Effect of Trap Type and Height on the Captures of the Pink Bollworm, Pectinophora gossypiella (Saunders) (Lepidoptera: Gelechiidae), in Pheromone-Baited Traps in Cotton
Abstract
1. Introduction
2. Materials and Methods
2.1. Experimental Sites
2.2. Trap Types and Pheromones
2.3. Experimental Design
2.4. Statistical Analysis
3. Results
3.1. Trial I: Trap Type Effect
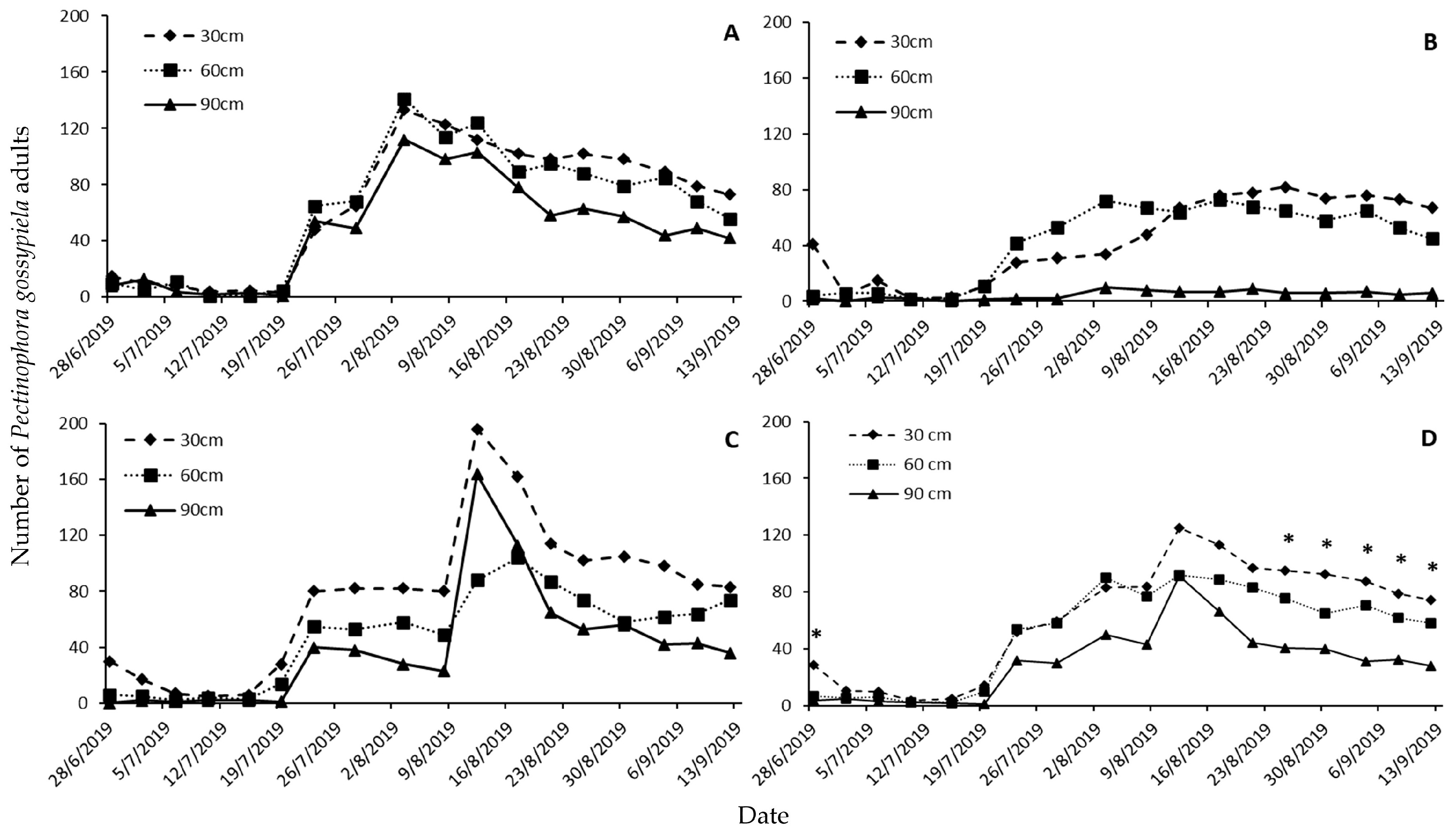
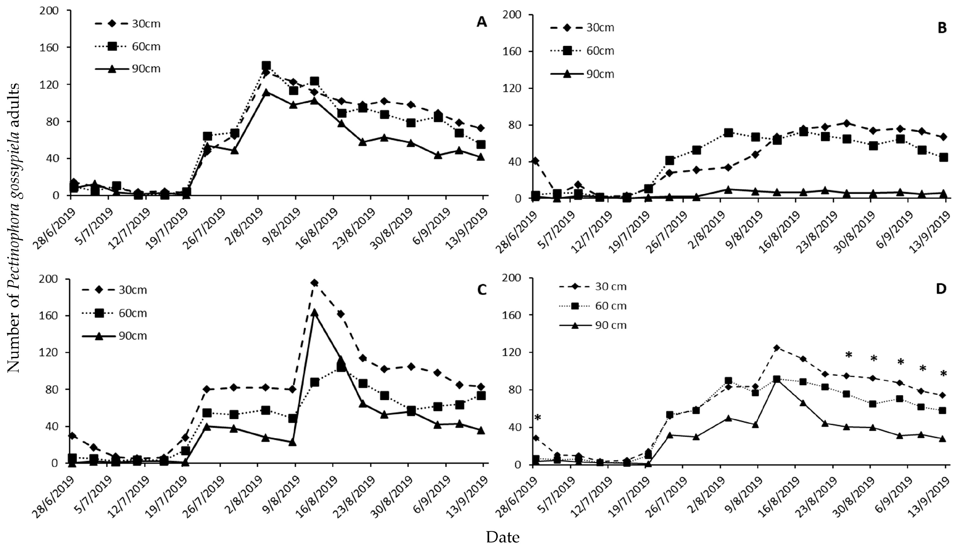
3.2. Trial II: Trap Height Effect
4. Discussion
5. Conclusions
Author Contributions
Funding
Data Availability Statement
Conflicts of Interest
References
- Deguine, J.P.; Ferron, P.; Russell, D. Sustainable pest management for cotton production. A review. Agron. Sustain. Dev. 2008, 28, 113–137. [Google Scholar] [CrossRef]
- CABI Compendium. Pectinophora gossypiella (Pink Bollworm); CABI Head Office: Wallingford, UK, 2021; Available online: https://www.cabidigitallibrary.org/doi/10.1079/cabicompendium.39417 (accessed on 18 March 2024).
- Matheson, P.; Parvizi, E.; Fabrick, J.A.; Siddiqui, H.A.; Tabashnik, B.E.; Walsh, T.; McGaughran, A. Genome-wide analysis reveals distinct global populations of pink bollworm (Pectinophora gossypiella). Sci. Rep. 2023, 13, 11762. [Google Scholar] [CrossRef]
- Fand, B.B.; Nagrare, V.S.; Deshmukh, V.; Naikwadi, B.V.; Gokte-Narkhedkar, N.; Waghmare, V.N. A simple & low-cost laboratory rearing technique for cotton pink bollworm, Pectinophora gossypiella (Saunders) (Lepidoptera: Gelechidae) using detached green bolls of cotton. Phytoparasitica 2020, 48, 25–33. [Google Scholar] [CrossRef]
- Busnoor, A.V.; Wadaskar, R.M.; Fand, B.B.; Tambe, V.J.; Pillai, T.; Mahule, D.J.; Nagrare, V.S.; Prasad, Y.G. Laboratory evaluation of toxicity of selected insecticides against egg and larval stages of cotton pink bollworm, Pectinophora gossypiella (Saunders) (Lepidoptera: Gelechiidae). J. Cotton Res. 2024, 7, 2. [Google Scholar] [CrossRef]
- Naik, V.B.; Pusadkar, P.P.; Waghmare, S.T.; Raghavendra, K.P.; Kranthi, S.; Kumbhare, S.; Nagrare, V.S.; Kumar, R.; Prabhulinga, T.; Gokte-Narkhedkar, N.; et al. Evidence for population expansion of Cotton pink bollworm Pectinophora gossypiella (Saunders) (Lepidoptera: Gelechiidae) in India. Sci. Rep. 2020, 10, 4740. [Google Scholar] [CrossRef] [PubMed]
- Tabashnik, B.E.; Liesner, L.R.; Ellsworth, P.C.; Unnithan, G.C.; Fabrick, J.A.; Naranjo, S.E.; Li, X.; Dennehy, T.J.; Antilla, L.; Staten, R.T.; et al. Transgenic cotton and sterile insect releases synergize eradication of pink bollworm a century after it invaded the United States. Proc. Natl. Acad. Sci. USA 2021, 118, e2019115118. [Google Scholar] [CrossRef]
- Kranthi, K.R.; Jadhav, D.R.; Kranthi, S.; Wanjari, R.R.; Ali, S.S.; Russell, D.A. Insecticide resistance in five major insect pests of cotton in India. Crop Prot. 2002, 21, 449–460. [Google Scholar] [CrossRef]
- Tabashnik, B.E.; Liu, Y.B.; de Maagd, R.A.; Dennehy, T.J. Cross-resistance of pink bollworm (Pectinophora gossypiella) to Bacillus thuringiensis toxins. Appl. Environ. Microbiol. 2000, 66, 4582–4584. [Google Scholar] [CrossRef]
- Dhurua, S.; Gujar, G.T. Field-evolved resistance to Bt toxin Cry1Ac in the pink bollworm, Pectinophora gossypiella (Saunders) (Lepidoptera: Gelechiidae), from India. Pest Manag. Sci. 2011, 67, 898–903. [Google Scholar] [CrossRef] [PubMed]
- Fabrick, J.A.; Li, X.; Carrière, Y.; Tabashnik, B.E. Molecular genetic basis of lab- and field-selected Bt resistance in pink bollworm. Insects 2023, 14, 201. [Google Scholar] [CrossRef] [PubMed]
- Kittock, D.L.; Mauney, J.R.; Arle, H.F.; Bariola, L.A. Termination of late season cotton fruiting with growth regulators as an insect-control technique. J. Environ. Qual. 1973, 2, 405–408. [Google Scholar] [CrossRef]
- Grefenstette, B.; El-Lissy, O.; Staten, R.T. Pink Bollworm Eradication Plan in the U.S. 2009. Available online: https://www.aphis.usda.gov/plant_health/plant_pest_info/cotton_pests/downloads/pbw-erad-plan2-08.pdf (accessed on 24 February 2024).
- Henneberry, T.J. Integrated systems for control of the pink bollworm Pectinophora gossypiella in cotton. In Area-Wide Control of Insect Pests: From Research to Field Implementation; Vreysen, M.J.B., Robinson, A.S., Hendrichs, J., Eds.; Springer: Dordrecht, The Netherlands, 2007; pp. 567–580. [Google Scholar]
- Roelofs, W.L.; Carde, R.T. Responses of Lepidoptera to synthetic sex pheromone chemicals and their analogues. Annu. Rev. Entomol. 1977, 22, 377–405. [Google Scholar] [CrossRef]
- Carrière, Y.; Ellers-Kirk, C.; Pedersen, B.; Haller, S.; Antilla, L. Predicting spring moth emergence in the pink bollworm (Lepidoptera: Gelechiidae): Implications for managing resistance to transgenic cotton. J. Econ. Entomol. 2001, 94, 1012–1021. [Google Scholar] [CrossRef]
- Tamhankar, A.J.; Rajendran, T.P.; Mamdapur, V.R. Evaluation of a pheromone trap for the cotton pink bollworm Pectinophora gossypiella Saunders. Int. J. Pest Manag. 2001, 47, 179–180. [Google Scholar] [CrossRef]
- Byers, J.A.; Naranjo, S.E. Detection and monitoring of pink bollworm moths and invasive insects using pheromone traps and encounter rate models. J. Appl. Ecol. 2014, 51, 1041–1049. [Google Scholar] [CrossRef]
- Haynes, K.F.; Miller, T.A.; Staten, R.T.; Li, W.-G.; Baker, T.C. Pheromone trap for monitoring insecticide resistance in the pink bollworm moth (Lepidoptera: Gelechiidae): New tool for resistance management. Environ. Entomol. 1987, 16, 84–89. [Google Scholar] [CrossRef]
- Neumark, S.; Jacobson, M.; Teich, I. Evaluation of gossyplure, compared with hexalure, for monitoring pink bollworm infestations in cotton fields of Israel. Environ. Lett. 1975, 10, 13–23. [Google Scholar] [CrossRef] [PubMed]
- Kabissa, J.C.B. Seasonal occurrence and damage by Pectinophora gossypiella (Saunders) (Lepidoptera: Gelechiidae) to cotton in Eastern Tanzania. Trop. Pest Manag. 1990, 36, 356–358. [Google Scholar] [CrossRef]
- Athanassiou, C.; Kavallieratos, N.; Gravanis, F.; Koukounitsas, N.A.; Roussou, D.E. Influence of trap type, pheromone quantity and trapping location on capture of the pink bollworm, Pectinophora gossypiella (Saunders) (Lepidoptera: Gelechiidae). Appl. Entomol. Zool. 2002, 37, 385–391. [Google Scholar] [CrossRef]
- Qureshi, Z.A.; Ahmad, N.; Hussain, T. Pheromone trap catches as a means of predicting damage by pink bollworm larvae in cotton. Crop Prot. 1993, 12, 597–600. [Google Scholar] [CrossRef]
- Buchelos, C.T.; Athanassiou, C.G.; Papapostolou, C.C.; Georgiou, A. Correlation between the number of adult male Pectinophora gossypiella (Saund.) (Lep., Gelechidae) catches on pheromone traps and the rate of infestation in fruiting bodies of cotton plants by young larvae in three regions of central Greece. J. Appl. Entomol. 1999, 123, 433–436. [Google Scholar] [CrossRef]
- Milonas, P.; Gogou, C.; Papadopoulou, A.; Fountas, S.; Liakos, V.; Papadopoulos, N.T. Spatio-temporal distribution of Helicoverpa armigera (Hübner) (Lepidoptera: Noctuidae) and Pectinophora gossypiella (Saunders) (Lepidoptera: Gelechiidae) in a cotton production area. Neotrop. Entomol. 2016, 45, 240–251. [Google Scholar] [CrossRef]
- Krishnananda, N.; Satyanarayana, S.V.V. Effect of height of pheromone trap on the capture of Spodoptera litura moths in tobacco nurseries. Phytoparasitica 1985, 13, 59–62. [Google Scholar] [CrossRef]
- Elkinton, J.S.; Cardé, R.T. Effects of intertrap distance and wind direction on the interaction of gypsy moth (Lepidoptera: Lymantriidae) pheromone- baited traps. Environ. Entomol. 1988, 17, 764–769. [Google Scholar] [CrossRef]
- Kong, W.N.; Hu, R.S.; Zhao, Z.G.; Li, J.; Zhang, Z.W.; Li, S.C.; Ma, R.Y. Effects of trap height, location, and spacing on pheromone-baited trap catch efficacy for oriental fruit moths (Lepidoptera: Tortricidae) in a peach orchard. Can. Entomol. 2014, 146, 684–692. [Google Scholar] [CrossRef]
- Karakasis, A.; Lampiri, E.; Rumbos, C.I.; Athanassiou, C.G. Factors Affecting Adult captures of the cotton bollworm, Helicoverpa armigera (Hübner) (Lepidoptera: Noctuidae) in pheromone-baited traps. Agronomy 2021, 11, 2539. [Google Scholar] [CrossRef]
- Mitchell, E.R.; Agee, H.R.; Heath, R.R. Influence of pheromone trap color and design on capture of male velvet bean caterpillar and fall armyworm moths (Lepidoptera: Noctuidae). J. Chem. Ecol. 1989, 15, 1775–1784. [Google Scholar] [CrossRef]
- Kwon, J.H.; Huh, M.J.; Lee, D.H.; Seo, S.-M.; Park, I.K. Effect of pheromone blends, trap type and color on the capture of male clearwing moths, Synanthedon bicingulata (Lepidoptera: Sesiidae). Chemoecology 2021, 31, 289–299. [Google Scholar] [CrossRef]
- Sokal, R.R.; Rohlf, F.J. Biometry, 3rd ed.; Freeman: New York, NY, USA, 1995; p. 877. [Google Scholar]
- Katsoyannos, B.; Papadopoulos, N.; Heath, R.; Hendrichs, J.; Kouloussis, N. Evaluation of synthetic food-based attractants for female Mediterranean fruit flies (Dipt., Tephritidae) in McPhail type traps. J. Appl. Entomol. 1999, 123, 607–612. [Google Scholar] [CrossRef]
- Sukovata, L.; Dziuk, A.; Parratt, M.; Bystrowski, C.; Dainton, K.; Polaszek, A.; Moore, R. The importance of trap type, trap colour and capture liquid for catching Dendrolimus pini and their impact on by-catch of beneficial insects. Agric. For. Entomol. 2020, 22, 319–327. [Google Scholar] [CrossRef]
- Athanassiou, C.G.; Kavallieratos, N.G.; Gakis, S.F.; Kyrtsa, L.A.; Mazomenos, B.E.; Gravanis, F.T. Influence of trap type, trap colour, and trapping location on the capture of the pine moth, Thaumetopoea pityocampa. Entomol. Exp. Appl. 2007, 122, 117–123. [Google Scholar] [CrossRef]
- Athanassiou, C.G.; Kavallieratos, N.G.; Mazomenos, B.E. Effect of trap type, trap color, trapping location, and pheromone dispenser on captures of male Palpita unionalis (Lepidoptera: Pyralidae). J. Econ. Entomol. 2004, 97, 321–329. [Google Scholar] [CrossRef] [PubMed]
- Clare, G.; Suckling, D.M.; Bradley, S.J.; Walker, J.T.S.; Shaw, P.W.; Daly, J.M.; McLaren, G.F.; Wearing, C.H. Pheromone trap colour determines catch of non-target insects. N. Z. Plant Prot. 2000, 53, 216–220. [Google Scholar] [CrossRef]
- Bian, L.; Yang, P.X.; Yao, Y.J.; Luo, Z.X.; Cai, X.M.; Chen, Z.M. Effect of trap color, height, and orientation on the capture of yellow and stick tea thrips (Thysanoptera: Thripidae) and nontarget insects in tea gardens. J. Econ. Entomol. 2016, 109, 1241–1248. [Google Scholar] [CrossRef] [PubMed]
- Karakantza, E.; Rumbos, C.I.; Cavalaris, C.; Athanassiou, C.G. Different trap types depict dissimilar spatio-temporal distribution of Helicoverpa armigera (Hübner) (Lepidoptera: Noctuidae) in cotton fields. Agronomy 2023, 13, 1256. [Google Scholar] [CrossRef]
- Priyanka, L.S.; Saminathan, V.R.; Sithanantham, S.; Ambethgar, V.; Manivannan, N. Evaluation of pheromone traps for the management of pod borer, Helicoverpa armigera (Hubner) in Redgram [Cajanus cajan (L.) Millsp.] ecosystem. Res. Biot. 2020, 2, 8–10. [Google Scholar]


| Site | Green Funnel Trap | White Delta Trap | Red Delta Trap | F | p |
|---|---|---|---|---|---|
| Nikaia | 6.2 ± 1.0 b | 36.1 ± 9.7 a | 53.1 ± 6.9 a | 11.9 | 0.0001 |
| Nees Karyes | 4.3 ± 0.6 b | 31.4 ± 18.9 b | 102.2 ± 5.2 a | 19.9 | 0.0001 |
| Koilada | 9.3 ± 2.2 b | 54.6 ± 14.2 a | 68.4 ± 13.2 a | 7.5 | 0.0014 |
| Correlation Coefficient (R) | |||
|---|---|---|---|
| Green Funnel—White Delta | Green Funnel—Red Delta | White Delta—Red Delta | |
| Nikaia | 0.75 | 0.82 | 0.98 |
| Karyes | 0.80 | 0.78 | 0.80 |
| Koilada | 0.94 | 0.91 | 0.98 |
| Number of Adults | Percentage (%) | ||
|---|---|---|---|
| Green Funnel | White Delta | Red Delta | |
| 0 adults | 11.2 | 0.0 | 0.0 |
| 1–10 adults | 66.6 | 33.3 | 27.8 |
| 11–50 adults | 22.2 | 16.7 | 16.7 |
| 51–100 adults | 0.0 | 50.0 | 44.4 |
| >100 adults | 0.0 | 0.0 | 11.1 |
| Site | Trap Height | F | p | ||
|---|---|---|---|---|---|
| 30 cm | 60 cm | 90 cm | |||
| Nikaia | 64.8 ± 10.9 | 61.4 ± 10.8 | 46.6 ± 8.5 | 0.9 | 0.403 |
| Nees Karyes | 45.1 ± 7.0 a | 42.0 ± 6.6 a | 4.6 ± 0.7 b | 16.4 | 0.0001 |
| Koilada | 75.7 ± 12.5 a | 47.8 ± 7.9 ab | 39.4 ± 10.1 b | 3.4 | 0.042 |
| Correlation Coefficient (R) | |||
|---|---|---|---|
| 30–60 cm | 30–90 cm | 60–90 cm | |
| Nikaia | 0.98 | 0.95 | 0.97 |
| Karyes | 0.81 | 0.75 | 0.87 |
| Koilada | 0.93 | 0.95 | 0.82 |
| Number of Adults | Percentage (%) | ||
|---|---|---|---|
| 30 cm | 60 cm | 90 cm | |
| 0 adults | 0.0% | 0.0% | 0% |
| 1–10 adults | 27.8% | 27.8% | 27.8% |
| 11–50 adults | 11.1% | 5.5% | 27.8% |
| 51–100 adults | 33.3% | 50% | 33.3% |
| >100 adults | 27.8% | 16.7% | 11.1% |
Disclaimer/Publisher’s Note: The statements, opinions and data contained in all publications are solely those of the individual author(s) and contributor(s) and not of MDPI and/or the editor(s). MDPI and/or the editor(s) disclaim responsibility for any injury to people or property resulting from any ideas, methods, instructions or products referred to in the content. |
© 2024 by the authors. Licensee MDPI, Basel, Switzerland. This article is an open access article distributed under the terms and conditions of the Creative Commons Attribution (CC BY) license (https://creativecommons.org/licenses/by/4.0/).
Share and Cite
Katranas, G.C.; Vassilakos, T.N.; Rumbos, C.I.; Athanassiou, C.G. Effect of Trap Type and Height on the Captures of the Pink Bollworm, Pectinophora gossypiella (Saunders) (Lepidoptera: Gelechiidae), in Pheromone-Baited Traps in Cotton. Agronomy 2024, 14, 656. https://doi.org/10.3390/agronomy14040656
Katranas GC, Vassilakos TN, Rumbos CI, Athanassiou CG. Effect of Trap Type and Height on the Captures of the Pink Bollworm, Pectinophora gossypiella (Saunders) (Lepidoptera: Gelechiidae), in Pheromone-Baited Traps in Cotton. Agronomy. 2024; 14(4):656. https://doi.org/10.3390/agronomy14040656
Chicago/Turabian StyleKatranas, Georgios C., Thomas N. Vassilakos, Christos I. Rumbos, and Christos G. Athanassiou. 2024. "Effect of Trap Type and Height on the Captures of the Pink Bollworm, Pectinophora gossypiella (Saunders) (Lepidoptera: Gelechiidae), in Pheromone-Baited Traps in Cotton" Agronomy 14, no. 4: 656. https://doi.org/10.3390/agronomy14040656
APA StyleKatranas, G. C., Vassilakos, T. N., Rumbos, C. I., & Athanassiou, C. G. (2024). Effect of Trap Type and Height on the Captures of the Pink Bollworm, Pectinophora gossypiella (Saunders) (Lepidoptera: Gelechiidae), in Pheromone-Baited Traps in Cotton. Agronomy, 14(4), 656. https://doi.org/10.3390/agronomy14040656

