Sensitivity Analysis of Performance Indices of Surge-Flow Irrigation with System Variables Using the SIRMOD Model
Abstract
1. Introduction
2. Materials and Methods
2.1. Physical Parameters for Surge Irrigation
- (1)
- System parameters: parameters that characterize the system under study and have little or no margin for change (the required irrigation depth (Zreq), the maximum allowable velocity (Vmax), the field slope (So), the roughness expressed through the Manning’s coefficient (n), the infiltration equation (k, a and fo, given the modified Kostiakov–Lewis infiltration equation), and the parameters characterizing the furrow’s geometry).
- (2)
- System variables: variables whose magnitudes can change within a relatively wide range of values defined by the decision maker (the flow rate (Qo), the time of cutoff (tco) defined from the number of cycles and surge times, and, to a lesser extent, the furrow length (L)).
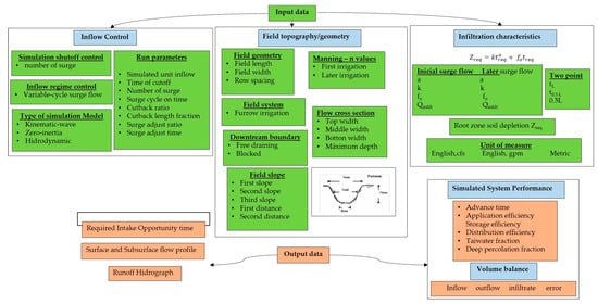
2.2. Simulation Model
2.2.1. SIRMOD III Software
2.2.2. Irrigation Performance Indices
2.3. Field Data
2.4. Calibration and Validation of the SIRMOD Model
2.5. Sensitivity Analysisof Performance Indices with SIRMOD Software
3. Results and Discussion
3.1. Simulation Performance Indices as a Function of L
3.2. Simulation Performance Indices as a Function of Qo
3.3. Simulation Performance Indices as a Function of n
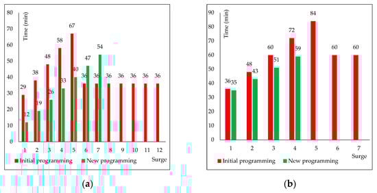
3.4. Optimization of System Variables
4. Conclusions
Author Contributions
Funding
Data Availability Statement
Acknowledgments
Conflicts of Interest
References
- Mazarei, R.; Mohammadi, A.S.; Naseri, A.A.; Ebrahimian, H.; Naseri, A.A. Temporal variability of infiltration and roughness coefficients and furrow irrigation performance under different inflow rates. Agric. Water Manag. 2021, 245, 106465. [Google Scholar] [CrossRef]
- Xu, J.; Cai, H.; Saddique, Q.; Wang, X.; Li, L.; Ma, C.; Lu, Y. Evaluation and optimization of border irrigation in different irrigation seasons based on temporal variation of infiltration and roughness. Agric. Water Manag. 2019, 214, 64–77. [Google Scholar] [CrossRef]
- Ahmadabad, Y.H.; Liaghat, A.; Sohrabi, T.; Razoulzadeh, A.; Ebrahimian, H. Improving performance of furrow irrigation systems using simulation modeling in the Moghan Plain of Iran. J. Irrig. Drain. 2021, 70, 131–149. [Google Scholar] [CrossRef]
- Varlev, I. Improvement in the uniformity along the furrows and beds with surge irrigation. Sci. Work. Inst. Land Improv. 1971, XII, 5–21. [Google Scholar]
- Varlev, I.; Popova, Z.; Gospodinov, I. Furrow surge irrigation as a water saving technique. In Water and the Environment: Innovation Issues in Irrigation and Drainage; Pereira, L.S., Gowing, J.W., Eds.; Selected Papers of 1st Inter-Regional Conf. Environment–Water, Lisbon; E & FN Spon: London, UK, 1998; pp. 131–139. [Google Scholar]
- Penzin, M.P.; Terpigorev, A.A. Proving a way of irrigation stream regulation under furrow irrigation. In New Irrigation Techniques and Technologies; Ugrumov, A.V., Ed.; All-Union Research Institute for Hydraulic Engineering and Land Reclamation (VNIIGiM): Moscow, Russia, 1977; pp. 9–17. [Google Scholar]
- Khamrayev, N.R.; Yusupov, T.Y. Surge flow technology. Cotton Prod. J. 1980, 7, 30–32. [Google Scholar]
- Terpigorev, A.A. Water movement in furrows in case of surge-flow irrigation under conditions of high slopes. In Major Trends on Technical Progress in Irrigation Mechanization and Technologies; Ugrumov, A.V., Ed.; VNIIGeM: Moscow, Russia, 1983; pp. 129–134. [Google Scholar]
- Pavlov, G.N.; Horst, M.G. About a method of surge irrigation parameters calculation. In Land Reclamation and Water Management; Dukhovny, V.A., Ed.; SANIIRI: Tashkent, Uzbekistan, 1995; pp. 73–86. [Google Scholar]
- Stringham, G.E.; Keller, J. Surge flow for automatic irrigation. In Proceedings of the Specialty Conference of American Society of Civil Engineers, New York, NY, USA, 17–20 July 1979; pp. 132–142. [Google Scholar]
- Coolidge, P.S. Advance Rates under an Automated Pulsed Flow Irrigation System. Master’s Thesis, Utha State University, Logan, UT, USA, 1981. [Google Scholar]
- Coolidge, P.S.; Walker, W.R.; Bishop, A.A. Advance and Runoff Surge Flow Furrow Irrigation. J. Irrig. Drain. Div. ASAE 1982, 108, 35–42. [Google Scholar] [CrossRef]
- Paula, M. Surface irrigation theory and practice: Wyn R. Walker and Gaylord V. Skogerboe. Prentice-Hall, Englewood Cliffs, NJ, U.S.A. Agric. Water Manag. 1988, 15, 205–207. [Google Scholar] [CrossRef]
- Izuno, F.T.; Podmore, T.H. Surge Irrigation Management. Agric. Water Manag. 1986, 11, 279–291. [Google Scholar] [CrossRef]
- Humpherys, A.S. Surge irrigation: 1. An overview. ICID Bull. 1989, 38, 35–48. [Google Scholar]
- Schaible, G.D.; Aillery, M.P. Water Conservation in Irrigated Agriculture: Trends and Challenges in the Face of Emerging Demands; Economic Research Service, Economic Information Bulletin 99; USDA: Washington, DC, USA, 2012; 67p. Available online: http://www.ers.usda.gov (accessed on 17 August 2023).
- Amer, M.H.; Attafy, T.M. Effect of Surge Flow on some Irrigation Indices of Furrow Irrigation System. J. Soil Sci. Agric. Eng. Mansoura Univ. 2017, 8, 703–708. [Google Scholar] [CrossRef]
- Mazarei, R.; Mohammadi, A.S.; Naseri, A.A.; Ebrahimian, H.; Izadpanah, Z. Optimization of furrow irrigation performance of sugarcane fields based on inflow and geometric parameters using WinSRFR in Southwest of Iran. Agric. Water Manag. 2020, 228, 105899. [Google Scholar] [CrossRef]
- Eid, S.M. Surge Flow Irrigation for Corn and Wheat under Different Land Levelling Practices in Heavy Clay Soils. Doctoral Dissertation, Department of Soil Science, Faculty of Agriculture, Kafr El-Sheikh, Tanta University, Tanta, Egypt, 1998. [Google Scholar]
- Kifle, M.; Tilahun, K.; Yazew, E. Evaluation of surge flow furrow irrigation for onion production in a semiarid region of Ethiopia. Irrig. Sci. 2008, 26, 325–333. [Google Scholar] [CrossRef]
- Mattar, M.A.; El-Saadawy, M.A.; Helmy, M.A.; Sorour, H.M. Field assessment of surge and continuous furrow irrigation methods in relation to tillage systems. Int. Agrophysic 2017, 31, 219–230. [Google Scholar] [CrossRef]
- Kifle, M.; Gebremicael, T.G.; Girmay, A.; Gebremedihin, T. Effect of surge flow and alternate irrigation on the irrigation efficiency and water productivity of onion in the semi-arid areas of North Ethiopia. Agric. Water Manag. 2017, 187, 69–76. [Google Scholar] [CrossRef]
- Mehri, A.; Mohammadi, A.M.; Ebrahimian, H.; Boroomandnasab, S. Evaluation and optimization of surge and alternate furrow irrigation performance in maize fields using the WinSRFR software. Agric. Water Manag. 2023, 276, 108052. [Google Scholar] [CrossRef]
- Romay, C.; Morabito, J.A. Comparison between Traditional and Surge Flow Irrigation. Analysis of Cases in Mendoza—Argentina. In Proceedings of the International Conference Efficient Use of Water, Mendoza, Argentina, 26–28 April 2000. [Google Scholar]
- Romay, C.; Morabito, J.A.; Salatino, S.; Roby, O.; Solsona, J.; Alturria, L. Integral Assessment of Surge Flow Irrigation in Argentine Irrigated Oasis. Irrigation efficiency, economic analysis and user evaluation. In Fourth Inter-American Dialogue on Water Management. “In Quest of solutions”; Foz de Iguazú: Paraná, Brasil, 2001. [Google Scholar]
- Horst, M.G.; Shamutalov, S.S.; Gonçalves, J.M.; Pereira, L.S. Assessing impacts of surge-flow irrigation on water saving and productivity of cotton. Agric. Water Manag. 2007, 87, 115–127. [Google Scholar] [CrossRef]
- Mohammed, A.; Abdeen, N.; Hamid, A.R. Effect of irrigation technique on efficiency of furrow irrigation. In Proceedings of the International Conference on Chemical, Environmental and Biological Sciences (CEBS-2015), Dubai, United Arab Emirates, 18–19 March 2015; pp. 168–170. [Google Scholar] [CrossRef]
- Mailapalli, D.R.; Singh, R.; Raghuwanshi, N.S. Physically based model for simulating flow in furrow irrigation. I: Model development. ASCE J. Irrig. Drain. Eng. 2009, 135, 739–746. [Google Scholar] [CrossRef]
- Walker, W.R.; Lee, T. Kinematic Wave Approximation of Surged Furrow Advance. J. Irrig. Drain. Div. ASAE Winter Meet. 1981, 81, 2544. [Google Scholar]
- Elliott, R.L.; Walker, W.R. Field evaluation of furrow infiltration and advance functions. Trans. ASAE 1982, 25, 396–400. [Google Scholar] [CrossRef]
- Purkey, D.R.; Wallender, W.W. Surge Flow Infiltration Variability. Soil Water Div. Trans. ASAE 1989, 32, 894–900. [Google Scholar] [CrossRef]
- Essafi, B. A Recursive Volume Balance Model for Continuous and Surge Flow Irrigation. Ph.D. Thesis, Department of Agricultural and Irrigation Engineering, Utah State University, Logan, UT, USA, 1983. [Google Scholar]
- Camacho, E.; Roldán, J.; Alcaide, M. Infiltration Under Surge Furrow Irrigation. In International Symposium on Irrigation of Horticultural Crops. Acta Hortic. 1993, 335, 497–504. [Google Scholar] [CrossRef]
- Cahoon, J.; Eisenhauer, D. Inferences of Cycle Ratio-Time Surged Flow Infiltration Function. Irrig. Sci. 1994, 15, 173–182. [Google Scholar] [CrossRef]
- Utah State University. Surface Irrigation Simulation Software, SIRMOD III; Irrigation Software Division, Biological and Irrigation Engineering Department, Utah State University: Logan, UT, USA, 2003. [Google Scholar]
- Bautista, E.; Schlegel, J.L. WinSRFR 5.1. USDA-Agricultural Research Service Arid Land Agricultural Research Center, 21881 North Cardon Lane Maricopa, AZ, USA 85138. 2019. Available online: http://www.ars.usda.gov/services/software/download.htm?softwareid=413 (accessed on 15 November 2019).
- Bautista, E.; Clemmens, A.J.; Strelkoff, T.S.; Schlegel, J. Modern analysis of surface irrigation systems with WinSRFR. Agric. Water Manag. 2009, 96, 1146–1154. [Google Scholar] [CrossRef]
- Bautista, E.; Clemmens, A.J.; Strelkoff, T.S.; Niblackl, M. Analysis of surface irrigation systems with WinSRFR, example application. Agric. Water Manag. 2009, 96, 1162–1169. [Google Scholar] [CrossRef]
- Ismail, S.M.; Thabet, A.; Abdel El-Al, A.; Omara, A.I. Improving irrigation performance of raised bed wheat using the WinSRFR model under Egyptian condition. J. Agric. Eng. 2021, 38, 309–332. [Google Scholar] [CrossRef]
- Yadeta, B.; Ayana, M.; Yitayew, M.; Hordofa, T. Performance evaluation of furrow irrigation water management practice under Wonji Shoa Sugar Estate condition, in Central Ethiopia. J. Eng. Appl. Sci. 2022, 69, 21. [Google Scholar] [CrossRef]
- Ebrahimian, H.; Ghaffari, P.; Ghameshlou, A.N.; Tabatabaei, S.H.; Dizaj, A.A. Extensive comparison of various infiltration estimation methods for furrow irrigation under different field conditions. Agric. Water Manag. 2020, 230, 105960. [Google Scholar] [CrossRef]
- Hornbuckle, J.W.; Chisten, E.W.; Faulkner, R.D. Improving the Efficiency and Performance of Furrow Irrigation Using Simulation Modeling in South-Eastern Australia; Environmental Engineering Department, University of New England: Armidale, NSW, Australia, 1999; pp. 1–18. Available online: https://www.researchgate.net/publication/242688203 (accessed on 25 August 2023).
- Ebrahimian, H.; Liaghat, A. Field evaluation of various mathematical models for furrow and border irrigation systems. J. Soil Water Res. 2011, 6, 91–101. [Google Scholar] [CrossRef]
- Feyen, J.; Zerihun, D. Assessment of the performance of border and furrow irrigation systems and the relationship between performance indicators and system variables. Agric. Water Manag. 1999, 40, 353–362. [Google Scholar]
- Losada, A. Irrigation Methods: Introduction, Design, Operational Irrigation Units; International Irrigation Course; Agricultural Research Institute (INIA, CRIDA): Córdoba, Chile, 1982. [Google Scholar]
- Jurriens, M.; Zerihun, D.; Boonstra, J.; Feyen, J. SURDEV: Surface Irrigation Software, Design, Operation, and Evaluation of Basin, Border, and Furrow Irrigation; International Institute for Land Reclamation and Improvement, ILRI: Wageningen, The Netherlands, 2001. [Google Scholar]
- Walker, W.R. SIRMOD—Surface Irrigation Modeling Software; Utah State University: Logan, UT, USA, 1998. [Google Scholar]
- Romay, C. Performance of Surge Flow Irrigation in Mendoza, Argentina. Current and Potential Efficiencies. Master’s Thesis, Faculty of Agrarian Science, Cuyo National University, Mendoza, Argentina, 2014. [Google Scholar]
- Gee, G.W.; Or, D. Particle-size analysis. In Methods of Soil Analysis. Part 4; Book Series No. 5; Daney, J.H., Topp, G.C., Eds.; SSSA: Madison, WI, USA, 2002; pp. 255–293. [Google Scholar]
- Erbach, D.C. Measurement of Soil Bulk Density and Moisture. Trans. Am. Soc. Agric. Eng. 1987, 30, 922–931. [Google Scholar] [CrossRef]
- Page, A.L.; Miller, R.H.; Keeney, D.R. Methods of Soil Analysis. Part II, Chemical and Microbiological Properties, 2nd ed.; American Society of Agronomy, Inc.: Madison, WI, USA, 1982. [Google Scholar]
- Rosches, K. Surface Irrigation. Characteristics, Design and Performance; Department of Irrigation and Civil Engineering, Agriculture University: Wageningen, The Netherland, 1985. [Google Scholar]
- Merrian, J.; Keller, J.; Alfaro, J. Irrigation System Evaluation and Improvement; Department of Agriculture and Utah Water Research Laboratory, Utah State University: Logan, UT, USA, 1973. [Google Scholar]
- Holzapfel, E.A.; Leiva, C.; Marino, M.A.; Paredes, J.; Arumí, J.L.; Billib, M. Furrow irrigation management and design criteria using efficiency parameters and simulation models. Chil. J. Agric. Res. 2010, 70, 287–296. [Google Scholar] [CrossRef]
- Salahou, M.K.; Xiyun, J.; Haishen, L. Border irrigation performance with distance-based cut off. Agric. Water Manag. 2018, 201, 27–37. [Google Scholar] [CrossRef]
- Nie, W.B.; Li, Y.B.; Zhang, F.; Ma, X.Y. Optimal discharge for closed-end border irrigation under soil infiltration variability. Agric. Water Manag. 2019, 221, 58–65. [Google Scholar] [CrossRef]
- Kapur, B.; Ünlü, M.; Kanber, R.; Tekın, S.; Koç, D.L.; Kekeç, U. A comparative field study of the alternate every other furrow surge irrigation and the every furrow surge irrigation techniques. J. Food Agric. Environ. 2013, 11, 389–397. [Google Scholar]
- Pascual-Seva, N.; San Bautista, A.; López-Galarza, S.; Maroto, J.V.; Pascual, B. Furrow-irrigated chufa crops in Valencia (Spain). II: Performance analysis and optimization. Span. J. Agric. Res. 2013, 11, 268–278. [Google Scholar] [CrossRef]
- Gudissa, H.D.; Edossa, D.C. Evaluation of surge and cutback flow furrow irrigation systems for pepper (Capsicum annuum) production. J. Irrig. Drain. 2014, 63, 463–473. [Google Scholar] [CrossRef]











| Physical Properties, Parameters and System Variables | Fine Soil (Silty Clay Loam) | Medium Soil (Loam) | Coarse Soil (Sandy Loam) | |
|---|---|---|---|---|
| Sand (%) | 7 | 37 | 64 | |
| Silt (%) | 53 | 42 | 24 | |
| Clay (%) | 40 | 21 | 12 | |
| BD (g cm−3) | 1.26 | 1.42 | 1.50 | |
| WB (mm) Kostiakov | 5.6 | 10.5 | 23.6 | |
| A (-) Kostiakov | 0.42 | 0.4 | 0.43 | |
| Ib (mm h−1) Kostiakov | 4.5 | 8.0 | 39.9 | |
| Qo (l s−1) | 0.62 | 0.65 | 0.63 | |
| L (m) | 180 | 187 | 180 | |
| tco (min) | 708 | 708 | 420 | |
| w (m) | 0.9 | 0.9 | 0.5 | |
| So (m m−1) | 0.0016 | 0.0024 | 0.0062 | |
| n (m1/6) (dry surge) | 0.04 | 0.04 | 0.04 | |
| n (m1/6) (wet surge) | 0.02 | 0.02 | 0.02 | |
| Dry surge | σ1 (m2–σ2) | 1.535 | 0.734 | 0.731 |
| σ2 (-) | 1.713 | 1.468 | 1.536 | |
| γ1 (m1-γ2) | 3.134 | 1.517 | 1.767 | |
| γ2 (-) | 0.750 | 0.551 | 0.656 | |
| Ao (m2) (dry surge) | 0.00733 | 0.00605 | 0.00416 | |
| Wet surge | σ1 (m2–σ2) | 1.487 | 2.101 | 0.805 |
| σ2 (-) | 1.720 | 1.801 | 1.509 | |
| γ1 (m1-γ2) | 2.851 | 3.149 | 1.487 | |
| γ2 (-) | 0.734 | 0.730 | 0.553 | |
| Ao (m2) wet surge | 0.00440 | 0.00398 | 0.00268 | |
| Vmax (m min−1) | 14 | 11 | 9 | |
| Zr (mm) | 74 | 54 | 97 | |
| Dry surge | k (mm3 m−1 min−a) | 0.0008 | 0.00184 | 0.00201 |
| a (-) | 0.73 | 0.457 | 0.555 | |
| fo (mm3 m−1 min) | 0.000148 | 0.000137 | 0.000155 | |
| Wet surge | k (mm3 m−1 min−a) | 0.0025 | 0.00174 | 0.00175 |
| a (-) | 0.002 | 0.428 | 0.472 | |
| fo (mm3 m−1 min) | 0.000148 | 0.000128 | 0.000131 | |
| Performance (%) | Initial Schedule Textures Fine Medium Coarse | New Schedule Texture Fine Medium Coarse | ||||
|---|---|---|---|---|---|---|
| AE | 47 | 35 | 56 | 90 | 93 | 85 |
| SE | 100 | 100 | 100 | 98 | 92 | 94 |
| DE | 92 | 92 | 71 | 93 | 81 | 98 |
| DP | 39 | 16 | 44 | 4 | 3 | 15 |
| RO | 14 | 49 | 0 | 6 | 4 | 0 |
Disclaimer/Publisher’s Note: The statements, opinions and data contained in all publications are solely those of the individual author(s) and contributor(s) and not of MDPI and/or the editor(s). MDPI and/or the editor(s) disclaim responsibility for any injury to people or property resulting from any ideas, methods, instructions or products referred to in the content. |
© 2024 by the authors. Licensee MDPI, Basel, Switzerland. This article is an open access article distributed under the terms and conditions of the Creative Commons Attribution (CC BY) license (https://creativecommons.org/licenses/by/4.0/).
Share and Cite
Romay, C.; Ezquerra-Canalejo, A.; Botta, G.F. Sensitivity Analysis of Performance Indices of Surge-Flow Irrigation with System Variables Using the SIRMOD Model. Agronomy 2024, 14, 1509. https://doi.org/10.3390/agronomy14071509
Romay C, Ezquerra-Canalejo A, Botta GF. Sensitivity Analysis of Performance Indices of Surge-Flow Irrigation with System Variables Using the SIRMOD Model. Agronomy. 2024; 14(7):1509. https://doi.org/10.3390/agronomy14071509
Chicago/Turabian StyleRomay, Catalina, Alejandra Ezquerra-Canalejo, and Guido Fernando Botta. 2024. "Sensitivity Analysis of Performance Indices of Surge-Flow Irrigation with System Variables Using the SIRMOD Model" Agronomy 14, no. 7: 1509. https://doi.org/10.3390/agronomy14071509
APA StyleRomay, C., Ezquerra-Canalejo, A., & Botta, G. F. (2024). Sensitivity Analysis of Performance Indices of Surge-Flow Irrigation with System Variables Using the SIRMOD Model. Agronomy, 14(7), 1509. https://doi.org/10.3390/agronomy14071509

