Predation and Biocontrol Potential of Eupeodes corollae Fabricius (Diptera: Syrphidae) on Wheat Aphids
Abstract
1. Introduction
2. Materials and Methods
2.1. Insects
2.2. Predatory Responses of E. corollae to the Wheat Aphids
2.3. Cage Test
2.4. Molecular Detections of E. corollae Feeding on the Wheat Aphids in a Wheat Field
2.4.1. Molecular Method
2.4.2. Sensitivity and Specificity of Multiplex PCR Systems
2.4.3. Determination of the DNA Detectability Half-Life (t1/2)
2.4.4. Molecular Detection during Field Predation
2.5. Data Analysis
3. Results
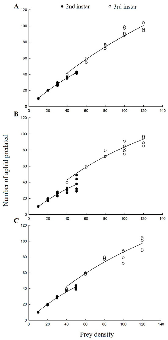
3.1. Predatory Responses of E. corollae to the Wheat Aphids
3.2. Cage Test
3.3. Molecular Detections of E. corollae Feeding on the Wheat Aphids in a Wheat Field
3.3.1. Determination of the DNA Detectability Half-Life (t1/2)
3.3.2. Molecular Detection during Field Predation
4. Discussion
5. Conclusions
Supplementary Materials
Author Contributions
Funding
Institutional Review Board Statement
Informed Consent Statement
Data Availability Statement
Acknowledgments
Conflicts of Interest
References
- Konstantinos, K.; Jan, A.D. Components of wheat and their modifications for modulating starch digestion: Evidence from in vitro and in vivo studies. J. Cereal Sci. 2023, 113, 103743. [Google Scholar]
- Shewry, P.R. Wheat. J. Exp. Bot. 2009, 60, 1537–1553. [Google Scholar] [CrossRef]
- Bernard, H.; Mark, R.; Martinus, A.J.V.B.; Rodomiro, O. The Future of Food: Scenarios for 2050. Crop Sci. 2010, 50, 33–50. [Google Scholar]
- Wang, C.; Li, X.; Liu, E.; Zhang, Y.; Li, X.; Zhu, X. Resistance and research status of wheat aphid in China. J. Environ. Entomol. 2022, 44, 626–635. [Google Scholar]
- Lu, Y.; Liu, Y.; Yang, X.; Jing, Y.; Hu, G.; Luan, J.; Guo, Z.; Ma, G.; Yan, S.; Liang, P.; et al. Research progress on integrated management of agricultural pest in China: 2018–2022. Plant Prot. 2023, 49, 1–27. [Google Scholar]
- Liu, X.; Zhang, Y.; Chen, J. Research progress on the mechanism and genetic resistance of wheat crops to aphids. Plant Prot. 2023, 49, 1–12. [Google Scholar]
- Wang, J.; Song, J.; Wu, X.; Deng, Q.; Zhu, Z.; Ren, M.; Ye, M.; Zeng, R. Seed priming with calcium chloride enhances wheat resistance against wheat aphid Schizaphis graminum Rondani. Pest Manag. Sci. 2021, 77, 4709–4718. [Google Scholar] [CrossRef]
- Zhang, Q.; Men, X.; Hui, C.; Ge, F.; Fang, O. Wheat yield losses from pests and pathogens in China. Agric. Ecosyst. Environ. 2022, 326, 107821. [Google Scholar] [CrossRef]
- Huang, Z.; Zhang, Z.; Li, X.; Zhu, X.; Zhang, A.; Zhang, Y. Analysis of aphid dominance and niche at panicle stage of wheat in Langfang, Hebei Province. Plant Prot. 2024, 50, 116–121. [Google Scholar]
- Zhang, Z.; Li, Y.; Li, X.; Zhu, X.; Zhang, Y. Efficacy of imidacloprid seed treatments against four wheat aphids under laboratory and field conditions. Plants 2023, 12, 238. [Google Scholar] [CrossRef] [PubMed]
- Owusu, E. Studies on some esterases of Coccinella septempunctata Brukii (Coleoptera: Coccinellidae) with varying degrees of insecticide tolerance, and implications for integrated management of aphids. Ghana J. Sci. 2004, 39, 97–101. [Google Scholar] [CrossRef]
- Mcalpine, J.F. Morgea freidbergi new species, a living sister-species of the fossil species m. mcalpinei, and a key to world genera of pallopteridae (diptera). Can. Entomol. 1981, 113, 81–91. [Google Scholar]
- Li, H.; Jiang, S.; Zhang, H.; Geng, T.; Wyckhuys, K.A.G.; Wu, K. Two-way predation between immature stages of the hoverfly Eupeodes corollae and the invasive fall armyworm (Spodoptera frugiperda J. E. Smith). J. Integr. Agric. 2021, 20, 829–839. [Google Scholar] [CrossRef]
- Bellefeuille, Y.; Marc, F.; Eric, L. Biological control of the foxglove aphid using a banker plant with Eupeodes americanus (Diptera: Syrphidae) in experimental and commercial greenhouses. Biol. Control 2021, 155, 104541. [Google Scholar] [CrossRef]
- Ramsden, M.; Simon, L.; Rosa, M.; Felix, W. Do natural enemies really make a difference? Field scale impacts of parasitoid wasps and hoverfly larvae on cereal aphid populations. Agric. For. Entomol. 2016, 19, 139–145. [Google Scholar]
- Helen, R. Insect predator-prey dynamics: Ladybird beetles and biological control. Q. Rev. Biol. 2001, 76, 244. [Google Scholar]
- Sun, C. Study on the Diversity of Flower-Eating Hoverflies in Mountainous Areas of Shandong Province; Shandong Agricultural University: Taian, China, 2022. [Google Scholar]
- Lian, Y.; Wang, A.; Peng, S.; Jia, J.; Yang, X.; Li, J.; Yang, S.; Zheng, R.; Zhou, S. Potential global distribution area projections of the aphid Lipaphis erysimi and its predator Eupeodes corollae in the context of climate change. Front. Plant Sci. 2022, 13, 1019693. [Google Scholar] [CrossRef]
- Jiang, S.; Li, H.; He, L.; Wu, K. Population fitness of Eupeodes corollae Fabricius (Diptera: Syrphidae) feeding on different species of aphids. Insects 2022, 13, 494. [Google Scholar] [CrossRef]
- Li, H.; Wyckhuys, K.A.G.; Wu, K. Hoverflies provide pollination and biological pest control in greenhouse-grown horticultural crops. Front. Plant Sci. 2023, 14, 1118388. [Google Scholar] [CrossRef]
- Yang, F. Structural Analysis of Food Webs in Wheat and Cotton Aphids-Parasitic Bees; Chinese Academy of Agricultural Sciences: Beijing, China, 2018. [Google Scholar]
- Gagnon, A.È.; Doyon, J.; Heimpel, G.E.; Brodeur, J. Prey DNA detection success following digestion by intraguild predators: Influence of prey and predator species. Mol. Ecol. Resour. 2011, 11, 1022–1032. [Google Scholar] [CrossRef]
- Clercq, P.D.; Jafar, M.; Tirry, L. Effect of host plant on the functional response of the predator Podisus nigrispinus (Heteroptera: Pentatomidae). Biol. Control 2000, 18, 65–70. [Google Scholar] [CrossRef]
- Holling, C.S. Some characteristics of simple types of predation and parasitism. Can. Entomol. 1959, 91, 385–398. [Google Scholar] [CrossRef]
- Bai, H.; Jia, Y.; Zhang, L.; Fan, X. Natural enemy resources of wheat fields and their protection and utilization. J. Henan Agric. Sci. 1993, 12, 19–20. [Google Scholar]
- Pu, D.; Zheng, Z.; Liu, H.; Wang, X.; Wu, X.; Chen, Y.; Deng, J.; Chen, X.; Li, Y. Development and reproduction of the hoverfly Eupeodes corollae (Diptera: Syrphidae). SDRP J. Earth Sci. Environ. Stud. 2019, 4, 654–660. [Google Scholar] [CrossRef]
- Solomon, M.E. The Natural Control of Animal Populations. J. Anim. Ecol. 1949, 18, 1–35. [Google Scholar] [CrossRef]
- Ho, L.J.; Jun, K.T. Functional response of Harmonia axyridis (Pallas) (Coleoptera: Coccinellidae) to Aphis gossypii Glover (Homoptera: Aphididae) in the Laboratory. Biol. Control 2004, 31, 306–310. [Google Scholar]
- Putra, N.S.; Yasuda, H. Effects of prey species and its density on larval performance of two species of hoverfly larvae, Episyrphus balteatus de Geer and Eupeodes corollae Fabricius (Diptera: Syrphidae). Appl. Entomol. Zool. 2006, 41, 389–397. [Google Scholar] [CrossRef]
- Wu, K.; Sheng, C.; Gong, P. Estimation of functional response equations and their parameters in predatory insects. Insect knowl. 2004, 03, 267–269. [Google Scholar]
- Rajendra, S.; Sudha, M. Development of syrphid fly, Ischiodon scutellaris (Fabricius) on Rhopalosiphum maidis (Fitch). J. Aphidol. 1988, 2, 28–34. [Google Scholar]
- Jalilian, F.; Fathipour, Y.; Talebi, A.A.; Sedaratian, J. Functional response and mutual interference of Episyrphus balteatus and Scaeva albomaculata (Dip.: Syrphidae) fed on Mysuz persicae (Hom.: Aphididae). Appl. Entomol. Phytopathol. 2011, 78, 257–273. [Google Scholar]
- Maryam, S.; Hossein, M.; Babak, G. Host plant effect on functional response and consumption rate of Episyrphus balteatus (Diptera: Syrphidae) feeding on different densities of Aphis gossypii (Hemiptera: Aphididae). J. Crop Prot. 2013, 2, 375–385. [Google Scholar]
- Cao, Y.; Zhao, H. Study on the predation effect of Episyrphus balteatus De Geer on Rhopalosiphum padi. Shaanxi J. Agric. Sci. 2003, 05, 24–26. [Google Scholar]
- Sari, S.P.; Suliansyah, I.; Nelly, N.; Hamid, H.; Dwipa, I. Corn pests and evaluation of the implementation of integrated pest management in west Sumatra, Indonesia. Int. J. Adv. Sci. Eng. Inf. Technol. 2023, 13, 91–96. [Google Scholar] [CrossRef]
- Pekas, A.; De Craecker, I.; Boonen, S.; Wäckers, F.L.; Moerkens, R. One stone; two birds: Concurrent pest control and pollination services provided by aphidophagous hoverflies. Biol. Control 2020, 149, 104328. [Google Scholar] [CrossRef]
- Jiang, S.; Li, H.; Wu, K. Predation and control effect of Eupeodes corollae Fabricius (Diptera: Syrphidae) on leguminous plant aphids. Agronomy 2023, 13, 1739. [Google Scholar] [CrossRef]
- Berg, K.; Traugott, M.; Symondson, W.O.; Scheu, S. Impact of abiotic factors on predator-prey interactions: DNA-based gut content analysis in a microcosm experiment. Bull. Entomol. Res. 2008, 98, 257–261. [Google Scholar] [CrossRef] [PubMed]
- Jaramillo, J.; Chapman, E.G.; Vega, F.E.; Harwood, J.D. Molecular diagnosis of a previously unreported predator-prey association in coffee: Karnyothrips flavipes Jones (Thysanoptera: Phlaeothripidae) predation on the coffee berry borer. Sci. Nat. 2010, 97, 291–298. [Google Scholar] [CrossRef]
- Athey, K.J.; Sitvarin, M.I.; Harwood, J.D. Laboratory and field investigation of biological control for brown marmorated stink bug (Halyomorpha halys (Stål) (Hemiptera: Pentatomidae)). J. Kansas Entomol. Soc. 2017, 90, 341–352. [Google Scholar] [CrossRef]
- Daniela, S.; Lorna, R.; Rüdiger, K.; Michael, T. Optimizing methods for PCR-based analysis of predation. Mol. Ecol. Resour. 2011, 11, 795–801. [Google Scholar]
- Aaah, M.; Desneux, N.; Monticelli, L.S.; Fan, Y.; Shi, X.; Guedes, R.N.C.; Gao, X. Potential for insecticide-mediated shift in ecological dominance between two competing aphid species. Chemosphere 2019, 226, 651–658. [Google Scholar]
- Yang, F.; Liu, B.; Lu, Y. Application of DNA molecular detection technology in the structural analysis of arthropod food webs. J. Plant Prot. 2022, 49, 110–117. [Google Scholar]
- Feifei, F.; Wenjun, L.; Zhiming, F.; Yanzheng, Y. Combining landscape patterns and ecosystem services to disclose ecosystem changes in tropical cropland-forest shifting zones: Inspiration from Mainland Southeast Asia. J. Clean. Prod. 2024, 434, 140058. [Google Scholar]
- Roya, F.; Hossein, A.; Hsin, C. Life table and predation capacity of Hippodamia variegata (Coleoptera: Coccinellidae) feeding on Aphis fabae (Hemiptera: Aphididae). Biol. Control 2011, 59, 83–89. [Google Scholar]




| Species | Primers (5′-3′) | Primer Final Concentration (μM) | 
|---|---|---|
| R. padi | GGTATAATTGGTTCATCCCTTAGAATC | 0.8 | 
| ATTGATGAGATTCCTGCTAAATGTAG | ||
| S. graminum | CCTGATATATCATTTCCACGATTAAAC | 1.0 | 
| ATTGATCAAGGGAACAATGGG | ||
| S. miscanthi | CACCATCATTAATAATAATAATCTGTAGTTTC | 2.4 | 
| TTGATGAGATTCCTGCTAAATGC | ||
| Metopolophium dirhodumu | AGCTATTTTATTAATTTTATCTTTACCAGTC TGCTGGATCAAAAAATGAAGTG | 0.8 | 
| Larval Stage | Model | Prey | Holling II | a | Th (d) | 1/Th | a/Th | R2 | 
|---|---|---|---|---|---|---|---|---|
| 2nd instar | Type II | R. padi | Na = 1.111N/(1 + 0.0067N) | 1.111 | 0.006 | 166.67 | 185.17 | 0.992 | 
| Type II | S. graminum | Na = 1.065N/(1 + 0.0085N) | 1.065 | 0.008 | 125.00 | 133.12 | 0.876 | |
| Type II | S. miscanthi | Na = 1.180N/(1 + 0.0083N) | 1.180 | 0.007 | 142.86 | 168.57 | 0.983 | |
| 3rd instar | Type II | R. padi | Na = 1.178N/(1 + 0.0035N) | 1.178 | 0.003 | 333.33 | 392.67 | 0.965 | 
| Type II | S. graminum | Na = 1.327N/(1 + 0.0053N) | 1.327 | 0.004 | 250.00 | 331.75 | 0.946 | |
| Type II | S. miscanthi | Na = 1.264N/(1 + 0.0050N) | 1.264 | 0.004 | 250.00 | 316.00 | 0.934 | 
| Treatment | Population Decline Rate (%) | |||||
|---|---|---|---|---|---|---|
| 12 h (1) | 24 h | 36 h | 48 h | 60 h | 72 h | |
| CK (2) | −58.33 ± 4.41 b | −70.00 ± 10.00 a | −113.33 ± 15.90 c | −150.00 ± 20.82 d | −173.33 ± 26.67 c | −198.33 ± 22.42 d | 
| 1:100 | −45.00 ± 8.66 b | −5.00 ± 2.89 b | 55.00 ± 7.64 a | 81.67 ± 6.01 a | 88.33 ± 7.26 a | 98.33 ± 1.67 a | 
| 1:200 | −36.67 ± 8.82 ab | −3.33 ± 6.01 b | 40.83 ± 8.21 ab | 68.33 ± 4.41 ab | 74.17 ± 3.00 ab | 90.00 ± 2.89 ab | 
| 1:300 | −12.22 ± 1.11 a | −16.67 ± 6.94 b | 3.33 ± 1.92 b | 23.33 ± 5.09 bc | 31.11 ± 7.29 b | 47.78 ± 6.76 bc | 
| 1:400 | −13.33 ± 3.63 a | 8.75 ± 1.91 b | 24.17 ± 1.67 ab | 25.00 ± 9.46 bc | 38.33 ± 3.00 ab | 46.67 ± 7.12 bc | 
| 1:500 | −15.33 ± 6.36 a | −0.33 ± 4.84 b | 8.00 ± 2.31 b | 18.00 ± 3.05 c | 27.33 ± 4.05 b | 36.00 ± 3.05 c | 
| Year | Prey | Detection Rate (%) | Corrected Detection Rate (%) | 
|---|---|---|---|
| 2022 | R. padi | 23.72 ± 1.51 a | 12.36 ± 0.78 b | 
| S. graminum | 3.77 ± 1.04 b | 1.08 ± 0.29 c | |
| S. miscanthi | 28.77 ± 1.31 a | 28.77 ± 1.31 a | |
| 2023 | R. padi | 12.94 ± 2.11 b | 6.74 ± 1.10 b | 
| S. graminum | 2.86 ± 0.37 c | 0.82 ± 0.11 c | |
| S. miscanthi | 37.56 ± 1.66 a | 37.56 ± 1.66 a | 
| Disclaimer/Publisher’s Note: The statements, opinions and data contained in all publications are solely those of the individual author(s) and contributor(s) and not of MDPI and/or the editor(s). MDPI and/or the editor(s) disclaim responsibility for any injury to people or property resulting from any ideas, methods, instructions or products referred to in the content. | 
© 2024 by the authors. Licensee MDPI, Basel, Switzerland. This article is an open access article distributed under the terms and conditions of the Creative Commons Attribution (CC BY) license (https://creativecommons.org/licenses/by/4.0/).
Share and Cite
Jiang, S.; Li, H.; Wang, H.; Liu, X.; Wu, K. Predation and Biocontrol Potential of Eupeodes corollae Fabricius (Diptera: Syrphidae) on Wheat Aphids. Agronomy 2024, 14, 600. https://doi.org/10.3390/agronomy14030600
Jiang S, Li H, Wang H, Liu X, Wu K. Predation and Biocontrol Potential of Eupeodes corollae Fabricius (Diptera: Syrphidae) on Wheat Aphids. Agronomy. 2024; 14(3):600. https://doi.org/10.3390/agronomy14030600
Chicago/Turabian StyleJiang, Shanshan, Hui Li, Hainuo Wang, Xiaoxia Liu, and Kongming Wu. 2024. "Predation and Biocontrol Potential of Eupeodes corollae Fabricius (Diptera: Syrphidae) on Wheat Aphids" Agronomy 14, no. 3: 600. https://doi.org/10.3390/agronomy14030600
APA StyleJiang, S., Li, H., Wang, H., Liu, X., & Wu, K. (2024). Predation and Biocontrol Potential of Eupeodes corollae Fabricius (Diptera: Syrphidae) on Wheat Aphids. Agronomy, 14(3), 600. https://doi.org/10.3390/agronomy14030600
 
        

 
       