Genetic Mapping for Seed Aging Tolerance Under Multiple Environments in Sweet Corn
Abstract
1. Introduction
2. Materials and Methods
2.1. Plant Materials
2.2. Accelerated Aging and Germination Test
2.3. Statistical Analysis
2.4. Construction of the Genetic Map and QTL Mapping
2.5. Identification of QTL Clusters
2.6. Prediction of Candidate Genes
3. Results
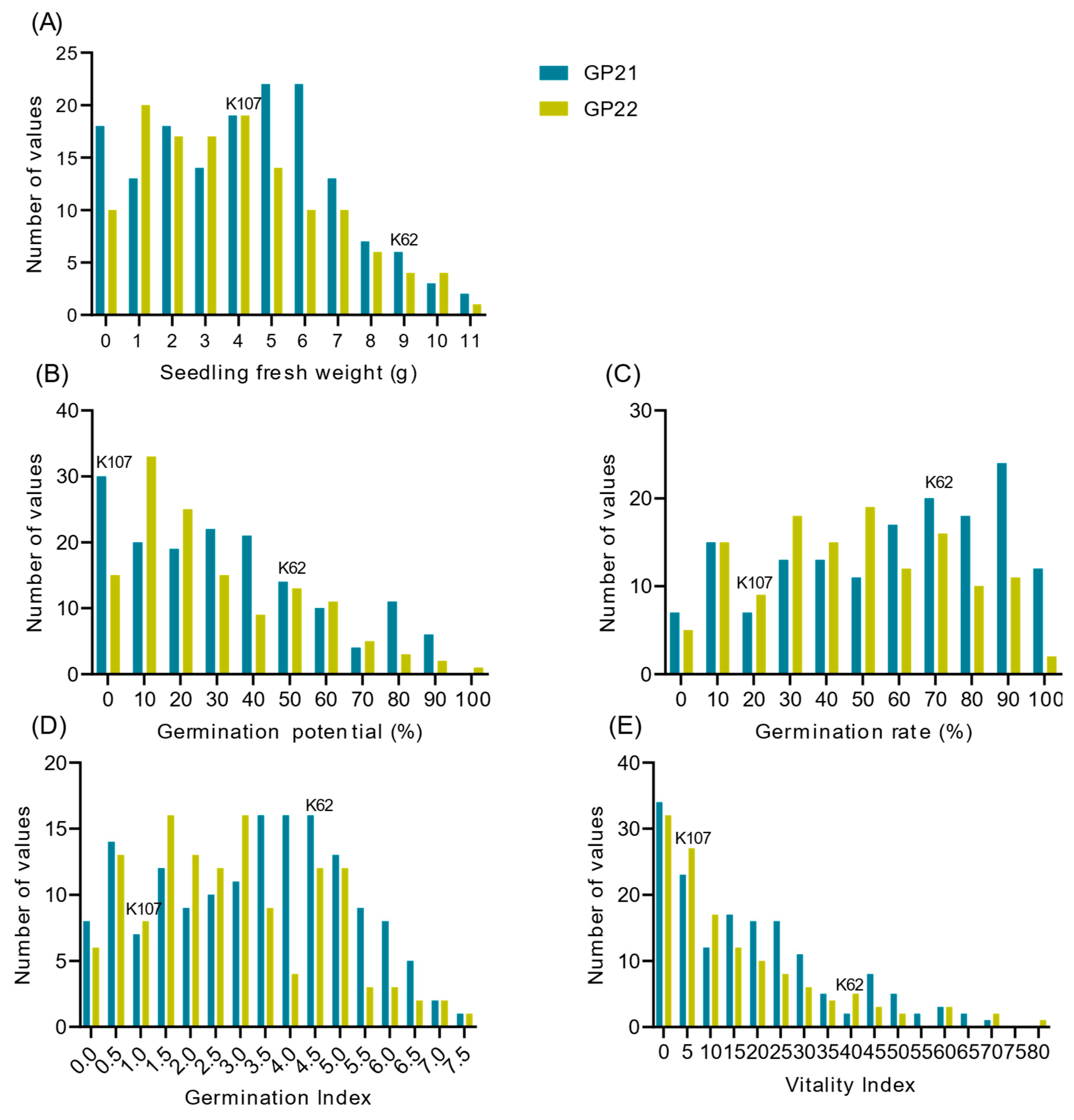
3.1. Phenotypic Evaluation and Genetic Analysis of RIL Population
3.2. Construction of High-Density Genetic Linkage Map
3.3. QTL Mapping for Seed Vigor Traits
3.4. Identification and Analysis of QTL Clusters
3.5. Prediction of Candidate Genes in QTL Clusters
4. Discussion
5. Conclusions
Supplementary Materials
Author Contributions
Funding
Data Availability Statement
Conflicts of Interest
References
- Liu, W.-N.; Wang, Z.; Gan, Y.-Y.; Hu, J.-G.; Yin, Y. Development situation and countermeasures of Guangdong sweet corn industry in 2015. Guangdong Agric. Sci. 2016, 43, 5. [Google Scholar] [CrossRef]
- Guan, Y.J.; Hu, J.; Wang, Z.F.; Zhu, S.J.; Wang, J.C.; Knapp, A. Time series regression analysis between changes in kernel size and seed vigor during developmental stage of sh2 sweet corn (Zea mays L.) seeds. Sci. Hortic. 2013, 154, 25–30. [Google Scholar] [CrossRef]
- Kandasamy, S.; Weerasuriya, N.; Gritsiouk, D.; Patterson, G.; Saldias, S.; Ali, S.; Lazarovits, G. Size Variability in Seed Lot Impact Seed Nutritional Balance, Seedling Vigor, Microbial Composition and Plant Performance of Common Corn Hybrids. Agronomy 2020, 10, 157. [Google Scholar] [CrossRef]
- Ventura, L.; Dona, M.; Macovei, A.; Carbonera, D.; Buttafava, A.; Mondoni, A.; Rossi, G.; Balestrazzi, A. Understanding the molecular pathways associated with seed vigor. Plant Physiol. Biochem. 2012, 60, 196–206. [Google Scholar] [CrossRef] [PubMed]
- Hongsheng, Z.; Zhoufei, W. Seed Science; Science Press: Beijing, China, 2023. [Google Scholar]
- Ekşi, C.; Demir, I. The use of a shortened controlled deterioration vigour test in predicting field emergence and longevity of onion seed lots. Seed Sci. Technol. 2011, 39, 190–198. [Google Scholar] [CrossRef]
- Alahakoon, A.A.C.B.; Abeysiriwardena, D.S.d.Z.; Damunupola, J.W.; Hay, F.R.; Gama-Arachchige, N.S. Accelerated aging test of seed vigour for predicting field emergence of wet direct-seeded rice. Crop Pasture Sci. 2021, 72, 773–781. [Google Scholar] [CrossRef]
- Ebone, L.A.; Caverzan, A.; Chavarria, G. Physiologic alterations in orthodox seeds due to deterioration processes. Plant Physiol. Biochem. 2019, 145, 34–42. [Google Scholar] [CrossRef] [PubMed]
- Mittler, R. ROS Are Good. Trends Plant Sci. 2017, 22, 11–19. [Google Scholar] [CrossRef]
- Gill, S.S.; Tuteja, N. Reactive oxygen species and antioxidant machinery in abiotic stress tolerance in crop plants. Plant Physiol. Biochem. 2010, 48, 909–930. [Google Scholar] [CrossRef] [PubMed]
- Sano, N.; Masaki, S.; Tanabata, T.; Yamada, T.; Hirasawa, T.; Kanekatsu, M. Proteomic analysis of stress-related proteins in rice seeds during the desiccation phase of grain filling. Plant Biotechnol. 2013, 30, 147–156. [Google Scholar] [CrossRef][Green Version]
- He, D.; Yang, P. Proteomics of rice seed germination. Front. Plant Sci. 2013, 4, 246. [Google Scholar] [CrossRef]
- Wang, W.Q.; Liu, S.J.; Song, S.Q.; Moller, I.M. Proteomics of seed development, desiccation tolerance, germination and vigor. Plant Physiol. Biochem. 2015, 86, 1–15. [Google Scholar] [CrossRef] [PubMed]
- Wu, X.L.; Liu, H.Y.; Wang, W.; Chen, S.N.; Hu, X.L.; Li, C.H. Proteomic analysis of seed viability in maize. Acta Physiol. Plant. 2011, 33, 181–191. [Google Scholar] [CrossRef]
- Revilla, P.; Butron, A.; Rodriguez, V.M.; Malvar, R.A.; Ordas, A. Identification of genes related to germination in aged maize seed by screening natural variability. J. Exp. Bot. 2009, 60, 4151–4157. [Google Scholar] [CrossRef] [PubMed]
- Nisarga, K.N.; Vemanna, R.S.; Kodekallu Chandrashekar, B.; Rao, H.; Vennapusa, A.R.; Narasimaha, A.; Makarla, U.; Basavaiah, M.R. Aldo-ketoreductase 1 (AKR1) improves seed longevity in tobacco and rice by detoxifying reactive cytotoxic compounds generated during ageing. Rice 2017, 10, 11. [Google Scholar] [CrossRef] [PubMed]
- Huang, J.; Cai, M.; Long, Q.; Liu, L.; Lin, Q.; Jiang, L.; Chen, S.; Wan, J. OsLOX2, a rice type I lipoxygenase, confers opposite effects on seed germination and longevity. Transgenic Res. 2014, 23, 643–655. [Google Scholar] [CrossRef] [PubMed]
- Salvi, P.; Varshney, V.; Majee, M. Raffinose family oligosaccharides (RFOs): Role in seed vigor and longevity. Biosci. Rep. 2022, 42, BSR20220198. [Google Scholar] [CrossRef]
- An, J.; Liu, Y.; Han, J.; He, C.; Chen, M.; Zhu, X.; Hu, W.; Song, W.; Hu, J.; Guan, Y. Transcriptional multiomics reveals the mechanism of seed deterioration in Nicotiana tabacum L. and Oryza sativa L. J. Adv. Res. 2022, 42, 163–176. [Google Scholar] [CrossRef]
- Dierking, E.C.; Bilyeu, K.D. Association of a Soybean Raffinose Synthase Gene with Low Raffinose and Stachyose Seed Phenotype. Plant Genome 2008, 1, 135–145. [Google Scholar] [CrossRef]
- Vandecasteele, C.; Teulat-Merah, B.; Morere-Le Paven, M.C.; Leprince, O.; Vu, B.L.; Viau, L.; Ledroit, L.; Pelletier, S.; Payet, N.; Satour, P.; et al. Quantitative trait loci analysis reveals a correlation between the ratio of sucrose/raffinose family oligosaccharides and seed vigour in. Plant Cell Environ. 2011, 34, 1473–1487. [Google Scholar] [CrossRef]
- Prieto-Dapena, P.; Castaño, R.; Almoguera, C.; Jordano, J. Improved resistance to controlled deterioration in transgenic seeds. Plant Physiol. 2006, 142, 1102–1112. [Google Scholar] [CrossRef] [PubMed]
- Sugliani, M.; Rajjou, L.; Clerkx, E.J.; Koornneef, M.; Soppe, W.J. Natural modifiers of seed longevity in the Arabidopsis mutants abscisic acid insensitive3-5 (abi3-5) and leafy cotyledon1-3 (lec1-3). New Phytol. 2009, 184, 898–908. [Google Scholar] [CrossRef] [PubMed]
- Meinke, D.W.; Franzmann, L.H.; Nickle, T.C.; Yeung, E.C. Leafy Cotyledon Mutants of Arabidopsis. Plant Cell 1994, 6, 1049–1064. [Google Scholar] [CrossRef]
- Roscoe, T.J.; Vaissayre, V.; Paszkiewicz, G.; Clavijo, F.; Kelemen, Z.; Michaud, C.; Lepiniec, L.C.; Dubreucq, B.; Zhou, D.X.; Devic, M. Regulation of FUSCA3 expression during seed development in Arabidopsis. Plant Cell Physiol. 2019, 60, 476–487. [Google Scholar] [CrossRef]
- He, R.Y.; Yang, T.; Zheng, J.J.; Pan, Z.Y.; Chen, Y.; Zhou, Y.; Li, X.F.; Li, Y.Z.; Iqbal, M.Z.; Yang, C.Y.; et al. QTL Mapping and a Transcriptome Integrative Analysis Uncover the Candidate Genes That Control the Cold Tolerance of Maize Introgression Lines at the Seedling Stage. Int. J. Mol. Sci. 2023, 24, 2629. [Google Scholar] [CrossRef] [PubMed]
- Han, Z.; Ku, L.; Zhang, Z.; Zhang, J.; Guo, S.; Liu, H.; Zhao, R.; Ren, Z.; Zhang, L.; Su, H.; et al. QTLs for seed vigor-related traits identified in maize seeds germinated under artificial aging conditions. PLoS ONE 2014, 9, e92535. [Google Scholar] [CrossRef] [PubMed]
- Ku, L.X.; Cui, X.J.; Cheng, F.F.; Guo, S.L.; Qi, J.S.; Tian, Z.Q.; Han, T.; Ren, Z.Z.; Zhang, L.K.; Su, H.H.; et al. Genetic dissection of seed vigour under artificial ageing conditions using two joined maize recombinant inbred line populations. Plant Breed. 2014, 133, 728–737. [Google Scholar] [CrossRef]
- Wang, B.; Zhang, Z.; Fu, Z.; Liu, Z.; Hu, Y.; Tang, J. Comparative QTL analysis of maize seed artificial aging between an immortalized F2 population and its corresponding RILs. Crop J. 2016, 4, 30–39. [Google Scholar] [CrossRef]
- Liu, Y.; Zhang, H.; Li, X.; Wang, F.; Lyle, D.; Sun, L.; Wang, G.; Wang, J.; Li, L.; Gu, R. Quantitative trait locus mapping for seed artificial aging traits using an F2:3 population and a recombinant inbred line population crossed from two highly related maize inbreds. Plant Breed. 2019, 138, 29–37. [Google Scholar] [CrossRef]
- Yousef, G.G.; Juvik, J.A. Enhancement of Seedling Emergence in Sweet Corn by Marker-Assisted Backcrossing of Beneficial QTL. Crop Sci. 2002, 42, 96–104. [Google Scholar] [CrossRef]
- Wu, X.; Feng, F.; Zhu, Y.; Xie, F.; Yang, J.; Gong, J.; Liu, Y.; Zhu, W.; Gao, T.; Chen, D.; et al. Construction of High-Density Genetic Map and Identification of QTLs Associated with Seed Vigor after Exposure to Artificial Aging Conditions in Sweet Corn Using SLAF-seq. Genes 2020, 11, 37. [Google Scholar] [CrossRef] [PubMed]
- Guo, J.; Li, C.; Zhang, X.; Li, Y.; Zhang, D.; Shi, Y.; Song, Y.; Li, Y.; Yang, D.; Wang, T. Transcriptome and GWAS analyses reveal candidate gene for seminal root length of maize seedlings under drought stress. Plant Sci. 2020, 292, 110380. [Google Scholar] [CrossRef] [PubMed]
- Wang, B.; Yang, R.; Zhang, Z.; Huang, S.; Ji, Z.; Zheng, W.; Zhang, H.; Zhang, Y.; Feng, F. Integration of miRNA and mRNA analysis reveals the role of ribosome in to anti-artificial aging in sweetcorn. Int. J. Biol. Macromol. 2023, 240, 124434. [Google Scholar] [CrossRef]
- Zhu, Y.; Xia, L.; Zhu, S.; Liu, J.; Yang, R.; Wang, Q.; Li, X.; Feng, F. Changes of vigor, physiological characteristics and genetic diversities of artificially aged sweet corn seeds. J. S. China Agric. Univ. 2018, 39, 25–30. [Google Scholar] [CrossRef]
- Ooijen, J.W.; Voorrips, R.E. JoinMap® 3.0: Software for the Calculation of Genetic Linkage Maps; Plant Research International: Wageningen, The Netherlands, 2001. [Google Scholar]
- Wang, S.; Basten, C.; Zeng, Z. Windows QTL Cartographer 2.5; Department of Statistics, North Carolina State University: Raleigh, NC, USA, 2007. [Google Scholar]
- Manly, K.F.; Olson, J.M. Overview of QTL mapping software and introduction to map manager QT. Mamm. Genome 1999, 10, 327–334. [Google Scholar] [CrossRef] [PubMed]
- Wang, H.; Jia, J.; Cai, Z.; Duan, M.; Jiang, Z.; Xia, Q.; Ma, Q.; Lian, T.; Nian, H. Identification of quantitative trait loci (QTLs) and candidate genes of seed Iron and zinc content in soybean [Glycine max (L.) Merr.]. BMC Genom. 2022, 23, 146. [Google Scholar] [CrossRef] [PubMed]
- Liu, J.Q.; Jiang, A.H.; Ma, R.H.; Gao, W.R.; Tan, P.T.; Li, X.; Du, C.Z.; Zhang, J.J.; Zhang, X.C.; Zhang, L.; et al. QTL Mapping for Seed Quality Traits under Multiple Environments in Soybean (Glycine max L.). Agronomy 2023, 13, 2382. [Google Scholar] [CrossRef]
- Wang, B.; Wang, S.; Tang, Y.; Jiang, L.; He, W.; Lin, Q.; Yu, F.; Wang, L. Transcriptome-Wide Characterization of Seed Aging in Rice: Identification of Specific Long-Lived mRNAs for Seed Longevity. Front. Plant Sci. 2022, 13, 857390. [Google Scholar] [CrossRef] [PubMed]
- Silva, M.F.d.; Soares, J.M.; Xavier, W.A.; Silva, F.C.d.S.; Silva, F.L.d.; Silva, L.J.d. The role of the biochemical composition of soybean seeds in the tolerance to deterioration under natural and artificial aging. Heliyon 2023, 9, e21628. [Google Scholar] [CrossRef]
- Ding, Y.; Hou, D.; Yin, Y.; Chen, K.; He, J.; Yan, S.; Li, H.; Xiong, Y.; Zhou, W.; Li, M. Genetic dissection of Brassica napus seed vigor after aging. Theor. Appl. Genet. 2024, 137, 141. [Google Scholar] [CrossRef] [PubMed]
- Yue, G.H.; Yang, R.C.; Lei, D.; Du, Y.C.; Li, Y.L.; Feng, F.Q. Physiological, Biochemical, and Ultrastructural Changes in Naturally Aged Sweet Corn Seeds. Agriculture 2024, 14, 1039. [Google Scholar] [CrossRef]
- Han, Z.; Bin, W.; Zhang, J.; Guo, S.; Zhang, H.; Xu, L.; Chen, Y. Mapping of QTLs Associated with Seed Vigor to Artificial Aging Using Two RIL Populations in Maize (Zea mays L.). Agric. Sci. 2018, 9, 397–415. [Google Scholar]
- Li, W.J.; Niu, Y.Z.; Zheng, Y.Y.; Wang, Z.F. Advances in the Understanding of Reactive Oxygen Species-Dependent Regulation on Seed Dormancy, Germination, and Deterioration in Crops. Front Plant Sci. 2022, 13, 826809. [Google Scholar] [CrossRef] [PubMed]
- Gianella, M.; Doria, E.; Dondi, D.; Milanese, C.; Gallotti, L.; Borner, A.; Zannino, L.; Macovei, A.; Pagano, A.; Guzzon, F.; et al. Physiological and molecular aspects of seed longevity: Exploring intra-species variation in eight Pisum sativum L. accessions. Physiol. Plant 2022, 174, e13698. [Google Scholar] [CrossRef] [PubMed]
- Zhang, K.L.; Zhang, Y.; Sun, J.; Meng, J.S.; Tao, J. Deterioration of orthodox seeds during ageing: Influencing factors, physiological alterations and the role of reactive oxygen species. Plant Physiol. Biochem. 2021, 158, 475–485. [Google Scholar] [CrossRef] [PubMed]
- Liu, H.; Wu, W. Comparative transcriptome analysis reveals function of TERF1 in promoting seed germination. Physiol. Mol. Biol. Plants 2021, 27, 1659–1674. [Google Scholar] [CrossRef] [PubMed]
- Yuan, L.; Liu, H.Z.; Cao, Y.P.; Wu, W. Transcription factor TERF1 promotes seed germination through HEXOKINASE 1 (HXK1)-mediated signaling pathway. J. Plant Res. 2023, 136, 743–753. [Google Scholar] [CrossRef] [PubMed]
- Zhao, J.; Li, W.; Sun, S.; Peng, L.; Huang, Z.; He, Y.; Wang, Z. The Rice Small Auxin-Up RNA Gene OsSAUR33 Regulates Seed Vigor via Sugar Pathway during Early Seed Germination. Int. J. Mol. Sci. 2021, 22, 1562. [Google Scholar] [CrossRef] [PubMed]
- Gunesekera, B.; Torabinejad, J.; Robinson, J.; Gillaspy, G.E. Inositol polyphosphate 5-phosphatases 1 and 2 are required for regulating seedling growth. Plant Physiol. 2007, 143, 1408–1417. [Google Scholar] [CrossRef] [PubMed]
- Melgar, A.E.; Zelada, A.M. Evolutionary analysis of angiosperm dehydrin gene family reveals three orthologues groups associated to specific protein domains. Sci. Rep. 2021, 11, 23869. [Google Scholar] [CrossRef]
- Dvořák, P.; Krasylenko, Y.; Zeiner, A.; Šamaj, J.; Takáč, T. Signaling Toward Reactive Oxygen Species-Scavenging Enzymes in Plants. Front. Plant Sci. 2021, 11, 618835. [Google Scholar] [CrossRef]
- Napolitano, G.; Fasciolo, G.; Venditti, P. Mitochondrial Management of Reactive Oxygen Species. Antioxidants 2021, 10, 1824. [Google Scholar] [CrossRef] [PubMed]
- Yang, Z.; Wu, J.; Wang, Q.; Chen, W.; Shi, H.; Shi, Y.; Yang, J.; Li, N.; Sun, D.; Jing, R. QTL Mapping for Seed Vigor-Related Traits under Artificial Aging in Common Wheat in Two Introgression Line (IL) Populations. Peer J. 2024, 12, e17778. [Google Scholar] [CrossRef] [PubMed]





| Year | Trait | Parents | RIL Population | ||||||||
|---|---|---|---|---|---|---|---|---|---|---|---|
| K62 | K107 | Mean | Range | Mean | Range | SD | CV/% | Kurtosis | Skewness | ||
| 2021 | SFW | 9.91 | 4.91 | 7.41 | 4.37–10.53 | 4.18 | 0.00–11.60 | 0.15 | 65.30 | −0.75 | 0.22 |
| GP | 0.53 | 0.06 | 0.30 | 0.04–0.60 | 0.32 | 0.00–0.96 | 0.02 | 82.04 | −0.58 | 0.62 | |
| GR | 0.76 | 0.20 | 0.48 | 0.12–0.92 | 0.57 | 0.00–1.00 | 0.02 | 53.53 | −1.10 | −0.37 | |
| GI | 4.53 | 1.04 | 2.78 | 0.70–5.43 | 3.28 | 0.00–7.70 | 0.11 | 58.52 | −0.98 | −0.06 | |
| VI | 44.72 | 5.06 | 24.89 | 3.39–51.24 | 18.57 | 0.00–71.92 | 0.98 | 93.83 | 0.22 | 0.95 | |
| 2022 | SFW | 9.46 | 4.36 | 6.91 | 3.97–9.93 | 3.97 | 0.05–11.23 | 0.17 | 69.37 | −0.43 | 0.58 |
| GP | 0.53 | 0.07 | 0.30 | 0.00–0.60 | 0.30 | 0.00–1.00 | 0.02 | 81.36 | −0.26 | 0.76 | |
| GR | 0.80 | 0.28 | 0.54 | 0.16–0.92 | 0.48 | 0.04–1.00 | 0.02 | 54.89 | −1.01 | 0.05 | |
| GI | 4.68 | 1.46 | 3.07 | 0.95–5.42 | 2.88 | 0.14–7.58 | 0.11 | 61.29 | −0.54 | 0.41 | |
| VI | 44.22 | 6.24 | 25.23 | 4.03–50.05 | 15.81 | 0.01–85.16 | 1.08 | 110.80 | 2.21 | 1.57 | |
| Trait | Item | Sum of Square | df | Mean Square | F-Value |
|---|---|---|---|---|---|
| SFW | Gen. | 2922.30 | 157 | 18.61 | 5.82 ** |
| Year | 33.90 | 1 | 33.92 | 10.61 ** | |
| GP 1 | Gen. | 142,122.00 | 157 | 905.20 | 6.15 ** |
| Year | 1859.00 | 1 | 1859.40 | 12.64 ** | |
| GR 2 | Gen. | 155,531.00 | 157 | 991.00 | 6.05 ** |
| Year | 7831.00 | 1 | 7831.00 | 47.81 ** | |
| GI 3 | Gen. | 1328.30 | 157 | 8.46 | 5.99 ** |
| Year | 51.40 | 1 | 51.41 | 36.37 ** | |
| VI 4 | Gen. | 109,704.00 | 157 | 698.70 | 4.58 ** |
| Year | 2830.00 | 1 | 2830.30 | 18.53 ** |
| Chromosome | Number of Markers | Length (cM) | Average Distance (cM/Marker) |
|---|---|---|---|
| Chr1 | 324 | 185.79 | 0.57 |
| Chr2 | 184 | 141.49 | 0.77 |
| Chr3 | 159 | 134.52 | 0.85 |
| Chr4 | 155 | 165.47 | 1.07 |
| Chr5 | 185 | 171.33 | 0.93 |
| Chr6 | 116 | 126.1 | 1.09 |
| Chr7 | 96 | 138.05 | 1.44 |
| Chr8 | 102 | 139.94 | 1.37 |
| Chr9 | 123 | 120.61 | 0.98 |
| Chr10 | 99 | 112.05 | 1.13 |
| Total | 1543 | 1435.35 | 0.93 |
| QTL | Year | Chromosome | Marker Interval | Interval (cM/Mb) | LOD | PVE/% | Additive Effect |
|---|---|---|---|---|---|---|---|
| qSFW2.1 | 2021 | 2 | AX86258689–AX86243479 | 89.24–107.42/196.88–212.74. | 10.32 | 24.20 | 1.31 |
| qSFW3.1 | 2021 | 3 | AX86310599 | 50.87/35.72 | 3.07 | 6.06 | 0.28 |
| qSFW5.1 | 2021 | 5 | AX86314667–AX86292266 | 67.72–71.59/34.23–44.97 | 3.57 | 7.10 | 0.38 |
| qSFW7.1 | 2021 | 7 | AX86282085 | 66.44/137.63 | 3.10 | 6.15 | 0.46 |
| qSFW7.2 | 2021 | 7 | AX86252220–AX86303970 | 72.63–73.38/146.37–146.55 | 3.12 | 6.23 | 0.65 |
| qSFW10.1 | 2022 | 10 | AX86281045–AX86279973 | 71.48–72.49/138.71–139.5 | 4.12 | 12.15 | −0.54 |
| qGP2.1 | 2021 | 2 | AX86287359–AX86242531 | 64.27–64.88/92.83–104.76 | 3.92 | 9.33 | 0.06 |
| qGP2.2 | 2021 | 2 | AX86242605 | 68.99/112.62 | 3.10 | 7.67 | 0.07 |
| qGP2.3 | 2021 | 2 | AX86280460–AX90783212 | 96.28–99.51/203.4–206.01 | 3.81 | 9.50 | 0.09 |
| qGP5.1 | 2021 | 5 | AX86314662–AX86248397 | 67.86–73.84/33.51–55.65 | 3.47 | 7.68 | 0.02 |
| qGP5.2 | 2022 | 5 | AX86301385–AX86263965 | 73.78–74.59/55.13–61.08 | 3.28 | 8.30 | 0.07 |
| qGP5.3 | 2022 | 5 | AX86248529 | 78.29/75.07 | 3.02 | 7.68 | 0.07 |
| qGP6.1 | 2022 | 6 | AX182179900–AX86282340 | 62.25–67.03/140.01–151.83 | 4.64 | 13.52 | 0.01 |
| qGP7.1 | 2021 | 7 | AX86282085 | 66.44/137.63 | 3.32 | 7.55 | 0.05 |
| qGR2.1 | 2021 | 2 | AX86310211–AX86310131 | 91.98–105.23/200.78–211.61 | 6.85 | 15.17 | 0.11 |
| qGR5.1 | 2022 | 5 | AX86248161–AX86292185 | 67.57–69.19/34.49–36.53 | 4.03 | 9.97 | 0.03 |
| qGR5.2 | 2022 | 5 | AX86315894 | 91.11/171.76 | 3.12 | 7.77 | 0.08 |
| qGR5.3 | 2021 | 5 | AX90627164–AX86272632 | 96.22–112.44/177.05–194.08 | 5.34 | 11.54 | 0.09 |
| qGR6.1 | 2022 | 6 | AX182179900 | 61.03/140.01 | 3.73 | 9.54 | 0.00 |
| qGR7.1 | 2021 | 7 | AX86281004–AX86318669 | 61.75–65.03/130.3–133.53 | 3.36 | 6.55 | 0.02 |
| qGR7.2 | 2021 | 7 | AX86262455 | 73.84/146.66 | 3.04 | 6.12 | 0.07 |
| qGR10.1 | 2021 | 10 | AX86304297–AX86299393 | 64.22–64.48/135.74–136.8 | 3.74 | 7.54 | −0.08 |
| qGR10.2 | 2022 | 10 | AX86304297–AX86323087 | 62.22–78.11/135.74–142.13 | 5.13 | 14.50 | −0.07 |
| qGR10.3 | 2022 | 10 | AX86304297–AX86278210 | 62.22–80.53/135.74–142.99 | 6.31 | 17.77 | −0.09 |
| qGI1.1 | 2022 | 1 | AX86239246 | 28.71/12.71 | 3.10 | 9.12 | −0.30 |
| qGI1.2 | 2022 | 1 | AX86257819 | 28.97/13.91 | 3.41 | 9.36 | −0.29 |
| qGI2.1 | 2021 | 2 | AX86257139–AX86282433 | 95.79–104.48/202.91–210.99 | 6.21 | 14.61 | 0.68 |
| qGI4.1 | 2022 | 4 | AX86270703–AX86270764 | 82.54–91.26/160.96–168.57 | 3.21 | 9.00 | 0.56 |
| qGI5.1 | 2021 | 5 | AX86280157–AX86293285 | 101.73–110.40/184.89–190.23 | 3.91 | 8.89 | 0.52 |
| qGI6.1 | 2022 | 6 | AX182179900 | 61.03/140.01 | 4.16 | 10.40 | −0.03 |
| qGI7.1 | 2021 | 7 | AX86318669 | 65.03/133.53 | 3.18 | 8.08 | 0.33 |
| qGI7.2 | 2021 | 7 | AX86262455–AX86259059 | 73.84–74.71/146.66–146.81 | 3.27 | 7.09 | 0.44 |
| qGI10.1 | 2022 | 10 | AX86304297–AX86324427 | 62.22–74.74/135.74–140.37 | 4.89 | 13.59 | −0.52 |
| qVI1.1 | 2022 | 1 | AX86284517 | 9.08/4.54 | 3.25 | 9.64 | −4.45 |
| qVI2.1 | 2021 | 2 | AX86304970–AX86282433 | 91.86–104.48/200.98–210.99 | 6.35 | 16.15 | 6.56 |
| qVI2.2 | 2022 | 2 | AX95647452–AX86288273 | 123.10–123.45/224.12–224.25 | 3.25 | 9.03 | 2.62 |
| qVI3.1 | 2021 | 3 | AX86310599 | 50.87/35.72 | 3.09 | 7.00 | 1.47 |
| qVI3.2 | 2022 | 3 | AX86244193 | 55.05/54 | 3.14 | 9.57 | 4.49 |
| qVI5.1 | 2021 | 5 | AX86314662 | 67.86/33.51 | 3.16 | 7.26 | 2.60 |
| qVI5.2 | 2021 | 5 | AX86292252–AX86248293 | 70.51–71.21/43.29–44.23 | 3.12 | 7.18 | 2.41 |
| qVI6.1 | 2022 | 6 | AX86283110–AX86301125 | 56.43–58.14/132.16–137.32 | 3.38 | 9.16 | −2.28 |
| qVI6.2 | 2022 | 6 | AX86303700–AX182179900 | 60.62–61.03/139.9–140.01 | 6.01 | 15.55 | −1.58 |
| Clusters | Chr. | Interval | Position (Mb) | QTL | PVE (%) |
|---|---|---|---|---|---|
| Loci01.1 | 1 | AX86239246–AX86257819 | 12.71–13.91 | qGI1.1 | 9.12–9.36 |
| qGI1.2 | |||||
| Loci02.1 | 2 | AX86258689–AX86243479 | 196.88–212.74 | qSFW2.1 | 9.50–24.20 |
| qVI2.1 | |||||
| qGR2.1 | |||||
| qGI2.1 | |||||
| qGP2.3 | |||||
| Loci03.1 | 3 | AX86310599 | 35.72 | qSFW3.1 | 6.06–7.00 |
| qVI3.1 | |||||
| Loci05.1 | 5 | AX86248161–AX86263965 | 34.49–61.08 | qGR5.1 | 7.18–9.97 |
| qSFW5.1 | |||||
| qGP5.1 | |||||
| qVI5.1 | |||||
| qVI5.2 | |||||
| qGP5.2 | |||||
| Loci05.2 | 5 | AX90627164–AX86272632 | 177.05–194.08 | qGR5.3 | 8.89–11.54 |
| qGI5.1 | |||||
| Loci06.1 | 6 | AX86283110–AX86282340 | 132.16–151.83 | qVI6.1 | 9.16–15.55 |
| qVI6.2 | |||||
| qGR6.1 | |||||
| qGI6.1 | |||||
| qGP6.1 | |||||
| Loci07.1 | 7 | AX86281004–AX86318669 | 130.3–133.53 | qGR7.1 | 6.15–8.08 |
| qGI7.1 | |||||
| qSFW7.2 | |||||
| Loci07.2 | 7 | AX86252220–AX86259059 | 146.37–146.81 | qGI7.2 | 6.12–7.09 |
| qGR7.2 | |||||
| Loci10.1 | 10 | AX86304297–AX86278210 | 135.74–142.99 | qGI10.1 | 7.54–17.77 |
| qGP10.2 | |||||
| qGR10.3 | |||||
| qGR10.1 | |||||
| qSFW10.1 |
| Gene | Description |
|---|---|
| Zm00001d006063 | Type II inositol polyphosphate 5-phosphatase 15 |
| Zm00001d037988 | Embryo-specific protein 1 |
| Zm00001d026139 | Putative calcium-dependent protein kinase family protein |
| Zm00001d006479 | Calcium-dependent protein kinase 3 |
| Zm00001d038001 | AP2 domain transcription factor 3B |
| Zm00001d037894 | Dehydrin DHN1 |
| Zm00001d037985 | Embryo-specific protein 5 |
| Zm00001d017270 | Phosphoenolpyruvate carboxylase kinase 3 |
| Zm00001d026238 | TRANSPARENT TESTA 12 |
| Zm00001d014377 | Auxin response factor 18 |
| Zm00001d014507 | Auxin response factor 16 |
| Zm00001d037941 | Ethylene-responsive transcription factor RAP 2-3 |
| Zm00001d014608 | Peroxidase 16 |
| Zm00001d017378 | E3 ubiquitin-protein ligase RMA 1 |
| Zm00001d014632 | Superoxide dismutase [Fe] 3 chloroplastic |
| Zm00001d037859 | Superoxide dismutase |
| Zm00001d027769 | Glutathione reductase chloroplastic |
| Zm00001d016838 | Auxin response factor 1 |
| Zm00001d014341 | Peroxidase 53 |
| Zm00001d006274 | Auxin-responsive protein SAUR 61 |
| Zm00001d006125 | Proteasome subunit beta type |
| Zm00001d014253 | ZIM motif family protein |
| Zm00001d020764 | Carbonic anhydrase 5 |
| Zm00001d014600 | Uncharacterized protein [Source: UniProtKB/TrEMBL; Acc:B6TPR0] |
| Zm00001d014460 | DnaJ protein ERDJ 3A |
| Zm00001d006242 | 3-dehydroquinate synthase chloroplastic |
| Zm00001d037962 | Malic enzyme 5 |
| Zm00001d037693 | Malic enzyme |
| Zm00001d006311 | Nicotinate-nucleotide pyrophosphorylase [carboxylating] chloroplastic |
Disclaimer/Publisher’s Note: The statements, opinions and data contained in all publications are solely those of the individual author(s) and contributor(s) and not of MDPI and/or the editor(s). MDPI and/or the editor(s) disclaim responsibility for any injury to people or property resulting from any ideas, methods, instructions or products referred to in the content. |
© 2025 by the authors. Licensee MDPI, Basel, Switzerland. This article is an open access article distributed under the terms and conditions of the Creative Commons Attribution (CC BY) license (https://creativecommons.org/licenses/by/4.0/).
Share and Cite
Du, Y.; Lin, J.; Jiang, H.; Zhao, H.; Zhang, X.; Wang, R.; Feng, F. Genetic Mapping for Seed Aging Tolerance Under Multiple Environments in Sweet Corn. Agronomy 2025, 15, 225. https://doi.org/10.3390/agronomy15010225
Du Y, Lin J, Jiang H, Zhao H, Zhang X, Wang R, Feng F. Genetic Mapping for Seed Aging Tolerance Under Multiple Environments in Sweet Corn. Agronomy. 2025; 15(1):225. https://doi.org/10.3390/agronomy15010225
Chicago/Turabian StyleDu, Yanchao, Jianting Lin, Haoxuan Jiang, Huating Zhao, Xuebiao Zhang, Ruigang Wang, and Faqiang Feng. 2025. "Genetic Mapping for Seed Aging Tolerance Under Multiple Environments in Sweet Corn" Agronomy 15, no. 1: 225. https://doi.org/10.3390/agronomy15010225
APA StyleDu, Y., Lin, J., Jiang, H., Zhao, H., Zhang, X., Wang, R., & Feng, F. (2025). Genetic Mapping for Seed Aging Tolerance Under Multiple Environments in Sweet Corn. Agronomy, 15(1), 225. https://doi.org/10.3390/agronomy15010225

