Adjusting Irrigation and Phosphate Fertilizer to Optimize Tomato Growth and Production
Abstract
1. Introduction
2. Materials and Methods
2.1. Experimental Area
2.2. Soil Preparation and Fertilization
2.3. Experimental Design and Treatments
2.4. Irrigation System
2.5. Plant Analysis
2.6. Statistical Analysis
3. Results
4. Discussion
4.1. The Best Growth Responses Were Observed When Water Was Supplied at Approximately 100% of Field Capacity
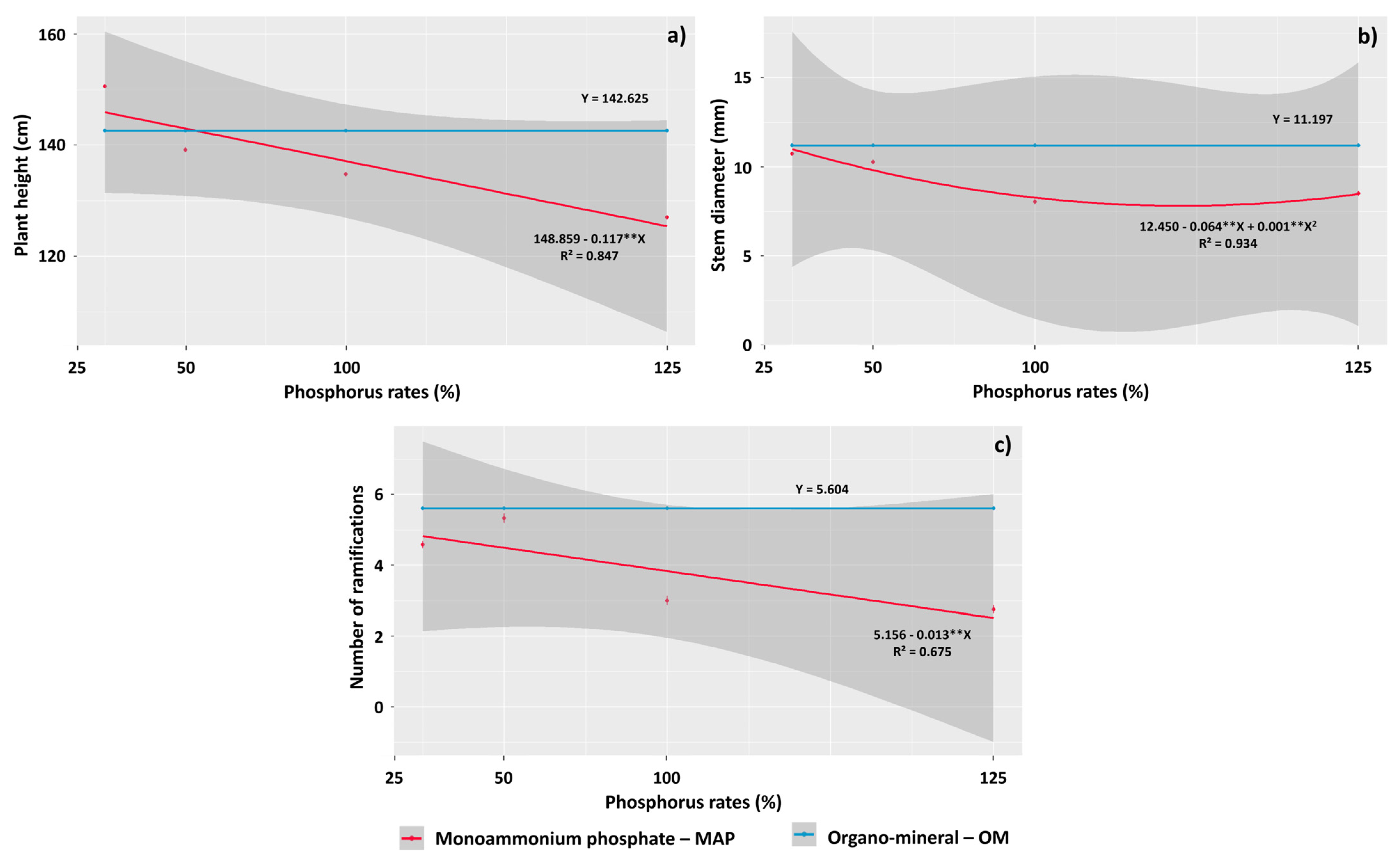
4.2. Tomato Growth Responds More Positively to Fertilization with OM Than with MAP
4.3. Tomato Plants under Water Deficit (50% of Field Capacity) Produce More under High P Concentrations
5. Conclusions
Supplementary Materials
Author Contributions
Funding
Data Availability Statement
Acknowledgments
Conflicts of Interest
References
- Nuez, F. El Cultivo Del Tomate; Ediciones Mundi-Prensa: Madrid, Spain; Barcelona, Spain, 1995. [Google Scholar]
- Raemaekers, R.H. Crop Production in Tropical Africa; Directorate General for International Co-operation (DGIC), External Trade and International Co-operation, Ministry of Foreign Affairs: Rome, Italy, 2001; 1540p.
- Costa, J.M.; Heuvelink, E.P. The global tomato industry. Tomatoes 2018, 27, 1–26. [Google Scholar]
- Alvarenga, M.A.R. Tomate: Produção em Campo em Casa de Vegetação e Hidroponia; UFL: Lavras, Brazil, 2013; 455p. [Google Scholar]
- Clement, B.D. Water Issues a Top Concern; The Tomato Magazine; Columbia Publishing: Bogotá, Colombia, 2004; 9p. [Google Scholar]
- Andrade, D.E.G.T.; Souza, L.T.; Assis, T.C. Murcha-de-fusário: Importante doença do tomateiro no Estado de Pernambuco. An. Da Acad. Pernambucana De Ciência Agronômica 2009, 6, 243–263. [Google Scholar]
- Higuti, A.R.O.; Godoy, A.R.; Salata, A.C.; Cardoso, A.I.I. Produção de tomate em função da “vibração” das plantas. Bragantia 2010, 69, 87–92. [Google Scholar] [CrossRef]
- Berni, R.; Romi, M.; Parrotta, L.; Cai, G.; Cantini, C. Ancient tomato (Solanum lycopersicum L.) varieties of tuscany have high contents of bioactive compounds. Horticulturae 2018, 4, 51. [Google Scholar] [CrossRef]
- Martínez-Valverde, I.; Periago, M.J.; Provan, G.; Chesson, A. Phenolic compounds, lycopene and antioxidant activity in commercial varieties of tomato (Lycopersicum esculentum). J. Sci. Food Agric. 2002, 82, 323–330. [Google Scholar] [CrossRef]
- Eviler, E.; Oztan, A. Production of frankfurters with tomato powder as a natural additive. LWT-Food Sci. Technol. 2011, 44, 307–311. [Google Scholar] [CrossRef]
- Lopes Sobrinho, O.P.; Santos, L.N.S.; Soares, F.A.L.; Cunha, F.N.; Vidal, V.M.; Texeira, M.B. General aspects of tomato culture and phosphate fertilization: A systematic review. Comun. Sci. 2022, 13, e3369. [Google Scholar] [CrossRef]
- Mordor Intelligence. Tamanho do Mercado de Tomate e Análise de Participação–Tendências e Previsões de Crescimento (2024–2029). 2024. Available online: https://www.mordorintelligence.com/pt/industry-reports/tomato-market (accessed on 13 February 2024).
- IBGE. Instituto Brasileira de Geografia e Estatística. Levantamento Sistemático da Produção Agrícola. 2021. Available online: https://biblioteca.ibge.gov.br/visualizacao/periodicos/2415/epag_2021_jan.pdf (accessed on 7 January 2022).
- Porto, J.S.; Rebouças, T.N.H.; Moraes, M.O.B.; Bonfim, M.P.; Lemos, O.L.; Luz, J.M.Q. Quality and antioxidant activiy of tomato cultivated under different sources and doses 622 of nitrogen. Rev. Caatinga 2016, 29, 780–788. [Google Scholar] [CrossRef]
- Taiz, L.; Zeiger, E.; Moller, I.M.; Murphy, A. Fisiologia e Desenvolvimento Vegetal, 6th ed.; Artmed: Porto Alegre, Brazil, 2017; 888p. [Google Scholar]
- Azevedo, W.R.; Faquin, V.; Fernandes, L.A.; Oliveira Júnior, A.C. Disponibilidade de fósforo para o arroz inundado sob efeito residual de calcário, gesso e esterco de curral aplicados na cultura do feijão. Rev. Bras. Ciência Do Solo 2004, 28, 995–1004. [Google Scholar] [CrossRef]
- Andrade, C.R.; Santos, J.M.A.; Silva, P.M.R.; Campos, N.M. Produção de tomate rasteiro por irrigação localizada. Rev. Saberes–UniAGES 2017, 1, 18–22. [Google Scholar]
- Araújo, V.R.; Bôas, R.L.V.; Jacon, C.P.R.P.; Silva, D.M.P.D.A.; Rodrigues, M.T. Eficiência de adubação fosfatada no cultivo do tomateiro. Irriga 2018, 1, 139–154. [Google Scholar] [CrossRef]
- Ya-Dan, D.; Hong-Xia, C.; Shi-Quan, L.; Xiao-Bo, G.; Yu-Xin, C. Response of yield, quality, water and nitrogen use efficiency of tomato to different levels of water and nitrogen under drip irrigation in Northwestern China. J. Integr. Agric. 2017, 16, 1153–1161. [Google Scholar] [CrossRef]
- Shabnam, R.; Iqbal, M.T. Understanding phosphorus dynamics on wheat plant under split-root system in alkaline soil. Brazilian J. Sci. Techol. 2016, 3, 19. [Google Scholar] [CrossRef]
- Parent, L.E.; Khiari, L.; Pellerin, A. The P fertilization of potato: Increasing agronomic efficiency and decreasing environmental risk. Acta Hortic. 2003, 627, 35–41. [Google Scholar] [CrossRef]
- Corrêa, J.C.; Grohskopf, M.A.; Nicoloso, R.D.A.S.; Lourenço, K.S.; Martini, R. Fertilizantes orgânicos, organomineral e minerais com inibidores de urease e nitrificação para trigo e milho sob plantio direto. Pesqui. Agropecuária Bras. 2016, 51, 916–924. [Google Scholar] [CrossRef]
- Mazeika, R.; Staugaitis, G.; Baltrusaitis, J. Engineered pelletized organo-mineral fertilizers (omf) from poultry manure, diammonium phosphate and potassium chloride. ACS Sustain. Chem. Eng. 2016, 4, 2279–2285. [Google Scholar] [CrossRef]
- Antille, D.L.; Godwin, R.J.; Sakrabani, R.; Seneweera, S.; Tyrrel, S.F.; Johnston, A.E. Field-Scale Evaluation of Biosolids-Derived Organomineral Fertilizers Applied to Winter Wheat in England. Agron. J. 2017, 109, 654–674. [Google Scholar] [CrossRef]
- Embrapa–Centro de pesquisa agropecuária do trópico semi-árido. Technical Recommendations for Growing Industrial Tomatoes under Irrigated Conditions; Embrapa–CPATSA: Petrolina, Brazil, 1994; 52p. [Google Scholar]
- Chávez, C.; Limón-Jiménez, I.; Espinoza-Alcántara, B.; López-Hernández, J.A.; Bárcenas-Ferruzca, E.; Trejo-Alonso, J. Water-use efficiency and productivity improvements in surface irrigation systems. Agronomy 2020, 10, 1759. [Google Scholar] [CrossRef]
- Amirahmadi, E.; Ghorbani, M.; Moudrý, J.; Konvalina, P.; Kopecký, M. Impacts of environmental factors and nutrients management on tomato grown under controlled and open field conditions. Agronomy 2023, 13, 916. [Google Scholar] [CrossRef]
- Santos, H.G.D.O.S.; Jacomine, P.K.T.; Anjos, L.H.C.D.O.S.; Oliveira, V.A.D.E.; Lumbreras, J.F.; Coelho, M.R.; Almeida, J.A.D.E.; Araujo Filho, J.C.D.; Oliveira, J.B.D.E.; Cunha, T.J.F. Sistema Brasileiro de Classificação de Solos, 5th ed.; Embrapa: Brasília, Brazil, 2018; 355p. [Google Scholar]
- Sousa, D.M.G.; Lobato, E. Cerrado: Correção Do Solo e Adubação, 2nd ed.; Embrapa Informação Tecnológica: Brasília, Brazil, 2004; 416p. [Google Scholar]
- Becker, W.F.; Wamser, A.F.; Feltrim, A.L.; Suzuki, A.; Santos, J.P.; Valmorbida, J.; Hahn, L.; Marcuzzo, L.L.; Mueller, S. Sistema de Produção Integrada Para o Tomate 495 Tutorado em Santa Catarina, 1st ed.; Empresa de Pesquisa Agropecuária e 496 Extensão Rural de Santa Catarina (EPAGRI): Florianópolis, Brazil, 2016; 149p. [Google Scholar]
- Silva, D.J.H.D.A.; Vale, F.X.R.D.O. Tomate: Tecnologia e Produção; UFV: Viçosa, Brazil, 2007; 355p. [Google Scholar]
- Clemente, F.M.V.T.; Boiteux, L.S. Produção de Tomate Para Processamento Industrial; Embrapa: Brasília, Brazil, 2012; 344p. [Google Scholar]
- Teixeira, P.C.; Donagemma, G.K.; Fontana, A.; Teixeira, W.G. Manual de Métodos de Análise de Solo, 3rd ed.; Embrapa: Brasília, Brazil, 2017; 57p. [Google Scholar]
- Van Genuchten, M.T. A closed form equation for predicting the hydraulic conductivity of unsaturated soils. Soil Sci. Soc. Am. J. 1980, 44, 892–898. [Google Scholar] [CrossRef]
- Mualem, Y. A new model for predicting the hydraulic conductivity of unsaturated porous media. Water Resour. Res. 1976, 12, 513–522. [Google Scholar] [CrossRef]
- Dourado Neto, D.; Nielsen, D.R.; Hopmans, J.W.; Reichardt, K.; Bacchi, O.O.S.; Lopes, P.P. Software to model soil water retention curves (SWRC, version 2.00). Sci. Agric. 2001, 57, 191–192. [Google Scholar] [CrossRef]
- Mantovani, E.C. Avalia: Programa de Avaliação da Irrigação por Aspersão e Localizada; UFV: Viçosa, Brazil, 2001. [Google Scholar]
- Ferreira, D.F. Sisvar: A computer statistical analysis system. Cienc. Agrotec. 2011, 35, 1039–1042. [Google Scholar] [CrossRef]
- Soares, L.A.A.; Lima, G.S.D.E.; Brito, M.E.B.B.; Sá, F.V.D.A.S.; Araújo, T.T.D.E. Crescimento do tomateiro e qualidade física dos frutos sob estresse hídrico em ambiente protegido. Rev. Verde Agroecol. Desenvolv. Sustentável 2011, 6, 203–212. [Google Scholar]
- Lopes Sobrinho, O.P.; Santos, L.N.S.; Silva, A.A.; Soares, F.A.L.; Cunha, F.N.; Vidal, V.M.; Teixeira, M.B.; Silva, E.C.; Silva, N.F.; Costa, A.C. Physiological responses of tomato plants subjected to various combinations of irrigation levels with mineral and organomineral sources of phosphorus. Acta Physiol. Plant. 2022, 44, 108. [Google Scholar] [CrossRef]
- Lima, T.P.; Gomes Filho, R.R.; Cadore, R.; Freitas, D.S.; Carvalho, C.M.; Aguiar Netto, A.O.A. Lâminas de irrigação e formas de adubação na produção de tomate de mesa. Rev. Agropecuária Técnica 2017, 38, 18–25. [Google Scholar] [CrossRef]
- Sousa, F.G.G.; Carvalho, R.S.C.; Melo, M.R.M.; Sartori, M.M.P.; Grassi Filho, H. Desenvolvimento e produção do tomate cereja irrigado com diferentes concentrações e disponibilidade de água residuária. Irriga 2019, 24, 582–593. [Google Scholar] [CrossRef]
- Brito, M.E.B.; Soares, L.A.A.; Lima, G.S.; Sá, F.V.S.; Araújo, T.T.; Silva, E.C.B. Crescimento e formação de fitomassa do tomateiro sob estresse hídrico nas fases fenológicas. Irriga 2015, 20, 139–153. [Google Scholar] [CrossRef]
- Silva, C.J.D.A.; Frizzone, J.A.; Silva, C.A.D.A.; Golynski, A.; Silva, L.F.M.D.A.; Megguer, C.A. Tomato yield as a function of water depths and irrigation suspension periods. Rev. Bras. Eng. Agrícola Ambient. 2019, 23, 591–597. [Google Scholar] [CrossRef]
- Santana, M.J.D.E.; Vieira, T.A.; Barreto, A.C.; Cruz, O.C. Resposta do tomateiro irrigado a níveis de reposição de água no solo. Irriga 2010, 15, 443–454. [Google Scholar] [CrossRef][Green Version]
- Seleguini, A.; Seno, S.; Faria Júnior, M.J.A. Híbridos de tomateiro industrial cultivados em ambiente protegido e campo aberto. Científica 2007, 35, 80–87. [Google Scholar]
- Fawzy, Z.F. Effect of irrigation systems on vegetative growth, fruit yield, quality and irrigation water use efficiency of tomato plants (Solanum lycopersicum L.) grown under water stress conditions. Acta Sci. Agric. 2019, 3, 172–183. [Google Scholar]
- Picanço, M.; Leite, G.L.D.; Guedes, R.N.C.; Silva, E.A. Yield loss in trellised tomato affected by insecticidal sprays end plant spacing. Crop Prot. 1998, 17, 447–452. [Google Scholar]
- Silva, A.C.T.F.; Leite, I.C.; Braz, L.T. Avaliação da viabilidade do pólen como possível indicativo de tolerância a altas temperaturas em genótipos de tomateiro. Rev. Bras. Fisiol. Veg. 2000, 12, 156–165. [Google Scholar] [CrossRef]
- Andriolo, J.L. Fisiologia da produção de hortaliças em ambiente protegido. Hortic. Bras. 2000, 18, 26–33. [Google Scholar]
- Costa, C.A.; Silva, A.C.; Sampaio, R.A.; Martins, E.R. Productivity of determinate growth tomato lines tolerant to heat under the organic system. Hortic. Bras. 2011, 29, 590–593. [Google Scholar] [CrossRef][Green Version]
- Silva, J.M.D.A.; Ferreira, R.S.; Melo, A.S.D.; Suassuna, J.F.; Dutra, A.D.; Gomes, J.P. Cultivo do tomateiro em ambiente protegido sob diferentes taxas de reposição da evapotranspiração. Rev. Bras. Eng. Agrícola Ambient. 2013, 17, 40–46. [Google Scholar] [CrossRef]
- Silva, J.A.; Dutra, A.F.; Cavalcate, N.M.S.; Melo, A.S.; Silva, F.G.; Silva, J.M. Aspectos agronômicos do tomateiro “Caline Ipa 6” cultivado sob regimes hídricos em área do semiárido. Agro@Mbiente-Line 2014, 8, 336–344. [Google Scholar] [CrossRef]
- Santiago, E.J.P.; Oliveira, G.M.; Leitão, M.; Rocha, R.C.; Pereira, A.V.A. Yield characteristics of cherry tomato cultivated with and without shading screen at different irrigation levels. Pesqui. Agropecuária Trop. 2018, 48, 374–381. [Google Scholar] [CrossRef]
- Loreti, E.; Perata, P. The many facets of hypoxia in plants. Plants 2020, 9, 745. [Google Scholar] [CrossRef]
- Públio, A.P.P.B. Desempenho do Tomateiro Híbrido Trucker em Função da Adubação Organomineral. Ph.D. Thesis, Universidade Estadual do Sudoeste da Bahia, Vitória da Conquista, Brazil, 2017; 279p. [Google Scholar]
- Almeida, M.J.; Sousa, C.M.; Rocha, M.C.; Benites, V.M.; Polidoro, J.C. Reposição deficitária de água e adubação com organomineral no crescimento e produção de tomateiro industrial. Irriga 2019, 24, 69–85. [Google Scholar] [CrossRef]
- Mazzoni-Viveiros, S.C.; Trufem, S.F.B. Efeitos da poluição aérea e edáfica no sistema radicular de Tibouchina pulchra Cogn. (Melastomataceae) em área de mata Atlântica: Associações micorrízicas e morfologia. Rev. Bras. Botânica 2004, 27, 337–589. [Google Scholar] [CrossRef]
- Barbosa, N.S.; Luz, M.S.D.; Sousa, N.G.; Santos, K.G.D. Development and evaluation of slow-release organomineral phosphate fertilizer based on coffee waste. Cienc. Agrotec. 2024, 48, e018323. [Google Scholar] [CrossRef]
- Naz, N.; Khan, I.; Gul, B.; Ayub, G.; Jan, F.; Jang, N.; And Shuaib, M. Response of tomato (Lycopersicon esculentum Mill.) growth to different phosphorous levels and sowing dates. Acta Ecol. Sin. 2019, 39, 30–35. [Google Scholar] [CrossRef]
- Yossıf, A.M.; Gezgin, S. Influence of mono-ammonium and di-ammonium phosphate on phosphorus use efficiency of maize and bread wheat plants. Selcuk. J. Agric. Food Sci. 2019, 33, 99–105. [Google Scholar] [CrossRef]
- Martín-Hernández, S.C.; Trejo-Téllez, L.I.; Gómez-Merino, F.C.; Volke-Haller, V.H.; Escalante-Estrada, J.A.; Sánchez-García, P.; Saucedo-Veloz, C. Nitrogen and potassium nutrition differentially affect tomato biomass and growth. Interciencia 2016, 41, 60–66. [Google Scholar]
- Grunert, O.; Robles-Aguilar, A.A.; Hernandez-Sanabria, E.; Schrey, S.D.; Reheu, D.; Labeke, M.C.V.; Vlaeminck, S.E.; Vandekerckhove, T.G.L.; Mysara, M.; Monsieurs, P.; et al. Tomato plants rather than fertilizers drive microbial community structure in horticultural growing media. Sci. Rep. 2019, 9, 9561. [Google Scholar] [CrossRef] [PubMed]
- Horowitz, N.; Meurer, E.J. Eficiência Agronômica Dos Fosfatos Naturais; Yamada, T., Abdalla, S.R.S., Eds.; Fósforo na Agricultura Brasileira: Piracicaba, Brazil, 2004; 688p. [Google Scholar]
- Malavolta, E. Manual de Nutrição Mineral de Plantas; Agronômica Ceres: São Paulo, Brazil, 2008; 638p. [Google Scholar]
- Prado, R.M. Nutrição de Plantas; UNESP: São Paulo, Brazil, 2008; 407p. [Google Scholar]
- Moura, W.M.; Lima, P.C.; Casali, V.W.D.; Pereira, P.R.G. Eficiência nutricional para fósforo em linhagens de pimentão. Hortic. Bras. 2001, 19, 306–312. [Google Scholar] [CrossRef]
- Filgueira, F.A.R. Novo Manual de Olericultura: Agrotecnologia Moderna na Produção e Comercialização de Hortaliças, 3rd ed.; Universidade Federal de Viçosa: Viçosa, Brazil, 2013; 421p. [Google Scholar]
- Sousa, M.C.; Rodrigues, L.F.O.S.; Silva, M.B.; Cruz, J.O.; Diamante, M.S.; Martins, B.N.M.; Simonetti, L.M.; Rodrigues, J.D. Productive and qualitative performance of tomato plants as a function of the application of plant growth regulators and mineral nutrients. Rev. Colomb. Cienc. Hortic. 2018, 12, 416–424. [Google Scholar] [CrossRef]
- Hawkesford, M.J.; Cakmak, I.; Coskun, D.; De Kok, L.J.; Lambers, H.; Schjoerring, J.K.; White, P.J. Functions of macronutrients. In Marschner’s Mineral Nutrition of Plants; Academic Press: Cambridge, MA, USA, 2023; pp. 201–281. [Google Scholar]









| Ca | Mg | Ca+Mg | Al | H+Al | K | K | S | P | CaCl2 |
|---|---|---|---|---|---|---|---|---|---|
| ----------------- cmolc dm−3 ----------------- | --------- mg dm−3 --------- | pH | |||||||
| 0.94 | 0.86 | 1.8 | 0.03 | 2.39 | 0.32 | 126 | 5.0 | 1.09 | 5.2 |
| Na | Fe | Mn | Cu | Zn | B | CEC | SB | V% | m% |
| --------------- mg dm−3 ------------------ | cmolc dm−3 | V% | m% | ||||||
| 1.0 | 21.4 | 22.52 | 4.25 | 1.13 | 0.09 | 4.51 | 2.12 | 47 | 1.4 |
| Texture (g kg−1) | OM | Ca/Mg | Ca/K | Mg/K | Ca/CEC | Mg/CEC | K/CEC | ||
| Clay | Silt | Sand | g dm−3 | ----------------- Relationship between bases ----------------- | |||||
| 450 | 80 | 470 | 36.3 | 1.1 | 2.9 | 2.7 | 20.84 | 19.07 | 7.10 |
Disclaimer/Publisher’s Note: The statements, opinions and data contained in all publications are solely those of the individual author(s) and contributor(s) and not of MDPI and/or the editor(s). MDPI and/or the editor(s) disclaim responsibility for any injury to people or property resulting from any ideas, methods, instructions or products referred to in the content. |
© 2024 by the authors. Licensee MDPI, Basel, Switzerland. This article is an open access article distributed under the terms and conditions of the Creative Commons Attribution (CC BY) license (https://creativecommons.org/licenses/by/4.0/).
Share and Cite
Lopes Sobrinho, O.P.; dos Santos, L.N.S.; Soares, F.A.L.; Teixeira, M.B.; Reis, M.N.O.; Bessa, L.A.; Vitorino, L.C. Adjusting Irrigation and Phosphate Fertilizer to Optimize Tomato Growth and Production. Agronomy 2024, 14, 1616. https://doi.org/10.3390/agronomy14081616
Lopes Sobrinho OP, dos Santos LNS, Soares FAL, Teixeira MB, Reis MNO, Bessa LA, Vitorino LC. Adjusting Irrigation and Phosphate Fertilizer to Optimize Tomato Growth and Production. Agronomy. 2024; 14(8):1616. https://doi.org/10.3390/agronomy14081616
Chicago/Turabian StyleLopes Sobrinho, Oswaldo Palma, Leonardo Nazário Silva dos Santos, Frederico Antônio Loureiro Soares, Marconi Batista Teixeira, Mateus Neri Oliveira Reis, Layara Alexandre Bessa, and Luciana Cristina Vitorino. 2024. "Adjusting Irrigation and Phosphate Fertilizer to Optimize Tomato Growth and Production" Agronomy 14, no. 8: 1616. https://doi.org/10.3390/agronomy14081616
APA StyleLopes Sobrinho, O. P., dos Santos, L. N. S., Soares, F. A. L., Teixeira, M. B., Reis, M. N. O., Bessa, L. A., & Vitorino, L. C. (2024). Adjusting Irrigation and Phosphate Fertilizer to Optimize Tomato Growth and Production. Agronomy, 14(8), 1616. https://doi.org/10.3390/agronomy14081616

