Inconsistent Yield Response of Forage Sorghum to Tillage and Row Arrangement
Abstract
1. Introduction
2. Materials and Methods
2.1. Description of Field Site and Experimental Layout
2.2. Tillage and Planting Treatments
2.3. Data Collection
2.4. Statistical Analysis
2.5. Environmental Data
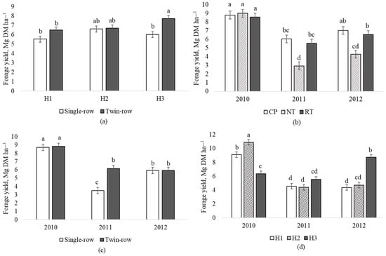
3. Results
3.1. North Location
3.2. South Location
4. Discussion
5. Conclusions
Author Contributions
Funding
Data Availability Statement
Conflicts of Interest
References
- Szambelan, K.; Nowak, J.; Frankowski, J.; Szwengiel, A.; Jeleń, H.; Burczyk, H. The comprehensive analysis of sorghum cultivated in Poland for energy purposes: Separate hydrolysis and fermentation and simultaneous saccharification and fermentation methods and their impact on bioethanol effectiveness and volatile by-products from the grain and the energy potential of sorghum straw. Bioresour. Technol. 2018, 250, 750–757. [Google Scholar] [PubMed]
- Batog, J.; Frankowski, J.; Wawro, A.; Lacka, A. Bioethanol production from biomass of selected sorghum varieties cultivated as main and second crop. Energies 2020, 13, 6291. [Google Scholar] [CrossRef]
- Safian, N.; Naderi, M.R.; Torabi, M.; Soleymani, A.; Salemi, H.R. Corn (Zea mays L.) and sorghum (Sorghum bicolor (L.) Moench) yield and nutritional quality affected by drought stress. Biocatal. Agric. Biotechnol. 2022, 45, 102486. [Google Scholar] [CrossRef]
- Bhattarai, B.; Singh, S.; West, C.P.; Ritchie, G.L.; Trostle, C.L. Effect of deficit irrigation on physiology and forage yield of forage sorghum, pearl millet, and corn. Crop Sci. 2020, 60, 2167–2179. [Google Scholar] [CrossRef]
- Dann, H.M.; Grant, R.J.; Cotanch, K.W.; Thomas, E.D.; Ballard, C.S.; Rice, R. Comparison of brown midrib sorghum-sudangrass with corn silage on lactational performance nutrient digestibility in Holstein dairy cows. J. Dairy Sci. 2008, 91, 663–672. [Google Scholar] [CrossRef] [PubMed]
- McCuistion, K.C.; McCollum, F.T., III; Greene, L.W.; MacDonald, J.; Bean, B. Performance of stocker cattle grazing 2 sorghum-sudangrass hybrids under various stocking rates. Prof. Anim. Sci. 2011, 27, 92–100. [Google Scholar] [CrossRef]
- Wu, L.; Wu, L.; Bingham, I.J.; Misselbrook, T.H. Projected climate effects on soil workability and trafficability determine the feasibility of converting permanent grassland to arable land. Agric. Syst. 2022, 203, 103500. [Google Scholar] [CrossRef]
- Kumar, K.; Goh, K. Crop residues and management practices: Effects on soil quality. Soil nitrogen dynamics, crop yield, and nitrogen recovery. Adv. Agron. 2000, 68, 197–319. [Google Scholar]
- Baumhardt, R.L.; Schwartz, R.C.; MacDonald, J.C.; Tolk, J.A. Tillage and cattle grazing effects on soil properties and grain yields in a dryland wheat–sorghum–fallow rotation. Agron. J. 2011, 103, 914–922. [Google Scholar] [CrossRef]
- Wicks, G.A.; Smika, D.E.; Hergert, G.W. Long-term effects of no-tillage in a winter wheat (Triticum aestivum)-sorghum (Sorghum bicolor)-fallow rotation. Weed Sci. 1988, 36, 384–393. [Google Scholar] [CrossRef]
- Bishnoi, U.R.; Mays, D.A.; Fabasso, M.T. Response of no-till and conventionally planted grain sorghum to weed control method and row spacing. Plant Soil 1990, 129, 117–120. [Google Scholar] [CrossRef]
- Varner, B.T.; Epplin, F.M.; Strickland, G.L. Economics of no-till versus tilled dryland cotton, grain sorghum, and wheat. Agron. J. 2011, 103, 1329–1338. [Google Scholar] [CrossRef]
- Porter, K.B.; Jensen, M.E.; Sletten, W.H. The effect of row spacing, fertilizer and planting rate on the yield and water use of irrigated grain sorghum 1. Agron. J. 1960, 52, 431–434. [Google Scholar] [CrossRef]
- Grichar, W.J. Row spacing, plant populations, and cultivar effects on soybean production along the Texas Gulf Coast. Crop Manag. 2007, 6, 1–6. [Google Scholar] [CrossRef][Green Version]
- Novacek, M.J.; Mason, S.C.; Galusha, T.D.; Yaseen, M. Twin rows minimally impact irrigated maize yield, morphology, and lodging. Agron. J. 2013, 105, 268–276. [Google Scholar] [CrossRef]
- Licht, M.A.; Parvej, M.R.; Wright, E.E. Corn yield response to row spacing and plant population in Iowa. Crop Forage Turfgrass Manag. 2019, 5, 1–7. [Google Scholar] [CrossRef]
- Andrade, F.H.; Calviño, P.; Cirilo, A.; Barbieri, P. Yield responses to narrow rows depend on increased radiation interception. Agron. J. 2002, 94, 975–980. [Google Scholar] [CrossRef]
- Bullock, D.G.; Nielsen, R.L.; Nyquist, W.E. A growth analysis comparison of corn grown in convention and equidistant plant spacing. Crop Sci. 1988, 28, 254–258. [Google Scholar] [CrossRef]
- Farnham, D.E. Row spacing, plant density, and hybrid effects on corn grain yield and moisture. Agron. J. 2001, 93, 1049–1053. [Google Scholar] [CrossRef]
- Lee, C.D. Reducing row widths to increase yield: Why it does not always work. Crop Manag. 2006, 5, 1–7. [Google Scholar] [CrossRef]
- Quintana-Ashwell, N.; Anapalli, S.S.; Pinnamaneni, S.R.; Kaur, G.; Reddy, K.N.; Fisher, D. Profitability of twin-row planting and skip-row irrigation in a humid climate. Agron. J. 2022, 114, 1209–1219. [Google Scholar] [CrossRef]
- Lyon, D.J.; Pavlista, A.D.; Hergert, G.W.; Klein, R.N.; Shapiro, C.A.; Knezevic, S.; Mason, S.C.; Nelson, L.A.; Baltensperger, D.D.; Elmore, R.W.; et al. Skip-row planting patterns stabilize corn grain yields in the central Great Plains. Crop Manag. 2009, 8, 1–8. [Google Scholar] [CrossRef]
- Fernandez, C.J.; Fromme, D.D.; Grichar, W.J. Grain sorghum response to row spacing and plant populations in the Texas Coastal Bend Region. Int. J. Agron. 2012, 2012, 238634. [Google Scholar] [CrossRef]
- Sainju, U.M.; Whitehead, W.F.; Singh, B.P.; Wang, S. Tillage, cover crops, and nitrogen fertilization effects on soil nitrogen and cotton and sorghum yields. Eur. J. Agron. 2006, 25, 372–382. [Google Scholar] [CrossRef]
- Tarkalson, D.D.; Hergert, G.W.; Cassman, K.G. Long-term effects of tillage on soil chemical properties and grain yields of dryland winter wheat-sorghum/corn-fallow rotation in the Great Plains. Agron. J. 2006, 98, 26–33. [Google Scholar] [CrossRef]
- Bordovsky, D.G.; Choudhary, M.; Gerard, C.J. Tillage effects on grain sorghum and wheat yields in the Texas Rolling Plains. Agron. J. 1998, 90, 638–643. [Google Scholar] [CrossRef]
- Sweeney, D.W. Twenty years of grain sorghum and soybean yield response to tillage and N fertilization of a claypan soil. Crop Forage Turfgrass Manag. 2017, 3, 1–7. [Google Scholar] [CrossRef]
- Matowo, P.R.; Pierzynski, G.M.; Whitney, D.A.; Lamond, R.E. Long term effects of tillage and nitrogen source, rate, and placement on grain sorghum production. J. Prod. Agric. 1997, 10, 141–146. [Google Scholar] [CrossRef]
- Kaspar, T.C.; Erbach, D.C.; Cruse, R.M. Corn response to seed-row residue removal. Soil Sci. Soc. Am. J. 1990, 54, 1112–1117. [Google Scholar] [CrossRef]
- Schneider, E.C.; Gupta, S.C. Corn emergence as influenced by soil temperature, matric potential, and aggregate size distribution. Soil Sci. Soc. Am. J. 1985, 49, 415–422. [Google Scholar] [CrossRef]
- Fortin, M.C. Soil temperature, soil water, and no-till corn development following in-row residue removal. Agron. J. 1993, 85, 571–576. [Google Scholar] [CrossRef]
- Wang, X.B.; Cai, D.X.; Hoogmoed, W.B.; Oenema, O.; Perdok, U.D. Developments in conservation tillage in rainfed regions of North China. Soil Tillage Res. 2007, 93, 239–250. [Google Scholar] [CrossRef]
- Hansen, N.C.; Allen, B.L.; Baumhardt, R.L.; Lyon, D.J. Research achievements and adoption of no-till, dryland cropping in the semi-arid U.S. Great Plains. Field Crops Res. 2012, 132, 196–203. [Google Scholar] [CrossRef]
- DeFelice, M.S.; Carter, P.R.; Mitchell, S.B. Influence of tillage on corn and soybean yield in the United States and Canada. Crop Manag. 2006, 5, 1–17. [Google Scholar] [CrossRef]
- Al-Kaisi, M.M.; Archontoulis, S.V.; Kwaw-Mensah, D.; Miguez, F. Tillage and crop rotation effects on corn agronomic response and economic return at seven Iowa locations. Agron. J. 2015, 107, 1411–1424. [Google Scholar] [CrossRef]
- Mahboubi, A.A.; Lal, R. Long-term tillage effects on changes in structural properties of two soils in central Ohio. Soil Tillage Res. 1998, 45, 107–118. [Google Scholar] [CrossRef]
- Creamer, N.G.; Dabney, S.M. Killing cover crops mechanically: Review of recent literature and assessment of new research results. Am. J. Altern. Agric. 2022, 17, 32–40. [Google Scholar]
- Lal, R. Soil carbon sequestration and aggregation by cover cropping. J. Soil Water Conserv. 2015, 70, 329–339. [Google Scholar] [CrossRef]
- Che, Y.; Rejesus, R.M.; Cavigelli, M.A.; White, K.E.; Aglasan, S.; Knight, L.G.; Dell, C.; Hollinger, D.; Lane, E.D. Long-term economic impacts of no-till adoption. Soil Secur. 2023, 13, 100103. [Google Scholar] [CrossRef]
- Robles, M.; Ciampitti, I.A.; Vyn, T.J. Dynamics of maize plant responses to a twin-row spatial arrangement at multiple plant densities. Agron. J. 2012, 104, 1747–1756. [Google Scholar] [CrossRef]
- Begna, S.H.; Hamilton, R.I.; Dwyer, L.M.; Stewart, D.W.; Smith, D.L. Effects of population density and planting pattern on the yield and yield components of leafy reduced-stature maize in a short-season area. J. Agron. Crop Sci. 1997, 179, 9–17. [Google Scholar] [CrossRef]
- Snider, J.L.; Raper, R.L.; Schwab, E.B. The effect of row spacing and seeding rate on biomass production and plant stand characteristics of non-irrigated photoperiod-sensitive sorghum (Sorghum bicolor (L.) Moench). Ind. Crops Prod. 2012, 37, 527–535. [Google Scholar] [CrossRef]
- Karlen, D.L.; Camp, C.R. Row spacing, plant population, and water management effects on corn in the Atlantic Coastal Plain. Agron. J. 1985, 77, 393–398. [Google Scholar] [CrossRef]
- Thapa, S.; Xue, Q.; Stewart, B.A. Alternative planting geometries reduce production risk in corn and sorghum in water-limited environments. Agron. J. 2020, 112, 3322–3334. [Google Scholar] [CrossRef]
- Caravetta, G.J.; Cherney, J.H.; Johnson, K.D. Within-row spacing influences on diverse sorghum genotypes: I. Morphology. Agron. J. 1990, 82, 206–210. [Google Scholar] [CrossRef]
- Rusk, R.; Sievers, J.L. Comparison of Twin Row and 30-in. Row Corn. Iowa State Univ. Res. Demonstr. Farms Prog. Rep. 2010, 268. Available online: http://lib.dr.iastate.edu/farms_reports/268 (accessed on 7 July 2024).
- Barr, R.L.; Mason, S.C.; Novacek, M.J.; Wortmann, C.S.; Rees, J.M. Row Spacing and Seeding Rate Recommendations for Corn in Nebraska G2216. University of Nebraska-Lincoln Extension. 2013. Available online: http://extensionpublications.unl.edu/assets/pdf/g2216.pdf (accessed on 7 July 2024).




Disclaimer/Publisher’s Note: The statements, opinions and data contained in all publications are solely those of the individual author(s) and contributor(s) and not of MDPI and/or the editor(s). MDPI and/or the editor(s) disclaim responsibility for any injury to people or property resulting from any ideas, methods, instructions or products referred to in the content. |
© 2024 by the authors. Licensee MDPI, Basel, Switzerland. This article is an open access article distributed under the terms and conditions of the Creative Commons Attribution (CC BY) license (https://creativecommons.org/licenses/by/4.0/).
Share and Cite
Nieman, C.C.; Franco, J.G.; Raper, R.L. Inconsistent Yield Response of Forage Sorghum to Tillage and Row Arrangement. Agronomy 2024, 14, 1510. https://doi.org/10.3390/agronomy14071510
Nieman CC, Franco JG, Raper RL. Inconsistent Yield Response of Forage Sorghum to Tillage and Row Arrangement. Agronomy. 2024; 14(7):1510. https://doi.org/10.3390/agronomy14071510
Chicago/Turabian StyleNieman, Christine C., Jose G. Franco, and Randy L. Raper. 2024. "Inconsistent Yield Response of Forage Sorghum to Tillage and Row Arrangement" Agronomy 14, no. 7: 1510. https://doi.org/10.3390/agronomy14071510
APA StyleNieman, C. C., Franco, J. G., & Raper, R. L. (2024). Inconsistent Yield Response of Forage Sorghum to Tillage and Row Arrangement. Agronomy, 14(7), 1510. https://doi.org/10.3390/agronomy14071510

