Application of UAV Multispectral Imaging to Monitor Soybean Growth with Yield Prediction through Machine Learning
Abstract
1. Introduction
2. Materials and Methods
2.1. Study Site
2.2. Experiment Design
2.3. UAV Imaging
2.4. Vegetation Indices
2.5. Data Modeling and Evaluation
2.5.1. ML Models
2.5.2. Model Performance Evaluation
2.5.3. K-Fold Cross Validation
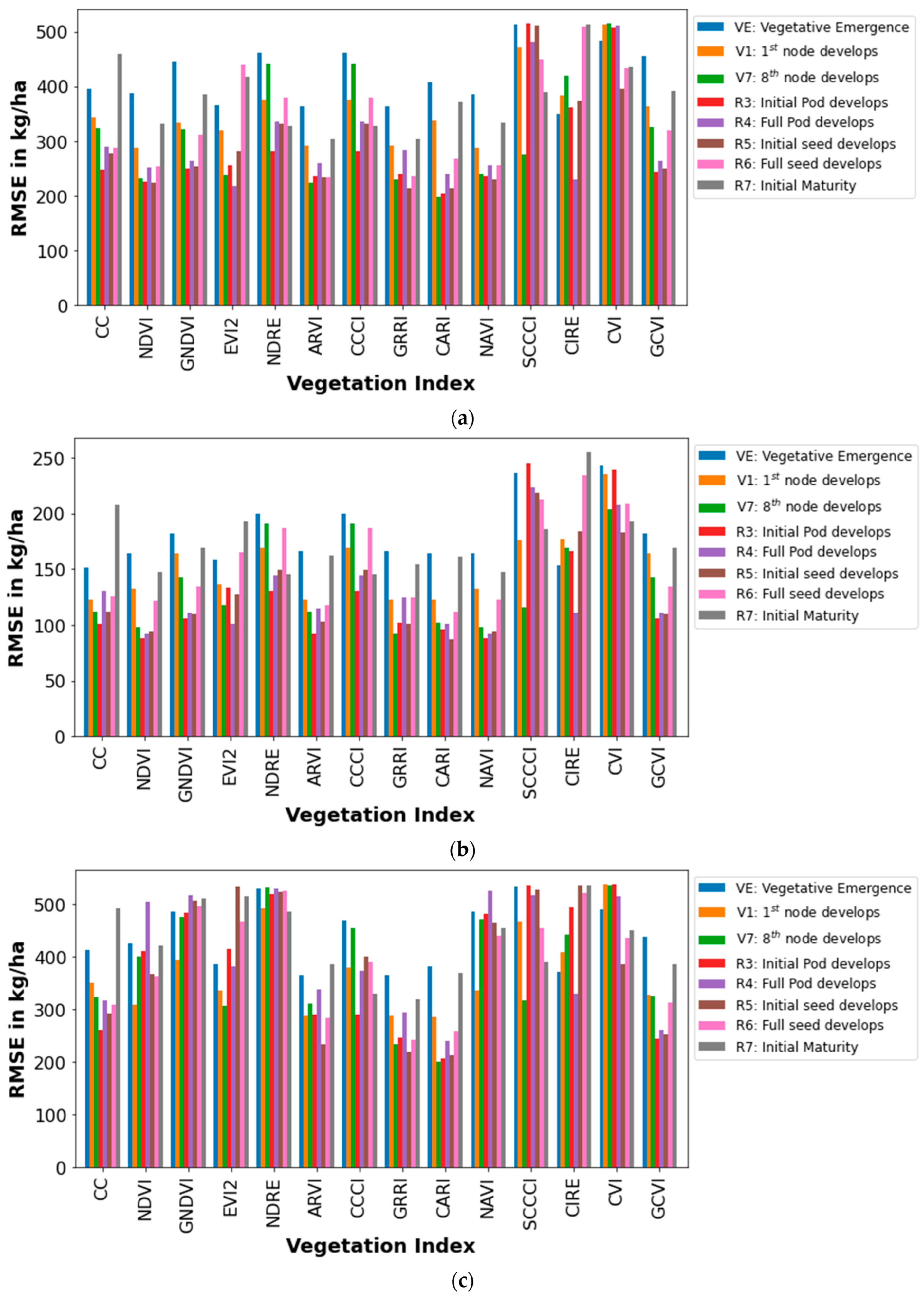
3. Results
3.1. VI Explorative Analysis
3.2. Impact of Fertilizer Treatments and Cover Crops
3.3. Yield Prediction Modeling
3.3.1. Crop Yield Modeling
3.3.2. Soybean Yield Modeling at Different Growth Stages
3.4. Cross-Validated Yield Prediction Model
4. Discussion
5. Conclusions
Author Contributions
Funding
Data Availability Statement
Acknowledgments
Conflicts of Interest
Abbreviations
| ARVI | Atmospherically resistant vegetation index |
| B | Blue |
| CARI | Chlorophyll Absorption Ratio Index |
| CC | Canopy Cover |
| CCCI | Canopy Chlorophyl Content Index |
| CIR | Color infrared |
| CIRE | Chlorophyll Index Red edge |
| CR | Cereal Rye |
| CRm | Mustard plus Cereal Rye |
| CVI | Chlorophyll Vegetation Index |
| EVI2 | Enhanced Vegetation Index 2 |
| Fert | Fertilizer |
| G | Green |
| GCVI | Green Chlorophyll Vegetation Index |
| GNDVI | Green Normalized Difference Vegetation Index |
| GNSS | Global navigation satellite system |
| GPS | Global position system |
| GRRI | Green–Red ratio vegetation Index |
| kg ha−1 yr−1 | Kilogram per hectare per year |
| LR | Linear Regression |
| ML | Machine Learning |
| NAVI | Normalized Area Vegetation Index |
| NDRE | Normalized Difference Red Edge Index |
| NDVI | Normalized Difference Vegetation Index |
| NIR | Near Infrared |
| NV | Native vegetation |
| PL | Poultry Liter |
| R | Red |
| RE | Red Edge |
| RF | Random Forest |
| RMSE | Root Mean Square Error |
| R2 | Coefficient of Determination |
| RS | Remote sensing |
| SCCCI | Simplified Canopy Chlorophyll Content Index |
| SVM | Support Vector Machine |
| UAV | Unmanned aerial vehicle |
| VE | Vetch |
| WH | Wheat |
Appendix A
| Cover Crop | Experimental Plot Design | |||
|---|---|---|---|---|
| Cereal Rye | 101 Fert | 201 Fert | 301 None | 401 Fert |
| 102 None | 202 PL | 302 Fert | 402 None | |
| 103 PL | 203 None | 303 PL | 403 PL | |
| Vetch | 104 None | 204 PL | 304 None | 404 PL |
| 105 Fert | 205 None | 305 PL | 405 None | |
| 106 PL | 206 Fert | 306 Fert | 406 Fert | |
| Wheat | 107 PL | 207 None | 307 None | 407 Fert |
| 108 Fert | 208 PL | 308 PL | 408 PL | |
| 109 None | 209 Fert | 309 Fert | 409 None | |
| NRCS Mustard + Cereal Rye | 110 None | 210 PL | 310 None | 410 None |
| 111 PL | 211 None | 311 Fert | 411 PL | |
| 112 Fert | 212 Fert | 312 PL | 412 Fert | |
| Native Vegetation | 113 Fert | 213 None | 313 PL | 413 Fert |
| 114 PL | 214 PL | 314 None | 414 None | |
| 115 None | 215 Fert | 315 Fert | 415 PL | |
References
- Valdes, C.; Gillespie, J.; Dohlman, E. Soybean Production, Marketing Costs, and Export Competitiveness in Brazil and the United States; (Report No. EIB-262); U.S. Department of Agriculture, Economic Research Service: Washington, DC, USA, 2023.
- Williams, B.; Pounds-Barnett, G. Producer Supply Response for Area Planted of Seven Major US Crops; (Report No ERR-327); U.S. Department of Agriculture, Economic Research Service: Washington, DC, USA, 2023. [CrossRef]
- Ates, A.M.; Bukowski, M. Oil Crops Outlook: August 2022; (Report No OCS-22h); U.S. Department of Agriculture, Economic Research Service: Washington, DC, USA, 2022.
- US Department of Agriculture, Economic Research Service. United States of America. Soybeans and Oil Crops. 2022. Available online: https://www.ers.usda.gov/topics/crops/soybeans-and-oil-crops/related-data-statistics/ (accessed on 10 November 2023).
- Huang, Y.; Chen, Z.; Yu, T.; Huang, X.; Gu, X. Agricultural remote sensing big data: Management and applications. J. Integr. Agric. 2018, 7, 1915–1931. [Google Scholar] [CrossRef]
- Sishodia, R.P.; Ray, R.L.; Singh, S.K. Applications of Remote Sensing in Precision Agriculture: A Review. Remote Sens. 2020, 12, 3136. [Google Scholar] [CrossRef]
- Weiss, M.; Jacob, F.; Duveiller, G. Remote sensing for agricultural applications: A meta-review. Remote Sens. Environ. 2020, 236, 111402. [Google Scholar] [CrossRef]
- Zhu, L.; Suomalainen, J.; Liu, J.; Hyyppä, J.; Kaartinen, H.; Haggren, H. A Review: Remote Sensing Sensors. In Multi-Purposeful Application of Geospatial Data; Rustamov, R.B., Hasanova, S., Zeynalova, M.H., Eds.; IntechOpen: London, UK, 2017; Available online: https://www.intechopen.com/books/multi-purposeful-application-of-geospatial-data/a-review-remote-sensing-sensors (accessed on 10 October 2023).
- Kumar, C.; Mubvumba, P.; Huang, Y.; Dhillon, J.; Reddy, K. Multi-Stage Corn Yield Prediction Using High-Resolution UAV Multispectral Data and Machine Learning Models. Agronomy 2023, 13, 1277. [Google Scholar] [CrossRef]
- Da Silva, E.E.; Baio, F.H.R.; Teodoro, L.P.R.; da Silva Junior, C.A.; Borges, R.S.; Teodoro, P.E. UAV-multispectral and vegetation indices in soybean grain yield prediction based on in situ observation. Remote Sens. Appl. Soc. Environ. 2020, 18, 100318. [Google Scholar] [CrossRef]
- Alabi, T.R.; Abebe, A.T.; Chigeza, G.; Fowobaje, K.R. Estimation of soybean grain yield from multispectral high-resolution UAV data with machine learning models in West Africa. Remote Sens. Appl. Soc. Environ. 2022, 27, 100782. [Google Scholar] [CrossRef]
- Maimaitijiang, M.; Sagan, V.; Sidike, P.; Hartling, S.; Esposito, F.; Fritschi, F.B. Soybean yield prediction from UAV using multimodal data fusion and deep learning. Remote Sens. Environ. 2020, 237, 111599. [Google Scholar] [CrossRef]
- Shammi, S.A.; Meng, Q. Use time series NDVI and EVI to develop dynamic crop growth metrics for yield modeling. Ecol. Ind. 2021, 121, 107124. [Google Scholar] [CrossRef]
- Shammi, S.A.; Meng, Q. Modeling crop yield using NDVI-derived VGM metrics across different climatic regions in the USA. Int. J. Biometeorol. 2023, 67, 1051–1062. [Google Scholar] [CrossRef]
- Doraiswamy, P.C.; Sinclair, T.R.; Hollinger, S.; Akhmedov, B.; Stern, A.; Prueger, J. Application of MODIS derived parameters for regional crop yield assessment. Remote Sens. Environ. 2005, 97, 192–202. [Google Scholar] [CrossRef]
- Doraiswamy, P.C.; Hatfield, J.L.; Jackson, T.J.; Akhmedov, B.; Prueger, J.; Stern, A. Crop conditions and yield simulations using Landsat and MODIS. Remote Sens. Environ. 2004, 92, 548–559. [Google Scholar] [CrossRef]
- Mkhabela, M.S.; Bullock, P.; Raj, S.; Wang, S.; Yang, Y. Crop yield forecasting on the Canadian Prairies using MODIS NDVI data. Agric. For. Meteorol. 2011, 151, 385–393. [Google Scholar] [CrossRef]
- Johnson, D.M. An assessment of pre- and within-season remotely sensed variables for forecasting corn and soybean yields in the United States. Remote Sens. Environ. 2014, 141, 116–128. [Google Scholar] [CrossRef]
- Bian, C.; Shi, H.; Wu, S.; Zhang, K.; Wei, M.; Zhao, Y.; Sun, Y.; Zhuang, H.; Zhang, X.; Chen, S. Prediction of field-scale wheat yield using machine learning method and multi-spectral UAV data. Remote Sens. 2022, 14, 1474. [Google Scholar] [CrossRef]
- Liu, J.; Huffman, T.; Qian, B.; Shang, J.; Li, Q.; Dong, T.; Davidson, A.; Jing, Q. Crop yield estimation in the Canadian Prairies using Terra/MODIS-derived crop metrics. IEEE Sel. Top. Appl. Earth Obs. Remote Sens. 2020, 13, 2685–2697. [Google Scholar] [CrossRef]
- Bolton, D.K.; Friedl, M.A. Forecasting crop yield using remotely sensed vegetation indices and crop phenology metrics. Agric. For. Meteorol. 2013, 173, 74–84. [Google Scholar] [CrossRef]
- Zhang, Z.; Moore, J.C. Chapter 4—Remote Sensing. In Mathematical and Physical Fundamentals of Climate Change; Elsevier: Amsterdam, The Netherlands, 2015; pp. 111–124. ISBN 9780128000663. [Google Scholar] [CrossRef]
- Bagaram, M.B.; Giuliarelli, D.; Chirici, G.; Giannetti, F.; Barbati, A. UAV remote sensing for biodiversity monitoring: Are forest canopy gaps good covariates? Remote Sens. 2018, 10, 1397. [Google Scholar] [CrossRef]
- Gitelson, A.A.; Kaufman, Y.J.; Stark, R.; Rundquist, D. Novel algorithms for remote estimation of vegetation fraction. Remote Sens. Environ. 2002, 80, 76–87. [Google Scholar] [CrossRef]
- Li, F.; Miao, Y.; Feng, G.; Yuan, F.; Yue, S.; Gao, X.; Liu, Y.; Liu, B.; Ustin, S.L.; Chen, X. Improving estimation of summer maize nitrogen status with red edge-based spectral vegetation indices. Field Crops Res. 2014, 157, 111–123. [Google Scholar] [CrossRef]
- Kanemasu, E.T. Seasonal canopy reflectance patterns of wheat, sorghum, and soybean. Remote Sens. Environ. 1974, 3, 43–47. [Google Scholar] [CrossRef]
- Ballester, C.; Brinkhoff, J.; Quayle, W.C.; Hornbuckle, J. Monitoring the Effects of Water Stress in Cotton Using the Green Red Vegetation Index and Red Edge Ratio. Remote Sens. 2019, 11, 873. [Google Scholar] [CrossRef]
- Venancio, L.P.; Mantovani, E.C.; do Amaral, C.H.; Neale, C.M.U.; Gonçalves, I.Z.; Filgueiras, R.; Eugenio, F.C. Potential of using spectral vegetation indices for corn green biomass estimation based on their relationship with the photosynthetic vegetation sub-pixel fraction. Agric. Water Manag. 2020, 236, 106155. [Google Scholar] [CrossRef]
- Wan, L.; Cen, H.; Zhu, J.; Zhang, J.; Zhu, Y.; Sun, D.; Du, X.; Zhai, L.; Weng, H.; Li, Y. Grain yield prediction of rice using multi-temporal UAV-based RGB and multispectral images and model transfer—A case study of small farmlands in the South of China. Agric. For. Meteorol. 2020, 291, 108096. [Google Scholar] [CrossRef]
- Zhang, L.; Zhang, Z.; Luo, Y.; Cao, J.; Xie, R.; Li, S. Integrating satellite-derived climatic and vegetation indices to predict smallholder maize yield using deep learning. Agric. For. Meteorol. 2021, 311, 108666. [Google Scholar] [CrossRef]










| No. | Date of UAV Imaging Flyovers | Growth Stage Label and Description |
|---|---|---|
| a | 8 June 2022 | VE: Vegetative Emergence |
| b | 17 June 2022 | V1: 1st node develops |
| c | 7 July 2022 | V7: 8th node develops |
| d | 21 July 2022 | R3: Initial Pod develops |
| e | 3 August 2022 | R4: Full Pod develops |
| f | 16 August 2022 | R5: Initial seed develops |
| g | 31 August 2022 | R6: Full seed develops |
| h | 13 September 2022 | R7: Initial Maturity |
| Vegetation Index | Description | Formula | Reference |
|---|---|---|---|
| CC | Canopy cover | No. of Vegetative Pixels/No. of Total Pixels | [23] |
| NDVI | Normalized difference vegetation index | [10] | |
| GNDVI | Green normalized difference vegetation index | [10] | |
| EVI2 | Two-band enhanced vegetation index | [19] | |
| NDRE | Normalized difference red edge index | [10] | |
| ARVI | Atmospherically resistant vegetation index | [24] | |
| CCCI | Canopy chlorophyl content index | [25] | |
| GRRI | Green–red ratio vegetation index | [26] | |
| CARI | Chlorophyll absorption ratio index | [27] | |
| NAVI | Normalized area vegetation index | [28] | |
| SCCCI | Simplified canopy chlorophyll content index | [24] | |
| CIRE | Chlorophyll index red edge | [29] | |
| CVI | Chlorophyll vegetation index | [28] | |
| GCVI | Green chlorophyll vegetation index | [30] |
| CC | NDVI | GNDVI | EVI2 | NDRE | ARVI | CCCI | GRRI | CARI | NAVI | SCCCI | CIRE | CVI | GCVI | |
|---|---|---|---|---|---|---|---|---|---|---|---|---|---|---|
| CC | 1.00 | |||||||||||||
| NDVI | 0.80 | 1.00 | ||||||||||||
| GNDVI | 0.66 | 0.79 | 1.00 | |||||||||||
| EVI2 | 0.23 | 0.37 | −0.18 | 1.00 | ||||||||||
| NDRE | 0.19 | 0.17 | −0.27 | 0.61 | 1.00 | |||||||||
| ARVI | 0.20 | 0.49 | 0.10 | 0.69 | 0.12 | 1.00 | ||||||||
| CCCI | 0.19 | 0.17 | −0.27 | 0.61 | 1.00 | 0.12 | 1.00 | |||||||
| GRRI | 0.52 | 0.68 | 0.14 | 0.85 | 0.47 | 0.76 | 0.47 | 1.00 | ||||||
| CARI | 0.67 | 0.84 | 0.84 | 0.11 | −0.28 | 0.42 | −0.28 | 0.50 | 1.00 | |||||
| NAVI | 0.79 | 0.99 | 0.77 | 0.38 | 0.19 | 0.48 | 0.19 | 0.68 | 0.81 | 1.00 | ||||
| SCCCI | 0.08 | 0.22 | 0.50 | −0.43 | −0.87 | 0.15 | −0.87 | −0.13 | 0.59 | 0.21 | 1.00 | |||
| CIRE | −0.14 | −0.24 | 0.32 | −0.95 | −0.73 | −0.60 | −0.73 | −0.78 | 0.04 | −0.25 | 0.54 | 1.00 | ||
| CVI | 0.18 | 0.16 | 0.68 | −0.76 | −0.41 | −0.43 | −0.41 | −0.55 | 0.30 | 0.16 | 0.43 | 0.74 | 1.00 | |
| GCVI | 0.64 | 0.71 | 0.96 | −0.29 | −0.23 | −0.04 | −0.23 | 0.06 | 0.80 | 0.70 | 0.46 | 0.37 | 0.77 | 1.00 |
| VI | LR Model | RF Model | SVR Model | |||
|---|---|---|---|---|---|---|
| R2 | RMSE (kg ha−1) | R2 | RMSE (kg ha−1) | R2 | RMSE (kg ha−1) | |
| CC | 0.386 | 404.65 | 0.872 | 184.60 | 0.372 | 409.29 |
| NDVI | 0.250 | 447.22 | 0.849 | 200.54 | 0.245 | 448.63 |
| GNDVI | 0.105 | 488.44 | 0.816 | 221.39 | 0.098 | 490.46 |
| EVI2 | 0.046 | 504.45 | 0.863 | 191.33 | 0.059 | 500.75 |
| NDRE | 0.025 | 509.76 | 0.811 | 224.35 | −0.039 | 526.37 |
| ARVI | 0.044 | 504.79 | 0.839 | 207.00 | 0.033 | 507.75 |
| CCCI | 0.025 | 509.76 | 0.811 | 224.35 | 0.040 | 506.00 |
| GRRI | 0.174 | 469.21 | 0.852 | 198.46 | 0.176 | 468.87 |
| CARI | 0.152 | 475.60 | 0.835 | 209.55 | 0.197 | 462.82 |
| NAVI | 0.248 | 447.76 | 0.849 | 200.54 | 0.247 | 447.96 |
| SCCCI | 0.000 | 516.35 | 0.824 | 216.88 | −0.051 | 529.33 |
| CIRE | 0.017 | 511.85 | 0.840 | 206.66 | −0.037 | 525.84 |
| CVI | 0.002 | 515.75 | 0.805 | 228.12 | 0.001 | 516.02 |
| GCVI | 0.089 | 492.75 | 0.816 | 221.39 | 0.117 | 485.35 |
| VI | LR Model | RF Model | SVR Model | |||
|---|---|---|---|---|---|---|
| R2 | RMSE (kg ha−1) | R2 | RMSE (kg ha−1) | R2 | RMSE (kg ha−1) | |
| CC | 0.063 | 621.40 | −0.117 | 678.56 | 0.082 | 615.14 |
| NDVI | 0.012 | 638.01 | 0.015 | 625.95 | 0.036 | 630.34 |
| GNDVI | 0.017 | 636.67 | −0.155 | 677.89 | 0.023 | 634.58 |
| EVI2 | 0.013 | 637.74 | −0.003 | 642.92 | 0.025 | 633.91 |
| NDRE | 0.025 | 634.04 | −0.060 | 660.95 | 0.024 | 634.18 |
| ARVI | −0.004 | 643.26 | −0.020 | 648.37 | 0.002 | 641.44 |
| CCCI | 0.025 | 634.04 | −0.060 | 660.95 | 0.031 | 632.16 |
| GRRI | 0.061 | 622.07 | −0.129 | 670.26 | 0.069 | 619.45 |
| CARI | 0.076 | 617.16 | −0.115 | 677.95 | 0.109 | 595.64 |
| NAVI | 0.002 | 641.24 | 0.016 | 625.82 | 0.008 | 639.56 |
| SCCCI | 0.020 | 635.59 | −0.138 | 684.96 | 0.056 | 623.62 |
| CIRE | 0.008 | 639.29 | −0.105 | 675.01 | 0.007 | 628.73 |
| CVI | 0.002 | 641.51 | −0.158 | 678.97 | 0.048 | 615.55 |
| GCVI | 0.053 | 624.63 | −0.149 | 688.13 | 0.098 | 599.00 |
Disclaimer/Publisher’s Note: The statements, opinions and data contained in all publications are solely those of the individual author(s) and contributor(s) and not of MDPI and/or the editor(s). MDPI and/or the editor(s) disclaim responsibility for any injury to people or property resulting from any ideas, methods, instructions or products referred to in the content. |
© 2024 by the authors. Licensee MDPI, Basel, Switzerland. This article is an open access article distributed under the terms and conditions of the Creative Commons Attribution (CC BY) license (https://creativecommons.org/licenses/by/4.0/).
Share and Cite
Shammi, S.A.; Huang, Y.; Feng, G.; Tewolde, H.; Zhang, X.; Jenkins, J.; Shankle, M. Application of UAV Multispectral Imaging to Monitor Soybean Growth with Yield Prediction through Machine Learning. Agronomy 2024, 14, 672. https://doi.org/10.3390/agronomy14040672
Shammi SA, Huang Y, Feng G, Tewolde H, Zhang X, Jenkins J, Shankle M. Application of UAV Multispectral Imaging to Monitor Soybean Growth with Yield Prediction through Machine Learning. Agronomy. 2024; 14(4):672. https://doi.org/10.3390/agronomy14040672
Chicago/Turabian StyleShammi, Sadia Alam, Yanbo Huang, Gary Feng, Haile Tewolde, Xin Zhang, Johnie Jenkins, and Mark Shankle. 2024. "Application of UAV Multispectral Imaging to Monitor Soybean Growth with Yield Prediction through Machine Learning" Agronomy 14, no. 4: 672. https://doi.org/10.3390/agronomy14040672
APA StyleShammi, S. A., Huang, Y., Feng, G., Tewolde, H., Zhang, X., Jenkins, J., & Shankle, M. (2024). Application of UAV Multispectral Imaging to Monitor Soybean Growth with Yield Prediction through Machine Learning. Agronomy, 14(4), 672. https://doi.org/10.3390/agronomy14040672

