Two Genotypes of Tomato Cultivated in Gobi Agriculture System Show a Varying Response to Deficit Drip Irrigation under Semi-Arid Conditions
Abstract
1. Introduction
2. Materials and Methods
2.1. Experimental Site and Growth Conditions
2.2. Experimental Design
2.3. Meteorological Factors
2.4. Substrate Water Content
2.5. Fruit Number, Yields, and WUE
2.6. Polyphenols Content Analyses
2.6.1. Extraction of Polyphenols
2.6.2. HPLC/DAD Quantitative Analyses for Polyphenols
2.7. Carotenoids Content Analyses
2.7.1. Extraction of Carotenoids
2.7.2. HPLC/DAD Quantitative Analyses for Carotenoids
2.8. Statistical Analyses
3. Results
3.1. Fruit Yield and Water Use Efficiency
3.2. Polyphenols Content
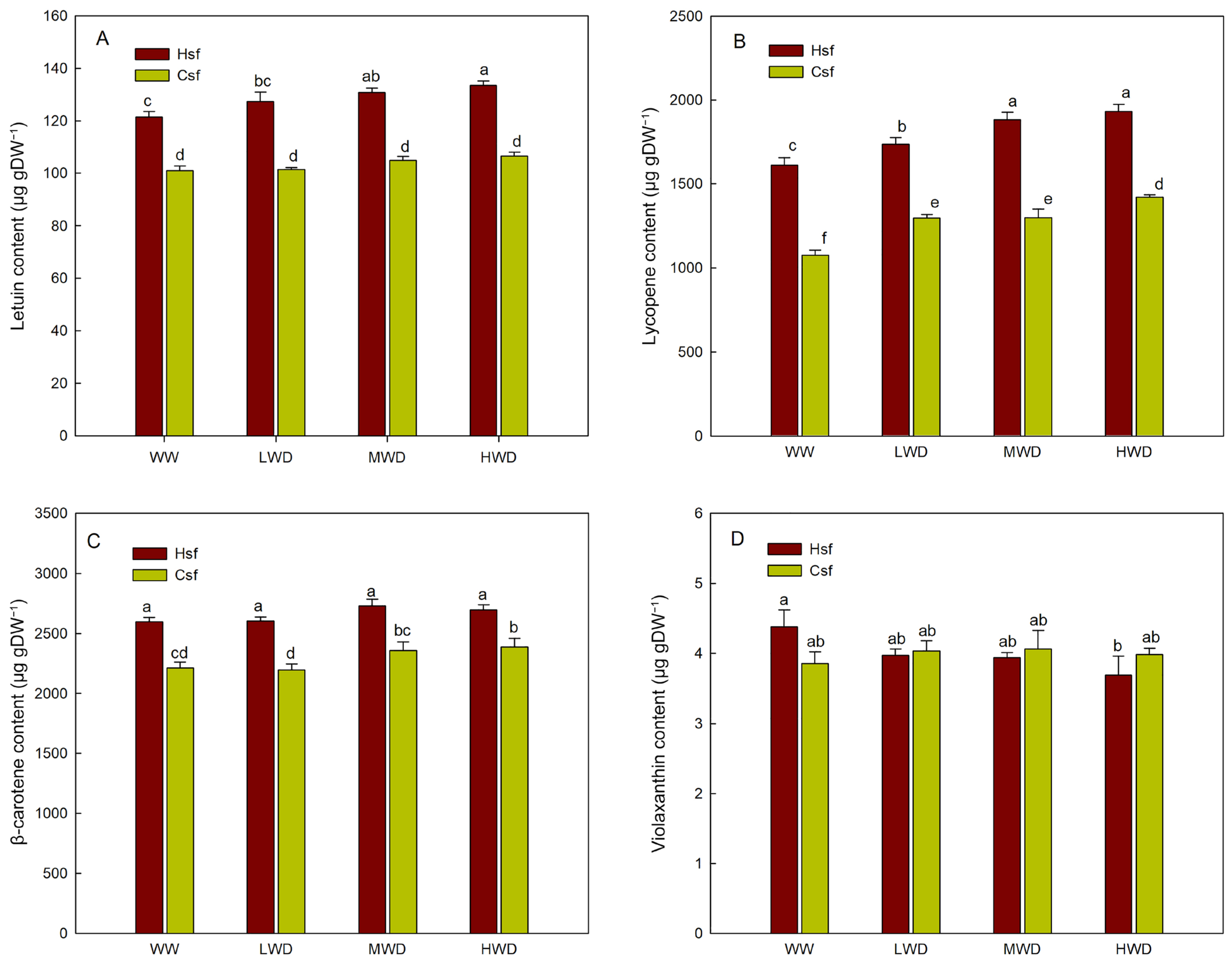
3.3. Carotenoid Content
3.4. Relationships of Irrigation Amount vs. Yield, WUE, Polyphenols and Carotenoids
3.5. Comprehensive Evaluation of Two Varieties Tomato Response to Water Deficit Based on PCA
4. Discussion
5. Conclusions
Supplementary Materials
Author Contributions
Funding
Data Availability Statement
Conflicts of Interest
References
- Buttaro, D.; Santamaria, P.; Signore, A.; Cantore, V.; Boari, F.; Montesano, F.F.; Parente, A. Irrigation management of greenhouse tomato and cucumber using tensiometer: Effects on yield, quality and water use. Agric. Agric. Sci. Procedia 2015, 4, 440–444. [Google Scholar] [CrossRef]
- Feng, J.; Zhao, L.; Zhang, Y.; Sun, L.; Yu, X.; Yu, Y. Can climate change influence agricultural GTFP in arid and semi-arid regions of Northwest China? J. Arid Land 2020, 12, 837–853. [Google Scholar] [CrossRef]
- Khapte, P.; Kumar, P.; Burman, U.; Kumar, P. Deficit irrigation in tomato: Agronomical and physio-biochemical implications. Sci. Hortic. 2019, 248, 256–264. [Google Scholar] [CrossRef]
- Chand, J.B.; Hewa, G.; Hassanli, A.; Myers, B. Deficit irrigation on tomato production in a greenhouse environment: A review. J. Irrig. Drain. Eng. 2021, 147, 04020041. [Google Scholar] [CrossRef]
- Xu, J.; Wan, W.; Zhu, X.; Zhao, Y.; Chai, Y.; Guan, S.; Diao, M. Effect of regulated deficit irrigation on the growth, yield, and irrigation water productivity of processing tomatoes under drip irrigation and mulching. Agronomy 2023, 13, 2862. [Google Scholar] [CrossRef]
- Yao, J.; Qi, Y.; Li, H.; Shen, Y. Water saving potential and mechanisms of subsurface drip irrigation: A review. Chin. J. Eco-Agric. 2021, 29, 1076–1084. [Google Scholar]
- Yu, L.; Zhao, X.; Gao, X.; Siddique, K.H.M. Improving/maintaining water-use efficiency and yield of wheat by deficit irrigation: A global meta-analysis. Agric. Water Manag. 2020, 228, 105906. [Google Scholar] [CrossRef]
- Wang, F.; Meng, H.; Xie, R.; Wang, K.; Ming, B.; Hou, P.; Xue, J.; Li, S. Optimizing deficit irrigation and regulated deficit irrigation methods increases water productivity in maize. Agric. Water Manag. 2023, 280, 108205. [Google Scholar] [CrossRef]
- Li, Y.; Liu, N.; Fan, H.; Su, J.; Fei, C.; Wang, K.; Ma, F.; Kisekka, I. Effects of deficit irrigation on photosynthesis, photosynthate allocation, and water use efficiency of sugar beet. Agric. Water Manag. 2019, 223, 105701. [Google Scholar] [CrossRef]
- Gómez-Bellot, M.; Parra, A.; Nortes, P.; Alarcón, J.; Ortuño, M. Searching for a deficit irrigation strategy to save water and improve fruit quality without compromising pomegranate production. Sci. Hortic. 2024, 324, 112631. [Google Scholar] [CrossRef]
- Zou, Y.; Saddique, Q.; Ali, A.; Xu, J.; Khan, M.I.; Qing, M.; Azmat, M.; Cai, H.; Siddique, K.H.M. Deficit irrigation improves maize yield and water use efficiency in a semi-arid environment. Agric. Water Manag. 2021, 243, 106483. [Google Scholar] [CrossRef]
- Zhao, H.; Zhai, X.; Li, S.; Wang, Y.; Xie, J.; Yan, C. The continuing decrease of sandy desert and sandy land in northern China in the latest 10 years. Ecol. Indic. 2023, 154, 110699. [Google Scholar] [CrossRef]
- Xie, J.; Yu, J.; Chen, B.; Feng, Z.; Lyu, J.; Hu, L.; Gan, Y.; Siddique, K.H. Gobi agriculture: An innovative farming system that increases energy and water use efficiencies. A review. Agron. Sustain. Dev. 2018, 38, 62. [Google Scholar] [CrossRef]
- Xie, J.; Yu, J.; Chen, B.; Feng, Z.; Li, J.; Zhao, C.; Lyu, J.; Hu, L.; Gan, Y.; Siddique, K.H. Facility cultivation systems “设施农业”: A Chinese model for the planet. Adv. Agron. 2017, 145, 1–42. [Google Scholar]
- Zhang, W.; Li, Y.; Xu, Y.; Zheng, Y.; Liu, B.; Li, Q. Alternate drip irrigation with moderate nitrogen fertilization improved photosynthetic performance and fruit quality of cucumber in solar greenhouse. Sci. Hortic. 2023, 308, 111579. [Google Scholar] [CrossRef]
- Li, H.; Hou, X.; Bertin, N.; Ding, R.; Du, T. Quantitative responses of tomato yield, fruit quality and water use efficiency to soil salinity under different water regimes in Northwest China. Agric. Water Manag. 2023, 277, 108134. [Google Scholar] [CrossRef]
- Zia, H.; Rehman, A.; Harris, N.R.; Fatima, S.; Khurram, M. An experimental comparison of IoT-based and traditional irrigation scheduling on a flood-irrigated subtropical lemon farm. Sensors 2021, 21, 4175. [Google Scholar] [CrossRef]
- Wu, Y.; Yan, S.; Fan, J.; Zhang, F.; Xiang, Y.; Zheng, J.; Guo, J. Responses of growth, fruit yield, quality and water productivity of greenhouse tomato to deficit drip irrigation. Sci. Hortic. 2021, 275, 109710. [Google Scholar] [CrossRef]
- Alshami, A.K.; El-Shafei, A.; Al-Omran, A.M.; Alghamdi, A.G.; Louki, I.; Alkhasha, A. Responses of tomato crop and water productivity to deficit irrigation strategies and salinity stress in greenhouse. Agronomy 2023, 13, 3016. [Google Scholar] [CrossRef]
- Fan, M.; Qin, Y.; Jiang, X.; Cui, N.; Wang, Y.; Zhang, Y.; Zhao, L.; Jiang, S. Proper deficit nitrogen application and irrigation of tomato can obtain a higher fruit quality and improve cultivation profit. Agronomy 2022, 12, 2578. [Google Scholar] [CrossRef]
- Tieman, D.; Zhu, G.; Resende Jr, M.F.; Lin, T.; Nguyen, C.; Bies, D.; Rambla, J.L.; Beltran, K.S.O.; Taylor, M.; Zhang, B. A chemical genetic roadmap to improved tomato flavor. Science 2017, 355, 391–394. [Google Scholar] [CrossRef] [PubMed]
- Fullana-Pericàs, M.; Conesa, M.À.; Douthe, C.; El Aou-ouad, H.; Ribas-Carbó, M.; Galmés, J. Tomato landraces as a source to minimize yield losses and improve fruit quality under water deficit conditions. Agric. Water Manag. 2019, 223, 105722. [Google Scholar] [CrossRef]
- Patanè, C.; Siah, S.; Pellegrino, A.; Cosentino, S.L.; Siracusa, L. Fruit yield, polyphenols, and carotenoids in long shelf-life tomatoes in response to drought stress and rewatering. Agronomy 2021, 11, 1943. [Google Scholar] [CrossRef]
- Rusu, O.-R.; Mangalagiu, I.; Amăriucăi-Mantu, D.; Teliban, G.-C.; Cojocaru, A.; Burducea, M.; Mihalache, G.; Roșca, M.; Caruso, G.; Sekara, A. Interaction effects of cultivars and nutrition on quality and yield of tomato. Horticulturae 2023, 9, 541. [Google Scholar] [CrossRef]
- Wang, Y.; Sun, C.; Ye, Z.; Li, C.; Huang, S.; Lin, T. The genomic route to tomato breeding: Past, present, and future. Plant Physiol. 2024, 195, 2500–2514. [Google Scholar] [CrossRef] [PubMed]
- Iqbal, I.; Wilairatana, P.; Saqib, F.; Nasir, B.; Wahid, M.; Latif, M.F.; Iqbal, A.; Naz, R.; Mubarak, M.S. Plant polyphenols and their potential benefits on cardiovascular health: A review. Molecules 2023, 28, 6403. [Google Scholar] [CrossRef]
- Crupi, P.; Faienza, M.F.; Naeem, M.Y.; Corbo, F.; Clodoveo, M.L.; Muraglia, M. Overview of the potential beneficial effects of carotenoids on consumer health and well-being. Antioxidants 2023, 12, 1069. [Google Scholar] [CrossRef]
- Yong, K.T.; Yong, P.H.; Ng, Z.X. Tomato and human health: A perspective from post-harvest processing, nutrient bio-accessibility, and pharmacological interaction. Food Front. 2023, 4, 1702–1719. [Google Scholar] [CrossRef]
- Breniere, T.; Fanciullino, A.-L.; Dumont, D.; Le Bourvellec, C.; Riva, C.; Borel, P.; Landrier, J.-F.; Bertin, N. Effect of long-term deficit irrigation on tomato and goji berry quality: From fruit composition to in vitro bioaccessibility of carotenoids. Front. Plant Sci. 2024, 15, 1339536. [Google Scholar] [CrossRef]
- Lyn, J.; Xie, J.; Yu, J.; Li, X.; Wang, Y.; Wang, X.; Feng, Z. Effects of irrigation lower limit on growth, utilization efficiency of water and quality of tomato under substrate culture. J. Gansu Agric. Univ. 2013, 2, 37–41. (In Chinese) [Google Scholar]
- Zhong, Y.; Fei, L.; Li, Y.; Zeng, J.; Dai, Z. Response of fruit yield, fruit quality, and water use efficiency to water deficits for apple trees under surge-root irrigation in the Loess Plateau of China. Agric. Water Manag. 2019, 222, 221–230. [Google Scholar] [CrossRef]
- Vallverdú-Queralt, A.; Meudec, E.; Eder, M.; Lamuela-Raventos, R.M.; Sommerer, N.; Cheynier, V. Targeted filtering reduces the complexity of UHPLC-Orbitrap-HRMS data to decipher polyphenol polymerization. Food Chem. 2017, 227, 255–263. [Google Scholar] [CrossRef] [PubMed]
- Xiao, X.; Liu, F.; Sun, M.; Tang, Z.; Wu, Y.; Lyu, J.; Khan, K.S.; Yu, J. Development of a high-performance liquid chromatography method for simultaneous quantification of sixteen polyphenols and application to tomato. J. Chromatogr. A 2024, 1733, 465254. [Google Scholar] [CrossRef] [PubMed]
- Londoño-Giraldo, L.M.; Bueno, M.; Corpas-Iguarán, E.; Taborda-Ocampo, G.; Cifuentes, A. HPLC-DAD-APCI-MS as a tool for carotenoid assessment of wild and cultivated cherry tomatoes. Horticulturae 2021, 7, 272. [Google Scholar] [CrossRef]
- Agbna, G.H.; Dongli, S.; Zhipeng, L.; Elshaikh, N.A.; Guangcheng, S.; Timm, L.C. Effects of deficit irrigation and biochar addition on the growth, yield, and quality of tomato. Sci. Hortic. 2017, 222, 90–101. [Google Scholar] [CrossRef]
- Chen, F.; Cui, N.; Jiang, S.; Li, H.; Wang, Y.; Gong, D.; Hu, X.; Zhao, L.; Liu, C.; Qiu, R. Effects of water deficit at different growth stages under drip irrigation on fruit quality of citrus in the humid areas of South China. Agric. Water Manag. 2022, 262, 107407. [Google Scholar] [CrossRef]
- Chen, Y.; Zhang, J.-H.; Chen, M.-X.; Zhu, F.-Y.; Song, T. Optimizing water conservation and utilization with a regulated deficit irrigation strategy in woody crops: A review. Agric. Water Manag. 2023, 289, 108523. [Google Scholar] [CrossRef]
- Zhao, J.; Xue, Q.; Jessup, K.E.; Marek, T.H.; Xu, W.; Bell, J. Deficit irrigation maintains maize yield through improved soil water extraction and stable canopy radiation interception. J. Agron. Crop Sci. 2023, 209, 116–131. [Google Scholar] [CrossRef]
- Martí, R.; Valcárcel, M.; Leiva-Brondo, M.; Lahoz, I.; Campillo, C.; Roselló, S.; Cebolla-Cornejo, J. Influence of controlled deficit irrigation on tomato functional value. Food Chem. 2018, 252, 250–257. [Google Scholar] [CrossRef]
- Coyago-Cruz, E.; Corell, M.; Moriana, A.; Hernanz, D.; Benítez-González, A.M.; Stinco, C.M.; Meléndez-Martínez, A.J. Antioxidants (carotenoids and phenolics) profile of cherry tomatoes as influenced by deficit irrigation, ripening and cluster. Food Chem. 2018, 240, 870–884. [Google Scholar] [CrossRef]
- Coyago-Cruz, E.; Corell, M.; Moriana, A.; Hernanz, D.; Stinco, C.M.; Mapelli-Brahm, P.; Meléndez-Martínez, A.J. Effect of regulated deficit irrigation on commercial quality parameters, carotenoids, phenolics and sugars of the black cherry tomato (Solanum lycopersicum L.) ‘Sunchocola’. J. Food Compos. Anal. 2022, 105, 104220. [Google Scholar] [CrossRef]
- Ba, W.; Xu, W.; Deng, Z.; Zhang, B.; Zheng, L.; Li, H. The antioxidant and anti-inflammatory effects of the main carotenoids from tomatoes via Nrf2 and NF-κB signaling pathways. Nutrients 2023, 15, 4652. [Google Scholar] [CrossRef]
- Coelho, M.; Rodrigues, A.; Teixeira, J.; Pintado, M. Integral valorisation of tomato by-products towards bioactive compounds recovery: Human health benefits. Food Chem. 2023, 410, 135319. [Google Scholar] [CrossRef] [PubMed]
- Sarker, U.; Oba, S. Drought stress enhances nutritional and bioactive compounds, phenolic acids and antioxidant capacity of Amaranthus leafy vegetable. BMC Plant Biol. 2018, 18, 258. [Google Scholar] [CrossRef] [PubMed]
- Mehravi, S.; Hanifei, M.; Gholizadeh, A.; Khodadadi, M. Water deficit stress changes in physiological, biochemical and antioxidant characteristics of anise (Pimpinella anisum L.). Plant Physiol. Biochem. 2023, 201, 107806. [Google Scholar] [CrossRef] [PubMed]
- Fakhrzad, F.; Jowkar, A. Water stress and increased ploidy level enhance antioxidant enzymes, phytohormones, phytochemicals and polyphenol accumulation of tetraploid induced wallflower. Ind. Crops Prod. 2023, 206, 117612. [Google Scholar] [CrossRef]
- Cáceres-Cevallos, G.J.; Albacete-Moreno, A.A.; Ferreres, F.; Gil-Izquierdo, Á.; Jordán, M.J. Evaluation of the physiological parameters in Lavandula latifolia Medik. under water deficit for preselection of elite drought-resistant plants. Ind. Crops Prod. 2023, 199, 116742. [Google Scholar] [CrossRef]
- Jin, N.; Jin, L.; Wang, S.; Meng, X.; Ma, X.; He, X.; Zhang, G.; Luo, S.; Lyu, J.; Yu, J. A Comprehensive evaluation of effects on water-level deficits on tomato polyphenol composition, nutritional quality and antioxidant capacity. Antioxidants 2022, 11, 1585. [Google Scholar] [CrossRef]
- Ullah, A.; Shakeel, A.; Ahmed, H.G.M.-D.; Naeem, M.; Ali, M.; Shah, A.N.; Wang, L.; Jaremko, M.; Abdelsalam, N.R.; Ghareeb, R.Y.; et al. Genetic basis and principal component analysis in cotton (Gossypium hirsutum L.) grown under water deficit condition. Front. Plant Sci. 2022, 13, 981369. [Google Scholar] [CrossRef]
- Diaz-Valencia, P.; Melgarejo, L.M.; Arcila, I.; Mosquera-Vásquez, T. Physiological, biochemical and yield-component responses of Solanum tuberosum L. group phureja genotypes to a water deficit. Plants 2021, 10, 638. [Google Scholar] [CrossRef]








| Treatments | The Base of Irrigation Amount | Irrigation Amount (L Tank−1 Time−1) | Times | Total Irrigation Amount (m3 hm−2) |
|---|---|---|---|---|
| WW | 75%θf–90%θf (where θf is the field capacity) | 72.41 | 18 | 3622 |
| LWD | 80% WW | 57.93 | 18 | 2897 |
| MWD | 60% WW | 43.45 | 18 | 2173 |
| HWD | 40% WW | 28.96 | 18 | 1449 |
| Cultivar | Treatment | Single Fruit Weight (g Plant−1) | Number of Fruits per Plant | Fruit Yield per Plant (kg) | Total Yield (t hm−2) | WUE (kg m−3) |
|---|---|---|---|---|---|---|
| Hsf | WW | 117.70 ± 3.32 a | 25.71 ± 1.06 ab | 3.02 ± 0.13 a | 79.99 ± 3.54 a | 22.05 ± 0.98 c |
| LWD | 106.86 ± 6.04 ab | 27.14 ± 1.40 a | 2.85 ± 0.04 a | 75.44 ± 0.98 a | 25.29 ± 0.33 bc | |
| MWD | 105.40 ± 2.82 ab | 23.43 ± 1.32 bc | 2.45 ± 0.11 b | 64.95 ± 2.81 b | 27.74 ± 1.20 ab | |
| HWD | 97.45 ± 4.92 b | 20.29 ± 0.81 c | 1.98 ± 0.14 c | 52.43 ± 3.69 c | 30.87 ± 2.18 a | |
| Csf | WW | 250.78 ± 12.62 a | 19.43 ± 0.72 a | 4.83 ± 0.12 a | 127.68 ± 3.18 a | 35.20 ± 0.88 d |
| LWD | 241.29 ± 9.08 ab | 19.00 ± 0.65 a | 4.55 ± 0.08 a | 120.43 ± 2.25 a | 40.35 ± 0.75 c | |
| MWD | 223.71 ± 3.63 bc | 18.86 ± 0.46 a | 4.22 ± 0.10 b | 111.50 ± 2.67 b | 47.62 ± 1.14 b | |
| HWD | 214.05 ± 6.50 c | 18.00 ± 0.53 a | 3.84 ± 0.13 c | 101.70 ± 3.40 c | 59.87 ± 2.00 a |
Disclaimer/Publisher’s Note: The statements, opinions and data contained in all publications are solely those of the individual author(s) and contributor(s) and not of MDPI and/or the editor(s). MDPI and/or the editor(s) disclaim responsibility for any injury to people or property resulting from any ideas, methods, instructions or products referred to in the content. |
© 2024 by the authors. Licensee MDPI, Basel, Switzerland. This article is an open access article distributed under the terms and conditions of the Creative Commons Attribution (CC BY) license (https://creativecommons.org/licenses/by/4.0/).
Share and Cite
Xiao, X.; Liu, X.; Jin, N.; Wu, Y.; Tang, Z.; Khan, K.S.; Lyu, J.; Yu, J. Two Genotypes of Tomato Cultivated in Gobi Agriculture System Show a Varying Response to Deficit Drip Irrigation under Semi-Arid Conditions. Agronomy 2024, 14, 2133. https://doi.org/10.3390/agronomy14092133
Xiao X, Liu X, Jin N, Wu Y, Tang Z, Khan KS, Lyu J, Yu J. Two Genotypes of Tomato Cultivated in Gobi Agriculture System Show a Varying Response to Deficit Drip Irrigation under Semi-Arid Conditions. Agronomy. 2024; 14(9):2133. https://doi.org/10.3390/agronomy14092133
Chicago/Turabian StyleXiao, Xuemei, Xiaoqi Liu, Ning Jin, Yue Wu, Zhongqi Tang, Khuram Shehzad Khan, Jian Lyu, and Jihua Yu. 2024. "Two Genotypes of Tomato Cultivated in Gobi Agriculture System Show a Varying Response to Deficit Drip Irrigation under Semi-Arid Conditions" Agronomy 14, no. 9: 2133. https://doi.org/10.3390/agronomy14092133
APA StyleXiao, X., Liu, X., Jin, N., Wu, Y., Tang, Z., Khan, K. S., Lyu, J., & Yu, J. (2024). Two Genotypes of Tomato Cultivated in Gobi Agriculture System Show a Varying Response to Deficit Drip Irrigation under Semi-Arid Conditions. Agronomy, 14(9), 2133. https://doi.org/10.3390/agronomy14092133

