Annual Weeds Suppression and Oat Forage Yield Responses to Crop Density Management in an Oat-Cultivated Grassland: A Case Study in Eastern China
Abstract
1. Introduction
2. Materials and Methods
2.1. Filed Experiment: Effects of Planting Density on Growth and the Elements Balance of Oat and Weeds
2.1.1. Experimental Site Description
2.1.2. Experimental Design and Field Management
2.1.3. Field Sampling and Measurement
2.1.4. Weed Community and Density
2.1.5. Measurement of Photosynthetically Active Radiation and Leaf Area Index
2.2. Greenhouse Experiment: Effects of Oat Interspecific Competition on Weeds Rhizosphere Microbial Communities
2.2.1. Weed Species Collection
2.2.2. Experimental Design
2.2.3. Seed Planting and Cultivation
2.2.4. Sample Collection
2.2.5. Soil DNA Extraction and PCR Amplification
2.2.6. Processing of MiSeq Sequencing Data
2.3. Statistical Analyses
3. Results
3.1. Effect of Planting Density on Crop Performance
3.2. Effect of Planting Density on Light Environment
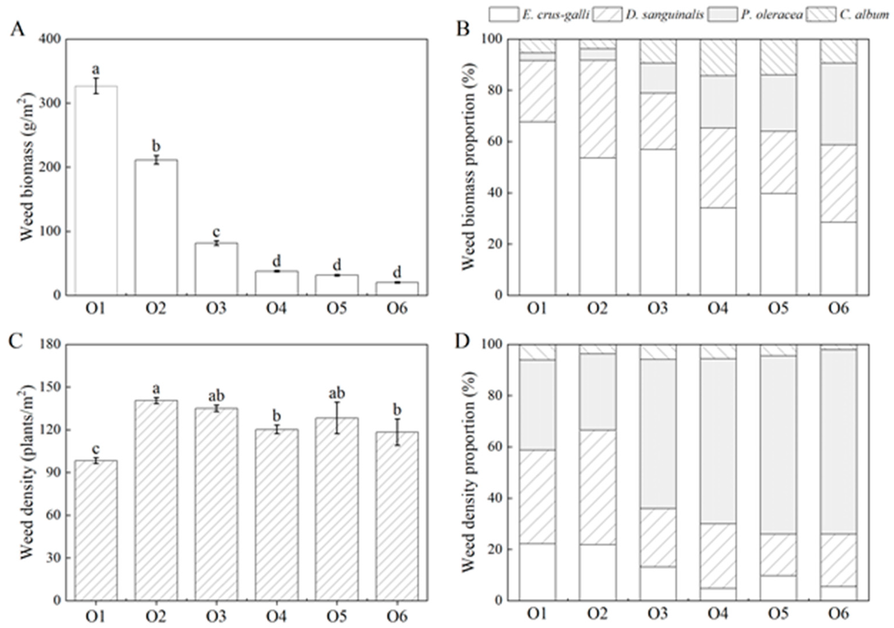
3.3. Effect of Planting Density on Weed Biomass and Weed Density
3.4. Effect of Planting Density on Soil C, N, and P Contents and Stoichiometry in the Oat Field
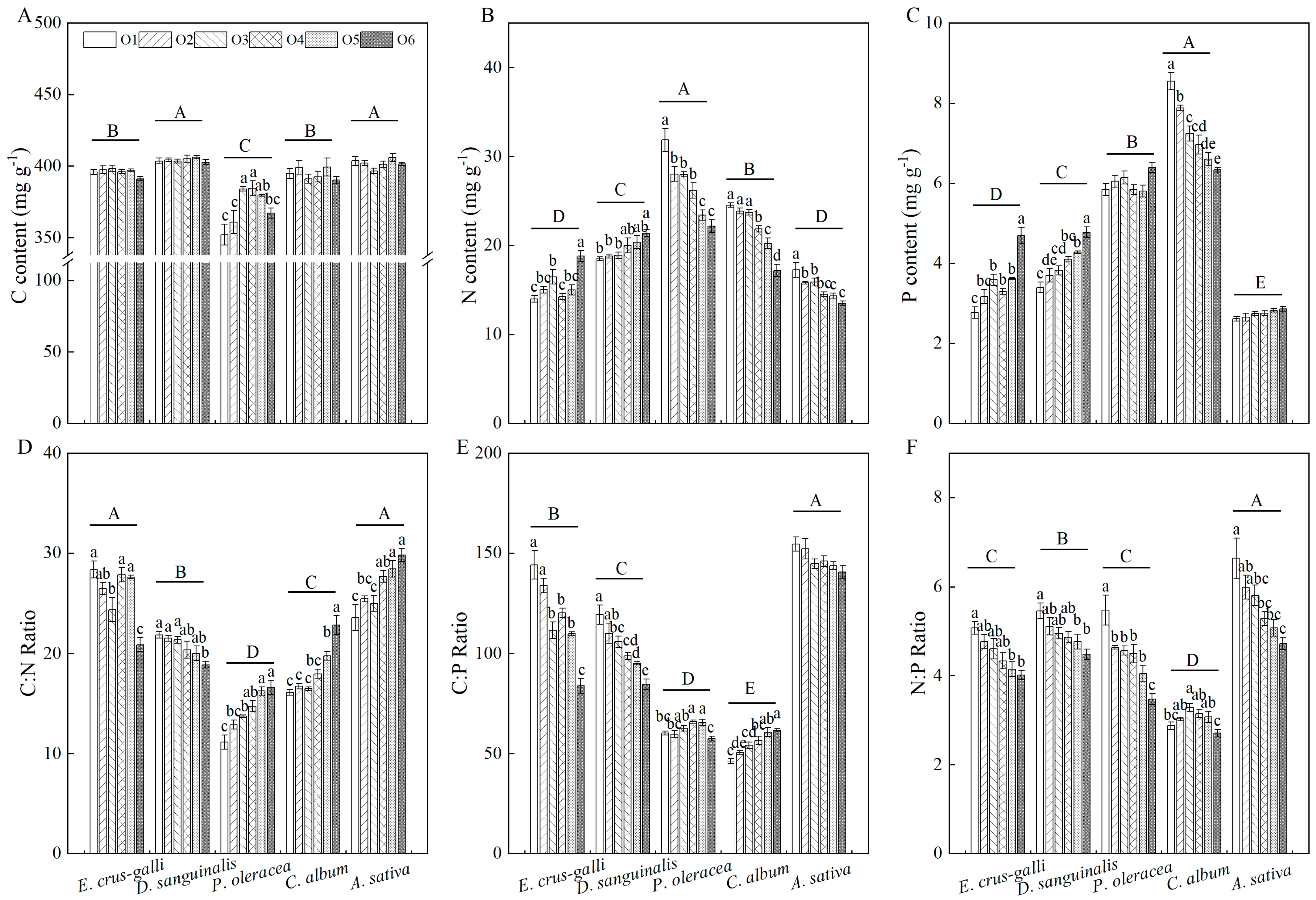
3.5. Effect of Planting Density on Shoot C, N, and P Contents and Stoichiometry in the Weeds and Oat
3.6. Relationship of C, N, and P Contents and Ecological Stoichiometry in the Shoot–Soil System
3.7. Correlations between Environmental Variables (Light and Soil Traits) and Plant Nutrient and Biomass
3.8. The Diversity and Compositions of Bacterial Communities in the Rhizosphere of Oat and Weeds
3.9. Correlations between Soil Properties and Microbial Communities
4. Discussion
4.1. Effect of Oat Planting Density on Weed Suppression and Oat Production
4.2. Effect of Oat Planting Density on Nutritional Elements Balance and Stoichiometry in the Weeds
4.3. Effect of Interspecific Competition on Bacterial Community Diversity, Composition and Structure
5. Conclusions
Supplementary Materials
Author Contributions
Funding
Data Availability Statement
Acknowledgments
Conflicts of Interest
References
- Martinez, D.A.; Loening, U.E.; Graham, M.C. Impacts of glyphosate-based herbicides on disease resistance and health of crops: A review. Environ. Sci. Eur. 2018, 30, 2. [Google Scholar] [CrossRef]
- Jabran, K.; Mahajan, G.; Sardana, V.; Chauhan, B.S. Allelopathy for weed control in agricultural systems. Crop. Prot. 2015, 72, 57–65. [Google Scholar] [CrossRef]
- Horvath, D.P.; Clay, S.A.; Swanton, C.J.; Anderson, J.V.; Chao, W.S. Weed-induced crop yield loss: A new paradigm and new challenges. Trends Plant. Sci. 2023, 28, 567–582. [Google Scholar] [CrossRef] [PubMed]
- Xi, N.; Wu, Y.; Weiner, J.; Zhang, D.Y. Does weed suppression by high crop density depend on crop spatial pattern and soil water availability? Basic Appl. Ecol. 2022, 61, 20–29. [Google Scholar] [CrossRef]
- Weisberger, D.A.; Wiedenhoeft, M.H.; Smith, M.A.; Liebman, M.Z. Balancing objectives in an organic oat rotation year: Implications of planting date and crop density. Agron. J. 2019, 111, 816–825. [Google Scholar] [CrossRef]
- Olsen, J.M.; Griepentrog, H.W.; Nielsen, J.; Weiner, J. How important are crop spatial pattern and density for weed suppression by spring wheat? Weed Sci. 2012, 60, 501–509. [Google Scholar] [CrossRef]
- Ethridge, S.R.R.; Locke, A.M.M.; Everman, W.J.J.; Jordan, D.L.L.; Leon, R.G.G. Crop physiological considerations for combining variable-density planting to optimize seed costs and weed suppression. Weed Sci. 2022, 70, 687–697. [Google Scholar] [CrossRef]
- Colbach, N.; Munier-Jolain, N.; Dugue, F.; Gardarin, A.; Strbik, F.; Moreau, D. The response of weed and crop species to shading. How to predict their morphology and plasticity from species traits and ecological indexes? Eur. J. Agron. 2020, 121, 126158. [Google Scholar]
- Perthame, L.; Colbach, N.; Busset, H.; Matejicek, A.; Moreau, D. Morphological response of weed and crop species to nitrogen stress in interaction with shading. Weed Res. 2022, 62, 160–171. [Google Scholar] [CrossRef]
- Fisher, J.L.; Sprague, C.L. Contributions of shading, soybean (Glycine max) row width, and planting green on horseweed (Conyza canadensis) management compared with soil-applied residual herbicides. Weed Technol. 2023, 37, 383–393. [Google Scholar] [CrossRef]
- Craine, J.M.; Dybzinski, R. Mechanisms of plant competition for nutrients, water and light. Funct. Ecol. 2013, 27, 833–840. [Google Scholar] [CrossRef]
- Du, E.; Terrer, C.; Pellegrini, A.F.A.; Ahlstrom, A.; van Lissa, C.J.; Zhao, X.; Xia, N.; Wu, X.; Jackson, R.B. Global patterns of terrestrial nitrogen and phosphorus limitation. Nat. Geosci. 2020, 13, 221–226. [Google Scholar] [CrossRef]
- Sun, X.; Guo, J.; Guo, S.; Guo, H.; Hu, S. Divergent responses of leaf N:P:K stoichiometry to nitrogen fertilization in rice and weeds. Weed. Sci. 2019, 67, 339–345. [Google Scholar] [CrossRef]
- Yan, Z.; Tian, D.; Huang, H.; Sun, Y.; Hou, X.; Han, W.; Guo, Y.; Fang, J. Interactive effects of plant density and nitrogen availability on the biomass production and leaf stoichiometry of Arabidopsis thaliana. J. Plant Ecol. 2023, 16, rtac101. [Google Scholar] [CrossRef]
- Yu, D.; Duan, S.; Zhang, X.; Yin, D.; Wang, S.; Chen, J.; Lei, N. Effects of nutrient supply on leaf stoichiometry and relative growth rate of three stoloniferous alien plants. PLoS ONE 2022, 17, e0278656. [Google Scholar] [CrossRef] [PubMed]
- Wang, W.Q.; Sardans, J.; Wang, C.; Zeng, C.S.; Tong, C.; Asensio, D.; Penuelas, J. Ecological stoichiometry of C, N, and P of invasive Phragmites australis and native Cyperus malaccensis species in the Minjiang River tidal estuarine wetlands of China. Plant Ecol. 2015, 216, 809–822. [Google Scholar] [CrossRef]
- de Matos, C.d.C.; Teixeira, R.d.S.; da Silva, I.R.; Costa, M.D.; da Silva, A.A. Interspecific competition changes nutrient: Nutrient ratios of weeds and maize. J. Plant Nutr. Soil Sci. 2019, 182, 286–295. [Google Scholar] [CrossRef]
- Postma, J.A.; Hecht, V.L.; Hikosaka, K.; Nord, E.A.; Pons, T.L.; Poorter, H. Dividing the pie: A quantitative review on plant density responses. Plant Cell Environ. 2021, 44, 1072–1094. [Google Scholar] [CrossRef]
- González, A.L.; Kominoski, J.S.; Danger, M.; Ishida, S.; Iwai, N.; Rubach, A. Can ecological stoichiometry help explain patterns of biological invasions? Oikos 2010, 119, 779–790. [Google Scholar] [CrossRef]
- Song, M.; Yu, L.; Fu, S.; Korpelainen, H.; Li, C. Stoichiometric flexibility and soil bacterial communities respond to nitrogen fertilization and neighbor competition at the early stage of primary succession. Biol. Fert. Soils 2020, 56, 1121–1135. [Google Scholar] [CrossRef]
- Cuartero, J.; Antonio Pascual, J.; Vivo, J.M.; Ozbolat, O.; Sanchez-Navarro, V.; Egea-Cortines, M.; Zornoza, R.; Martinez Mena, M.; Garcia, E.; Ros, M. A first-year melon/cowpea intercropping system improves soil nutrients and changes the soil microbial community. Agr. Ecosyst. Environ. 2022, 328, 107856. [Google Scholar] [CrossRef]
- de Matos, C.d.C.; Pacheco Monteiro, L.C.; Diaz Gallo, S.A.; Costa, M.D.; da Silva, A.A. Changes in soil microbial communities modulate interactions between maize and weeds. Plant Soil. 2019, 440, 249–264. [Google Scholar] [CrossRef]
- Leff, J.W.; Bardgett, R.D.; Wilkinson, A.; Jackson, B.G.; Pritchard, W.J.; De Long, J.R.; Oakley, S.; Mason, K.E.; Ostle, N.J.; Johnson, D. Predicting the structure of soil communities from plant community taxonomy, phylogeny, and traits. ISME J. 2018, 12, 1794–1805. [Google Scholar] [CrossRef]
- Cavalieri, A.; Bak, F.; Garcia-Lemos, A.M.; Weiner, J.; Nicolaisen, M.H.; Nybroe, O. Effects of intra- and interspecific plant density on rhizosphere bacterial communities. Front. Microbiol. 2020, 11, 1045. [Google Scholar] [CrossRef]
- Yang, C.; Tang, W.; Sun, J.; Guo, H.; Sun, S.; Miao, F.; Yang, G.; Zhao, Y.; Wang, Z.; Sun, J. Weeds in the alfalfa field decrease rhizosphere microbial diversity and association networks in the North China Plain. Front. Microbiol. 2022, 13, 840774. [Google Scholar] [CrossRef]
- Li, S.; Wu, F. Diversity and co-occurrence patterns of soil bacterial and fungal communities in seven intercropping systems. Front. Microbiol. 2018, 9, 1521. [Google Scholar] [CrossRef]
- Wang, G.Z.; Li, H.G.; Christie, P.; Zhang, F.S.; Zhang, J.L.; Bever, J.D. Plant-soil feedback contributes to intercropping overyielding by reducing the negative effect of take-all on wheat and compensating the growth of faba bean. Plant Soil. 2017, 415, 1–12. [Google Scholar] [CrossRef]
- Shi, S.; Tian, L.; Ma, L.; Tian, C. Community structure of rhizomicrobiomes in four medicinal herbs and its implication on growth management. Microbiology 2018, 87, 425–436. [Google Scholar] [CrossRef]
- Tang, W.; Christensen, M.J.; Nan, Z.B. Contributions of soil temperature and moisture drivers to variations in perennial vetch (Vicia unijuga) productivity potential in the Qinghai-Tibetan Plateau region of China. J. Agr. Sci. 2019, 157, 150–168. [Google Scholar] [CrossRef]
- Caporaso, J.G.; Lauber, C.L.; Walters, W.A.; Berg-Lyons, D.; Huntley, J.; Fierer, N.; Owens, S.M.; Betley, J.; Fraser, L.; Bauer, M.; et al. Ultra-high-throughput microbial community analysis on the Illumina HiSeq and MiSeq platforms. ISME J. 2012, 6, 1621–1624. [Google Scholar] [CrossRef]
- Weiner, J. Weed suppression by cereals: Beyond ‘competitive ability’. Weed Res. 2023, 63, 133–138. [Google Scholar] [CrossRef]
- Mhlanga, B.; Chauhan, B.S.; Thierfelder, C. Weed management in maize using crop competition: A review. Crop. Prot. 2016, 88, 28–36. [Google Scholar] [CrossRef]
- Huber, M.; Julkowska, M.M.M.; Snoek, L.B.; van Veen, H.; Toulotte, J.; Kumar, V.; Kajala, K.; Sasidharan, R.; Pierik, R. Towards increased shading capacity: A combined phenotypic and genetic analysis of rice shoot architecture. Plants People Planet 2024, 6, 128–147. [Google Scholar] [CrossRef]
- Fiorucci, A.S.; Fankhauser, C. Plant strategies for enhancing access to sunlight. Curr. Biol. 2017, 27, 931–940. [Google Scholar] [CrossRef]
- Datta, A.; Ullah, H.; Tursun, N.; Pornprom, T.; Knezevic, S.Z.; Chauhan, B.S. Managing weeds using crop competition in soybean Glycine max (L.) CrossMark Melt. Crop. Prot. 2017, 95, 60–68. [Google Scholar] [CrossRef]
- Awan, T.H.; Cruz, P.C.S.; Ahmed, S.; Chauhan, B.S. Effect of nitrogen application, rice planting density, and water regime on the morphological plasticity and biomass partitioning of Chinese sprangletop (Leptochloa chinensis). Weed Sci. 2015, 63, 448–460. [Google Scholar] [CrossRef]
- Sultan, S.E.; Matesanz, S. An ideal weed: Plasticity and invasiveness in Polygonum cespitosum. Ann. N. Y. Acad. Sci. 2015, 1360, 101–119. [Google Scholar] [CrossRef]
- Kucek, L.K.; Dawson, J.C.; Darby, H.; Mallory, E.; Davis, M.; Sorrells, M.E. Breeding wheat for weed-competitive ability: II-measuring gains from selection and local adaptation. Euphytica 2021, 217, 203. [Google Scholar] [CrossRef]
- Li, M.; Naeem, M.S.; Ali, S.; Zhang, L.; Liu, L.; Ma, N.; Zhang, C. Leaf senescence, root morphology, and seed yield of winter oilseed rape (Brassica napus L.) at varying plant densities. Agron. J. 2022, 114, 201–215. [Google Scholar] [CrossRef] [PubMed]
- Berti, M.T.; Samarappuli, D. How does sowing rate affect plant and stem density, forage yield, and nutritive value in glyphosate-tolerant alfalfa? Agronomy 2018, 8, 169. [Google Scholar] [CrossRef]
- Andrew, I.; Storkey, J.; Sparkes, D. A review of the potential for competitive cereal cultivars as a tool in integrated weed management. Weed Res. 2015, 55, 239–248. [Google Scholar] [CrossRef]
- Zhang, J.; Li, M.; Xu, L.; Zhu, J.; Dai, G.; He, N. C:N:P stoichiometry in terrestrial ecosystems in China. Sci. Total. Environ. 2021, 795, 148849. [Google Scholar] [CrossRef]
- Pérez-Delgado, C.; Moyano Yugovic, T.; García-Calderón, M.; Canales, J.; Gutierrez, R.; Márquez, A.; Betti, M. Use of transcriptomics and co-expression networks to analyze the interconnections between nitrogen assimilation and photorespiratory metabolism. J. Exp. Bot. 2016, 67, 3095–3108. [Google Scholar] [CrossRef]
- Sardans, J.; Bartrons, M.; Margalef, O.; Gargallo-Garriga, A.; Janssens, I.A.; Ciais, P.; Obersteiner, M.; Sigurdsson, B.D.; Chen, H.Y.H.; Penuelas, J. Plant invasion is associated with higher plant-soil nutrient concentrations in nutrient-poor environments. Global Change Biol. 2017, 23, 1282–1291. [Google Scholar] [CrossRef]
- May, W.E. Altering the competitiveness of tame oat (Avena sativa L.) versus wild oat (Avena fatua L.) with phosphorus and seeding rate. Can. J. Plant Sci. 2018, 98, 582–590. [Google Scholar] [CrossRef]
- Gioria, M.; Osborne, B.A. Resource competition in plant invasions: Emerging patterns and research needs. Front. Plant Sci. 2014, 5, 501. [Google Scholar] [CrossRef]
- Ma, B.L.; Zheng, Z.M.; Morrison, M.J.; Gregorich, E.G. Nitrogen and phosphorus nutrition and stoichiometry in the response of maize to various N rates under different rotation systems. Nutr. Cycl. Agroecosys. 2016, 104, 93–105. [Google Scholar] [CrossRef]
- Zhu, D.; Hui, D.; Wang, M.; Yang, Q.; Yu, S. Light and competition alter leaf stoichiometry of introduced species and native mangrove species. Sci Total Environ. 2020, 738, 140301. [Google Scholar] [CrossRef]
- Williams, L.J.; Cavender-Bares, J.; Paquette, A.; Messier, C.; Reich, P.B. Light mediates the relationship between community diversity and trait plasticity in functionally and phylogenetically diverse tree mixtures. J. Ecol. 2020, 108, 1617–1634. [Google Scholar] [CrossRef]
- Davidson, A.M.; Nicotra, A.B. Beware: Alien invasion. Where to next for an understanding of weed ecology? New Phytol. 2012, 194, 602–605. [Google Scholar] [CrossRef]
- Weih, M.; Pourazari, F.; Vico, G. Nutrient stoichiometry in winter wheat: Element concentration pattern reflects developmental stage and weather. Sci. Rep. 2016, 6, 35958. [Google Scholar] [CrossRef] [PubMed][Green Version]
- Krashevska, V.; Sandmann, D.; Maraun, M.; Scheu, S. Moderate changes in nutrient input alter tropical microbial and protist communities and belowground linkages. ISME J. 2014, 8, 1126–1134. [Google Scholar] [CrossRef] [PubMed]
- Massenssini, A.M.; Bonduki, V.H.A.; Melo, C.A.D.; Totola, M.R.; Ferreira, F.A.; Costa, M.D. Soil microorganisms and their role in the interactions between weeds and crops. Planta Daninha 2014, 32, 873–884. [Google Scholar] [CrossRef]
- Trognitz, F.; Hackl, E.; Widhalm, S.; Sessitsch, A. The role of plant-microbiome interactions in weed establishment and control. Fems Microbiol. Ecol. 2016, 92, fiw138. [Google Scholar] [CrossRef]
- Hu, J.; Ricono, C.; Fournier, P.; Mondy, S.; Vandenkoornhuyse, P.; Mony, C. Neighbourhood effect of weeds on wheat root endospheric mycobiota. J. Ecol. 2023, 111, 994–1008. [Google Scholar] [CrossRef]
- Rahman, N.S.N.A.; Hamid, N.W.A.; Nadarajah, K. Effects of abiotic stress on soil microbiome. Int. J. Mol. Sci. 2021, 22, 9036. [Google Scholar] [CrossRef] [PubMed]
- Fu, Z.D.; Zhou, L.; Chen, P.; Du, Q.; Pang, T.; Song, C.; Wang, X.C.; Liu, W.G.; Yang, W.Y.; Yong, T.W. Effects of maize-soybean relay intercropping on crop nutrient uptake and soil bacterial community. J. Integr. Agr. 2019, 18, 2006–2018. [Google Scholar] [CrossRef]
- Gong, X.; Liu, C.; Li, J.; Luo, Y.; Yang, Q.; Zhang, W.; Yang, P.; Feng, B. Responses of rhizosphere soil properties, enzyme activities and microbial diversity to intercropping patterns on the Loess Plateau of China. Soil Till. Res. 2019, 195, 104355. [Google Scholar] [CrossRef]
- Ribeiro, I.D.A.; Bach, E.; Passaglia, L.M.P. Alternative nitrogenase of Paenibacillus sonchi genomovar Riograndensis: An insight in the origin of Fe-nitrogenase in the Paenibacillaceae family. Mol. Phylogenet. Evol. 2022, 177, 107624. [Google Scholar] [CrossRef]
- Trivino, N.J.; Rodriguez-Sanchez, A.; Filley, T.; Camberato, J.J.; Colley, M.; Simon, P.; Hoagland, L. Carrot genotypes differentially alter soil bacterial communities and decomposition of plant residue in soil. Plant Soil. 2023, 486, 587–606. [Google Scholar] [CrossRef]
- Chen, S.; Yang, D.; Wei, Y.; He, L.; Li, Z.; Yang, S. Changes in soil phosphorus availability and microbial community structures in rhizospheres of oilseed rapes induced by intercropping with white lupins. Microorganisms 2023, 11, 326. [Google Scholar] [CrossRef]
- Li, X.; Chu, Y.; Jia, Y.; Yue, H.; Han, Z.; Wang, Y. Changes to bacterial communities and soil metabolites in an apple orchard as a legacy effect of different intercropping plants and soil management practices. Front. Microbiol. 2022, 13, 956840. [Google Scholar] [CrossRef]
- Rahman, M.K.U.; Wang, X.; Gao, D.; Zhou, X.; Wu, F. Root exudates increase phosphorus availability in the tomato/potato onion intercropping system. Plant Soil 2021, 464, 45–62. [Google Scholar] [CrossRef]
- Chen, W.; Ko, C.; Su, Y.; Lai, W.; Shen, F. Metabolic potential and community structure of bacteria in an organic tea plantation. Appl. Soil Ecol. 2021, 157, 103762. [Google Scholar] [CrossRef]
- Yuan, B.; Yu, D.; Hu, A.; Wang, Y.; Sun, Y.; Li, C. Effects of green manure intercropping on soil nutrient content and bacterial community structure in litchi orchards in China. Front. Environ. Sci. 2023, 10, 1059800. [Google Scholar] [CrossRef]
- Shi, J.; Gong, X.; Rahman, M.K.U.; Tian, Q.; Zhou, X.; Wu, F. Effects of wheat root exudates on bacterial communities in the rhizosphere of watermelon. Plant Soil Environ. 2021, 67, 721–728. [Google Scholar] [CrossRef]
- Francioli, D.; Schulz, E.; Lentendu, G.; Wubet, T.; Buscot, F.; Reitz, T. Mineral vs. organic amendments: Microbial community structure, activity and abundance of agriculturally relevant microbes are driven by long-term fertilization strategies. Front. Microbiol. 2016, 7, 1446. [Google Scholar] [CrossRef] [PubMed]
- Zhou, Y.; Zhu, H.; Yao, Q. Contrasting P acquisition strategies of the bacterial communities associated with legume and grass in subtropical orchard soil. Env. Microbiol. Rep. 2018, 10, 310–319. [Google Scholar] [CrossRef] [PubMed]
- Panhwar, Q.A.; Naher, U.A.; Jusop, S.; Othman, R.; Latif, M.A. Biochemical and molecular characterization of potential phosphate-solubilizing bacteria in acid sulfate soils and their beneficial effects on rice growth. PLoS ONE 2014, 9, e116035. [Google Scholar] [CrossRef]
- Omeiri, M.; Khnayzer, R.; Yusef, H.; Tokajian, S.; Salloum, T. Biodegradation of chlorpyrifos by bacterial strains isolated from Lebanese soil and its association with plant growth improvement. Bioremediat. J. 2022, 1–20. [Google Scholar] [CrossRef]
- Suzuki, K.; Kashiwa, N.; Nomura, K.; Asiloglu, R.; Harada, N. Impacts of application of calcium cyanamide and the consequent increase in soil pH on N2O emissions and soil bacterial community compositions. Biol. Fert. Soils 2021, 57, 269–279. [Google Scholar] [CrossRef]
- Wei, X.; Han, B.; Wu, B.; Shao, X.; Qian, Y. Stronger effects of simultaneous warming and precipitation increase than the individual factor on soil bacterial community composition and assembly processes in an alpine grassland. Front. Microbiol. 2023, 14, 1237850. [Google Scholar] [CrossRef] [PubMed]
- Cao, X.; Liu, S.; Wang, J.; Wang, H.; Chen, L.; Tian, X.; Zhang, L.; Chang, J.; Wang, L.; Mu, Z.; et al. Soil bacterial diversity changes in different broomcorn millet intercropping systems. J. Basic Microb. 2017, 57, 989–997. [Google Scholar] [CrossRef]
- Cao, T.; Luo, Y.; Shi, M.; Tian, X.; Kuzyakov, Y. Microbial interactions for nutrient acquisition in soil: Miners, scavengers, and carriers. Soil Biol. Biochem. 2024, 188, 109215. [Google Scholar] [CrossRef]
- Hassan, M.; McInroy, J.; Kloepper, J. The interactions of rhizodeposits with plant growth-promoting rhizobacteria in the rhizosphere: A Review. Agriculture 2019, 9, 142. [Google Scholar] [CrossRef]









| Treatment | Plant Height (cm) | Stem Diameter (mm) | Till Number (Till/Plant) | Crop Biomass (kg/ha) | Leaf Area Index |
|---|---|---|---|---|---|
| O1 | 68.4 ± 1.45 bc | 6.10 ± 0.11 a | 7.2 ± 0.47 a | 4297.2 ± 209.7 d | 3.26 ± 0.079 e |
| O2 | 67.3 ± 0.88 c | 5.27 ± 0.12 b | 6.2 ± 0.29 b | 5318.2 ± 197.2 c | 3.58 ± 0.030 d |
| O3 | 69.9 ± 0.41 bc | 4.89 ± 0.08 cd | 4.6 ± 0.22 c | 6746.0 ± 155.6 b | 3.89 ± 0.035 c |
| O4 | 69.2 ± 0.59 bc | 5.11 ± 0.11 bc | 3.3 ± 0.15 d | 6885.8 ± 192.8 ab | 4.03 ± 0.042 bc |
| O5 | 70.7 ± 0.72 b | 4.72 ± 0.10 d | 2.7 ± 0.21 de | 7040.4 ± 234.4 ab | 4.15 ± 0.058 b |
| O6 | 73.5 ± 0.96 a | 3.93 ± 0.17 e | 2.2 ± 0.20 e | 7392.6 ± 185.0 a | 4.36 ± 0.060 a |
| Treatment | Soil TC g kg−1 | Soil TN g kg−1 | Soil TP g kg−1 | Soil AP mg kg−1 | Soil AN mg kg−1 | Soil C:N | Soil C:P | Soil N:P |
|---|---|---|---|---|---|---|---|---|
| O1 | 10.60 ± 0.04 ns | 1.20 ± 0.01 ns | 0.633 ± 0.012 a | 6.14 ± 0.19 a | 26.70 ± 0.22 a | 8.85 ± 0.09 c | 16.75 ± 0.27 c | 1.89 ± 0.04 b |
| O2 | 11.16 ± 0.13 ns | 1.23 ± 0.03 ns | 0.627 ± 0.014 a | 6.23 ± 0.21 a | 25.59 ± 0.86 ab | 9.11 ± 0.09 bc | 17.85 ± 0.56 bc | 1.96 ± 0.08 b |
| O3 | 11.29 ± 0.39 ns | 1.26 ± 0.04 ns | 0.618 ± 0.014 a | 6.07 ± 0.14 a | 24.41 ± 0.86 bc | 8.96 ± 0.06 bc | 18.26 ± 0.51 b | 2.04 ± 0.05 b |
| O4 | 11.08 ± 0.31 ns | 1.20 ± 0.03 ns | 0.590 ± 0.029 ab | 5.54 ± 0.13 ab | 22.78 ± 0.69 cd | 9.22 ± 0.09 ab | 18.83 ± 0.46 b | 2.04 ± 0.07 b |
| O5 | 10.52 ± 0.47 ns | 1.15 ± 0.03 ns | 0.551 ± 0.014 b | 5.14 ± 0.19 b | 21.60 ± 0.62 d | 9.15 ± 0.13 b | 19.06 ± 0.50 b | 2.08 ± 0.04 b |
| O6 | 10.82 ± 0.17 ns | 1.14 ± 0.02 ns | 0.486 ± 0.008 c | 4.90 ± 0.30 b | 21.09 ± 0.58 d | 9.48 ± 0.08 a | 22.29 ± 0.49 a | 2.35 ± 0.07 a |
| E. crus-galli | D. sanguinalis | P. oleracea | C. album | A. sativa | ||||||
|---|---|---|---|---|---|---|---|---|---|---|
| R2 | p Value | R2 | p Value | R2 | p Value | R2 | p Value | R2 | p Value | |
| IPAR | 0.159 | 0.006 | 0.096 | 0.008 | 0.093 | 0.008 | 0.128 | 0.002 | 0.092 | 0.012 |
| Soil C | 0.022 | 0.368 | 0.017 | 0.49 | 0.025 | 0.268 | 0.039 | 0.1 | 0.019 | 0.386 |
| Soil N | 0.056 | 0.016 | 0.041 | 0.04 | 0.002 | 0.984 | 0.013 | 0.578 | 0.119 | 0.006 |
| Soil P | 0.022 | 0.35 | 0.047 | 0.048 | 0.016 | 0.456 | 0.053 | 0.034 | 0.003 | 0.896 |
| Soil C:N | 0.067 | 0.012 | 0.068 | 0.036 | 0.006 | 0.842 | 0.025 | 0.254 | 0.053 | 0.046 |
| Soil C:P | 0.045 | 0.114 | 0.028 | 0.268 | 0.085 | 0.016 | 0.055 | 0.04 | <0.001 | 0.996 |
| Soil N:P | 0.064 | 0.026 | 0.013 | 0.616 | 0.031 | 0.172 | 0.007 | 0.8 | 0.028 | 0.192 |
| Soil AN | 0.312 | 0.002 | 0.417 | 0.002 | 0.421 | 0.002 | 0.408 | 0.002 | 0.433 | 0.002 |
| Soil AP | 0.009 | 0.732 | 0.01 | 0.684 | 0.047 | 0.046 | 0.013 | 0.538 | 0.005 | 0.806 |
Disclaimer/Publisher’s Note: The statements, opinions and data contained in all publications are solely those of the individual author(s) and contributor(s) and not of MDPI and/or the editor(s). MDPI and/or the editor(s) disclaim responsibility for any injury to people or property resulting from any ideas, methods, instructions or products referred to in the content. |
© 2024 by the authors. Licensee MDPI, Basel, Switzerland. This article is an open access article distributed under the terms and conditions of the Creative Commons Attribution (CC BY) license (https://creativecommons.org/licenses/by/4.0/).
Share and Cite
Tang, W.; Li, Z.; Guo, H.; Chen, B.; Wang, T.; Miao, F.; Yang, C.; Xiong, W.; Sun, J. Annual Weeds Suppression and Oat Forage Yield Responses to Crop Density Management in an Oat-Cultivated Grassland: A Case Study in Eastern China. Agronomy 2024, 14, 583. https://doi.org/10.3390/agronomy14030583
Tang W, Li Z, Guo H, Chen B, Wang T, Miao F, Yang C, Xiong W, Sun J. Annual Weeds Suppression and Oat Forage Yield Responses to Crop Density Management in an Oat-Cultivated Grassland: A Case Study in Eastern China. Agronomy. 2024; 14(3):583. https://doi.org/10.3390/agronomy14030583
Chicago/Turabian StyleTang, Wei, Ziguang Li, Haipeng Guo, Boyu Chen, Tingru Wang, Fuhong Miao, Chao Yang, Wangdan Xiong, and Juan Sun. 2024. "Annual Weeds Suppression and Oat Forage Yield Responses to Crop Density Management in an Oat-Cultivated Grassland: A Case Study in Eastern China" Agronomy 14, no. 3: 583. https://doi.org/10.3390/agronomy14030583
APA StyleTang, W., Li, Z., Guo, H., Chen, B., Wang, T., Miao, F., Yang, C., Xiong, W., & Sun, J. (2024). Annual Weeds Suppression and Oat Forage Yield Responses to Crop Density Management in an Oat-Cultivated Grassland: A Case Study in Eastern China. Agronomy, 14(3), 583. https://doi.org/10.3390/agronomy14030583

