Effects of Organic Fertilizer with Different Degrees of Maturity on Bacteria in Saline–Alkali Soil
Abstract
1. Introduction
2. Materials and Methods
2.1. Test Materials
2.2. Experimental Design and Method
2.3. Sampling and Processing
2.4. Determination Items and Methods
2.5. Data Analysis
3. Results and Analysis
3.1. OTU Distribution of Soil Bacteria Caused by Organic Fertilizer with Different Degrees of Maturity
3.2. Analysis of Alpha Diversity of Soil Bacteria Caused by Organic Fertilizer with Different Degrees of Maturity
3.3. Analysis of Beta Diversity of Soil Bacteria Caused by Organic Fertilizer with Different Degrees of Maturity
3.4. Effects of Organic Fertilizers with Different Degrees of Maturity on Soil Bacterial Community Structure
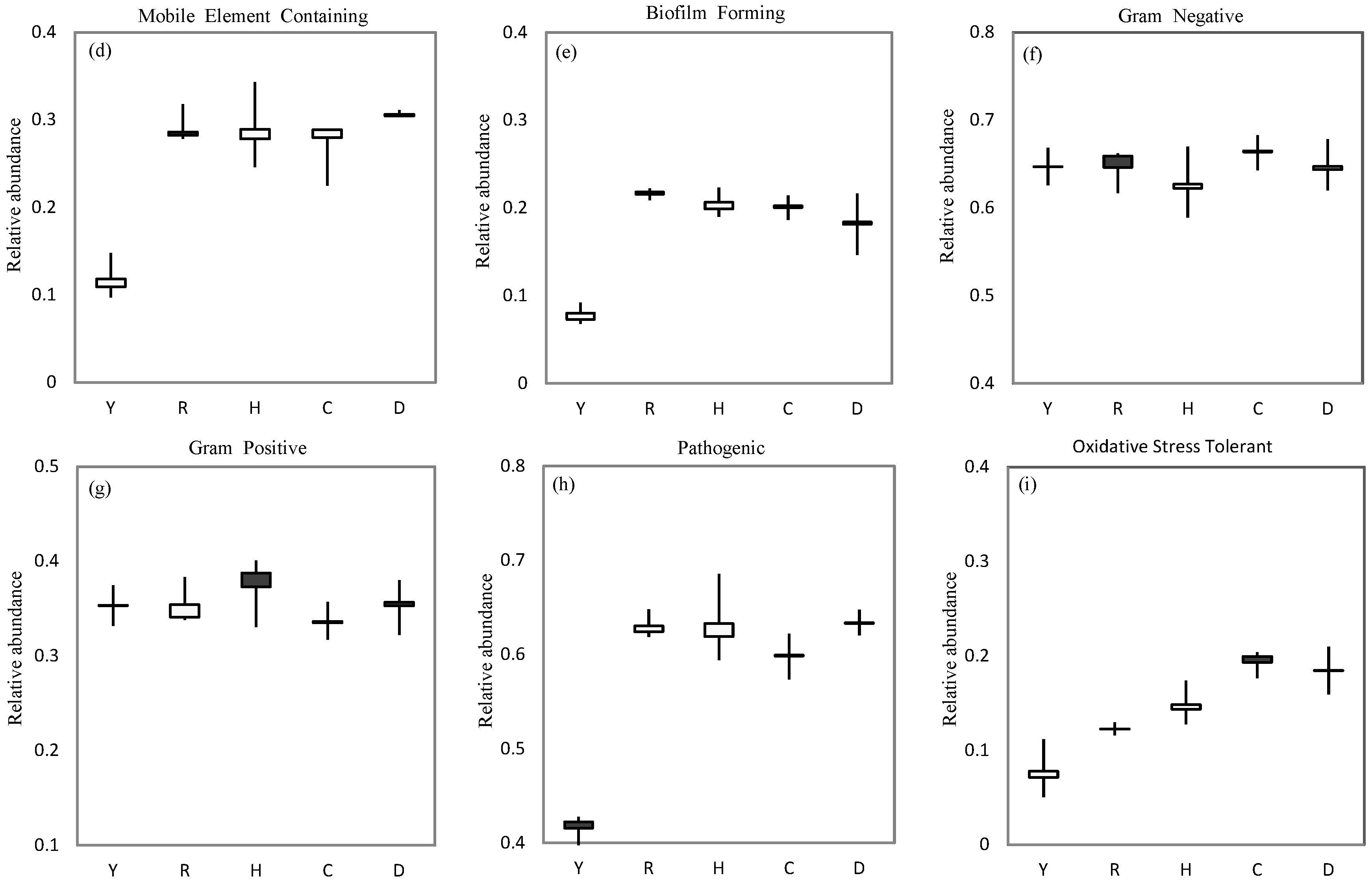
3.5. Effects of Organic Fertilizers with Different Degrees of Maturity on Soil Bacterial Phenotype Prediction
4. Discussion
4.1. Effects of Organic Fertilizers with Different Degrees of Maturity on Bacterial Community Diversity in Saline–Alkali Soil
4.2. Effects of Organic Fertilizers with Different Degrees of Maturity on Bacterial Community Structure in Saline–Alkali Soil
4.3. Effects of Organic Fertilizers with Different Degrees of Maturity on Bacterial Community Function in Saline–Alkali Soil
5. Conclusions
Author Contributions
Funding
Data Availability Statement
Conflicts of Interest
References
- Deng, P.B.; Guo, L.P.; Yang, H.T.; Leng, X.Y.; Wang, Y.M.; Bi, J.; Shi, C.F. Effect of an organic fertilizer of ganoderma lucidum residue on the physical and chemical properties and microbial communities of saline alkaline soil. Water 2023, 15, 962. [Google Scholar] [CrossRef]
- Bardgett, R.D.; van der Putten, W.H. Belowground biodiversity and ecosystem functioning. Nature 2014, 515, 505–511. [Google Scholar] [CrossRef]
- Antonio, C.; Nathan, S.B.; Sarah, L.S. Impact of fumigants on non-target soil microorganisms: A review. J. Hazard. Mater. 2022, 427, 128149. [Google Scholar] [CrossRef]
- Nsabimana, D.; Haynes, R.J.; Wallis, F.M. Size, activity and catabolic diversity of the soil microbial biomass as affected by land use. Appl. Soil Ecol. 2004, 26, 81–92. [Google Scholar] [CrossRef]
- Peng, M.; Tabashsum, Z.; Millner, P.; Parveen, S.; Biswas, D. Influence of manure application on the soil bacterial microbiome in integrated crop-livestock farms in maryland. Microorganisms 2021, 9, 2586. [Google Scholar] [CrossRef]
- Lee, J.; Jo, N.Y.; Shim, S.Y.; Linh, L.T.Y.; Kim, S.R.; Lee, M.G.; Hwang, S.G. Effects of hanwoo (Korean cattle) manure as organic fertilizer on plant growth, feed quality, and soil bacterial community. Front. Plant Sci. 2023, 14, 1135947. [Google Scholar] [CrossRef]
- Gu, Y.Y.; Zhang, H.Y.; Liang, X.Y.; Fu, R.; Li, M.; Chen, C.J. Impact of biochar and bioorganic fertilizer on rhizosphere bacteria in saline-alkali soil. Microorganisms 2022, 10, 2310. [Google Scholar] [CrossRef]
- Zhang, X.; Davidson, E.A.; Mauzerall, D.L.; Searchinger, T.D.; Dumas, P.; Shen, Y. Managing nitrogen for sustainable development. Nature 2015, 528, 51–59. [Google Scholar] [CrossRef]
- Lu, S.; He, Y.H.; Chen, Y.Q.; Chen, L.J.; Wang, Z.Y.; Yuan, J.; Wu, L.C. Co-analysis of rhizosphere metabolomics and bacterial community structures to unfold soil ecosystem health in Camellia oleifera land under long-term cultivation. Appl. Soil Ecol. 2022, 171, 104336. [Google Scholar] [CrossRef]
- Wang, Y.; Liu, L.; Luo, Y.; Awasthi, M.K.; Yang, J.; Duan, Y.; Li, H.; Zhao, Z. Mulching practices alter the bacterial-fungal community and network in favor of soil quality in a semiarid orchard system. Sci. Total Environ. 2020, 725, 138527. [Google Scholar] [CrossRef]
- Liu, J.A.; Shu, A.P.; Song, W.F.; Shi, W.C.; Li, M.C.; Zhang, W.X.; Gao, Z. Long-term organic fertilizer substitution increases rice yield by improving soil properties and regulating soil bacteria. Geoderma 2021, 404, 115287. [Google Scholar] [CrossRef]
- Busby, R.R.; Torbert, A.H.; Gebhart, L.D. Carbon and nitrogen mineralization of non-composted and composted municipal solid waste in sandy soils. Soil Biol. Biochem. 2007, 39, 1277–1283. [Google Scholar] [CrossRef]
- Ren, J.; Liu, X.; Yang, W.; Yang, X.; Li, W.; Xia, Q.; Li, J.; Gao, Z.; Yang, Z. Rhizosphere soil properties, microbial community, and enzyme activities: Short-term responses to partial substitution of chemical fertilizer with organic manure. J. Environ. Manag. 2021, 299, 113650. [Google Scholar] [CrossRef]
- Chatzistathis, T.; Kavvadias, V.; Sotiropoulos, T.; Papadakis, I.E. Organic fertilization and tree orchards. Agriculture 2021, 11, 692. [Google Scholar] [CrossRef]
- Joergensen, G.R.; Wichern, F. Alive and kicking: Why dormant soil microorganisms matter. Soil Biol. Biochem. 2018, 116, 419–430. [Google Scholar] [CrossRef]
- Ren, C.; Teng, Y.; Chen, X.; Shen, Y.; Xiao, H.; Wang, H. Impacts of earthworm introduction and cadmium on microbial communities composition and function in soil. Environ. Toxicol. Pharmacol. 2021, 83, 103606. [Google Scholar] [CrossRef]
- Shang, L.; Wan, L.; Zhou, X.; Li, S.; Li, X. Effects of organic fertilizer on soil nutrient status, enzyme activity, and bacterial community diversity in Leymus chinensis steppe in Inner Mongolia, China. PLoS ONE 2020, 15, e0240559. [Google Scholar] [CrossRef]
- Bai, Y.C.; Li, B.X.; Xu, C.Y.; Raza, M.; Wang, Q.; Wang, Q.Z.; Fu, Y.N.; Hu, J.Y.; Imoulan, A.; Hussain, M.; et al. Intercropping walnut and tea: Effects on soil nutrients, enzyme activity, and microbial communities. Front. Microbiol. 2022, 13, 852342. [Google Scholar] [CrossRef]
- Jiao, S.; Peng, Z.; Qi, J.; Gao, J.; Wei, G. Linking bacterial-fungal relationships to microbial diversity and soil nutrient cycling. MSystems 2021, 6, e01052-20. [Google Scholar] [CrossRef]
- Sparks, D.L.; Page, A.L.; Helmke, P.A.; Loeppert, R.H. Methods of Soil Analysis, Part 3, Chemical Methods. Soil Sci. Soc. Am. Am. Soc. Agron. 1996, 32, 869–920. [Google Scholar]
- Esperschütz, J.; Gattinger, A.; Mäder, P.; Schloter, M.; Fliessbach, A. Response of soil microbial biomass and community structures to conventional and organic farming systems under identical crop rotations. FEMS Microbiol. Ecol. 2007, 61, 26–37. [Google Scholar] [CrossRef] [PubMed]
- Liu, H.; Huang, X.; Tan, W.; Di, H.; Xu, J.; Li, Y. High manure load reduces bacterial diversity and network complexity in a paddy soil under crop rotations. Soil Ecol. Lett. 2020, 2, 104–119. [Google Scholar] [CrossRef]
- Li, M.X.; He, X.S.; Tang, J.; Li, X.; Zhao, R.; Tao, Y.Q.; Wang, C.; Qiu, Z.P. Influence of moisture content on chicken manure stabilization during microbial agent-enhanced composting. Chemosphere 2021, 264, 128549. [Google Scholar] [CrossRef]
- Bobbink, R.; Hicks, K.; Galloway, J.; Spranger, T.; Alkemade, R.; Ashmore, M.; Bustamante, M.; Cinderby, S.; Davidson, E.; Dentener, F.; et al. Global assessment of nitrogen deposition effects on terrestrial plant diversity: A synthesis. Ecol. Appl. A Publ. Ecol. Soc. Am. 2010, 20, 30–59. [Google Scholar] [CrossRef] [PubMed]
- Bruggen, V.A.; Semenov, A. In search of biological indicators for soil health and disease suppression. Appl. Soil Ecol. 2000, 15, 13–24. [Google Scholar] [CrossRef]
- Bei, Q.; Yang, T.; Ren, C.; Guan, E.; Dai, Y.; Shu, D.; He, W.; Tian, H.; Wei, G. Soil pH determines arsenic-related functional gene and bacterial diversity in natural forests on the Taibai Mountain. Environ. Res. 2023, 220, 115181. [Google Scholar] [CrossRef] [PubMed]
- Cheng, J.; Zhao, M.; Cong, J.; Qi, Q.; Xiao, Y.; Cong, W.; Deng, Y.; Zhou, J.; Zhang, Y. Soil pH exerts stronger impacts than vegetation type and plant diversity on soil bacterial community composition in subtropical broad-leaved forests. Plant Soil 2020, 450, 273–286. [Google Scholar] [CrossRef]
- PGarcıá-Gil, J.C.; Plaza, C.; Soler-Rovira, P.; Polo, A. Long-term effects of municipal solid wasted compost application on soil enzyme activities and microbial biomass. Soil Biol. Biochem. 2000, 32, 1907–1913. [Google Scholar] [CrossRef]
- Gao, M.; Yang, J.; Liu, C.; Gu, B.; Han, M.; Li, J.; Han, X. Effects of long-term biochar and biochar-based fertilizer application on brown earth soil bacterial communities. Agric. Ecosyst. Environ. 2021, 309, 107285. [Google Scholar] [CrossRef]
- Qu, L.; Liu, B.; Ma, Y.; Xu, J.; Sun, H. The response of the soil bacterial community and function to forest succession caused by forest disease. Funct. Ecol. 2020, 34, 2548–2559. [Google Scholar] [CrossRef]
- Shi, W.; Takano, T.; Liu, S. Isolation and characterization of novel bacterial taxa from extreme alkali-saline soil. World J. Microbiol. Biotechnol. 2012, 28, 2147–2157. [Google Scholar] [CrossRef]
- Solanki, M.K.; Wang, Z.; Wang, F.Y.; Li, C.N.; Gupta, C.L.; Singh, R.K.; Malviya, M.K.; Singh, P.; Yang, L.T.; Li, Y.R. Assessment of diazotrophic proteobacteria in sugarcane rhizosphere when intercropped with legumes (Peanut and Soybean) in the Field. Front. Microbiol. 2020, 11, 1814. [Google Scholar] [CrossRef] [PubMed]
- Pankratov, T.A.; Ivanova, A.O.; Dedysh, S.N.; Liesack, W. Bacterial populations and environmental factors controlling cellulose degradation in an acidic Sphagnum peat. Environ. Microbiol. 2011, 13, 1800–1814. [Google Scholar] [CrossRef] [PubMed]
- Tu, J.; Qiao, J.; Zhu, Z.; Li, P.; Wu, L. Soil bacterial community responses to long-term fertilizer treatments in Paulownia plantations in subtropical China. Appl. Soil Ecol. 2018, 124, 317–326. [Google Scholar] [CrossRef]
- Kalam, S.; Basu, A.; Ahmad, I.; Sayyed, R.Z.; El-Enshasy, H.A.; Dailin, D.J.; Suriani, N.L. Recent Understanding of soil acidobacteria and their ecological significance: A critical review. Front. Microbiol. 2020, 11, 580024. [Google Scholar] [CrossRef]
- Zhang, K.; Chen, L.; Li, Y.; Luo, Y. Interactive effects of soil pH and substrate quality on microbial utilization. Eur. J. Soil Biol. 2020, 96, 103151. [Google Scholar] [CrossRef]





| pH | Alkalization Degree (%) | Salt Content (g·kg−1) | Salt-Based Ion Composition (g·kg−1) | |||||||
|---|---|---|---|---|---|---|---|---|---|---|
| CO32− | HCO3− | Cl− | SO42− | Mg2+ | Ca2+ | Na+ | K+ | |||
| 9.33 | 10.05 | 4.03 | 0.46 | 0.68 | 0.15 | 1.75 | 0.16 | 0.20 | 0.52 | 0.15 |
| Test Material | Organic Carbon (g·kg−1) | Total Nitrogen (g·kg−1) | Total Phosphorus (g·kg−1) | Total Potassium (g·kg−1) | EC (μs·cm−1) | C/N | pH |
|---|---|---|---|---|---|---|---|
| Uncomposted organic fertilizer | 311.00 | 14.21 | 11.99 | 25.66 | 6861 | 32.86 | 8.49 |
| High-temperature organic fertilizer | 287.74 | 15.90 | 15.29 | 27.22 | 6623 | 28.00 | 9.33 |
| Cooling organic fertilizer | 241.59 | 15.10 | 15.76 | 29.15 | 7221 | 24.01 | 9.73 |
| Decomposed organic fertilizer | 232.59 | 17.90 | 17.25 | 33.71 | 7820 | 19.49 | 9.75 |
| Treatment | Ace | Chao1 | Shannon Index | Simpson Index |
|---|---|---|---|---|
| Y | 1651.54 ± 48.78 a | 1656.26 ± 37.10 a | 5.55 ± 0.04 a | 0.009 ± 0.000 b |
| R | 1700.67 ± 68.11 a | 1730.00 ± 44.48 a | 5.02 ± 0.10 b | 0.048 ± 0.011 a |
| H | 1663.49 ± 83.27 a | 1703.47 ± 41.47 a | 4.91 ± 0.43 b | 0.058 ± 0.044 a |
| C | 1685.70 ± 57.46 a | 1697.64 ± 53.12 a | 5.20 ± 0.20 ab | 0.027 ± 0.011 a |
| D | 1539.08 ± 127.74 b | 1529.50 ± 134.02 b | 4.84 ± 0.11 b | 0.049 ± 0.013 a |
Disclaimer/Publisher’s Note: The statements, opinions and data contained in all publications are solely those of the individual author(s) and contributor(s) and not of MDPI and/or the editor(s). MDPI and/or the editor(s) disclaim responsibility for any injury to people or property resulting from any ideas, methods, instructions or products referred to in the content. |
© 2024 by the authors. Licensee MDPI, Basel, Switzerland. This article is an open access article distributed under the terms and conditions of the Creative Commons Attribution (CC BY) license (https://creativecommons.org/licenses/by/4.0/).
Share and Cite
Bai, H.; Liu, M.; Jing, Y.; Li, Y.; Chen, S.; Xue, G.; Wang, J.; Suo, Q.; Jiang, W. Effects of Organic Fertilizer with Different Degrees of Maturity on Bacteria in Saline–Alkali Soil. Agronomy 2024, 14, 1148. https://doi.org/10.3390/agronomy14061148
Bai H, Liu M, Jing Y, Li Y, Chen S, Xue G, Wang J, Suo Q, Jiang W. Effects of Organic Fertilizer with Different Degrees of Maturity on Bacteria in Saline–Alkali Soil. Agronomy. 2024; 14(6):1148. https://doi.org/10.3390/agronomy14061148
Chicago/Turabian StyleBai, Hongmei, Meiying Liu, Yupeng Jing, Yajie Li, Shuhui Chen, Guoping Xue, Jianguo Wang, Quanyi Suo, and Wei Jiang. 2024. "Effects of Organic Fertilizer with Different Degrees of Maturity on Bacteria in Saline–Alkali Soil" Agronomy 14, no. 6: 1148. https://doi.org/10.3390/agronomy14061148
APA StyleBai, H., Liu, M., Jing, Y., Li, Y., Chen, S., Xue, G., Wang, J., Suo, Q., & Jiang, W. (2024). Effects of Organic Fertilizer with Different Degrees of Maturity on Bacteria in Saline–Alkali Soil. Agronomy, 14(6), 1148. https://doi.org/10.3390/agronomy14061148
