Early Detection of Rice Leaf Blast Disease Using Unmanned Aerial Vehicle Remote Sensing: A Novel Approach Integrating a New Spectral Vegetation Index and Machine Learning
Abstract
1. Introduction
2. Materials and Methods
2.1. Experimental Setup
2.2. Data Acquisition
2.2.1. UAV Hyperspectral Remote Sensing Data Acquisition
2.2.2. Ground Truth Data Survey
2.3. Experimental Methods
2.3.1. Constructing the Leaf Blast Spectral Vegetation Index
2.3.2. Stacking Integrated Learning Detection Models
2.3.3. Evaluation Indicators
3. Results and Analysis
3.1. Construction of a New Spectral Vegetation Index
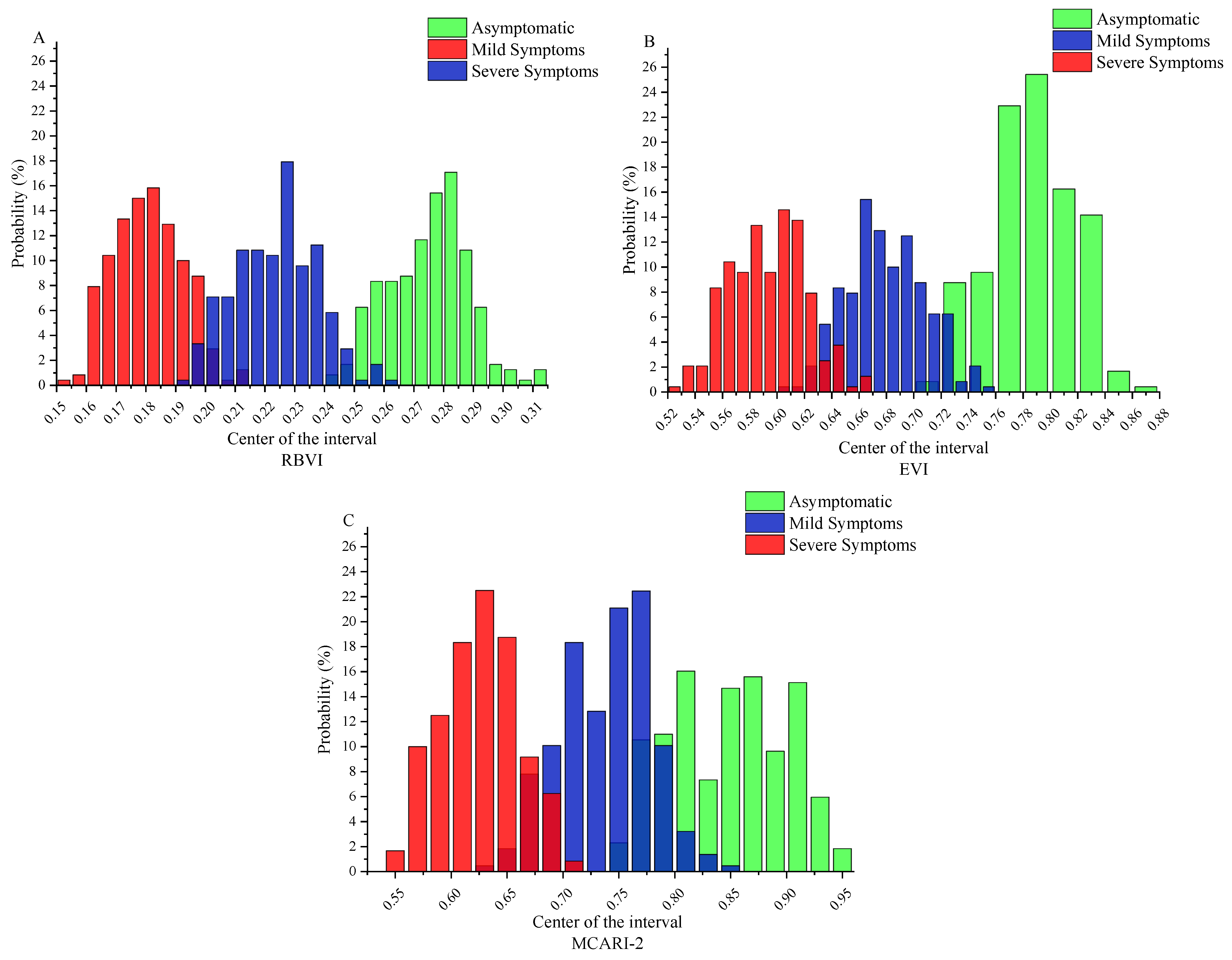
3.2. Comparative Analysis of RBVI and Traditional SVIs
3.3. Results and Analysis of Leaf Blast Detection Based on Stacking Integrated Learning Models
3.4. Comparison and Analysis of the Results of Leaf Blast Detection with Other Models
4. Discussion
5. Conclusions
Supplementary Materials
Author Contributions
Funding
Data Availability Statement
Conflicts of Interest
References
- Tian, L.; Xue, B.; Wang, Z.; Li, D.; Yao, X.; Cao, Q.; Zhu, Y.; Cao, W.; Cheng, T. Spectroscopic detection of rice leaf blast infection from asymptomatic to mild stages with integrated machine learning and feature selection. Remote Sens. Environ. 2021, 257, 112350. [Google Scholar] [CrossRef]
- Feng, S.; Zhao, D.; Guan, Q.; Li, J.; Liu, Z.; Jin, Z.; Li, G.; Xu, T. A deep convolutional neural network-based wavelength selection method for spectral characteristics of rice blast disease. Comput. Electron. Agric. 2022, 199, 107199. [Google Scholar] [CrossRef]
- Deng, Y.W.; Zhai, K.R.; Xie, Z.; Yang, D.Y.; Zhu, X.D.; Liu, J.Z.; Wang, X.; Qin, P.; Yang, Y.Z.; Zhang, G.M.; et al. Epigenetic regulation of antagonistic receptors confers rice blast resistance with yield balance. Science 2017, 355, 962–965. [Google Scholar] [CrossRef] [PubMed]
- Tian, L.; Wang, Z.; Xue, B.; Li, D.; Zheng, H.; Yao, X.; Zhu, Y.; Cao, W.; Cheng, T. A disease-specific spectral index tracks Magnaporthe oryzae infection in paddy rice from ground to space. Remote Sens. Environ. 2023, 285, 113384. [Google Scholar] [CrossRef]
- Samanta, S.; Nayak, S.; Dhua, U.; Mukherjee, A.K. Genotypic-phenotypic diversity and distinctiveness among Magnaporthe grisea isolates from rice and weed Echinochloa colonum. J. Phytopathol. 2021, 169, 581–596. [Google Scholar] [CrossRef]
- Hutt, C.; Bolten, A.; Huging, H.; Bareth, G. UAV LiDAR Metrics for Monitoring Crop Height, Biomass and Nitrogen Uptake: A Case Study on a Winter Wheat Field Trial. PFG-J. Photogramm. Remote Sens. Geoinf. Sci. 2023, 91, 65–76. [Google Scholar] [CrossRef]
- Yang, B.; Zhu, W.X.; Rezaei, E.E.; Li, J.; Sun, Z.G.; Zhang, J.Q. The Optimal Phenological Phase of Maize for Yield Prediction with High-Frequency UAV Remote Sensing. Remote Sens. 2022, 14, 1559. [Google Scholar] [CrossRef]
- Zheng, Q.; Huang, W.J.; Cui, X.M.; Shi, Y.; Liu, L.Y. New Spectral Index for Detecting Wheat Yellow Rust Using Sentinel-2 Multispectral Imagery. Sensors 2018, 18, 868. [Google Scholar] [CrossRef]
- Gorlich, F.; Marks, E.; Mahlein, A.K.; Konig, K.; Lottes, P.; Stachniss, C. UAV-Based Classification of Cercospora Leaf Spot Using RGB Images. Drones 2021, 5, 34. [Google Scholar] [CrossRef]
- Barreto Alcantara, A.A.; Ispizua Yamati, F.R.; Varrelmann, M.; Paulus, S.; Mahlein, A.-K. Disease incidence and severity of Cercospora leaf spot in sugar beet assessed by multispectral unmanned aerial images and machine learning. Plant Dis. 2022, 107, 188–200. [Google Scholar] [CrossRef]
- Sonobe, R.; Sugimoto, Y.; Kondo, R.; Seki, H.; Sugiyama, E.; Kiriiwa, Y.; Suzuki, K. Hyperspectral wavelength selection for estimating chlorophyll content of muskmelon leaves. Eur. J. Remote Sens. 2021, 54, 512–523. [Google Scholar] [CrossRef]
- Lapajne, J.; Knapic, M.; Zibrat, U. Comparison of Selected Dimensionality Reduction Methods for Detection of Root-Knot Nematode Infestations in Potato Tubers Using Hyperspectral Imaging. Sensors 2022, 22, 367. [Google Scholar] [CrossRef] [PubMed]
- Zhao, L.; Zeng, Y.; Liu, P.; He, G.J. Band Selection via Explanations From Convolutional Neural Networks. IEEE Access 2020, 8, 56000–56014. [Google Scholar] [CrossRef]
- Al-Saddik, H.; Simon, J.C.; Cointault, F. Assessment of the optimal spectral bands for designing a sensor for vineyard disease detection: The case of “Flavescence doree”. Precis. Agric. 2019, 20, 398–422. [Google Scholar] [CrossRef]
- Pham, Q.T.; Liou, N.S. The development of on-line surface defect detection system for jujubes based on hyperspectral images. Comput. Electron. Agric. 2022, 194, 106743. [Google Scholar] [CrossRef]
- Zhang, C.; Kovacs, J.M. The application of small unmanned aerial systems for precision agriculture: A review. Precis. Agric. 2012, 13, 693–712. [Google Scholar] [CrossRef]
- Yang, S.; Zhang, H.Q.; Fan, W.M. Characteristic wavelengths selection of rice spectrum based on adaptive sliding window permutation entropy. Food Sci. Technol. 2022, 42, e38922. [Google Scholar] [CrossRef]
- Marang, I.J.; Filippi, P.; Weaver, T.B.; Evans, B.J.; Whelan, B.M.; Bishop, T.F.A.; Murad, M.O.F.; Al-Shammari, D.; Roth, G. Machine Learning Optimised Hyperspectral Remote Sensing Retrieves Cotton Nitrogen Status. Remote Sens. 2021, 13, 1428. [Google Scholar] [CrossRef]
- Crusiol, L.G.T.; Sun, L.; Sun, Z.; Chen, R.Q.; Wu, Y.F.; Ma, J.C.; Song, C.X. In-Season Monitoring of Maize Leaf Water Content Using Ground-Based and UAV-Based Hyperspectral Data. Sustainability 2022, 14, 9039. [Google Scholar] [CrossRef]
- Anderegg, J.; Hund, A.; Karisto, P.; Mikaberidze, A. In-Field Detection and Quantification of Septoria Tritici Blotch in Diverse Wheat Germplasm Using Spectral-Temporal Features. Front. Plant Sci. 2019, 10, 473679. [Google Scholar] [CrossRef]
- Domingues Franceschini, M.H.; Bartholomeus, H.; van Apeldoorn, D.; Suomalainen, J.; Kooistra, L. Intercomparison of Unmanned Aerial Vehicle and Ground-Based Narrow Band Spectrometers Applied to Crop Trait Monitoring in Organic Potato Production (vol 17, 1428, 2017). Sensors 2017, 17, 2265. [Google Scholar] [CrossRef] [PubMed]
- Abdulridha, J.; Ampatzidis, Y.; Kakarla, S.C.; Roberts, P. Detection of target spot and bacterial spot diseases in tomato using UAV-based and benchtop-based hyperspectral imaging techniques. Precis. Agric. 2020, 21, 955–978. [Google Scholar] [CrossRef]
- Su, J.Y.; Liu, C.J.; Coombes, M.; Hu, X.P.; Wang, C.H.; Xu, X.M.; Li, Q.D.; Guo, L.; Chen, W.H. Wheat yellow rust monitoring by learning from multispectral UAV aerial imagery. Comput. Electron. Agric. 2018, 155, 157–166. [Google Scholar] [CrossRef]
- Abdulridha, J.; Batuman, O.; Ampatzidis, Y. UAV-Based Remote Sensing Technique to Detect Citrus Canker Disease Utilizing Hyperspectral Imaging and Machine Learning. Remote Sens. 2019, 11, 1373. [Google Scholar] [CrossRef]
- Huo, L.N.; Persson, H.J.; Lindberg, E. Early detection of forest stress from European spruce bark beetle attack, and a new vegetation index: Normalized distance red & SWIR (NDRS). Remote Sens. Environ. 2021, 255, 112240. [Google Scholar] [CrossRef]
- Liu, L.Y.; Dong, Y.Y.; Huang, W.J.; Du, X.P.; Ren, B.Y.; Huang, L.S.; Zheng, Q.; Ma, H.Q. A Disease Index for Efficiently Detecting Wheat Fusarium Head Blight Using Sentinel-2 Multispectral Imagery. IEEE Access 2020, 8, 52181–52191. [Google Scholar] [CrossRef]
- GBT 15790-2009; Rules of Investigation and Forecast of the Rice Blast. 2009. Available online: https://www.chinesestandard.net/AMP/Related.amp.aspx/GBT15790-2009 (accessed on 16 February 2024).
- Zhao, D.X.; Feng, S.; Cao, Y.L.; Yu, F.H.; Guan, Q.; Li, J.P.; Zhang, G.S.; Xu, T.Y. Study on the Classification Method of Rice Leaf Blast Levels Based on Fusion Features and Adaptive-Weight Immune Particle Swarm Optimization Extreme Learning Machine Algorithm. Front. Plant Sci. 2022, 13, 879668. [Google Scholar] [CrossRef] [PubMed]
- Guan, Q.; Song, K.; Feng, S.; Yu, F.H.; Xu, T.Y. Detection of Peanut Leaf Spot Disease Based on Leaf-, Plant-, and Field-Scale Hyperspectral Reflectance. Remote Sens. 2022, 14, 4988. [Google Scholar] [CrossRef]
- Lee, C.C.; Koo, V.C.; Lim, T.S.; Lee, Y.P.; Abidin, H. A multi-layer perceptron-based approach for early detection of BSR disease in oil palm trees using hyperspectral images. Heliyon 2022, 8, e09252. [Google Scholar] [CrossRef]
- Huang, L.S.; Wu, Z.C.; Huang, W.J.; Ma, H.Q.; Zhao, J.L. Identification of Fusarium Head Blight in Winter Wheat Ears Based on Fisher’s Linear Discriminant Analysis and a Support Vector Machine. Appl. Sci. 2019, 9, 3894. [Google Scholar] [CrossRef]
- Ahmadi, P.; Muharam, F.M.; Ahmad, K.; Mansor, S.; Abu Seman, I. Early Detection of Ganoderma Basal Stem Rot of Oil Palms Using Artificial Neural Network Spectral Analysis. Plant Dis. 2017, 101, 1009–1016. [Google Scholar] [CrossRef]
- Fisher, M.C.; Henk, D.A.; Briggs, C.J.; Brownstein, J.S.; Madoff, L.C.; McCraw, S.L.; Gurr, S.J. Emerging fungal threats to animal, plant and ecosystem health. Nature 2012, 484, 186–194. [Google Scholar] [CrossRef]
- Ham, J.; Yangchi, C.; Crawford, M.M.; Ghosh, J. Investigation of the random forest framework for classification of hyperspectral data. IEEE Trans. Geosci. Remote Sens. 2005, 43, 492–501. [Google Scholar] [CrossRef]
- Platt, J. Sequential Minimal Optimization: A Fast Algorithm for Training Support Vector Machines. In Advances in Kernel Methods-Support Vector Learning; MIT Press: Cambridge, MA, USA, 1998; Volume 208. [Google Scholar]
- Freund, Y.; Schapire, R.E. A Decision-Theoretic Generalization of On-Line Learning and an Application to Boosting. J. Comput. Syst. Sci. 1997, 55, 119–139. [Google Scholar] [CrossRef]
- Meng, Q. LightGBM: A Highly Efficient Gradient Boosting Decision Tree. In Proceedings of the 31st Conference on Neural Information Processing Systems (NIPS 2017), Long Beach, CA, USA, 4–9 December 2017. [Google Scholar]
- Chen, T.Q.; Guestrin, C.; Assoc Comp, M. XGBoost: A Scalable Tree Boosting System. In Proceedings of the KDD’16: Proceedings of the 22nd ACM SIGKDD International Conference on Knowledge Discovery and Data Mining, San Francisco, CA, USA, 13–17 August 2016; pp. 785–794. [Google Scholar]
- Abdulridha, J.; Ampatzidis, Y.; Qureshi, J.; Roberts, P. Laboratory and UAV-Based Identification and Classification of Tomato Yellow Leaf Curl, Bacterial Spot, and Target Spot Diseases in Tomato Utilizing Hyperspectral Imaging and Machine Learning. Remote Sens. 2020, 12, 2732. [Google Scholar] [CrossRef]
- Zhang, H.; Huang, L.; Huang, W.; Dong, Y.; Weng, S.; Zhao, J.; Ma, H.; Liu, L. Detection of wheat Fusarium head blight using UAV-based spectral and image feature fusion. Front. Plant Sci. 2022, 13, 1004427. [Google Scholar] [CrossRef]
- Guo, A.; Huang, W.; Dong, Y.; Ye, H.; Ma, H.; Liu, B.; Wu, W.; Ren, Y.; Ruan, C.; Geng, Y. Wheat Yellow Rust Detection Using UAV-Based Hyperspectral Technology. Remote Sens. 2021, 13, 123. [Google Scholar] [CrossRef]
- Cao, Z.S.; Cheng, T.; Ma, X.; Tian, Y.C.; Zhu, Y.; Yao, X.; Chen, Q.; Liu, S.Y.; Guo, Z.Y.; Zhen, Q.M.; et al. A new three-band spectral index for mitigating the saturation in the estimation of leaf area index in wheat. Int. J. Remote Sens. 2017, 38, 3865–3885. [Google Scholar] [CrossRef]
- Huang, W.; Guan, Q.; Luo, J.; Zhang, J.; Zhao, J.; Liang, D.; Huang, L.; Zhang, D. New Optimized Spectral Indices for Identifying and Monitoring Winter Wheat Diseases. IEEE J. Sel. Top. Appl. Earth Obs. Remote Sens. 2014, 7, 2516–2524. [Google Scholar] [CrossRef]
- Hesami, M.; Naderi, R.; Tohidfar, M.; Yoosefzadeh-Najafabadi, M. Development of support vector machine-based model and comparative analysis with artificial neural network for modeling the plant tissue culture procedures: Effect of plant growth regulators on somatic embryogenesis of chrysanthemum, as a case study. Plant Methods 2020, 16, 112. [Google Scholar] [CrossRef] [PubMed]
- Guo, Y.; Wang, X.L.; Huang, Y.M.; Xu, L. Collaborative driving style classification method enabled by majority voting ensemble learning for enhancing classification performance. PLoS ONE 2021, 16, e0254047. [Google Scholar] [CrossRef]
- Zhang, Q.W.; Wang, Z.C.; Duan, S.H.; Cao, B.Y.; Wu, Y.T.; Chen, J.; Zhang, H.B.; Wang, M. An Improved End-to-End Autoencoder Based on Reinforcement Learning by Using Decision Tree for Optical Transceivers. Micromachines 2022, 13, 31. [Google Scholar] [CrossRef]
- Yeom, S.; Giacomelli, I.; Menaged, A.; Fredrikson, M.; Jha, S. Overfitting, robustness, and malicious algorithms: A study of potential causes of privacy risk in machine learning. J. Comput. Secur. 2020, 28, 35–70. [Google Scholar] [CrossRef]
- Haboudane, D.; Miller, J.R.; Pattey, E.; Zarco-Tejada, P.J.; Strachan, I.B. Hyperspectral vegetation indices and novel algorithms for predicting green LAI of crop canopies: Modeling and validation in the context of precision agriculture. Remote Sens. Environ. 2004, 90, 337–352. [Google Scholar] [CrossRef]
- Roujean, J.-L.; Breon, F.-M. Estimating PAR absorbed by vegetation from bidirectional reflectance measurements. Remote Sens. Environ. 1995, 51, 375–384. [Google Scholar] [CrossRef]
- Liu, H.; Huete, A. A feedback based modification of the NDVI to minimize canopy background and atmospheric noise. IEEE Trans. Geosci. Remote Sens. 1995, 33, 457–465. [Google Scholar] [CrossRef]
- Haboudane, D.; Miller, J.R.; Tremblay, N.; Zarco-Tejada, P.J.; Dextraze, L. Integrated narrow-band vegetation indices for prediction of crop chlorophyll content for application to precision agriculture. Remote Sens. Environ. 2002, 81, 416–426. [Google Scholar] [CrossRef]
- Penuelas, J.; Frederic, B.; Filella, I. Semi-empirical indices to assess carotenoids/chlorophyll A ratio from leaf spectral reflectances. Photosynthetica 1995, 31, 221–230. [Google Scholar]
- Chappelle, E.; Kim, M.; McMurtrey, J. Ratio Analysis of Reflectance Spectra (RARS): An Algorithm for the Remote Estimation of the Concentrations of Chlorophyll A, Chlorophyll B, and Carotenoids in Soybean Leaves. Remote Sens. Environ. 1992, 39, 239–247. [Google Scholar] [CrossRef]
- Merzlyak, M.; Gitelson, A.; Chivkunova, O.; Rakitin, V. Non-destructive optical detection of pigment changes during leaf senescence and fruit ripening. Physiol. Plant. 1999, 106, 135–141. [Google Scholar] [CrossRef]
- Garrity, S.; Bohrer, G.; Maurer, K.; Mueller, K.; Vogel, C.; Curtis, P. A comparison of multiple phenology data sources for estimating seasonal transitions in deciduous forest carbon exchange. Agric. For. Meteorol. 2011, 151, 1741–1752. [Google Scholar] [CrossRef]
- Calderón Madrid, R.; Navas Cortés, J.; Lucena, C.; Zarco-Tejada, P. High-resolution airborne hyperspectral and thermal imagery for early detection of Verticillium wilt of olive using fluorescence, temperature and narrow-band spectral indices. Remote Sens. Environ. 2013, 139, 231–245. [Google Scholar] [CrossRef]
- Mahlein, A.K.; Rumpf, T.; Welke, P.; Dehne, H.W.; Plumer, L.; Steiner, U.; Oerke, E.C. Development of spectral indices for detecting and identifying plant diseases. Remote Sens. Environ. 2013, 128, 21–30. [Google Scholar] [CrossRef]
- Zarco-Tejada, P.; Miller, J.; Mohammed, G.; Noland, T.; Sampson, P. Chlorophyll Fluorescence Effects on Vegetation Apparent Reflectance: II. Laboratory and Airborne Canopy-Level Measurements with Hyperspectral Data. Remote Sens. Environ. 2000, 74, 596–608. [Google Scholar] [CrossRef]
- Merton, R.; Huntington, J. Early simulation results of the ARIES-1 satellite sensor for multi-temporal vegetation research derived from AVIRIS. In Proceedings of the Eighth Annual JPL Airborne Earth Science Workshop, Pasadena, CA, USA, 8–14 February 1999. [Google Scholar]











| Rank | Disease Severity | Disease Index |
|---|---|---|
| A | Asymptomatic | DI = 0 |
| M | Mild symptoms | 0 < DI < 10 |
| S | Severe symptoms | 10 < DI < 30 |
| Positive | Negative | UA (%) | |
| Positive | True Positive (TP) | False Negative (FN) | TP/(TP + FN) × 100% |
| Negative | False Positive (FP) | True Negative (TN) | TN/(TN + FP) × 100% |
| PA (%) | TP/(TP + FP) × 100% | TN/(TN + FN) × 100% |
| SVIs | A | M | S | UA (%) | OA (%) | Kappa (%) | |
|---|---|---|---|---|---|---|---|
| RBVI | A | 73 | 0 | 0 | 100.0 | 95.9 | 93.8 |
| M | 5 | 67 | 1 | 91.8 | |||
| S | 0 | 3 | 70 | 95.9 | |||
| PA (%) | 93.6 | 95.7 | 98.6 | ||||
| EVI | A | 72 | 1 | 0 | 98.6 | 93.6 | 90.4 |
| M | 4 | 64 | 5 | 87.7 | |||
| S | 0 | 4 | 69 | 94.5 | |||
| PA (%) | 94.7 | 92.8 | 93.2 | ||||
| RDVI | A | 69 | 4 | 0 | 94.5 | 93.2 | 89.7 |
| M | 2 | 65 | 6 | 89.0 | |||
| S | 0 | 3 | 70 | 95.9 | |||
| PA (%) | 97.2 | 90.3 | 92.1 | ||||
| DVI753,665 | A | 71 | 2 | 0 | 97.3 | 91.3 | 87.0 |
| M | 9 | 59 | 5 | 80.8 | |||
| S | 0 | 3 | 70 | 95.9 | |||
| PA (%) | 88.8 | 92.2 | 93.3 | ||||
| MTVI-2 | A | 65 | 8 | 0 | 89.0 | 88.1 | 82.2 |
| M | 11 | 56 | 6 | 76.7 | |||
| S | 0 | 1 | 72 | 98.6 | |||
| PA (%) | 85.5 | 86.2 | 92.3 | ||||
| MCARI-2 | A | 65 | 8 | 0 | 89.0 | 87.7 | 81.5 |
| M | 11 | 56 | 6 | 76.7 | |||
| S | 0 | 2 | 71 | 97.3 | |||
| PA (%) | 85.5 | 84.9 | 92.3 |
| Methods | SVIs | A | M | S | UA (%) | OA (%) | Kappa (%) | |
|---|---|---|---|---|---|---|---|---|
| AdaBoost | RBVI | A | 73 | 0 | 0 | 100.0 | 95.0 | 92.5 |
| M | 6 | 67 | 0 | 91.8 | ||||
| S | 0 | 4 | 69 | 94.5 | ||||
| PA (%) | 93.6 | 94.4 | 98.6 | |||||
| EVI | A | 72 | 1 | 0 | 98.6 | 93.2 | 89.7 | |
| M | 5 | 66 | 2 | 90.4 | ||||
| S | 0 | 7 | 66 | 90.4 | ||||
| PA (%) | 88.6 | 90.8 | 93.3 | |||||
| RDVI | A | 71 | 2 | 0 | 97.3 | 91.8 | 87.7 | |
| M | 7 | 60 | 6 | 82.2 | ||||
| S | 0 | 3 | 70 | 95.9 | ||||
| PA (%) | 91.0 | 92.3 | 92.1 | |||||
| DVI753,665 | A | 70 | 3 | 0 | 95.9 | 90.9 | 86.3 | |
| M | 9 | 59 | 5 | 80.8 | ||||
| S | 0 | 3 | 70 | 95.9 | ||||
| PA (%) | 88.6 | 90.8 | 93.3 | |||||
| MTVI-2 | A | 61 | 12 | 0 | 83.6 | 87.2 | 80.8 | |
| M | 8 | 62 | 3 | 84.9 | ||||
| S | 0 | 5 | 68 | 93.2 | ||||
| PA (%) | 88.4 | 78.5 | 95.8 | |||||
| MCARI-2 | A | 61 | 12 | 0 | 83.6 | 86.3 | 79.5 | |
| M | 8 | 56 | 9 | 76.7 | ||||
| S | 0 | 1 | 72 | 98.6 | ||||
| PA (%) | 88.4 | 81.2 | 88.9 | |||||
| SVM | RBVI | A | 73 | 0 | 0 | 100.0 | 95.4 | 93.2 |
| M | 5 | 67 | 1 | 91.8 | ||||
| S | 0 | 4 | 69 | 94.5 | ||||
| PA (%) | 88.4 | 78.4 | 90.8 | |||||
| EVI | A | 70 | 3 | 0 | 95.9 | 93.2 | 89.7 | |
| M | 4 | 65 | 4 | 89.0 | ||||
| S | 0 | 4 | 69 | 94.5 | ||||
| PA (%) | 94.6 | 90.3 | 94.5 | |||||
| RDVI | A | 68 | 5 | 0 | 93.2 | 91.3 | 87.0 | |
| M | 4 | 62 | 7 | 84.9 | ||||
| S | 0 | 3 | 70 | 95.9 | ||||
| PA (%) | 94.4 | 89.9 | 90.9 | |||||
| DVI753,665 | A | 69 | 4 | 0 | 94.5 | 90.4 | 85.6 | |
| M | 8 | 59 | 6 | 80.8 | ||||
| S | 0 | 3 | 70 | 95.9 | ||||
| PA (%) | 89.6 | 89.4 | 92.1 | |||||
| MTVI-2 | A | 61 | 12 | 0 | 83.5 | 85.8 | 78.8 | |
| M | 8 | 58 | 7 | 79.5 | ||||
| S | 0 | 4 | 69 | 94.5 | ||||
| PA (%) | 88.4 | 78.4 | 90.8 | |||||
| MCARI-2 | A | 61 | 12 | 0 | 83.5 | 85.8 | 78.8 | |
| M | 8 | 58 | 7 | 79.5 | ||||
| S | 0 | 4 | 69 | 94.5 | ||||
| PA (%) | 88.4 | 78.4 | 90.8 |
| SVIs | [A, M] | [A, S] | [M, S] |
|---|---|---|---|
| EVI | 1.59 | 1.99 | 1.39 |
| MCARI-2 | 1.03 | 1.93 | 1.37 |
| RBVI | 1.65 | 2.00 | 1.52 |
Disclaimer/Publisher’s Note: The statements, opinions and data contained in all publications are solely those of the individual author(s) and contributor(s) and not of MDPI and/or the editor(s). MDPI and/or the editor(s) disclaim responsibility for any injury to people or property resulting from any ideas, methods, instructions or products referred to in the content. |
© 2024 by the authors. Licensee MDPI, Basel, Switzerland. This article is an open access article distributed under the terms and conditions of the Creative Commons Attribution (CC BY) license (https://creativecommons.org/licenses/by/4.0/).
Share and Cite
Zhao, D.; Cao, Y.; Li, J.; Cao, Q.; Li, J.; Guo, F.; Feng, S.; Xu, T. Early Detection of Rice Leaf Blast Disease Using Unmanned Aerial Vehicle Remote Sensing: A Novel Approach Integrating a New Spectral Vegetation Index and Machine Learning. Agronomy 2024, 14, 602. https://doi.org/10.3390/agronomy14030602
Zhao D, Cao Y, Li J, Cao Q, Li J, Guo F, Feng S, Xu T. Early Detection of Rice Leaf Blast Disease Using Unmanned Aerial Vehicle Remote Sensing: A Novel Approach Integrating a New Spectral Vegetation Index and Machine Learning. Agronomy. 2024; 14(3):602. https://doi.org/10.3390/agronomy14030602
Chicago/Turabian StyleZhao, Dongxue, Yingli Cao, Jinpeng Li, Qiang Cao, Jinxuan Li, Fuxu Guo, Shuai Feng, and Tongyu Xu. 2024. "Early Detection of Rice Leaf Blast Disease Using Unmanned Aerial Vehicle Remote Sensing: A Novel Approach Integrating a New Spectral Vegetation Index and Machine Learning" Agronomy 14, no. 3: 602. https://doi.org/10.3390/agronomy14030602
APA StyleZhao, D., Cao, Y., Li, J., Cao, Q., Li, J., Guo, F., Feng, S., & Xu, T. (2024). Early Detection of Rice Leaf Blast Disease Using Unmanned Aerial Vehicle Remote Sensing: A Novel Approach Integrating a New Spectral Vegetation Index and Machine Learning. Agronomy, 14(3), 602. https://doi.org/10.3390/agronomy14030602
