You are currently viewing a new version of our website. To view the old version click .
Agronomy
  • Editor’s Choice
  • Article
  • Open Access

24 March 2024

Combined Application of Chemical and Organic Fertilizers: Effects on Yield and Soil Nutrients in Spring Wheat under Drip Irrigation

,
,
,
,
,
,
and
Key Laboratory of Oasis Eco-Agriculture, Xinjiang Production and Construction Corps, College of Agriculture, Shihezi University, Shihezi 832003, China
*
Author to whom correspondence should be addressed.
This article belongs to the Section Crop Breeding and Genetics

Abstract

In this study, we established a feasible fertilization programming method for wheat production by exploring the effects of the combined application of chemical and organic fertilizers on wheat yield, nutrient uptake, soil nutrient content, and fertilizer utilization. Six treatments, no fertilizer (CK), conventional fertilizer (CF), optimized fertilizer (with reduced fertilizer amount) (RF), chemical fertilizer with organic fertilizer extract (RPAE), partial replacement of chemical fertilizer with raw amino acid powder (RAF), and partial replacement of chemical fertilizer with raw humic acid powder (RHF), were set up for a field experiment. The fertilizer application rates for the RF treatment were calculated based on fertilization-monitoring techniques (30.3% nitrogen and 24.8% phosphorus reductions in 2022 and 23.0% nitrogen and 1.5% phosphorus reductions in 2023). The effects of different fertilizer treatments on yield, dry matter accumulation, plant nutrient accumulation, soil nutrients, and nutrient utilization in wheat were investigated. The results showed that, on the basis of 23% nitrogen and 1.5% phosphorus reductions, there was no significant difference in wheat yield between the RF and CF treatments and that the utilization rate of nitrogen fertilizer was improved. The application of organic fertilizer promoted dry matter accumulation in different organs of wheat; increased plant nutrient accumulation; improved soil nutrient content, nutrient utilization rate, nutrient partial productivity, and nutrient agronomic use efficiency; and ensured stable and increased crop yield. Specifically, compared with CF, the RPAE, RAF, and RHF organic fertilizer treatments increased wheat yield by 3.85%, 1.97%, and 0.67%, respectively, and the utilization of nitrogen and phosphorus fertilizers induced by these treatments significantly increased by 40.46%, 39.28%, and 37.46% (nitrogen) and by 9.83%, 8.91%, and 7.46% (phosphorus), respectively. As a result of our experiment, we concluded that RPAE exerted the best effects among the three organic fertilizer treatments (RPAE, RAF, and RHF) and that its use can result in a higher wheat yield and fertilizer utilization rate in drip-irrigated wheat fields. The results of this study provide a theoretical basis for the combined application of chemical and organic fertilizers, which is conducive to sustainable agriculture development.

1. Introduction

Wheat is the main grain crop in China and an indispensable food resource for humans. In 2022, wheat accounted for 19.87% of the total area and 20.06% of the total production of grain crops in China [1]. Fertilizer application is the key to ensuring stable or even increased wheat production [2,3]; however, high yield is generally achieved with the over-application of chemical fertilizers, which not only increases the cost of cultivation but also causes environmental pollution, hindering sustainable agriculture development [4,5,6]. Therefore, there is an urgent need to reduce the excessive use of chemical fertilizers by optimizing the existing application methods and to promote fertilizer sustainable and efficient use in food production.
Cao et al. [7], on the basis of soil measurement and fertilization tests on winter wheat in the drylands of north Weibei, Shaanxi Province, optimized application monitoring technology for nitrate nitrogen (in a 1 m soil layer), phosphorus, and potassium. In their study, the following formulae were used: amount of nitrogen applied = crop target yield nitrogen requirement + soil nitrate nitrogen safety threshold in 1 m soil prior to harvesting/sowing-soil nitrate nitrogen in 1 m soil prior to harvesting/sowing; amount of phosphorus and potassium applied = crop target yield phosphorus and potassium requirement × phosphorus and potassium application coefficient. With their method, they successfully obtained a stable yield based on a 25.2% reduction in nitrogen fertilizer. Huang [8], in a related study during the harvesting period, subsequently proposed fertilization monitoring techniques based on effective soil nitrogen, phosphorus, and potassium measurement; crop nutrient demand; and soil nitrate nitrogen safety thresholds. Fertilization-monitoring techniques have become the main optimized fertilization techniques in use in the agricultural sector in China. At Xinjiang in the northwestern arid zone, precipitation is low, evaporation is high, and water resources are scarce. As drip irrigation has the advantages of water resource conservation and improved irrigation efficiency and can be used in conjunction with fertilizers to achieve precise fertilization, this method has become one of the most important technologies for sustainable agriculture development in the arid zone of Xinjiang. Most wheat irrigation methods have evolved from traditional large-area flood irrigation and fertilizer-spreading cultivation to drip irrigation and water–fertilizer integration technology, which, in the case of Xinjiang, has made significant contributions to the increase in crop sowing area and yield [9].
China is rich in organic fertilizer resources, but their ineffective use results in their waste, while their rational use would greatly contribute to sustainable agriculture development. The rich nutrients and organic substances in organic fertilizers can effectively improve soil fertility and fertilizer efficiency [10,11]. Increasing the application of organic fertilizers in agricultural production is an effective measure to maintain soil productivity, reduce the use of chemical fertilizers, and achieve cost savings [12,13]. Currently, organic fertilizers that can be used with drip irrigation are mainly composed of amino acids and humic acids, as well as organic fertilizer extracts that are leached in solution. Among them, organic amino acid fertilizers are usually made from pre-treated plant and animal raw materials; they not only provide organic nitrogen and carbon sources to plants but also promote the absorption of nitrogen by crops and improve the fertilizer utilization rate [14,15]. Mineral-source organic humic acid fertilizers are prepared with pre-treated weathered coal, lignite, and peat as raw materials; they not only enhance crop resistance but also promote crop growth and development and improve soil fertility [16,17]. Organic fertilizer leaching solutions are obtained by leaching organic fertilizer or straw and other wastes in solution and are usually rich in organic matter, nitrogen, phosphorus, potassium, and other nutrients, as well as microorganisms, enzymes, hormones, and other biologically active substances. Compost tea made with acid leached organic fertilizer not only improves the soil structure but also promotes crop growth and increases nutrient uptake by crops [18,19]. As shown in Xinjiang, these organic fertilizers can be easily and conveniently applied with drip irrigation technology, presenting broad application prospects.
With the development of agriculture, organic–inorganic fertilizer blending has become an effective measure to reduce the application of chemical fertilizers and plays an important role in improving the fertilizer utilization rate and soil and crop quality, representing a green, healthy, and sustainable technological solution [20,21,22]. Previous studies have mainly focused on the role and mechanism of organic fertilizers under conventional nitrogen application, and relatively few studies have been conducted on whether organic fertilizers that can be used with drip irrigation can maintain or even improve crop yield when applied with reduced chemical fertilizer amounts; even fewer studies have focused on the application of different organic fertilizers that can be used with drip irrigation in wheat.
Since different types of organic fertilizers have different impacts on crop growth and development, in this study, we hypothesized that the use of different organic and inorganic formulations could improve the fertilizer utilization efficiency and fertilize the soil with the aim of guaranteeing increased and stable wheat yields. To this end, three organic fertilizers that can be used with drip irrigation were selected to partially replace chemical fertilizers and used in field experiments. We investigated the effects of the drip irrigation application of chemical fertilizers partially replaced with organic fertilizer on wheat growth and yield, nutrient utilization, and soil nutrients to provide theoretical support for the rational fertilization of wheat fields in the oasis of Xinjiang.

2. Materials and Methods

2.1. Study Region-Geoclimatic Characterization

The experimental area was located in the agricultural trial field of Shihezi University, Shihezi City, Xinjiang (44°31′ N, 85°91′ E). The area of Shihezi has a typical temperate continental climate, with the following annual average values: temperature of 7.7 °C, precipitation of 200 mm, and evaporation of 1700–2200 mm. The soil type in the experimental area was gray desert soil with the following characteristics: pH 8.33, soil organic matter (SOM) of 16.73 g kg−1, alkaline hydrolyzable nitrogen (AN) of 50.78 mg kg−1, available phosphorus (AP) of 13.17 mg kg−1 (AP), and available potassium (AK) of 213.40 mg kg−1.

2.2. Experimental Design

The field experiment was conducted in 2022–2023, and the test crop was spring wheat (Xinchun 38). The experiment was based on a randomized complete block design with six treatments, each replicated three times, and the area of each plot was 29.7 m2 (5.5 × 5.4 m). The treatments were as follows: no fertilizer (CK), conventional fertilizer (CF), optimized fertilizer (reduced fertilizer amount) (RF), chemical fertilizer with organic fertilizer extract (RPAE), partial replacement of chemical fertilizer with raw amino acid powder (RAF), and partial replacement of chemical fertilizer with raw humic acid powder (RHF). The fertilizer application rates for the RF treatments were calculated based on fertilization-monitoring techniques (30.3% nitrogen and 24.8% phosphorus reductions in 2022 and 23.0% nitrogen and 1.5% phosphorus reductions in 2023). The amounts of fertilizers applied with each treatment in both years are shown in Table 1. The fertilizer application rate for fertilizer reduction was calculated in accordance with Cao et al. and Huang [7,8]; i.e., we combined the nutrient requirements for the target yield, nitrate nitrogen content in 1 m of soil, and quick-acting phosphorus and potassium content in the 0–40 cm soil layer. The tested chemical fertilizers were urea (N ≥ 46.0%), heavy superphosphate (P2O5 ≥ 46%), mono-ammonium phosphate (N ≥ 12% and P2O5 ≥ 61%), and potassium sulfate (K2O ≥ 52%). The organic fertilizers included the extract developed by our research group [19] (organic matter content of 6.2 g L−1, N of 0.6 g L−1, P2O5 of 36.89 g L−1, and K2O of 2.17 g L−1), mineral-source xanthic acid powder (N + P2O5 + K2O ≥ 5% and organic matter ≥ 60%), and agricultural amino acid powder (N + P2O5 + K2O ≥ 22% organic matter ≥ 30%).
Table 1. Fertilization doses of different treatments.
The seeds were sown on 4 April 2022, and 31 March 2023, at a sowing rate of about 300 kg ha−1; they were planted in four 15 cm equal rows with 1 watering tube and were drip-irrigated with a total water volume of 6000 m3 ha−1 during the wheat fertility period. The irrigation and fertilization strategies were consistent with those reported in previous research [21]. The fertilization and irrigation schedules for the two wheat growing seasons are shown in Table 2 (note that 10% of irrigation volume is emergence water). Water meters were used to control the irrigation amount in each treatment group. A fraction of 20% of the total chemical fertilizer application was used as basal fertilizer, and all the three kinds of organic fertilizers were applied by using drip irrigation; the remaining fertilizer amount was applied by using the same method but in a later stage, with a total of five fertilizers being applied in the fertility period. Fertilization was performed five times during the reproductive period, where 10% of the total fertilizer amount was applied during the seedling, flowering, and filling stages, 30% during the jointing stage, and 20% during the booting stage. The other cultivation management measures were consistent across treatments.
Table 2. Fertilization and irrigation schedules during 2022 and 2023 wheat growing seasons.

2.3. Plant Sampling and Analysis

In 2022–2023, 10 wheat plants of similar size were taken from each plot in the seedling stage (the end of April), jointing stage (mid-May), filling stage (the end of June), and harvesting stage (mid-July) and were divided into stems, leaves, seeds, and husks (the classification was performed according to their organ characteristics, which differed according to the development stage). The fresh samples were dried at 105 °C for 30 min and subsequently dried at 75 °C to a constant weight for wheat dry matter weight determination. Nitrogen, phosphorus, and potassium contents in each organ of wheat were measured after sample crushing. At the time of wheat harvest, from each experimental plot, we randomly selected three 1 m2 sample plots for testing, and the number of spikes, the number of grains per spike, the weight of 1000 kernels, and the yield obtained following each treatment were determined. Plant samples were digested with H2SO4–H2O2, nitrogen was measured by using the Neismo colorimetric method, phosphorus was measured by using the vanadium–molybdenum yellow colorimetric method, and potassium was measured by using a flame photometer [23].

2.4. Soil Sampling and Analysis

At the time of wheat harvest in both 2022 and 2023, five random soil subsamples (0–20 cm) were collected from each plot by using a soil auger (5 cm in diameter) to remove debris, and were then mixed. Subsequently, the soil samples were air-dried, pulverized, and sifted with 1.00 mm and 0.15 mm sieves for soil nutrient determination.
Soil alkaline hydrolyzable nitrogen (AN) was determined in 2.00 g of air-dried soil by using the alkaline diffusion method. Soil available phosphorus (AP) was determined in 2.50 g of soil by using sodium bicarbonate extraction and molybdenum–antimony resistance colorimetry. Soil available potassium (AK) was determined in 5.00 g of air-dried soil by using ammonium acetate extraction and flame spectrophotometry. Soil organic matter (SOM) was determined in 0.1000 g of air-dried soil by using the high-temperature, external heating-based potassium dichromate oxidation volumetric method. The above methods for determining the properties of the soil sampled were based on Bao’s work [23].

2.5. Data Statistics and Analysis

The following equations were used in our calculations:
Plant nutrient accumulation (kg ha−1) = weight of dry matter per plant × number of ears per hectare × plant nutrient content;
N or P recovery efficiency (RE, %) = (plant nutrient (N or P) accumulation in fertilized area − plant nutrient (N or P) accumulation in non-fertilized area)/nutrient (N or P) application rate ×100%;
N or P agronomic use efficiency (AUE, kg kg−1) = (yield of fertilizer treatment − control yield)/nutrient (N or P) application rate;
N or P partial factor productivity (PEP, kg kg−1) = yield of fertilizer treatment/nutrient (N or P) application rate;
Microsoft Excel 2021 and Origin 2021 were used for data processing and mapping, SPSS 26 software was used for statistical analysis and one-way ANOVA, and the new multiple-range method (Duncan) was used for multiple comparisons.

3. Results

3.1. Climatic Conditions

Figure 1 shows the temperature and rainfall data graphs for the two consecutive wheat growing seasons. It can be seen that there was a small difference in temperature between the two. The difference in rainfall was also very small, but the months in which precipitation occurred varied: in 2022, it rained in early April, late May, and July, and in 2023, in mid-April, mid-May, late June, and early July. Given the above, in this study, for the same fertility period, only the timing of irrigation was changed, while the amount of irrigation remained the same.
Figure 1. Daily temperature and precipitation data for 2022–2023 spring wheat growing seasons.

3.2. Effects of Reduction of Chemical Fertilizer Combined with Organic Fertilizer on the Dry Matter Accumulation of Wheat

As shown in Figure 2, the application of organic fertilizer significantly (p < 0.05) increased the dry matter weight of wheat. In 2022, there were no significant (p > 0.05) differences between the fertilizer treatments at the seedling and filling stages. CF, RPAE and RAF treatments had significantly (p < 0.05) higher dry matter weight than RF treatments at the filling and harvesting stages, and RHF treatment dry matter weight was significantly (p < 0.05) different from that of RF treatments only at the harvesting stage. Dry matter weight of RPAE treatment was significantly (p < 0.05) higher than that of other treatments at harvest and increased by 1.46%, 11.31%, 2.57%, and 3.08% compared with CF, RF, RAF and RHF treatments, respectively. In 2023, dry matter weights of organic fertilizer treatments RPAE, RAF, and RHF were significantly (p < 0.05) higher than those of RF treatment throughout the grown period. Dry matter weight of RPAE treatment was significantly (p < 0.05) higher than that of treatments with a single application of chemical fertilizer treatments, CF and RF, throughout the grown period. Dry matter weight of CF treatment was significantly (p < 0.05) higher than that of RF treatment only at the harvesting stage and there were no significant (p > 0.05) differences in the rest of the period. The dry matter weight increased by −4.31%, 5.79%, 4.33%, and 2.25% in RF, RPAE, RAF, and RHF treatments compared with CF treatment at harvest, respectively. The order of dry matter weight magnitude for different treatments was RPAE > RAF > RHF > CF > RF > CK.
Figure 2. Effects of different treatments in different periods on dry matter of wheat from 2022 (a) to 2023 (b). Note: Different lowercase letters in the figure represent the significance of differences between treatments in the same growth period at the 0.05 level.

3.3. Effects of Reduction of Chemical Fertilizer Combined with Organic Fertilizer on Wheat Yield and Its Constituent Factors

As can be seen from Table 3, yield and its components were significantly (p < 0.05) higher in the fertilized treatments than in the non-fertilized treatments, and the organic fertilizer treatments increased the number of wheat spikes, 1000-grain weight, and yield. In the first year of the experiment, there were no significant (p > 0.05) differences in the number of grains in spikes among the fertilizer treatments. The 1000-grain weight and yield of wheat under RF treatment were lower than those of the other fertilizer treatments and were significantly (p < 0.05) different. Fertilizer treatments CF, RF, RPAE, RAF, and RHF significantly (p < 0.05) increased wheat yield by 38.19%, 26.67%, 35.52%, 35.24%, and 33.97% compared with CK treatment, respectively. The CF treatment increased the wheat yield by 8.34%, 1.93%, 2.14%, and 3.05% compared with RF, RPAE, RAF, and RHF treatments, respectively. In the second year of the experiment, there were no significant (p > 0.05) differences in the number of spikes and kernels per spike between the fertilizer treatments. Wheat yield and 1000-grain weight were higher than values under RF treatment but not significantly (p > 0.05) different under CF treatment. Values of organic fertilizer treatments RPAE, RAF, and RHF yield were significantly (p < 0.05) higher than those of RF treatment, and yields of fertilized treatments CF, RF, RPAE, RAF, and RHF were significantly (p < 0.05) increased by 39.17%, 33.16%, 44.52%, 41.91%, and 40.10% compared with those of CK treatment, respectively. Organic fertilizer treatments RPAE, RAF, and RHF increased wheat yield by 3.85%, 1.97%, 0.67%, and 8.54%, 6.57%, and 5.21% compared with chemical fertilizer alone treatments CF and RF, respectively. The order of yield magnitude for different treatments was RPAE > RAF > RHF > CF > RF > CK.
Table 3. Effects of different treatments on wheat yield and its components.

3.4. Effects of Reduction of Chemical Fertilizer Combined with Organic Fertilizer on Nutrient Uptake in Different Organs

3.4.1. Effects of Reduction of Chemical Fertilizer Combined with Organic Fertilizer on Nitrogen Accumulation in Plants

As can be seen from Figure 3, the nutrient content of wheat under each fertilization treatment was significantly (p < 0.05) higher than that of CK treatment at all fertility stages. In 2022, there were no significant (p > 0.05) differences in plant nitrogen accumulation among fertilization treatments at the seedling and jointing stages. Plant nitrogen accumulation of CF, RPAE, RAF, and RHF treatments was significantly (p < 0.05) higher than that of RF treatment at the filling and harvesting stages. At the harvesting stage, the RF, RPAE, RAF, and RHF treatments increased the plant nitrogen accumulation by −3.69%, 1.21%, 0.47%, and 0.64% compared with CF treatment, respectively. In 2023, there were no significant (p > 0.05) differences in plant nitrogen accumulation among organic fertilizer treatments at all fertility stages. Plant nitrogen accumulation of organic fertilizer treatments RPAE, RAF, and RHF was significantly (p < 0.05) different from that of RF treatment at the jointing, filling, and harvesting stages. Plant nitrogen accumulation of CF treatment was significantly (p < 0.05) different from that of RF treatment only at the harvesting stage. At the harvesting stage, RF, RPAE, RAF, and RHF treatment had increased plant nitrogen accumulation by −7.35%, 3.72%, 3.11%, and 2.66% compared with CF treatment, respectively. The order of plant nitrogen accumulation magnitude for in different treatments was RPAE > RAF > RHF > CF > RF > CK.
Figure 3. Effects of different treatments in different stages on nitrogen accumulation in wheat from 2022 (a) to 2023 (b). Note: Different lowercase letters in the figure represent the significance of differences between treatments in the same growth period at the 0.05 level.

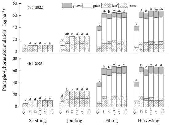
3.4.2. Effects of Reduction of Chemical Fertilizer Combined with Organic Fertilizer on Phosphorus Accumulation in Plants

As can be seen in Figure 4, there were no significant (p > 0.05) differences in plant phosphorus accumulation between fertilizer treatments at the seedling stage in 2022. Phosphorus accumulation in RPAE, RAF, and RHF plants under organic fertilizer treatments was significantly (p < 0.05) higher than that of RF treatment at the jointing and harvesting stages, while phosphorus accumulation in CF treatment plants was significantly (p < 0.05) different from that of RF treatment only at harvesting. At the harvesting stage, the RF, RPAE, RAF, and RHF treatments increased the plant phosphorus accumulation by −2.56%, 2.53%, 0.45%, and 1.80% compared with CF treatment, respectively. During 2023, phosphorus accumulation in RPAE, RAF, and RHF plants under organic fertilizer treatments was significantly (p < 0.05) different from that of chemical fertilizer application treatments except at the seedling stage, when there were no significant (p > 0.05) differences. RF, RPAE, RAF, and RHF treatments increased plant phosphorus accumulation by −4.01%, 2.97%, 1.60%, and 1.95% compared with CF treatment at harvest stage, respectively. The order of phosphorus accumulation in plants magnitude for different treatments was RPAE > RHF > RAF > CF > RF > CK.
Figure 4. Effects of different treatments in different periods on phosphorus accumulation in wheat from 2022 (a) to 2023 (b). Note: Different lowercase letters in the figure represent the significance of differences between treatments in the same growth period at the 0.05 level.

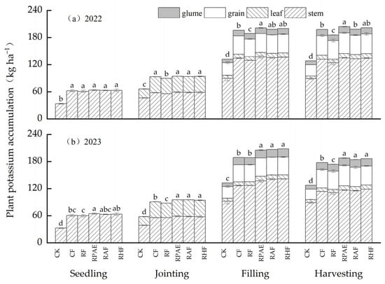
3.4.3. Effects of Reduction of Chemical Fertilizer Combined with Organic Fertilizer on Potassium Accumulation in Plants

As can be seen in Figure 5, in the first year of the experiment, potassium accumulation of organic fertilizer treatments RPAE, RAF, and RHF plants was significantly different from that of RF treatments at the jointing, filling, and harvesting stages. The CF plant potassium accumulation treatment was significantly different from the RF treatment at filling and harvesting stages. RF, RPAE, RAF, and RHF treatments increased plant potassium accumulation by −6.25%, 3.11%, 0.29%, and 1.85% compared with CF treatment at harvest stage, respectively. During 2023, potassium accumulation in organic fertilizer treatments RPAE, RAF, and RHF plants was significantly different from that of chemical fertilizer alone treatments CF and RF, except at the seedling stage, when there were no significant differences. The CF plant potassium accumulation treatment produced significant differences from the RF treatment at jointing and harvesting stages. At the harvesting stage, the RF, RPAE, RAF, and RHF treatments increased the plant potassium accumulation by −2.21%, 5.58%, 3.63%, and 4.80% compared with CF treatment, respectively. The order of potassium accumulation in plants magnitude for different treatments was RPAE > RHF > RAF > CF > RF > CK.
Figure 5. Effects of different treatments in different periods on potassium accumulation in wheat from 2022 (a) to 2023 (b). Note: Different lowercase letters in the figure represent the significance of differences between treatments in the same growth period at the 0.05 level.

3.5. Effects of Reduction of Chemical Fertilizer Combined with Organic Fertilizer on Soil Nutrient Content

As shown in Table 4, the application of organic fertilizer increased the soil available nutrient and organic matter content. The alkaline hydrolyzable nitrogen content of CF, RPAE, RAF, and RHF treatments was significantly (p < 0.05) higher than that of RF treatment in the two-year experiment. The alkaline hydrolyzable nitrogen content of RF, RPAE, RAF, and RHF treatments was increased by −2.32%, 2.13%, 1.50%, and 0.22% compared with CF treatment in 2023, respectively. The order of soil alkaline hydrolyzable nitrogen magnitude for different treatments was RPAE > RAF > RHF > CF > RF > CK.
Table 4. Effects of different treatments on soil nutrient content.
In the two-year experiment, there were no significant (p > 0.05) differences in soil available phosphorus content among CF, RF, RAF, and RHF, and the available phosphorus content of the RPAE treatment was significantly (p < 0.05) higher than that of the RF treatment. In 2023, the available phosphorus content of CF, RF, RPAE, RAF, and RHF treatments was increased by −0.07%, 4.94%, 3.36%, and 4.28% compared with CF treatment, respectively. The order of soil available phosphorus magnitude for different treatments was RPAE > RHF > RAF > CF > RF > CK.
In the two-year experiment, the organic fertilizer treatments RPAE, RAF, and RHF had significantly (p > 0.05) higher levels of available potassium than the CF treatment, and there were no significant (p > 0.05) differences between the CF and RF treatments. In 2022, the organic fertilizer treatments RPAE, RAF, and RHF had increased levels of available potassium compared with the RF treatment but the differences were not significant (p > 0.05). In 2023, the RPAE and RHF treatments had significantly (p < 0.05) higher levels of available potassium than the RF treatment. RF, RPAE, RAF, and RHF treatments available potassium content were increased by 1.69%, 7.73%, 5.20%, and 7.73% compared with CF treatment, respectively. The order of soil available potassium magnitude for different treatments was RPAE > RHF > RAF > CF > RF > CK.
In the two-year experiment, the application of organic fertilizer significantly (p < 0.05) increased the organic matter content compared with chemical fertilizer alone and there were no significant (p > 0.05) differences in organic matter content between CF and RF of chemical fertilizer-alone treatments. In 2023, there was a significant (p < 0.05) difference in organic matter content between organic fertilizer treatments RPAE and RAF. The organic matter content of RF, RPAE, RAF, and RHF was increased by −0.84%, 12.69%, 8.44%, and 10.29% compared with CF treatment, respectively. The order of soil organic matter magnitude for different treatments was RPAE > RHF > RAF > CF > RF > CK.

3.6. Effects of Reduction of Chemical Fertilizer Combined with Organic Fertilizer on Nutrient Availability

As can be seen from Table 5, the application of organic fertilizers increased the nutrient utilization rate, agronomic use efficiency, and partial productivity of wheat. In 2022, nutrient utilization rate, agronomic use efficiency, and partial productivity of organic fertilizer treatments RPAE, RAF, and RHF were significantly (p < 0.05) higher than those of chemical fertilizer-alone treatments CF and RF, while there were no significant (p > 0.05) differences among organic fertilizer treatments. There were significant (p < 0.05) differences in nutrient utilization rate and partial productivity, and no significant (p > 0.05) differences in agronomic use efficiency between RF and CF treatments. In 2023, the organic fertilizer treatments RPAE, RAF, and RHF had significantly (p < 0.05) higher nutrient utilization rate, agronomic use efficiency of nitrogen fertilizer, and partial productivity of nitrogen fertilizer than the chemical fertilizer-alone treatments CF and RF, and there were no significant (p > 0.05) differences among the organic fertilizer treatments. RF and CF treatments differed significantly (p < 0.05) only in the utilization rate of phosphorus fertilizer and partial productivity of nitrogen fertilizer. Organic fertilizer treatments RPAE, RAF, and RHF significantly (p > 0.05) increased the utilization rate of nitrogen and phosphorus fertilizers by 40.46%, 39.28%, 37.46%, and 28.98%, 27.90%, 26.22%, 9.69%, 5.95%, 6.88%, and 21.17%, 17.03%, and 18.07% compared with CF and RF treatments, respectively; agronomic use efficiency of nitrogen and phosphorus fertilizers increased by 47.54%, 39.02%, 32.95%, and 34.31%, 26.55%, 21.03%, 15.37%, 8.56%, 3.86%, and 34.31%, 26.39%, 20.92%, respectively; partial productivity of nitrogen and phosphorus fertilizers increased by 34.88%, 32.43%, 30.77% and 8.54%, 6.57%, 5.24%, 5.44%, 3.52%, 2.20%, and 8.54%, 6.57%, 5.21%, respectively. The order of utilization rate of nitrogen fertilizer, agronomic use efficiency of nitrogen fertilizer, and partial productivity of nitrogen fertilizer magnitude for all treatments was RPAE > RAF > RHF > RF > CF. The order of phosphorus fertilizer utilization rate of phosphorus fertilizer, agronomic use efficiency of phosphorus fertilizer, and partial productivity of phosphorus fertilizer magnitude for all treatments was RPAE > RAF > RHF > CF > RF.
Table 5. Effects of different treatments on wheat fertilizer utilization rate.

4. Discussion

Previous studies have shown that amino acid fertilizers, humic acid fertilizers, and organic fertilizer extracts, when combined with chemical fertilizers, can effectively balance the supply of nutrients, meet the demand for nutrients during crop growth in a timely manner, facilitate nutrient uptake and utilization by crops, promote crop dry matter accumulation, and help to increase crop yield [24,25,26]. In this study, there were no significant differences in dry matter and nutrient accumulation between plots subjected to organic fertilizer treatments (RPAE, RAF, and RHF) and those subjected to treatments with chemical fertilizers alone (CF and RF) in the seedling and jointing stages, which may have been due to the slow-release effect of organic fertilizers, resulting in no influence on the growth of wheat in the early stages. Organic fertilizers need to be first degraded and decomposed by microorganisms, which release the nutrients for plant uptake, whereas the nutrients in chemical fertilizers are relatively more readily available for direct uptake and use by plants. The RPAE, RAF, and RHF organic fertilizer treatments effectively balanced the nutrient supply and promoted dry matter accumulation and nutrient uptake in wheat in the later stages. These results are consistent with those of other studies [27,28]. In the harvesting stage, the RPAE, RAF, and RHF treatments contributed to wheat growth to a greater extent in 2023 than in 2022, probably due to the slow action of organic fertilizers. Compared with the single application of the CF (conventional fertilizer) and RF (reduced chemical fertilizer amount) treatments, the RPAE (with organic fertilizer leachate), RAF (with raw amino acid powder), and RHF (with raw humic acid powder) treatments all promoted wheat growth and development by increasing dry matter accumulation during different growth periods, promoting crop nutrient uptake and utilization rate, increasing plant NPK accumulation, and increasing wheat spike number and thousand-grain weight, which in turn increased wheat yield. The organic fertilizer treatments increased the yield of wheat, with RPAE showing the best effect in terms of increased yield. According to this parameter, the different treatments were ordered as follows: RPAE > RAF > RHF > CF > RF. This may have been due to the facts that the unique microorganisms and metabolites in organic fertilizer extract promote the growth of root microorganisms, enhance the absorption and utilization of nutrients by the plant, and promote the accumulation of dry matter, thus increasing the yield of wheat [29,30].
Soil available nutrients are those nutrients present in the soil that can be directly absorbed and utilized by plants. Available nutrient contents are important indicators of soil fertility and are essential to improving crop yield [31]. In this study, the RPAE, RAF, and RHF treatments increased soil alkaline hydrolyzable nitrogen, available phosphorus, available potassium, and organic matter content compared with the CF and RF single-application treatments, and this created a basis for wheat yield increase. This result may be due to two reasons. (1) Organic fertilizers accelerate organic matter transformation: Through the application of organic fertilizers and the consequent decomposition and transformation of their contents, additional organic matter is brought to the soil, increasing the pre-existing SOM, which is one of the important indicators of soil fertility. (2) The combined application of chemical and organic fertilizers can bring their respective advantages into play. The readily available nutrients in chemical fertilizers can meet the nutrient demand of crops, while the substances in organic fertilizers can improve the soil environment and increase the activity of soil microorganisms, thus promoting the release of nutrients in organic fertilizers and improving their utilization rate [32]. The RPAE treatment resulted in the highest soil alkaline hydrolyzable nitrogen, available phosphorus, and organic matter. This may have been due to the fact that acid leached organic fertilizer-based compost tea has lower pH; its application, following physicochemical and chemical reactions, lowers the pH of calcareous soils, which activates soil nutrients and has a positive effect on their retention [19,33].
The fertilizer utilization rate is the main indicator of fertilizer absorption and utilization by crops; partial productivity reflects the combined effect of soil base nutrient level and fertilizer application; agronomic use efficiency is an accurate indicator for evaluating the efficiency of fertilizer yield increase [34]. Chemical fertilizer partial replacement with organic fertilizer not only improves nutrient use efficiency in crops and reduces fertilizer input but also prevents soil acidification and salinization caused by excessive chemical fertilizer application [35,36]. In the present study, we showed that in the second year of the experiment, the phosphorus fertilizer utilization rate, partial productivity, and agronomic use efficiency were reduced in plots that had been subjected to the RF treatment compared with those that had undergone the CF treatment, which is inconsistent with the findings of other studies [37]. This may be related to the amount of fertilizer input; in our experiment, nitrogen fertilizer was reduced by 23.0%, while phosphorus fertilizer was reduced by only 1.5%. Compared with the CF and RF single-application treatments, the RPAE, RAF, and RHF treatments allowed the effects of organic fertilizers and chemical fertilizers to be obtained, which not only ensured the supply of nutrients during the growing season but also promoted the growth and development of the crops, facilitated crop nutrient uptake and utilization, reduced the loss of chemical fertilizer input, and contributed to the increase in the yield of wheat; in turn, this increased the fertilizer utilization rate, partial productivity, and agronomic use efficiency [28]. Overall, the combined application of organic and chemical fertilizers is a feasible fertilizer reduction measure to promote wheat growth and development, increase yield, fertilize the soil, and improve the nutrient utilization rate.

5. Conclusions

On the basis of 23% nitrogen and 1.5% phosphorus reductions, the RF treatment improved the utilization rate of nitrogen fertilizer and ensured the stable yield of the oasis wheat field. Our results indicate that the application of organic fertilizer can promote the accumulation of dry matter in all organs of wheat, increase the accumulation of plant nutrients, improve soil nutrient contents, increase the fertilizer utilization rate, and ensure stable and increased crop yields. The RPAE, RAF, and RHF organic fertilizer treatments increased wheat yield by 3.85%, 1.97%, and 0.67%, respectively; further, the utilization rate of nitrogen and phosphorus fertilizers was significantly increased by 40.46%, 39.28%, and 37.46% (nitrogen) and 9.83%, 8.91%, and 7.46% (phosphorus), respectively, compared with the CF treatment. Among them, the RPAE treatment resulted in higher wheat yield and fertilizer utilization rate in the drip-irrigated wheat fields. Therefore, the combined application of organic and inorganic fertilizers is a feasible fertilization scheme and theoretical basis for wheat production which is conducive to the sustainable development of wheat fields in Xinjiang.

Author Contributions

Conceptualization, X.C. and J.L.; data collection, L.C., X.Y., S.L., M.Y. and J.Z.; result analysis and interpretation, X.C., L.C. and H.H.; writing—original draft preparation, X.C.; writing—review and editing, J.L. All authors have read and agreed to the published version of the manuscript.

Funding

This work supported by the Major Science and Technology Special Projects in Xinjiang Uygur Autonomous Region (2022A02007-4), the national key research and development project (2021YFD1900802), the Achievement Transformation and Technology Promotion Project of Shihezi University (CGZH202203), and the Northwest A&F University horizontal project “Common Technology Research on quantitative reduction of wheat fertilizer application in main wheat areas”.

Data Availability Statement

Data are contained within the article.

Conflicts of Interest

The authors declare no conflicts of interest.

References

  1. China Statistical Yearbook; China Statistics Press: Beijing, China, 2022.
  2. Pan, Y.H.; Guo, J.J.; Fan, L.Y.; Ji, Y.; Liu, Z.; Wang, F.; Pu, Z.X.; Ling, N.; Shen, Q.R.; Guo, S.W. The source–sink balance during the grain filling period facilitates rice production under organic fertilizer substitution. Eur. J. Agron. 2022, 134, 126468. [Google Scholar] [CrossRef]
  3. Wierzbowska, J.; Sienkiewicz, S.; Zalewska, M.; Zarczyński, P.; Krzebietke, S. Phosphorus fractions in soil fertilised with organic waste. Environ. Monit. Assess. 2020, 192, 315. [Google Scholar] [CrossRef] [PubMed]
  4. Hou, X.Q.; Wang, X.J.; Li, R.; Jia, Z.K.; Liang, L.Y.; Wang, J.P.; Nie, J.F.; Chen, X.; Wang, Z. Effects of different manure application rates on soil properties, nutrient use, and crop yield during dryland maize farming. Soil Res. 2012, 50, 507–514. [Google Scholar] [CrossRef]
  5. Liu, H.W.; Du, X.F.; Li, Y.B.; Han, X.; Li, B.; Zhang, X.K.; Li, Q.; Liang, W.J. Organic substitutions improve soil quality and maize yield through increasing soil microbial diversity. J. Clean. Prod. 2022, 347, 131323. [Google Scholar] [CrossRef]
  6. Han, Z.; Wang, J.; Xu, P.; Li, Z.; Liu, S.; Zou, J. Differential responses of soil nitrogen-oxide emissions to organic substitution for synthetic fertilizer and biochar amendment in a subtropical tea plantation. Glob. Chang. Biol. Bioenergy 2021, 13, 1260–1274. [Google Scholar] [CrossRef]
  7. Cao, H.B.; Wang, Z.H.; Shi, Y.C.; Du, M.Y.; Lei, X.Q.; Zhang, W.Z.; Zhang, L.; Pu, Y.J. Optimization of monitored nitrogen application technology for winter wheat in dryland of northern Wei. Chin. Agric. Sci. 2014, 47, 3826–3838. [Google Scholar]
  8. Huang, M. Research on Weight Loss and Efficiency of Dryland Wheat Based on Harvest Soil Testing and Fertilizer Application Position Optimization. Ph.D. Thesis, Northwest Agriculture and Forestry University, Xianyang, China, 2017. [Google Scholar]
  9. Jing, J.; Li, Z.; Qian, F.; Chang, X.; Li, W. Effects of Different Drip Irrigation Patterns on Grain Yield and Population Structure of Different Water- and Fertilizer-Demanding Wheat (Triticum aestivum L.) Varieties. Agronomy 2023, 13, 3018. [Google Scholar] [CrossRef]
  10. Adekiya, A.O.; Dahunsi, S.O.; Ayeni, J.F.; Aremu, C.; Aboyeji, C.M.; Okunlola, F.; Oyelami, A.E. Organic and in-organic fertilizers effects on the performance of tomato (Solanum lycopersicum) and cucumber (Cucumis sativus) grown on soilless medium. Sci. Rep. 2022, 12, 12212. [Google Scholar] [CrossRef]
  11. Ullah, N.; Ditta, A.; Imtiaz, M.; Li, X.; Jan, A.U.; Mehmood, S.; Rizwan, M.S.; Rizwan, M. Appraisal for organic amendments and plant growth-promoting rhizobacteria to enhance crop productivity under drought stress: A review. J. Agron. Crop Sci. 2021, 207, 783–802. [Google Scholar] [CrossRef]
  12. Saudy, H.S.; Hamed, M.F.; Abd El-Momen, W.R.; Hussein, H. Nitrogen use rationalization and boosting wheat productivity by applying packages of humic, amino acids and microorganisms. Commun. Soil Sci. Plant Anal. 2020, 51, 1036–1047. [Google Scholar] [CrossRef]
  13. Xie, J.; Shi, X.; Zhang, Y.; Wan, Y.; Hu, Q.; Zhang, Y.; Wang, J.; He, X.; Evgenia, B. Improved nitrogen use efficiency, carbon sequestration and reduced environmental contamination under a gradient of manure application. Soil Tillage Res. 2022, 220, 105386. [Google Scholar] [CrossRef]
  14. Liu, H.J.; Chen, D.D.; Zhang, R.F.; Hang, X.N.; Li, R.; Shen, Q.R. Amino Acids Hydrolyzed from Animal Carcasses Are a Good Additive for the Production of Bio-organic Fertilizer. Front. Microbiol. 2016, 7, 1290. [Google Scholar] [CrossRef]
  15. Liu, X.Q.; Ko, K.Y.; Kim, S.H.; Lee, K.S. Effect of Amino Acid Fertilization on Nitrate Assimilation of Leafy Radish and Soil Chemical Properties in High Nitrate Soil. Commun. Soil Sci. Plant Anal. 2008, 39, 269–281. [Google Scholar] [CrossRef]
  16. Li, Y.; Fang, F.; Wei, J.L.; Wu, X.B.; Cui, R.Z.; Li, G.S.; Zheng, F.L.; Tan, D.S. Humic Acid Fertilizer Improved Soil Properties and Soil Microbial Diversity of Continuous Cropping Peanut: A Three-Year Experiment. Sci. Rep. 2019, 9, 12014. [Google Scholar] [CrossRef]
  17. Hou, S.S.; Zhang, R.F.; Zhang, C.; Wang, L.; Wang, H.; Wang, X.X. Role of vermicompost and biochar in soil quality improvement by promoting Bupleurum falcatum L. nutrient absorption. Soil Use Manag. 2023, 39, 1600–1617. [Google Scholar] [CrossRef]
  18. Pane, C.; Palese, A.M.; Spaccini, R.; Piccolo, A.; Celano, G.; Zaccardelli, M. Enhancing sustainability of a processing tomato cultivation system by using bioactive compost teas. Sci. Hortic. 2016, 202, 117–124. [Google Scholar] [CrossRef]
  19. Luo, T.; Li, J.H.; Hua, R.; Luo, Z.W.; Cheng, L.Y. Effects of acid organic fertilizer on soil nutrient activation and utilization efficiency in cotton field. J. Plant Nutr. Fertil. 2018, 24, 1255–1265. [Google Scholar]
  20. Li, X.Y.; Li, B.; Chen, L.; Liang, J.Y.; Huang, R.; Tang, X.Y.; Zhang, X.; Wang, C.Q. Partial substitution of chemical fertilizer with organic fertilizer over seven years increases yields and restores soil bacterial community diversity in wheat-rice rotation. Eur. J. Agron. 2022, 133, 126445. [Google Scholar] [CrossRef]
  21. He, H.; Peng, M.W.; Lu, W.D.; Hou, Z.N.; Li, J.H. Commercial organic fertilizer substitution increases wheat yield by improving soil quality. Sci. Total Environ. 2022, 851, 158132. [Google Scholar] [CrossRef] [PubMed]
  22. Yang, Q.; Zhang, M. Effect of bio-organic fertilizers partially substituting chemical fertilizers on labile organic carbon and bacterial community of citrus orchard soils. Plant Soil 2023, 483, 255–272. [Google Scholar] [CrossRef]
  23. Bao, S.D. Soil Agrochemical Analysis; China Agriculture Press: Beijing, China, 2000. [Google Scholar]
  24. Michela, S.; Diego, P.; Adele, M.; Silvia, V.; Ornella, F.; Serenella, N. High molecular size humic substances enhance phenylpropanoid metabolism in maize (Zea mays L.). J. Chem. Ecol. 2010, 36, 662–669. [Google Scholar]
  25. Luziatelli, F.; Ficca, G.A.; Colla, G.; Švecová, B.E.; Ruzzi, M. Foliar Application of Vegetal-Derived Bioactive Compounds Stimulates the Growth of Beneficial Bacteria and Enhances Microbiome Biodiversity in Lettuce. Front. Plant Sci. 2019, 10, 60. [Google Scholar] [CrossRef] [PubMed]
  26. Wang, X.; Zhang, Y.; Xu, W.Y.; Cheng, J.R.; Liu, J.J.; Pei, W.X.; Wang, J.F.; Chuang, S.C. Amino acid fertilizer (AAF) strengthens its fertilizer effects on crop yield and quality by recruiting beneficial rhizosphere microbes, which contributes to improved soil health. J. Sci. Food Agric. 2023, 103, 5970–5980. [Google Scholar] [CrossRef] [PubMed]
  27. Muhammad, Q.; Huang, J.; Waqas, A.; Li, D.; Liu, S.J.; Zhang, L.; Andong, C.; Liu, L.S.; Xu, Y.M.; Gao, J.S.; et al. Yield sustainability, soil organic carbon sequestration and nutrients balance under long-term combined application of manure and inorganic fertilizers in acidic paddy soil. Soil Tillage Res. 2019, 198, 104569. [Google Scholar]
  28. Wang, X.Q.; Yang, Y.D.; Zhao, J.; Nie, J.W.; Zang, H.D.; Zeng, Z.H.; Olesen, J.E. Yield benefits from replacing chemical fertilizers with manure under water deficient conditions of the winter wheat–summer maize system in the North China Plain. Eur. J. Agron. 2020, 119, 126118. [Google Scholar] [CrossRef]
  29. Luo, T.; Min, T.; Ru, S.B.; Li, J.H. Response of cotton root growth and rhizosphere soil bacterial communities to the application of acid compost tea in calcareous soil. Appl. Soil Ecol. 2022, 177, 104523. [Google Scholar] [CrossRef]
  30. Ros, M.; Hurtado-Navarro, M.; Giménez, A.; Fernández, J.A.; Egea-Gilabert, C.; Lozano-Pastor, P.; Pascual, J.A. Spraying Agro-Industrial Compost Tea on Baby Spinach Crops: Evaluation of Yield, Plant Quality and Soil Health in Field Experiments. Agronomy 2020, 10, 440. [Google Scholar] [CrossRef]
  31. Chen, D.; Liu, Q.; Zhang, G.; Zang, L. Enhancement of Soil Available Nutrients and Crop Growth in Sustainable Agriculture by a Biocontrol Bacterium Lysobacter enzymogenes LE16: Preliminary Results in Controlled Conditions. Agronomy 2023, 13, 1453. [Google Scholar] [CrossRef]
  32. Wang, J.Z.; Wang, X.J.; Xu, M.G.; Feng, G.; Zhang, W.J.; Lu, C.A. Crop yield and soil organic matter after long-term straw return to soil in China. Nutr. Cycl. Agroecosyst. 2015, 102, 371–381. [Google Scholar] [CrossRef]
  33. Seddigh, S.; Kiani, L.; Tafaghodinia, B.; Hashemi, B. Using aerated compost tea in comparison with a chemical pesticide for controlling rose powdery mildew. Arch. Phytopathol. Plant Prot. 2014, 47, 658–664. [Google Scholar] [CrossRef]
  34. Zhang, M.; Liu, Y.L.; Wei, Q.Q.; Liu, L.L.; Gu, X.F.; Gou, J.L.; Wang, M. Chemical Fertilizer Reduction Combined with Biochar Application Ameliorates the Biological Property and Fertilizer Utilization of Pod Pepper. Agronomy 2023, 13, 1616. [Google Scholar] [CrossRef]
  35. Chen, L.; Zhou, W.; Luo, L.; Li, Y.; Chen, Z.; Gu, Y.; Chen, Q.; Deng, O.; Xu, X.; Lan, T.; et al. Short-term responses of soil nutrients, heavy metals and microbial community to partial substitution of chemical fertilizer with spent mushroom substrates (SMS). Sci. Total Environ. 2022, 844, 157064. [Google Scholar] [CrossRef] [PubMed]
  36. Wang, S.B.; Gao, P.L.; Zhang, Q.W.; Shi, Y.L.; Guo, X.L.; Lv, Q.X.; Wu, W.; Zhang, X.; Li, M.Z.; Meng, Q.M. Biochar improves soil quality and wheat yield in saline-alkali soils beyond organic fertilizer in a 3-year field trial. Environ. Sci. Pollut. Res. Int. 2022, 30, 19097–19110. [Google Scholar] [CrossRef]
  37. Ma, X.Y.; Yang, Y.; Huang, D.L.; Wang, Z.H.; Gao, Y.J.; Li, Y.G.; Lv, H. Analysis of annual nutrient balance and economic benefit of wheat fertilizer reduction and different crop rotation methods. Agric. Sci. China 2022, 55, 1589–1603. [Google Scholar]
Disclaimer/Publisher’s Note: The statements, opinions and data contained in all publications are solely those of the individual author(s) and contributor(s) and not of MDPI and/or the editor(s). MDPI and/or the editor(s) disclaim responsibility for any injury to people or property resulting from any ideas, methods, instructions or products referred to in the content.

Article Metrics

Citations

Article Access Statistics

Multiple requests from the same IP address are counted as one view.