The Effects of Different Planting Patterns in Bare Strips on Soil Water and Salt Accumulation under Film-Mulched Drip Irrigation
Abstract
1. Introduction
2. Materials and Methods
2.1. Details of the Experimental Field
2.2. Experimental Arrangement
2.3. Measurement Indicators and Method
2.3.1. Physical Properties of the Soil
2.3.2. Morphological Growth Indicator of Cotton
2.4. Model Simulation Principle and Method
2.4.1. Mathematical Model
2.4.2. Initial and Boundary Conditions
- a.
- Initial conditions
- b.
- Water transport boundary conditions
- c.
- Soil transport boundary conditions
2.4.3. Root Water Uptake
2.5. Model Calibration and Validation
2.6. Statistical Analysis
3. Results
3.1. Spatial Distribution Characteristics of Soil Moisture and Salinity
3.2. Salt Accumulation during the Season
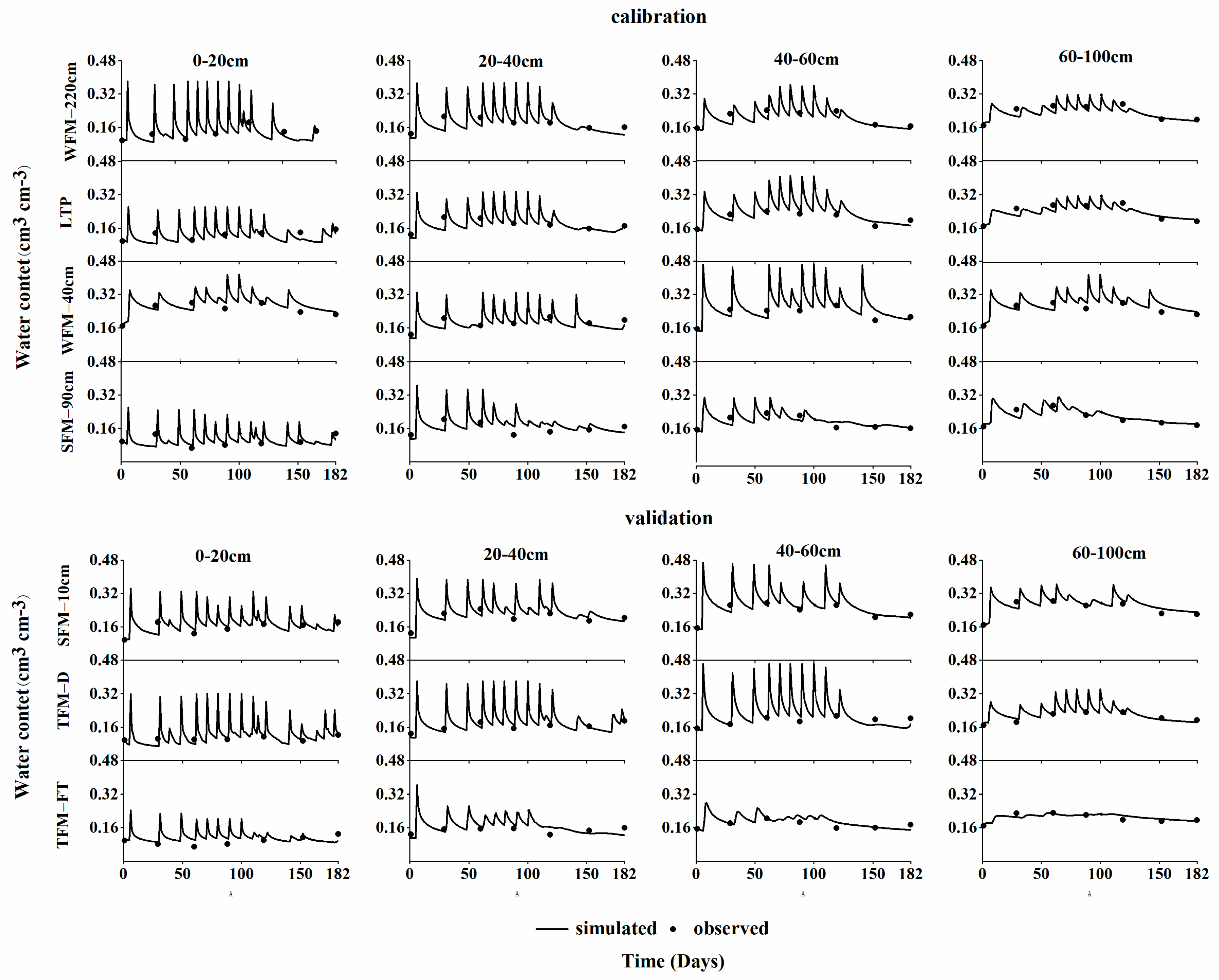
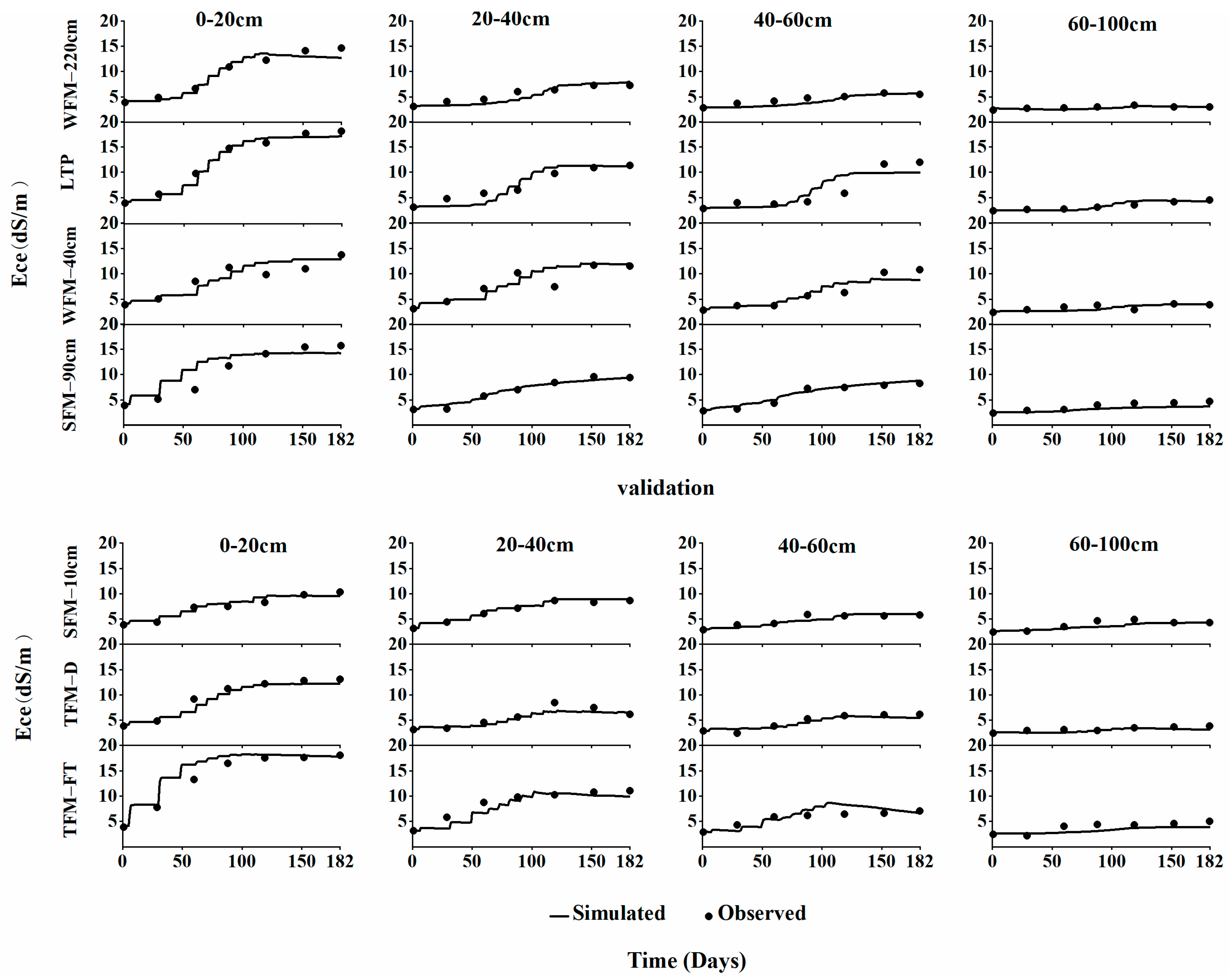
3.3. Simulated versus Observed Results
3.4. Salt Accumulation under Different Soil Layers in Bare Strip
4. Discussion
4.1. Analysis of Water–Salt Variability in Mulch and Bare Strip
4.2. Characterization of Salt Accumulation in Mulch and Bare Strip
5. Conclusions
Author Contributions
Funding
Data Availability Statement
Conflicts of Interest
References
- Tian, F.; Wen, J.; Hu, H.; Ni, G. Review on water and salt transport and regulation in drip irrigated fields in arid regions. J. Hydraul. Eng. 2018, 49, 126–135. [Google Scholar]
- O’hara, S.L. Irrigation and land degradation: Implications for agriculture in Turkmenistan, central Asia. J. Arid. Environ. 1997, 37, 165–179. [Google Scholar] [CrossRef]
- Kang, S.; Hao, X.; Du, T.; Tong, L.; Su, X.; Lu, H.; Li, X.; Huo, Z.; Li, S.; Ding, R. Improving agricultural water productivity to ensure food security in China under changing environment: From research to practice. Agric. Water Manag. 2017, 179, 5–17. [Google Scholar] [CrossRef]
- Zhang, Z.; Hu, H.; Tian, F.; Hu, H.; Yao, X.; Zhong, R. Soil salt distribution under mulched drip irrigation in an arid area of northwestern China. J. Arid. Environ. 2014, 104, 23–33. [Google Scholar] [CrossRef]
- Dong, H.; Kong, X.; Luo, Z.; Li, W.; Xin, C. Unequal salt distribution in the root zone increases growth and yield of cotton. Eur. J. Agron. 2010, 33, 285–292. [Google Scholar] [CrossRef]
- Chen, M.; Kang, Y.; Wan, S.; Liu, S.-P. Drip irrigation with saline water for oleic sunflower (Helianthus annuus L.). Agric. Water Manag. 2009, 96, 1766–1772. [Google Scholar] [CrossRef]
- Kotb, T.H.; Watanabe, T.; Ogino, Y.; Tanji, K.K. Soil salinization in the Nile Delta and related policy issues in Egypt. Agric. Water Manag. 2000, 43, 239–261. [Google Scholar] [CrossRef]
- Rengasamy, P. World salinization with emphasis on Australia. J. Exp. Bot. 2006, 57, 1017–1023. [Google Scholar] [CrossRef] [PubMed]
- Guo, J.; Shi, W.; Li, J. Effects of Intercropping different halophytes in bare strips on soil water content, salt accumulation, and cotton (Gossypium Hirsutum) Yields in mulched drip irrigation. Appl. Ecol. Environ. Res. 2020, 18, 5923–5937. [Google Scholar] [CrossRef]
- Okur, B.; Orcen, N. Soil salinization and climate change. In Climate Change and Soil Interactions; Elsevier: Amsterdam, The Netherlands, 2020; pp. 331–350. [Google Scholar]
- Liang, J.-P.; Shi, W.-J. Cotton/halophytes intercropping decreases salt accumulation and improves soil physicochemical properties and crop productivity in saline-alkali soils under mulched drip irrigation: A three-year field experiment. Field Crops Res. 2021, 262, 108027. [Google Scholar] [CrossRef]
- Fu, Z.; Wang, P.; Sun, J.; Lu, Z.; Yang, H.; Liu, J.; Xia, J.; Li, T. Composition, seasonal variation, and salinization characteristics of soil salinity in the Chenier Island of the Yellow River Delta. Glob. Ecol. Conserv. 2020, 24, e01318. [Google Scholar] [CrossRef]
- Arunrat, N.; Pumijumnong, N.; Hatano, R. Practices sustaining soil organic matter and rice yield in a tropical monsoon region. Soil Sci. Plant Nutr. 2017, 63, 274–287. [Google Scholar] [CrossRef]
- Zakery-Asl, M.A.; Bolandnazar, S.; Oustan, S. Effect of salinity and nitrogen on growth, sodium, potassium accumulation, and osmotic adjustment of halophyte Suaeda aegyptiaca (Hasselq.) Zoh. Arch. Agron. Soil Sci. 2014, 60, 785–792. [Google Scholar] [CrossRef]
- Manousaki, E.; Kalogerakis, N. Halophytes present new opportunities in phytoremediation of heavy metals and saline soils. Ind. Eng. Chem. Res. 2011, 50, 656–660. [Google Scholar] [CrossRef]
- Ashraf, M.Y.; Ashraf, M.; Mahmood, K.; Akhter, J. Phytoremediation of Saline Soils for Sustainable Agricultural Productivity. In Plant Adaptation and Phytoremediation; Springer: Berlin/Heidelberg, Germany, 2010; pp. 335–355. [Google Scholar]
- Tan, S.; Wang, Q.; Xu, D.; Zhang, J.; Shan, Y. Evaluating effects of four controlling methods in bare strips on soil temperature, water, and salt accumulation under film-mulched drip irrigation. Field Crops Res. 2017, 214, 350–358. [Google Scholar] [CrossRef]
- Wang, L.; Wang, X.; Jiang, L.; Zhang, K.; Tanveer, M.; Tian, C.; Zhao, Z. Reclamation of saline soil by planting annual euhalophyte Suaeda salsa with drip irrigation: A three-year field experiment in arid northwestern China. Ecol. Eng. 2021, 159, 106090. [Google Scholar] [CrossRef]
- Qi, Z.; Zhang, T.; Zhou, L.; Feng, H.; Zhao, Y.; Si, B. Combined effects of mulch and tillage on soil hydrothermal conditions under drip irrigation in Hetao Irrigation District, China. Water 2016, 8, 504. [Google Scholar] [CrossRef]
- Zhang, M.; Dong, B.; Qiao, Y.; Yang, H.; Wang, Y.; Liu, M. Effects of sub-soil plastic film mulch on soil water and salt content and water utilization by winter wheat under different soil salinities. Field Crops Res. 2018, 225, 130–140. [Google Scholar] [CrossRef]
- Chen, N.; Li, X.; Šimůnek, J.; Zhang, Y.; Shi, H.; Hu, Q.; Xin, M. Evaluating soil salts dynamics under biodegradable film mulching with different disintegration rates in an arid region with shallow and saline groundwater: Experimental and modeling study. Geoderma 2022, 423, 115969. [Google Scholar] [CrossRef]
- Ning, S.; Zhou, B.; Shi, J.; Wang, Q. Soil water/salt balance and water productivity of typical irrigation schedules for cotton under film mulched drip irrigation in northern Xinjiang. Agric. Water Manag. 2021, 245, 106651. [Google Scholar] [CrossRef]
- Wang, X.; Yang, J.; Yao, R.; Xie, W.; Zhang, X. Manure plus plastic film mulch reduces soil salinity and improves Barley-Maize growth and yield in newly reclaimed coastal land, Eastern China. Water 2022, 14, 2944. [Google Scholar] [CrossRef]
- Liu, M.; Yang, J.; Li, X.; Liu, G.; Yu, M.; Wang, J. Distribution and dynamics of soil water and salt under different drip irrigation regimes in northwest China. Irrig. Sci. 2013, 31, 675–688. [Google Scholar] [CrossRef]
- Seo, B.-S.; Jeong, Y.-J.; Baek, N.-R.; Park, H.-J.; Yang, H.I.; Park, S.-I.; Choi, W.-J. Soil texture affects the conversion factor of electrical conductivity from 1,5 soil-water to saturated paste extracts. Pedosphere 2022, 32, 905–915. [Google Scholar] [CrossRef]
- Zhou, L.; Feng, H.; Zhao, Y.; Qi, Z.; Zhang, T.; He, J.; Dyck, M. Drip irrigation lateral spacing and mulching affects the wetting pattern, shoot-root regulation, and yield of maize in a sand-layered soil. Agric. Water Manag. 2017, 184, 114–123. [Google Scholar] [CrossRef]
- Allen, R.G.; Pereira, L.S.; Raes, D.; Smith, M. Crop Evapotranspiration-Guidelines for Computing Crop Water Requirements-FAO Irrigation and Drainage Paper 56; FAO: Rome, Italy, 1998; Volume 300, p. D05109. [Google Scholar]
- Li, H.; Yi, J.; Zhang, J.; Zhao, Y.; Si, B.; Hill, R.L.; Cui, L.; Liu, X. Modeling of Soil Water and Salt Dynamics and Its Effects on Root Water Uptake in Heihe Arid Wetland, Gansu, China. Water 2015, 7, 2382–2401. [Google Scholar] [CrossRef]
- Gao, Y.; Wu, P.; Zhao, X.; Wang, Z. Growth, yield, and nitrogen use in the wheat/maize intercropping system in an arid region of northwestern China. Field Crops Res. 2019, 167, 19–30. [Google Scholar] [CrossRef]
- Richards, L.A. Capillary conduction of liquids through porous mediums. Physics 1931, 1, 318–333. [Google Scholar] [CrossRef]
- Hanson, B.; Hopmans, J.W.; Simunek, J. Leaching with subsurface drip irrigation under saline, shallow groundwater conditions. Vadose Zone J. 2008, 7, 810–818. [Google Scholar] [CrossRef]
- Van Genuchten, M.T. A closed-form equation for predicting the hydraulic conductivity of unsaturated soils. Soil Sci. Soc. Am. J. 1980, 44, 892–898. [Google Scholar] [CrossRef]
- Simunek, J.; Hopmans, J.W. 1.7 parameter optimization and nonlinear fitting. In Methods of Soil Analysis: Part 4 Physical Methods; Soil Science Society of America, Inc.: Madison, WI, USA, 2002; Volume 5, pp. 139–157. [Google Scholar]
- Mahey, R.K.; Feyen, J.; Wyseure, G. A numerical analysis of irrigation treatments of barley with respect to drainage losses and crop response. Trans. ASAE 1984, 27, 1805–1810. [Google Scholar] [CrossRef]
- Tayir, X.; Hu, Q.; Lu, X.; Zhang, J.; Song, L.; Zhu, Y.; Li, W.; Wang, Z. Analyses of temperature and light characteristics for drip irrigation under plastic film cotton canopy at blossoming and boll-forming stages. J. Shihezi Univ. Nat. Sci. 2006, 24, 671–674. [Google Scholar]
- Feddes, R.A. Simulation of field water use and crop yield. Soil Sci. 1978, 129, 193. [Google Scholar]
- Karandish, F.; Simunek, J. An application of the water footprint assessment to optimize production of crops irrigated with saline water: A scenario assessment with HYDRUS. Agric. Water Manag. 2018, 208, 67–82. [Google Scholar] [CrossRef]
- Vrugt, J.A.; Hopmans, J.W.; Simunek, J. Calibration of a two-dimensional root water uptake model. Fluid Phase Equilibria 2001, 65, 1027–1037. [Google Scholar] [CrossRef]
- Ramos, T.; Šimůnek, J.; Gonçalves, M.; Martins, J.; Prazeres, A.; Pereira, L. Two-dimensional modeling of water and nitrogen fate from sweet sorghum irrigated with fresh and blended saline waters. Agric. Water Manag. 2012, 111, 87–104. [Google Scholar] [CrossRef]
- Radcliffe, D.E.; Simunek, J. Soil Physics with HYDRUS Modeling and Applications; CRC Press, Taylor & Francis Group: Boca Raton, FL, USA, 2010. [Google Scholar]
- Simunek, J.; Hopmans, J.W. Modeling compensated root water and nutrient uptake. Ecol. Model. 2009, 220, 505–521. [Google Scholar] [CrossRef]
- Hopmans, J.W.; Simunek, J.; Romano, N.; Durner, W. 3.6.2. Inverse Methods. In Methods of Soil Analysis: Part 4 Physical Methods; Soil Science Society of America, Inc.: Madison, WI, USA, 2002; Volume 5, pp. 963–1008. [Google Scholar]
- Gao, H.; Yan, C.; Liu, Q.; Ding, W.; Chen, B.; Li, Z. Effects of plastic mulching and plastic residue on agricultural production: A meta-analysis. Sci. Total Environ. 2019, 651, 484–492. [Google Scholar] [CrossRef]
- Jung, K.Y.; Kitchen, N.R.; Sudduth, K.A.; Lee, K.-S.; Chung, S.-O. Soil compaction varies by crop management system over a claypan soil landscape. Soil Tillage Res. 2010, 107, 1–10. [Google Scholar] [CrossRef]
- Nassar, I.N.; Horton, R. Salinity and compaction effects on soil water evaporation and water and solute distributions. Soil Sci. Soc. Am. J. 1999, 63, 752–758. [Google Scholar] [CrossRef]
- Tian, H.; Bo, L.; Mao, X.; Liu, X.; Wang, Y.; Hu, Q. Modelling soil water, salt and heat dynamics under partially mulched conditions with drip irrigation, using HYDRUS-2D. Water 2022, 14, 2791. [Google Scholar] [CrossRef]
- Wang, D.W.; Lv, T.; He, X.L.; Wang, M.M.; Xu, Q.; Bai, M. Effects of different film width on soil moisture and soil temperature of cotton. Water Sav. Irrig. 2018, 12, 33–37. [Google Scholar]
- Qi, Z.; Feng, H.; Zhao, Y.; Zhang, T.; Yang, A.; Zhang, Z. Spatial distribution and simulation of soil moisture and salinity under mulched drip irrigation combined with tillage in an arid saline irrigation district, northwest China. Agric. Water Manag. 2018, 201, 219–231. [Google Scholar] [CrossRef]
- He, J.; Li, H.; Kuhn, N.J.; Wang, Q.; Zhang, X. Effect of ridge tillage, no-tillage, and conventional tillage on soil temperature, water use, and crop performance in cold and semi-arid areas in Northeast China. Soil Res. 2010, 48, 737–744. [Google Scholar] [CrossRef]
- Ren, B.; Dong, S.; Liu, P.; Zhao, B.; Zhang, J. Ridge tillage improves plant growth and grain yield of waterlogged summer maize. Agric. Water Manag. 2016, 177, 392–399. [Google Scholar] [CrossRef]
- Peng, Z.; Wu, J.; Huang, J. Water and salt movement under partial irrigation in Hetao Irrigation district, inner Mongolia. J. Hydraul. Eng. 2016, 47, 110–118. [Google Scholar]
- Wang, Z.; Li, Z.; Zhan, H.; Yang, S. Effect of long-term saline mulched drip irrigation on soil-groundwater environment in arid Northwest China. Sci. Total Environ. 2022, 820, 153222. [Google Scholar] [CrossRef]
- Feng, G.-L.; Meiri, A.; Letey, J. Evaluation of a model for irrigation management under saline conditions: II. Salt distribution and rooting pattern effects. Soil Sci. Soc. Am. J. 2003, 67, 77–80. [Google Scholar] [CrossRef]
- Yuan, C.; Feng, S.; Huo, Z.; Ji, Q. Effects of deficit irrigation with saline water on soil water-salt distribution and water use efficiency of maize for seed production in arid Northwest China. Agric. Water Manag. 2019, 212, 424–432. [Google Scholar] [CrossRef]
- Selim, T.; Berndtsson, R.; Persson, M.; Somaida, M.; El-Kiki, M.; Hamed, Y.; Mirdan, A.; Zhou, Q. Influence of geometric design of alternate partial root-zone subsurface drip irrigation (APRSDI) with brackish water on soil moisture and salinity distribution. Agric. Water Manag. 2013, 117, 159. [Google Scholar] [CrossRef]
- Dou, C.-Y.; Kang, Y.-H.; Wan, S.-Q.; Hu, W. Soil Salinity Changes Under Cropping with Lycium barbarum L. and Irrigation with Saline-Sodic Water. Pedosphere 2011, 21, 539–548. [Google Scholar] [CrossRef]
- Liu, H.; Li, M.; Zheng, X.; Wang, Y.; Anwar, S. Surface salinization of soil under mulched drip irrigation. Water 2020, 12, 3031. [Google Scholar] [CrossRef]
- Huang, Y.; Chen, L.; Fu, B.; Huang, Z.; Gong, J. The wheat yields and water-use efficiency in the Loess Plateau: Straw mulch and irrigation effects. Agric. Water Manag. 2005, 72, 209–222. [Google Scholar] [CrossRef]
- Modaihsh, A.S.; Horton, R.; Kirkham, D. Soil water evaporation suppression by sandy mulches. Soil Sci. 1985, 139, 357–361. [Google Scholar] [CrossRef]
- Gale, W.J. Sandy fields traditional farming for water conservation in China. J. Soil Water Conserv. 1993, 48, 474–477. [Google Scholar]
- Zhang, Q.; Li, G.-Y.; Cai, F.-J. Effect of mulched drip irrigation frequency on soil salt regime and cotton growth. J. Hydraul. Eng. 2004, 9, 123–126. [Google Scholar]
- He, P.; Yu, S.; Zhang, F.; Ma, T.; Ding, J.; Chen, K.; Chen, X.; Dai, Y. Effects of Soil Water Regulation on the Cotton Yield, Fiber Quality and Soil Salt Accumulation under Mulched Drip Irrigation in Southern Xinjiang, China. Agronomy 2022, 12, 1246. [Google Scholar] [CrossRef]
- Wang, Z.; Fan, B.; Guo, L. Soil salinization after long-term mulched drip irrigation poses a potential risk to agricultural sustainability. Eur. J. Soil Sci. 2019, 70, 20–24. [Google Scholar] [CrossRef]
- Ma, L.; Ma, Y.; Liu, F.; Hong, M. Salt Transfer Law for Cotton Field with Drip Irrigation Under the Plastic Mulch in Arid Zone. Int. J. Eng. Manuf. 2011, 1, 31. [Google Scholar] [CrossRef][Green Version]
- Burns, I.G. A model for predicting the redistribution of salts applied to fallow soils after excess rainfall or evaporation. J. Soil Sci. 1974, 25, 165–178. [Google Scholar] [CrossRef]
- Wang, R.; Kang, Y.; Wan, S.; Hu, W.; Liu, S. Effect of Soil Matric Potential on Poplar Growth and Distribution of Soil Salt under Drip Irrigation in Saline-sodic Soil in Arid Regions. Irrig. Drain 2013, 31, 1–6. [Google Scholar]
- Ye, J.; Liu, H.; He, X.; Gong, P.; Aerlaguli, A.; Lu, H. Research on water and temperature change law under ditching and mulched drip irrigation. Water Sav. Irrig. 2017, 3, 1–7. [Google Scholar]














| Depth of Soil Layer (cm) | Particles Size Distribution (%) | Bulk Density (g cm−3) | Organic Matter (g kg−1) | EC1:5 (dS m−1) | pH | ||
|---|---|---|---|---|---|---|---|
| Sand | Silt | Clay | |||||
| 0–20 | 65.0 | 27.1 | 7.9 | 1.50 | 0.8 | 0.27 | 8.4 |
| 20–60 | 65.8 | 26.7 | 7.5 | 1.52 | 0.6 | 0.21 | 8.7 |
| 60–100 | 76.2 | 18.9 | 4.9 | 1.54 | 0.3 | 0.16 | 8.9 |
| Cotton Growth Stage | Date | Irrigation Amount (mm) |
|---|---|---|
| Sowing date | 12-April | - |
| Seeding and squaring stage | 17-April | 15 |
| 12-May | 30 | |
| 30-May | 30 | |
| 12-June | 45 | |
| 21-June | 45 | |
| 30-June | 45 | |
| Flowering and boll-setting stage | 10-July | 45 |
| 20-July | 45 | |
| 30-July | 45 | |
| Bolls and boll-opening stage | 10-August | 30 |
| 30-August | 15 | |
| Total amount | - | 390 |
| Soil Layer | ||||||
|---|---|---|---|---|---|---|
| cm | cm−3 | cm−3 | cm−1 | day−1 | ||
| 0–20 | 0.038 | 0.3771 | 0.0329 | 1.4564 | 85.63 | 0.5 |
| 20–60 | 0.054 | 0.3654 | 0.0305 | 1.4365 | 86.32 | 0.5 |
| 60–100 | 0.043 | 0.3867 | 0.0296 | 1.4681 | 90.31 | 0.5 |
| Soil Layer | Bulk Density | Longitudinal Dispersivity | Transverse Dispersivity |
|---|---|---|---|
| cm | cm−3 | cm | cm |
| 0–20 | 1.50 | 30 | 2.9 |
| 20–60 | 1.51 | 28 | 2.8 |
| 60–100 | 1.54 | 21 | 2.2 |
| Depth/cm | Treatment | SAH | SA | |||||
|---|---|---|---|---|---|---|---|---|
| Under Films | Bare Strip | Under Films | Bare Strip | |||||
| Narrow Rows | Wide Rows | Narrow Rows | Wide Rows | |||||
| 0–40 | LTP | 32.03 | 59.56 | 183.28 | −9.07 | 18.46 | 142.17 | |
| WFM | 220 cm | 35.71 | 54.26 | 140.68 | −5.39 | 13.15 | 99.58 | |
| 40 cm | 25.13 | / | 150.21 | −15.97 | / | 109.1 | ||
| SFM | 10 cm | 31.83 | 57.08 | 112.74 | −9.28 | 15.98 | 71.63 | |
| 50 cm | 32.03 | 59.56 | 183.28 | −9.07 | 18.46 | 142.17 | ||
| 90 cm | 31.35 | 55.94 | 156.5 | −9.75 | 14.83 | 115.4 | ||
| TFM | RT | 30.98 | 55.08 | 181.02 | −10.12 | 13.97 | 139.91 | |
| FT | 32.03 | 59.56 | 183.28 | −9.07 | 18.46 | 142.17 | ||
| D | 33.57 | 55.44 | 131.05 | −7.53 | 14.33 | 89.95 | ||
| 40–60 | LTP | 20.68 | 20.24 | 47.76 | 17.17 | 15.31 | ||
| WFM | 220 cm | 21.13 | 20.09 | 21.72 | 14.58 | 19.79 | 10.56 | |
| 40 cm | 21.58 | / | 43 | 13.19 | / | 44.48 | ||
| SFM | 10 cm | 21.58 | 18.6 | 23.06 | 17.47 | 13.35 | 49.01 | |
| 50 cm | 20.68 | 20.24 | 47.76 | 17.17 | 15.31 | 31.94 | ||
| 90 cm | 21.28 | 20.53 | 32.74 | 13.59 | 9.78 | 29.16 | ||
| TFM | RT | 20.24 | 20.98 | 28.12 | 11.09 | 10.64 | 29.46 | |
| FT | 20.68 | 20.24 | 47.76 | 17.17 | 15.31 | 31.94 | ||
| D | 25.84 | 22.9 | 24.4 | 14.68 | 11.74 | 6.67 | ||
| 60–100 | LTP | 32.05 | 33.82 | 35.52 | 13.59 | 15.36 | 17.05 | |
| WFM | 220 cm | 48.19 | 57.41 | 23.19 | 29.73 | 38.95 | 4.73 | |
| 40 cm | 33.78 | / | 30.4 | 15.31 | / | 11.94 | ||
| SFM | 10 cm | 39.71 | 35.05 | 33.78 | 21.25 | 16.59 | 15.31 | |
| 50 cm | 32.05 | 33.82 | 35.52 | 13.59 | 15.36 | 17.05 | ||
| 90 cm | 34.68 | 34.43 | 35.66 | 16.21 | 15.96 | 17.2 | ||
| TFM | RT | 34.24 | 32.28 | 39.5 | 15.78 | 13.81 | 21.04 | |
| FT | 32.05 | 33.86 | 35.52 | 13.59 | 15.4 | 17.05 | ||
| D | 34.97 | 34.43 | 15.48 | 16.51 | 15.97 | −2.98 | ||
| Statistics | Calibration | Validation | ||
|---|---|---|---|---|
| Soil Water Content (cm3 cm−3) | Soil Salinity (dS m−1) | Soil Water Content (cm3 cm−3) | Soil Salinity (dS m−1) | |
| RMSE | 0.091–0.106 | 0.044–0.079 | 0.079–0.086 | 0.045–0.046 |
| R2 | 0.74–0.84 | 0.84–0.95 | 0.81–0.85 | 0.95–0.96 |
Disclaimer/Publisher’s Note: The statements, opinions and data contained in all publications are solely those of the individual author(s) and contributor(s) and not of MDPI and/or the editor(s). MDPI and/or the editor(s) disclaim responsibility for any injury to people or property resulting from any ideas, methods, instructions or products referred to in the content. |
© 2024 by the authors. Licensee MDPI, Basel, Switzerland. This article is an open access article distributed under the terms and conditions of the Creative Commons Attribution (CC BY) license (https://creativecommons.org/licenses/by/4.0/).
Share and Cite
Su, Y.; Mai, W.; Zhao, Z.; Liu, Y.; Yan, Y.; Yao, L.; Zhou, H. The Effects of Different Planting Patterns in Bare Strips on Soil Water and Salt Accumulation under Film-Mulched Drip Irrigation. Agronomy 2024, 14, 1103. https://doi.org/10.3390/agronomy14061103
Su Y, Mai W, Zhao Z, Liu Y, Yan Y, Yao L, Zhou H. The Effects of Different Planting Patterns in Bare Strips on Soil Water and Salt Accumulation under Film-Mulched Drip Irrigation. Agronomy. 2024; 14(6):1103. https://doi.org/10.3390/agronomy14061103
Chicago/Turabian StyleSu, Yuan, Wenxuan Mai, Zhenyong Zhao, Yan Liu, Yingjie Yan, Linlin Yao, and Hongfei Zhou. 2024. "The Effects of Different Planting Patterns in Bare Strips on Soil Water and Salt Accumulation under Film-Mulched Drip Irrigation" Agronomy 14, no. 6: 1103. https://doi.org/10.3390/agronomy14061103
APA StyleSu, Y., Mai, W., Zhao, Z., Liu, Y., Yan, Y., Yao, L., & Zhou, H. (2024). The Effects of Different Planting Patterns in Bare Strips on Soil Water and Salt Accumulation under Film-Mulched Drip Irrigation. Agronomy, 14(6), 1103. https://doi.org/10.3390/agronomy14061103
