multispectral Data Acquisition
2.4. Feature Selection
2.5. Modeling and Validation
2.6. Evaluation Indices
3. Results
3.1. Remote Sensing Characteristics of Late-Sown Wheat
3.2. Results of Feature Selection
3.3. Results of Modeling
3.4. Classification Results of Wheat Levels with Different Tolerance Levels to Late Sowing
3.5. Feature Contribution Ranking for the Best Model
3.6. Rapid Identification of Late Sowing Tolerance
4. Discussion
4.1. Difference in Growth Stages
4.2. Application Potential of the Proposed Method in Selecting Wheat Varieties Suitable for Late Sowing
4.3. Application Potential of the Proposed Method in Late-Sown Wheat Breeding
4.4. Influence of Different Types of Remote Sensing Data
5. Conclusions
Supplementary Materials
Author Contributions
Funding
Data Availability Statement
Acknowledgments
Conflicts of Interest
References
- Ghazouani, H.; Jabnoun, R.; Harzallah, A.; Ibrahimi, K.; Amami, R.; Boughattas, I.; Milham, P.; Ghfar, A.A.; Provenzano, G.; Sher, F. Projected long-term climate change impacts on rainfed durum wheat production and sustainable adaptation strategies. J. Clean. Prod. 2025, 494, 144980. [Google Scholar] [CrossRef]
- Liu, Z.Y.; Cammarano, D.; Liu, X.J.; Tian, Y.C.; Zhu, Y.; Cao, W.X.; Cao, Q. Winter wheat yield responses to growing degree days: Long-term trends and adaptability in major producing areas of China. Ecol. Indic. 2025, 170, 113058. [Google Scholar] [CrossRef]
- Yousefi, A.; Koocheki, A.; Mahallati, M.N.; Khorramdel, S.; Trenz, J.; Malakshahi, K.A.; Ludewig, U.; Maywald, N.J. Adapting wheat production to global warming in West Asia: Facultative wheat outperforms winter and spring wheat at conventional nitrogen levels. Food Energy Secur. 2025, 14, e70072. [Google Scholar] [CrossRef]
- Ding, J.F.; Liang, P.; Wu, P.; Zhu, M.; Li, C.Y.; Zhu, X.K.; Gao, D.R.; Chen, Y.L.; Guo, W.S. Effects of waterlogging on grain yield and associated traits of historic wheat cultivars in the middle and lower reaches of the Yangtze River, China. Field Crops Res. 2020, 246, 107695. [Google Scholar] [CrossRef]
- Ma, Y.Z.; Qiao, Y.F.; Tang, Y.J.; Wu, Y.; Miao, S.J. Estimation of N2O and CH4 emissions in field study and DNDC model under optimal nitrogen level in rice-wheat rotation system. Sci. Total Environ. 2025, 974, 179168. [Google Scholar] [CrossRef]
- Liu, K.; Harrison, M.T.; Wang, B.; Yang, R.; Yan, H.L.; Zou, J.; Liu, D.L.; Meinke, H.; Tian, X.H.; Ma, S.Y.; et al. Designing high-yielding wheat crops under late sowing: A case study in southern China. Agron. Sustain. Dev. 2022, 42, 29. [Google Scholar] [CrossRef]
- Wang, S.; Niu, Y.X.; Shang, L.; Li, Z.Y.; Lin, X.; Wang, D. Supplemental irrigation at the jointing stage of late sown winter wheat for increased production and water use efficiency. Field Crops Res. 2023, 302, 109069. [Google Scholar] [CrossRef]
- Zhang, Z.Z.; Cheng, S.; Fan, P.; Zhou, N.B.; Xing, Z.P.; Hu, Y.J.; Xu, F.F.; Guo, B.W.; Wei, H.Y.; Zhang, H.C. Effects of sowing date and ecological points on yield and the temperature and radiation resources of semi-winter wheat. J. Integr. Agric. 2023, 22, 1366–1380. [Google Scholar] [CrossRef]
- Singh, S.; Gupta, A.K.; Gupta, S.K.; Kaur, N. Effect of sowing time on protein quality and starch pasting characteristics in wheat (Triticum aestivum L.) genotypes grown under irrigated and rain-fed conditions. Food Chem. 2010, 122, 559–565. [Google Scholar] [CrossRef]
- Baloch, M.; Shah, I.; Nadim, M.; Khan, I.; Abdul, A.K. Effect of seeding density and planting time on growth and yield attributes of wheat. J. Anim. Plant Sci. 2010, 20, 239–240. [Google Scholar]
- Dubey, R.; Pathak, H.; Singh, S.; Chakravarti, B.; Thakur, A.K.; Fagodia, R.K. Impact of sowing dates on terminal heat tolerance of different wheat (Triticum aestivum L.) Cultivars. Natl. Acad. Sci. Lett. 2019, 42, 445–449. [Google Scholar] [CrossRef]
- Duchemin, B.; Fieuzal, R.; Rivera, M.A.; Ezzahar, J.; Jarlan, L.; Rodriguez, J.C.; Hagolle, O.; Watts, C. Impact of sowing date on yield and water use efficiency of wheat analyzed through spatial modeling and FORMOSAT-2 images. Remote Sens. 2015, 7, 5951–5979. [Google Scholar] [CrossRef]
- Shah, F.; Coulter, J.A.; Ye, C.; Wu, W. Yield penalty due to delayed sowing of winter wheat and the mitigatory role of increased seeding rate. Eur. J. Agron. 2020, 119, 126120. [Google Scholar] [CrossRef]
- Tian, W.Q.; Chen, G.Z.; Zhang, Q.B.; Zhang, Z.L.; Zhang, J.; YU, S.; Shi, S.B.; Zhang, J.S. Can increased density compensate for extremely late-sown wheat yield? Agronomy 2025, 15, 607. [Google Scholar] [CrossRef]
- Spink, J.H.; Semere, T.; Sparkes, D.L.; Whaley, J.M.; Foulkes, M.J.; Clare, R.W.; Scott, R.K. Effect of sowing date on the optimum plant density of winter wheat. Ann. Appl. Biol. 2000, 137, 179–188. [Google Scholar] [CrossRef]
- Bock, C.H.; Barbedo, J.G.A.; Del Ponte, E.M.; Bohnenkamp, D.; Mahlein, A.K. From visual estimates to fully automated sensor-based measurements of plant disease severity: Status and challenges for improving accuracy. Phytopathol. Res. 2020, 2, 9. [Google Scholar] [CrossRef]
- Chivasa, W.; Mutanga, O.; Burgueño, J. UAV-based high-throughput phenotyping to increase prediction and selection accuracy in maize varieties under artificial MSV inoculation. Comput. Electron. Agric. 2021, 184, 106128. [Google Scholar] [CrossRef]
- Qin, W.L.; Wang, J.; Ma, L.F.; Wang, F.L.; Hu, N.Y.; Yang, X.Y.; Xiao, Y.Y.; Zhang, Y.H.; Sun, Z.C.; Wang, Z.M.; et al. 2 UAV-based multi-temporal thermal imaging to evaluate wheat drought resistance in different deficit irrigation regimes. Remote Sens. 2022, 14, 5608. [Google Scholar] [CrossRef]
- Ma, H.Q.; Huang, W.J.; Dong, Y.Y.; Liu, L.Y.; Guo, A.T. Using UAV-Based Hyperspectral Imagery to Detect Winter Wheat Fusarium Head Blight. Remote Sens. 2021, 13, 3024. [Google Scholar] [CrossRef]
- Morellos, A.; Pantazi, X.E.; Almoujahed, M.B.; Kriaučiūnienė, Z.; Kazlauskas, M.; Šarauskis, E.; Mouazen, A.M. Forecasting of Fusarium head blight spatial distribution in winter wheat using machine learning. Comput. Electron. Agric. 2025, 231, 109967. [Google Scholar] [CrossRef]
- Hairmansis, A.; Berger, B.; Tester, M.; Roy, S.J. Image-based phenotyping for non-destructive screening of different salinity tolerance traits in rice. Rice 2014, 7, 16. [Google Scholar] [CrossRef]
- Zhang, P.; Zhou, Z.B.; Huang, H.S.; Yang, Y.Z.; Hu, X.C.; Zhuang, J.J.; Tang, Y. Hybrid integrated feature fusion of handcrafted and deep features for rice blast resistance identification using UAV imagery. IEEE J. Sel. Top. Appl. Earth Obs. Remote Sens. 2025, 18, 7304–7317. [Google Scholar] [CrossRef]
- Duarte-Carvajalino, J.M.; Alzate, D.F.; Ramirez, A.A.; Santa-Sepulveda, J.D.; Fajardo-Rojas, A.E.; Soto-Suárez, M. Evaluating late blight severity in potato crops using unmanned aerial vehicles and machine learning algorithms. Remote Sens. 2018, 10, 1513. [Google Scholar] [CrossRef]
- Laura, D.; Urrutia, E.P.; Salazar, F.; Ureña, J.; Moreno, R.; Machado, G.; Cazorla-Logroño, M.; Altamirano, S. Aerial remote sensing system to control pathogens and diseases in broccoli crops with the use of artificial vision. Smart Agric. Technol. 2025, 10, 100739. [Google Scholar] [CrossRef]
- Bapela, T.; Shimelis, H.; Terefe, T.; Bourras, S.; Sánchez-Martín, J.; Douchkov, D.; Desiderio, F.; Tsilo, T.J. Breeding wheat for powdery mildew resistance: Genetic resources and methodologies—A review. Agronomy 2023, 13, 1173. [Google Scholar] [CrossRef]
- Hamdane, Y.; Segarra, J.; Buchaillot, M.L.; Rezzouk, F.Z.; Gracia-Romero, A.; Vatter, T.; Benfredj, N.; Hameed, R.A.; Gutiérrez, N.A.; Torró Torró, I.; et al. Using ground and UAV vegetation indexes for the selection of fungal-resistant bread wheat varieties. Drones 2023, 7, 454. [Google Scholar] [CrossRef]
- Kumar, V.U.; Hazra, S.; Gorai, S.; Maji, A.; Ali, N.; Pal, A.K. Screening of wheat genotypes with heat susceptibility indices for yield and it attributing characters under different sowing conditions. Int. J. Bio-Resour. Stress. Manag. 2025, 16, 1–13. [Google Scholar] [CrossRef]
- Loladze, A.; Rodrigues, F.A.; Petroli, C.D.; Muñoz-Zavala, C.; Naranjo, S.; San Vicente, F.; GerarD, B.; Montesinos-Lopez, O.A.; Crossa, J.; Martini, J.W.R. Use of remote sensing for linkage mapping and genomic prediction for common rust resistance in maize. Field Crops Res. 2024, 308, 109281. [Google Scholar] [CrossRef]
- Tapia, R.; Abd-Elrahman, A.; Osorio, L.; Whitaker, V.M.; Lee, S. Combining canopy reflectance spectrometry and genome-wide prediction to increase response to selection for powdery mildew resistance in cultivated strawberry. J. Exp. Bot. 2022, 73, 5322–5335. [Google Scholar] [CrossRef]
- Chapu, I.; Chandel, A.; Sie, E.K.; Okello, D.K.; Oteng-Frimpong, R.; Okello, R.C.O.; Hoisington, D.; Balota, M. Comparing regression and classification models to estimate leaf spot disease in peanut (Arachis hypogaea L.) for implementation in breeding selection. Agronomy 2024, 14, 947. [Google Scholar] [CrossRef]
- Yang, C.; Yang, G.J.; Wang, H.R.; Li, S.M.; Zhang, J.P.; Pan, D.; Ren, P.T.; Feng, H.K.; Li, H.L. Identifying key traits for screening high-yield soybean varieties by combining UAV-based and field phenotyping. Remote Sens. 2025, 17, 690. [Google Scholar] [CrossRef]
- Huang, J.H.; Wen, H.J.; Hu, J.W.; Liu, B.; Zhou, X.Z.; Liao, M.Y. Deciphering decision-making mechanisms for the susceptibility of different slope geohazards: A case study on a SMOTE-RF-SHAP hybrid model. J. Rock. Mech. Geotech. Eng. 2025, 17, 1612–1630. [Google Scholar] [CrossRef]
- Yildirim, M.; Koç, M.; Akinci, C.; Barutçular, C. Variations in morphological and physiological traits of bread wheat diallel crosses under timely and late sowing conditions. Field Crops Res. 2013, 140, 9–17. [Google Scholar] [CrossRef]
- Thiry, A.A.; Chavez Dulanto, P.N.; Reynolds, M.P.; Davies, W.J. How can we improve crop genotypes to increase stress resilience and productivity in a future climate? A new crop screening method based on productivity and resistance to abiotic stress. J. Exp. Bot. 2016, 67, 5593–5603. [Google Scholar] [CrossRef]
- Basheir, S.M.O.; Hong, Y.; Lv, C.; Xu, H.; Zhu, J.; Guo, B.; Wang, F.; Xu, R. Identification of wheat germplasm resistance to late sowing. Agronomy 2023, 13, 1010. [Google Scholar] [CrossRef]
- Singh, N.B.; Singh, Y.P.; Singh, V.P.N. Variation in physiological traits in promising wheat varieties under late sown condition. Indian J. Plant Physiol. 2005, 10, 171–175. [Google Scholar]
- Anche, M.T.; Kaczmar, N.S.; Morales, N.; Clohessy, J.W.; Ilut, D.C.; Gore, M.A.; Robbins, K.T. Temporal covariance structure of multispectral phenotypes and their predictive ability for end-of-season traits in maize. Theor. Appl. Genet. 2020, 133, 2853–2868. [Google Scholar] [CrossRef] [PubMed]
- El-Hendawy, S.; Al-Suhaibani, N.; Al-Ashkar, I.; Alotaibi, M.; Tahir, M.U.; Solieman, T.; Hassan, W.M. Combining genetic analysis and multivariate modeling to evaluate spectral reflectance indices as indirect selection tools in wheat breeding under water deficit stress conditions. Remote Sens. 2020, 12, 1480. [Google Scholar] [CrossRef]
- Tao, X.; Li, Y.; Yan, W.; Wang, M.; Tan, Z.; Jiang, J.; Luan, Q. Heritable variation in tree growth and needle vegetation indices of slash pine (pinus elliottii) using unmanned aerial vehicles (UAVs). Ind. Crops Prod. 2021, 173, 114073. [Google Scholar] [CrossRef]
- Cossani, C.M.; Reynolds, M.P. Physiological traits for improving heat tolerance in wheat. Plant Physiol. 2012, 160, 1710–1718. [Google Scholar] [CrossRef]
- Poudel, P.B.; Mukti, R.P. Heat stress effects and tolerance in wheat: A review. J. Biol. Todays World 2020, 9, 217. [Google Scholar]
- Lei, D.; Zhi, H.M.; Xiao, J.L.; Zhuo, W.H.; Fu, Z.D.; Ya, N.Y. UAV-Based Multispectral Remote Sensing for Precision Agriculture: A Comparison between Different Cameras. ISPRS J. Photogramm. Remote Sens. 2018, 146, 124–136. [Google Scholar] [CrossRef]











| Growth Stages | VIs |
|---|---|
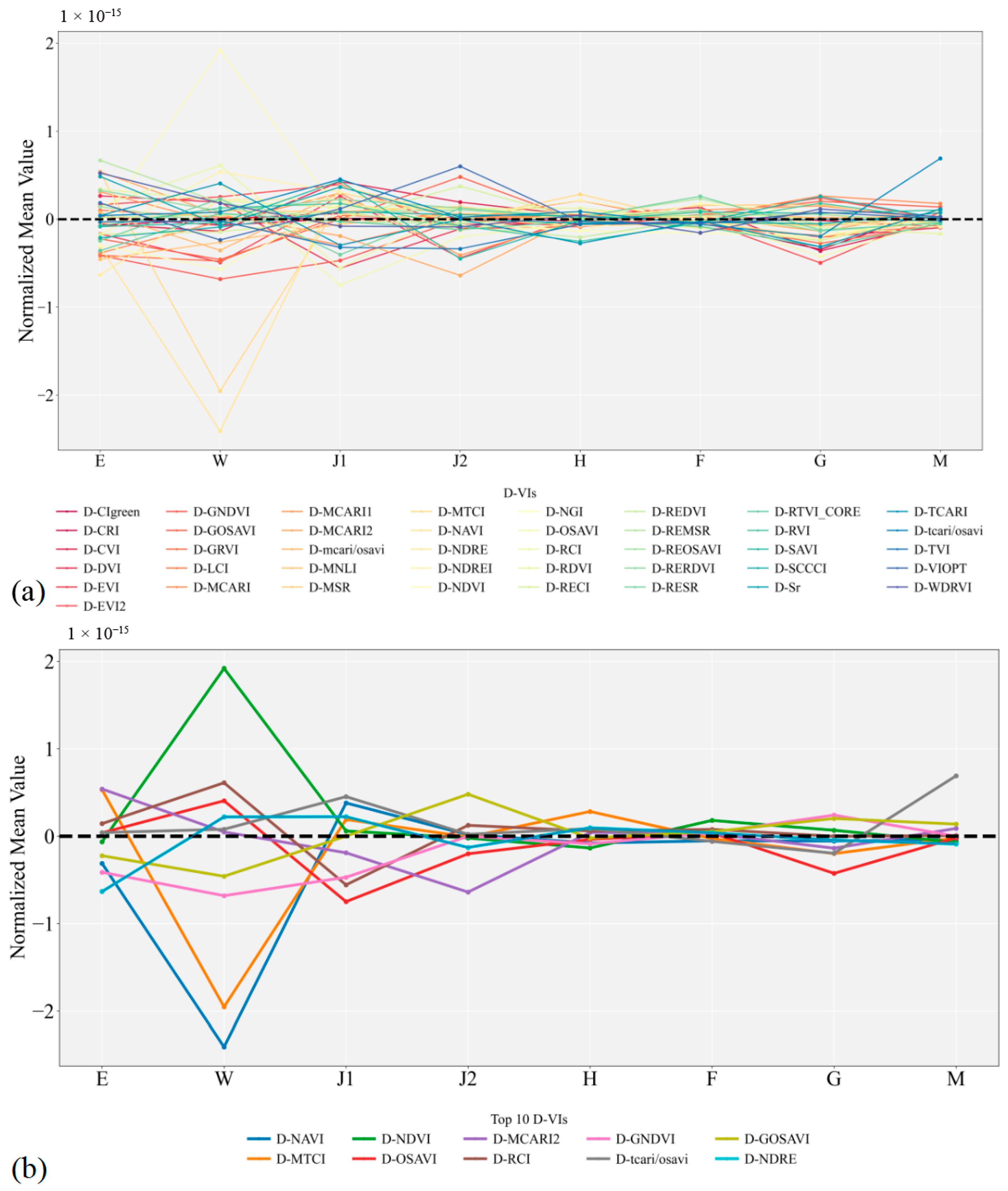
| E | D-CIgreen (0.0314), D-CVI (0.0425), D-MCARI (0.0303), D-MSR (0.0340), D-MTCI (0.0353), D-NAVI (0.0358), D-NDREI (0.0349), D-RESR (0.0302), D-Sr (0.0315) |
| W | D-CRI (0.0473), D-GRVI (0.0309), D-LCI (0.0391), D-MCARI (0.0329), D-NAVI (0.0306), D-NDRE (0.0304), D-REDVI (0.0421), D-RTVI_CORE (0.0339), D-SCCCI (0.0422) |
| J1 | D-CIgreen (0.0314), D-CVI (0.0425), D-MCARI (0.0303), D-MSR (0.0340), D-MTCI (0.0353), D-NAVI (0.0358), D-NDREI (0.0349), D-REMSR (0.0302), D-Sr (0.0315) |
| J2 | D-CIgreen (0.0309), D-CRI (0.0324), D-CVI (0.0380), D-LCI (0.0314), D-MCARI (0.0347), D-NDRE (0.0351), D-NDREI (0.0326), D-NGI (0.0308), D-RECI (0.0314), D-REDVI (0.0304), D-REMSR (0.0340), D-REOSAVI (0.0305), D-RESR (0.0368), D-SCCCI (0.0404), D-Sr (0.0307), D-TCARI (0.0309), D-tcari/osavi (0.0304), D-mcari/osavi (0.0385) |
| H | D-GOSAVI (0.0309), D-GRVI (0.0471), D-NAVI (0.0323), D-Sr (0.0358), D-tcari/osavi (0.054) |
| F | D-GRVI (0.0446), D-NAVI (0.0383), D-NDREI (0.0483), D-RVI (0.0323), D-TCARI (0.0338), D-mcari/osavi (0.0352) |
| G | D-CVI (0.0347), D-GNDVI (0.0317), D-NAVI (0.0474), D-NDREI (0.0403), D-NDVI (0.0538), D-NGI (0.0525), D-Sr (0.0335), D-WDRVI (0.0363) |
| M | D-CVI (0.0337), D-GRVI (0.0443), D-MCARI (0.0305), D-MSR (0.0336), D-MTCI (0.0368), D-NAVI (0.0346), D-NDREI (0.0334), D-NDVI (0.0323), D-OSAVI (0.0346), D-REOSAVI (0.0309), D-Sr (0.0404), D-TCARI (0.0306), D-WDRVI (0.0319) |
| Late Sowing Resistance | The Range of Yield Under M1 (kg ha−1) | Recommendation Rate |
|---|---|---|
| Stable type | 10,000.00–11,562.50 | +++++ |
| 9062.50–9975.00 | ++++ | |
| 8125.00–8750.00 | +++ | |
| Intermediate type | 10,000.00–11,562.50 | ++++ |
| 9062.50–9975.00 | +++ | |
| 8125.00–8750.00 | ++ | |
| Sensitive type | 10,000.00–11,562.50 | +++ |
| 9062.50–9975.00 | ++ | |
| 8125.00–8750.00 | + |
Disclaimer/Publisher’s Note: The statements, opinions and data contained in all publications are solely those of the individual author(s) and contributor(s) and not of MDPI and/or the editor(s). MDPI and/or the editor(s) disclaim responsibility for any injury to people or property resulting from any ideas, methods, instructions or products referred to in the content. |
© 2025 by the authors. Licensee MDPI, Basel, Switzerland. This article is an open access article distributed under the terms and conditions of the Creative Commons Attribution (CC BY) license (https://creativecommons.org/licenses/by/4.0/).
Share and Cite
Zhao, Y.; Wang, H.; Wu, W.; Sun, Y.; Wang, Y.; Zhang, W.; Wang, J.; Wu, F.; Maes, W.H.; Ding, J.; et al. Evaluating the Performance of Winter Wheat Under Late Sowing Using UAV Multispectral Data. Agronomy 2025, 15, 2384. https://doi.org/10.3390/agronomy15102384
Zhao Y, Wang H, Wu W, Sun Y, Wang Y, Zhang W, Wang J, Wu F, Maes WH, Ding J, et al. Evaluating the Performance of Winter Wheat Under Late Sowing Using UAV Multispectral Data. Agronomy. 2025; 15(10):2384. https://doi.org/10.3390/agronomy15102384
Chicago/Turabian StyleZhao, Yuanyuan, Hui Wang, Wei Wu, Yi Sun, Ying Wang, Weijun Zhang, Jianliang Wang, Fei Wu, Wouter H. Maes, Jinfeng Ding, and et al. 2025. "Evaluating the Performance of Winter Wheat Under Late Sowing Using UAV Multispectral Data" Agronomy 15, no. 10: 2384. https://doi.org/10.3390/agronomy15102384
APA StyleZhao, Y., Wang, H., Wu, W., Sun, Y., Wang, Y., Zhang, W., Wang, J., Wu, F., Maes, W. H., Ding, J., Li, C., Sun, C., Liu, T., & Guo, W. (2025). Evaluating the Performance of Winter Wheat Under Late Sowing Using UAV Multispectral Data. Agronomy, 15(10), 2384. https://doi.org/10.3390/agronomy15102384

