Epichloë bromicola Enhances Elymus dahucirus Plant Growth and Antioxidant Capacity under Cadmium Stress
Abstract
1. Introduction
2. Material and Methods
2.1. Plant Material
2.2. Experiental Design
2.3. Measurements
2.3.1. MDA Content
2.3.2. Proline Content
2.3.3. Activity of Antioxidant Enzymes
2.3.4. Plant Growth
2.4. Statistical Analyses
3. Results
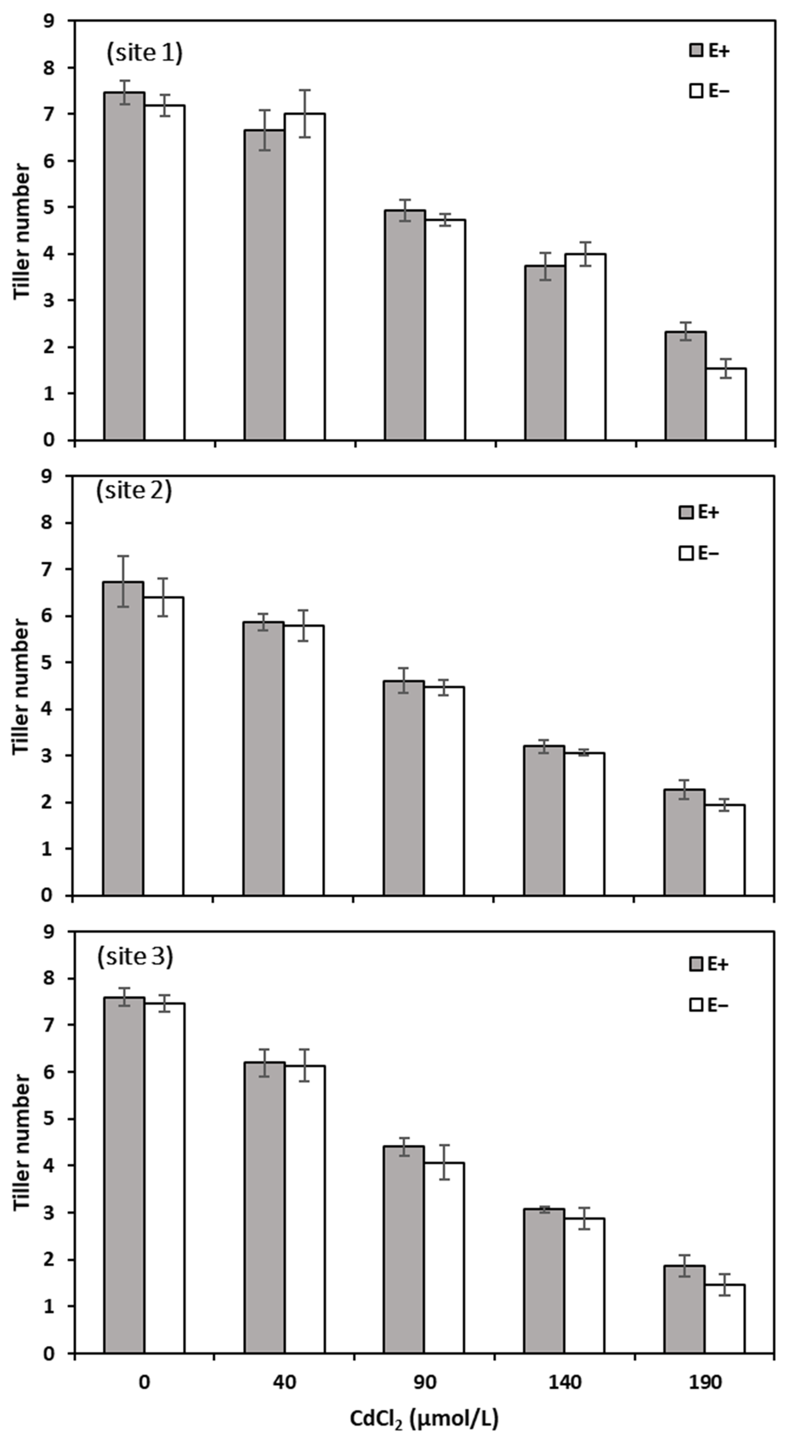
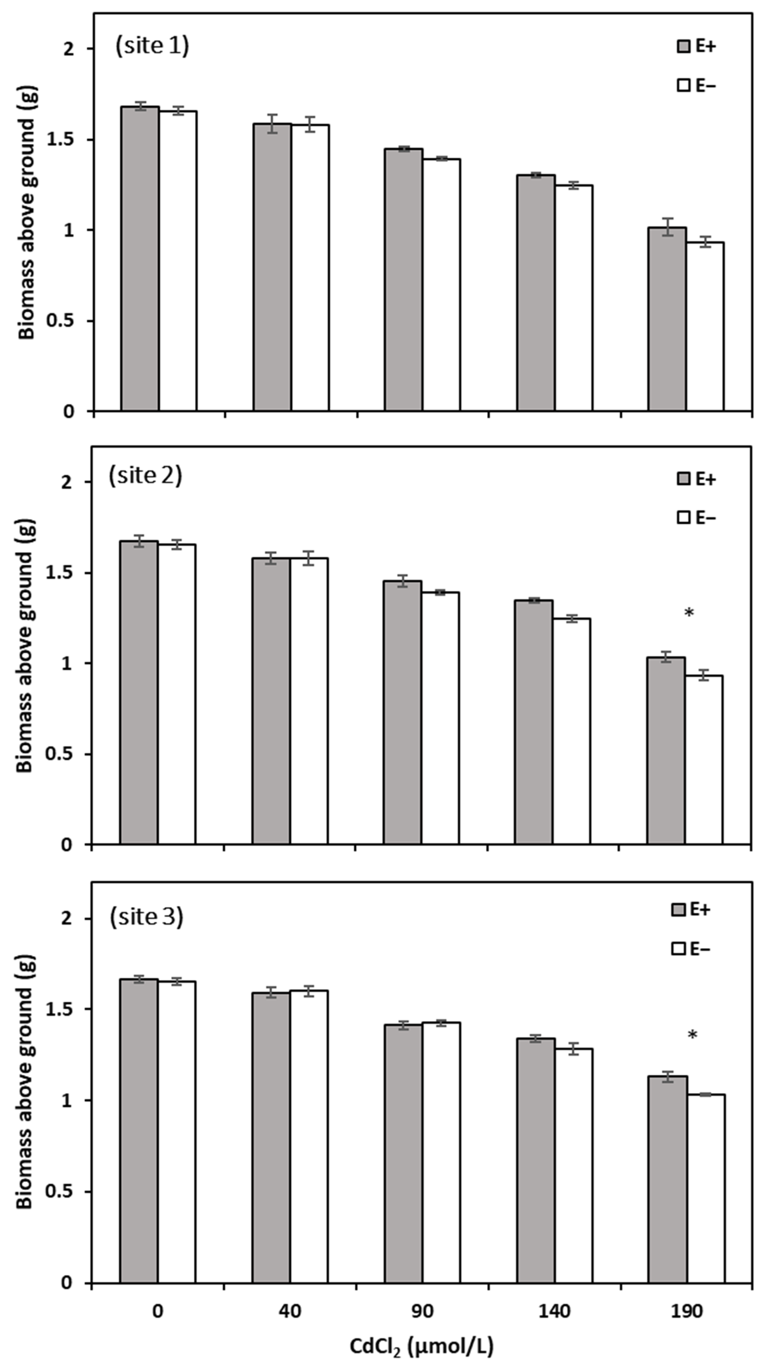
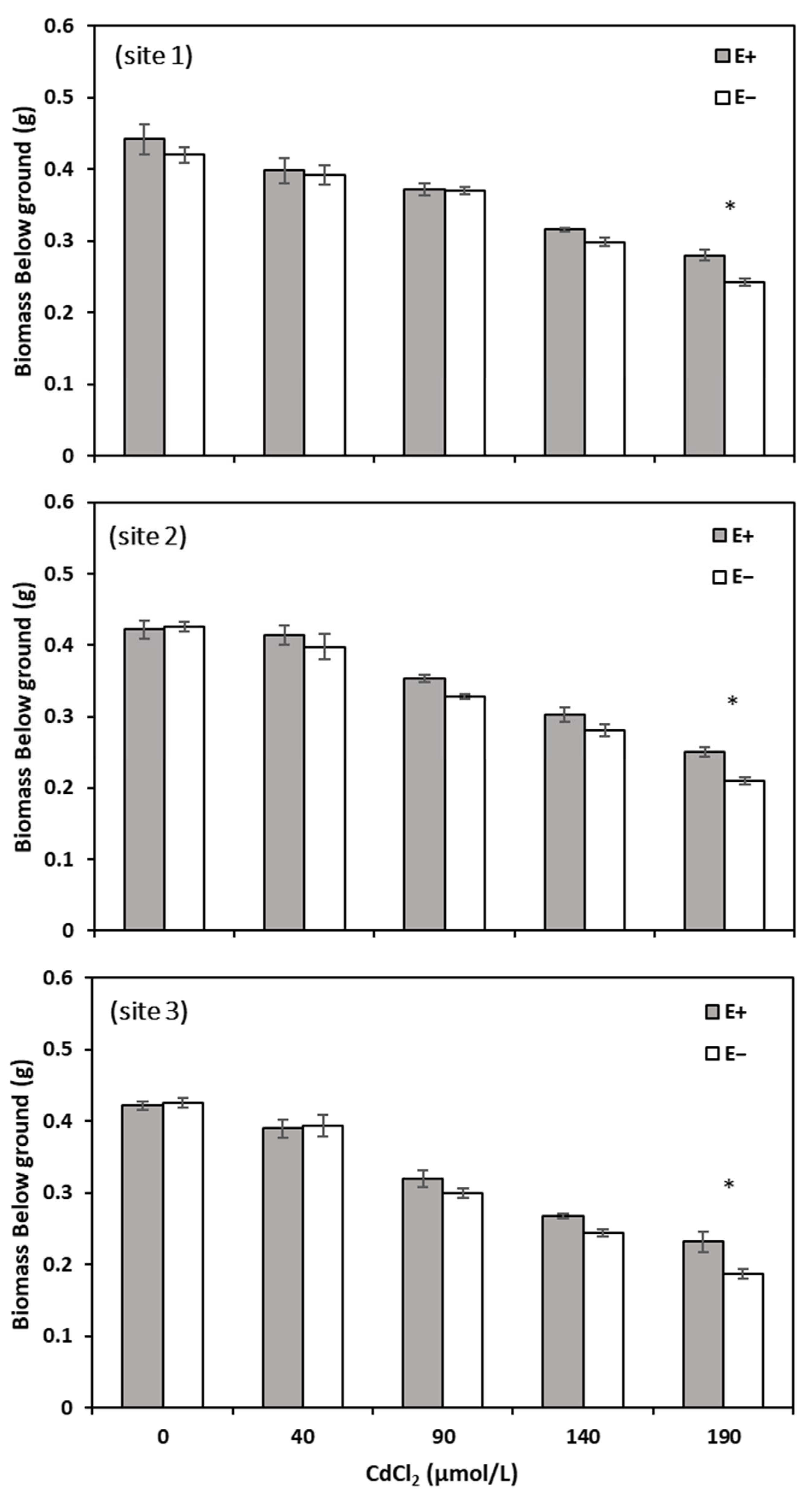
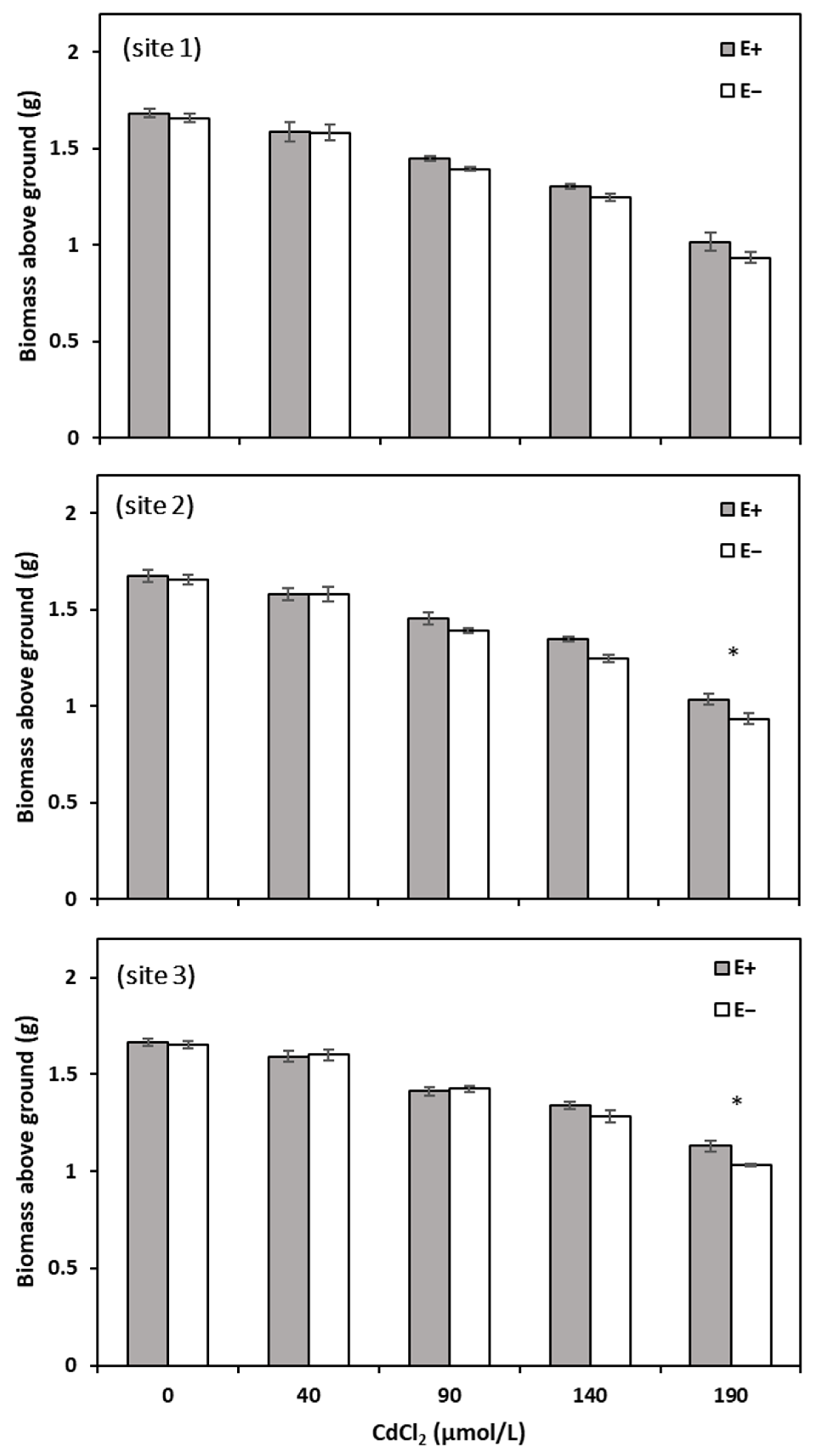
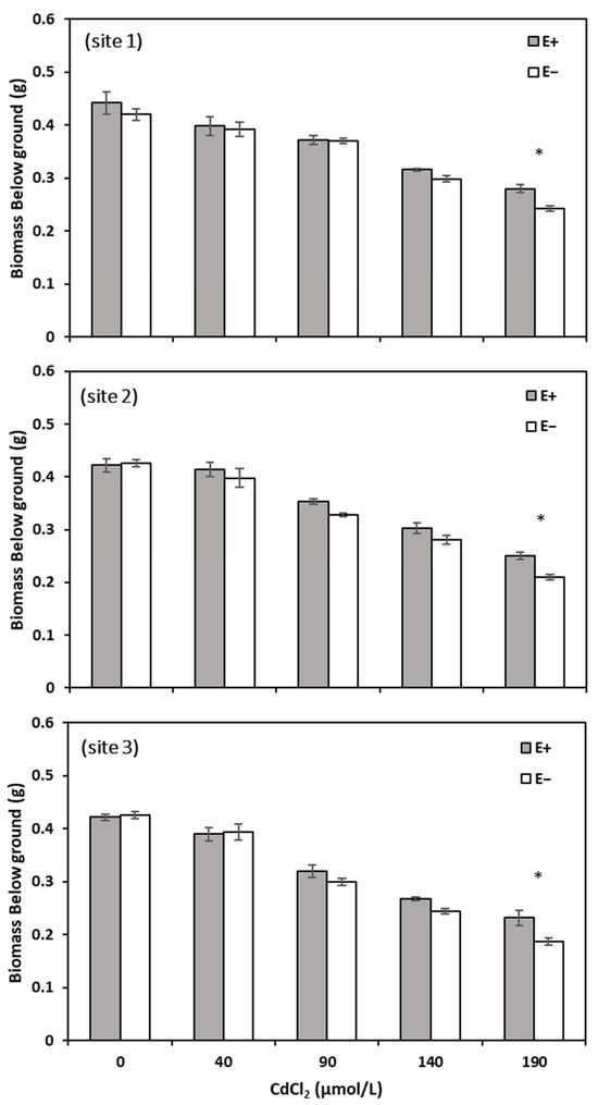
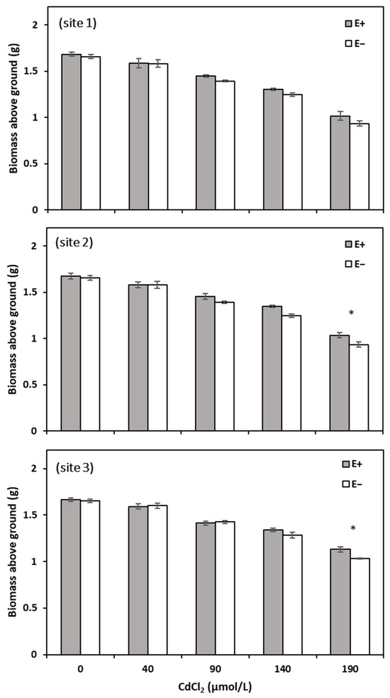
3.1. E. dahuricus Growth Parameters
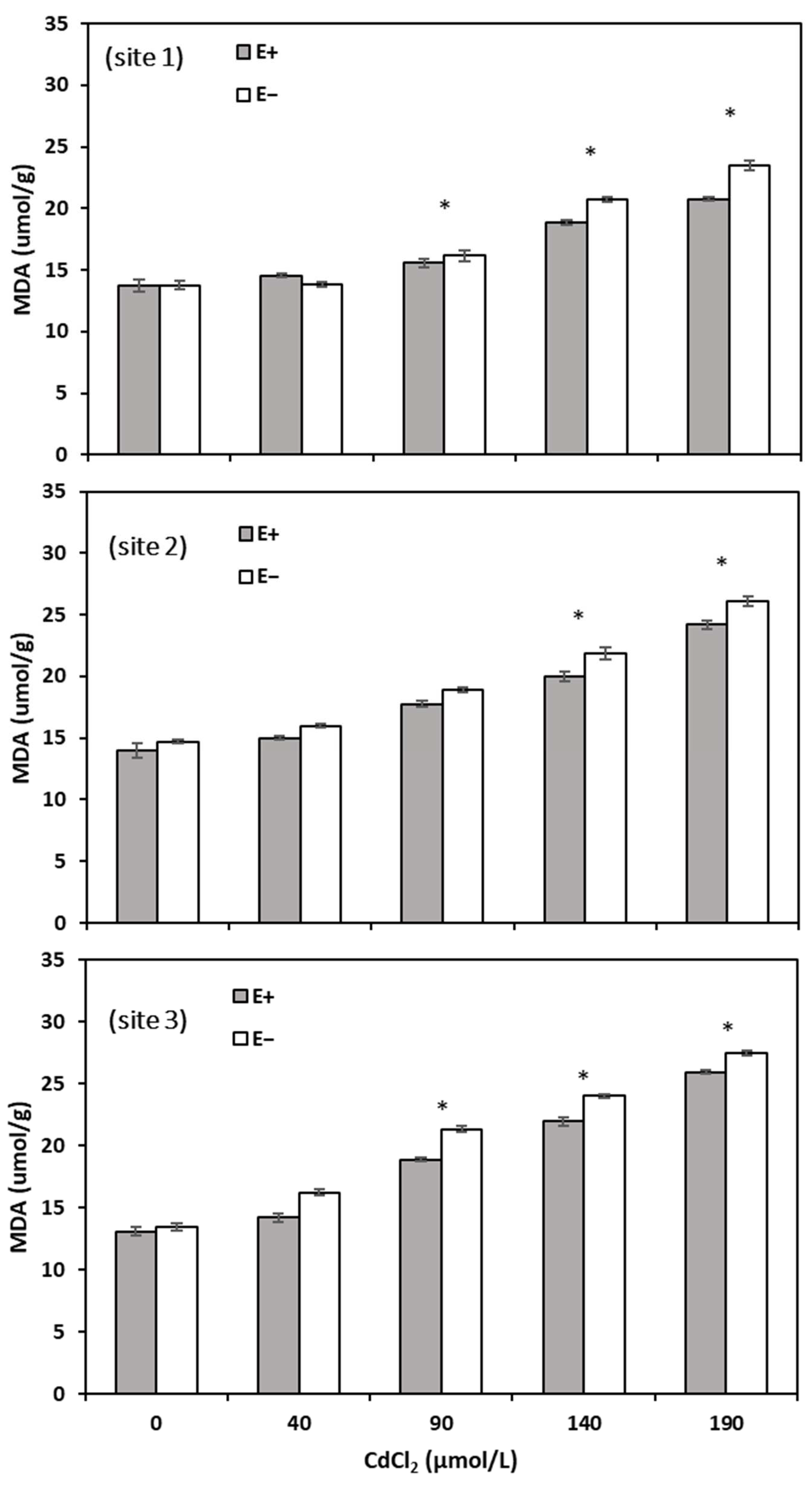
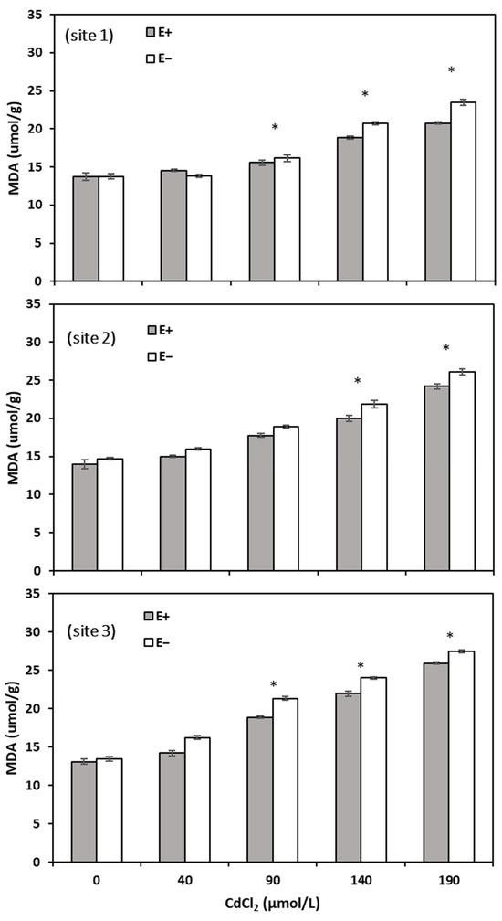
3.2. E. dahuricus Membrane Lipid Peroxidation
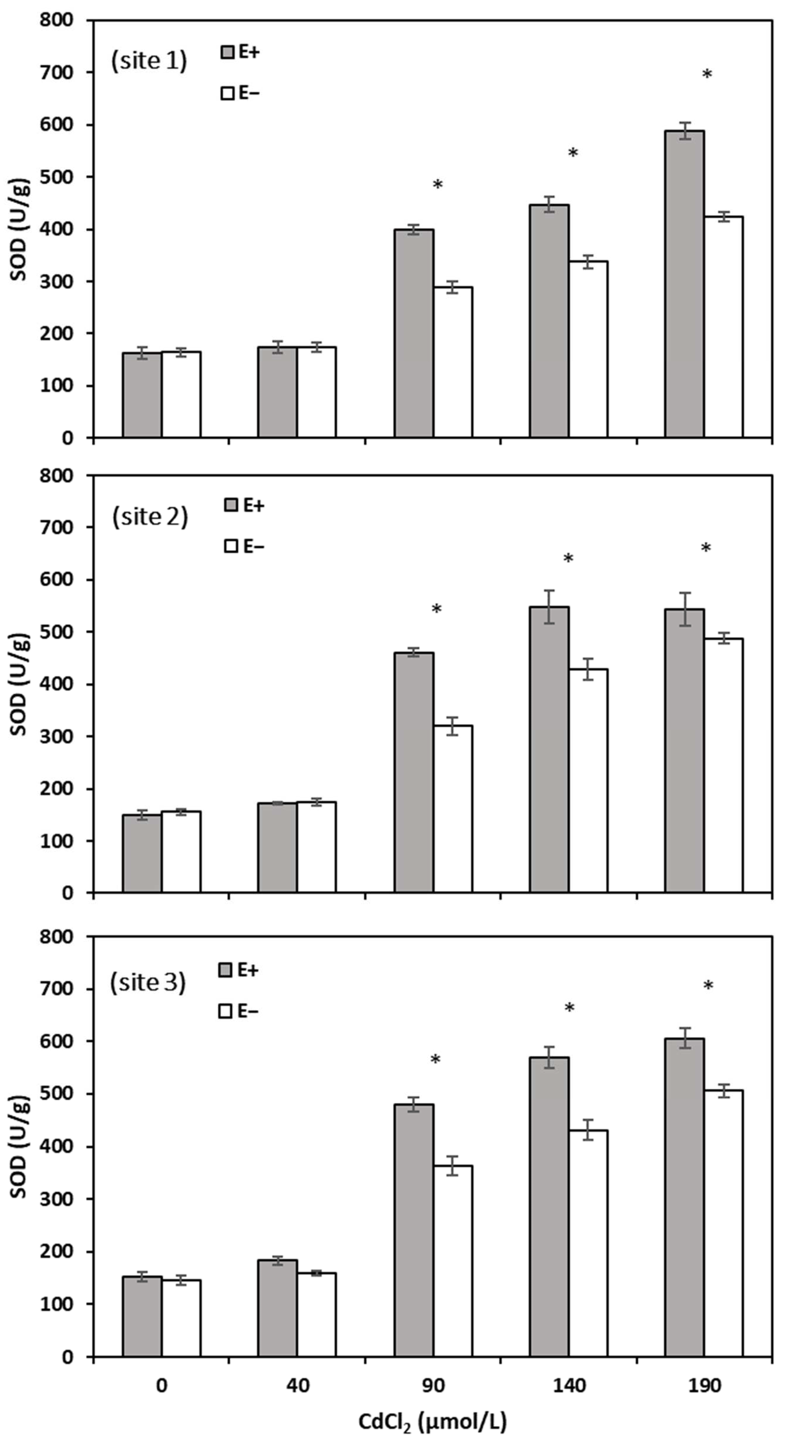
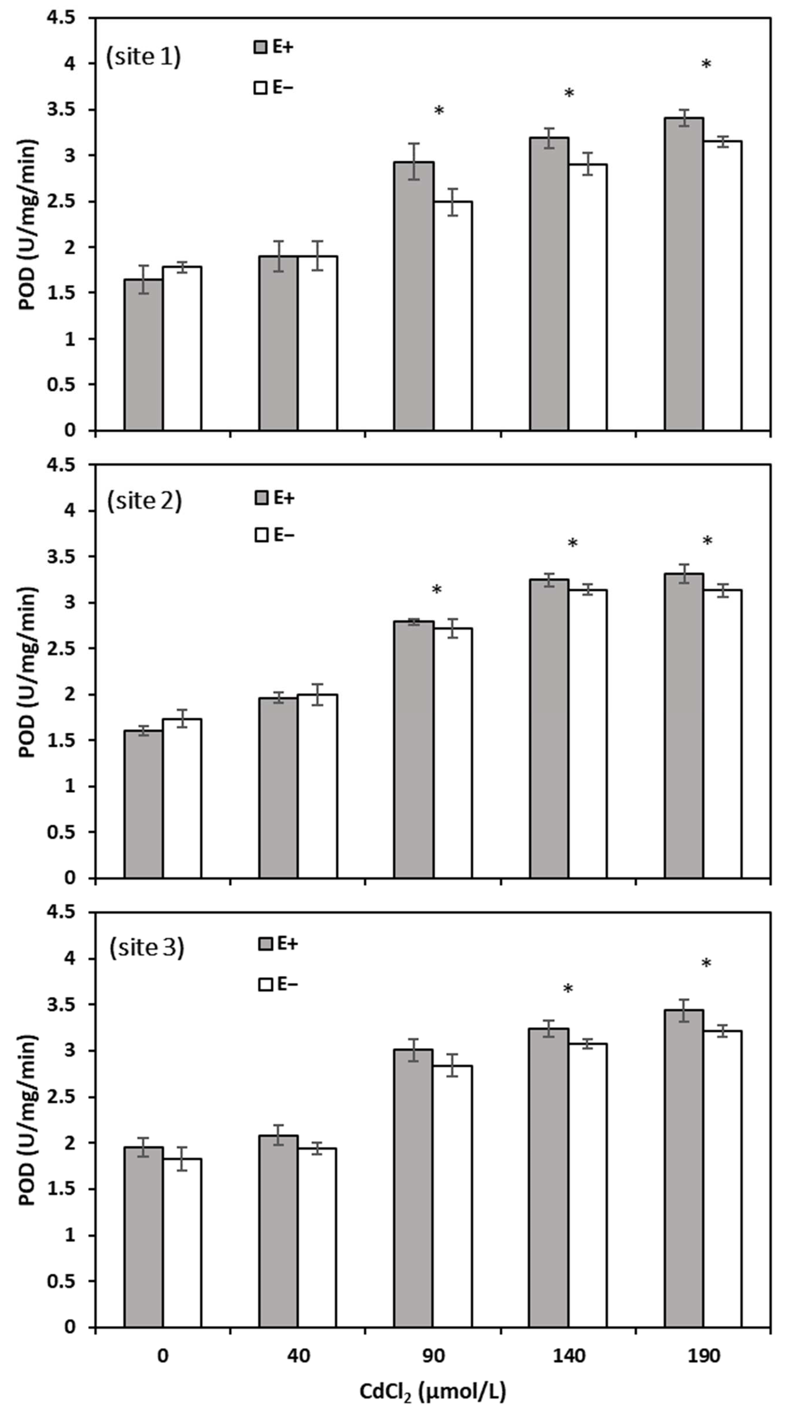
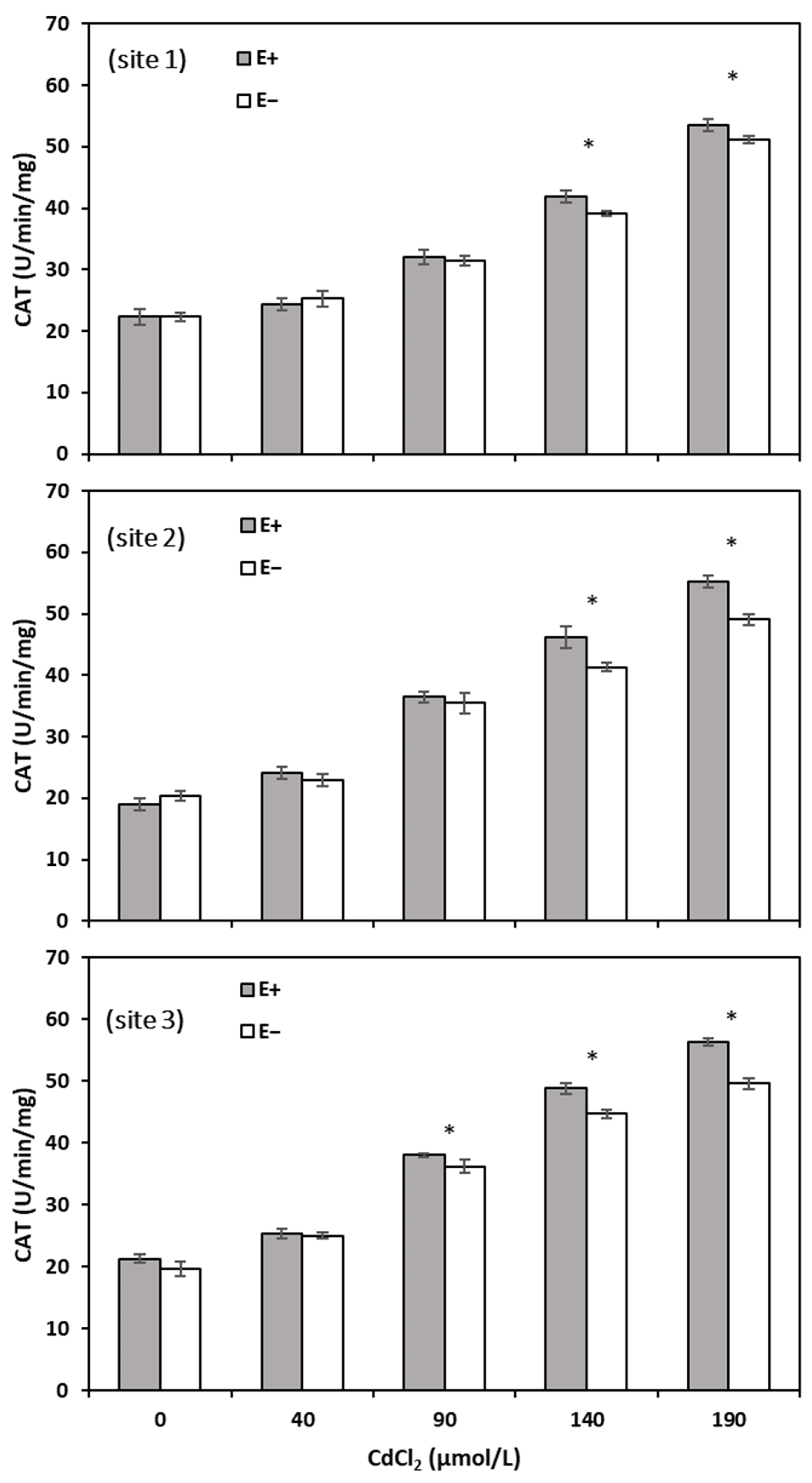
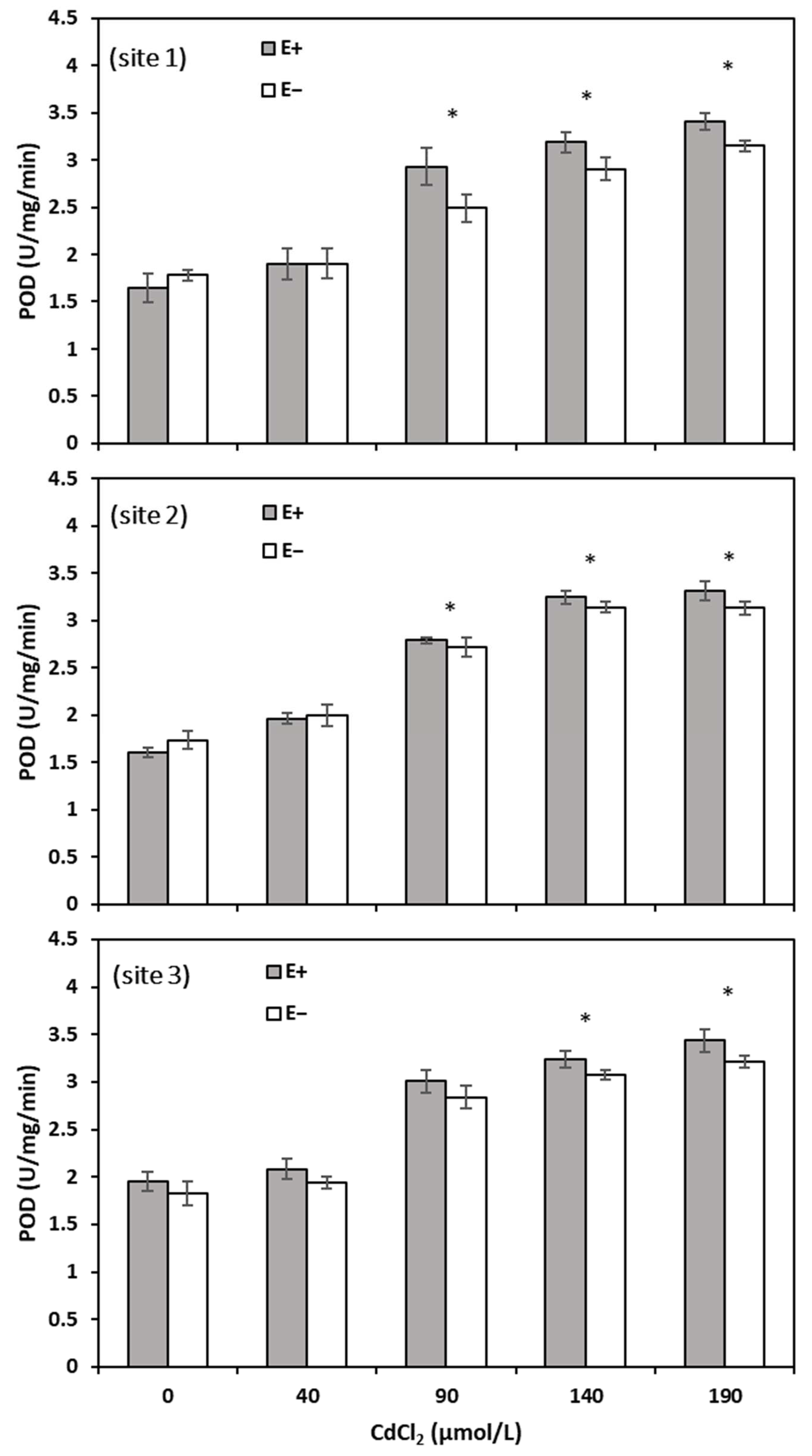
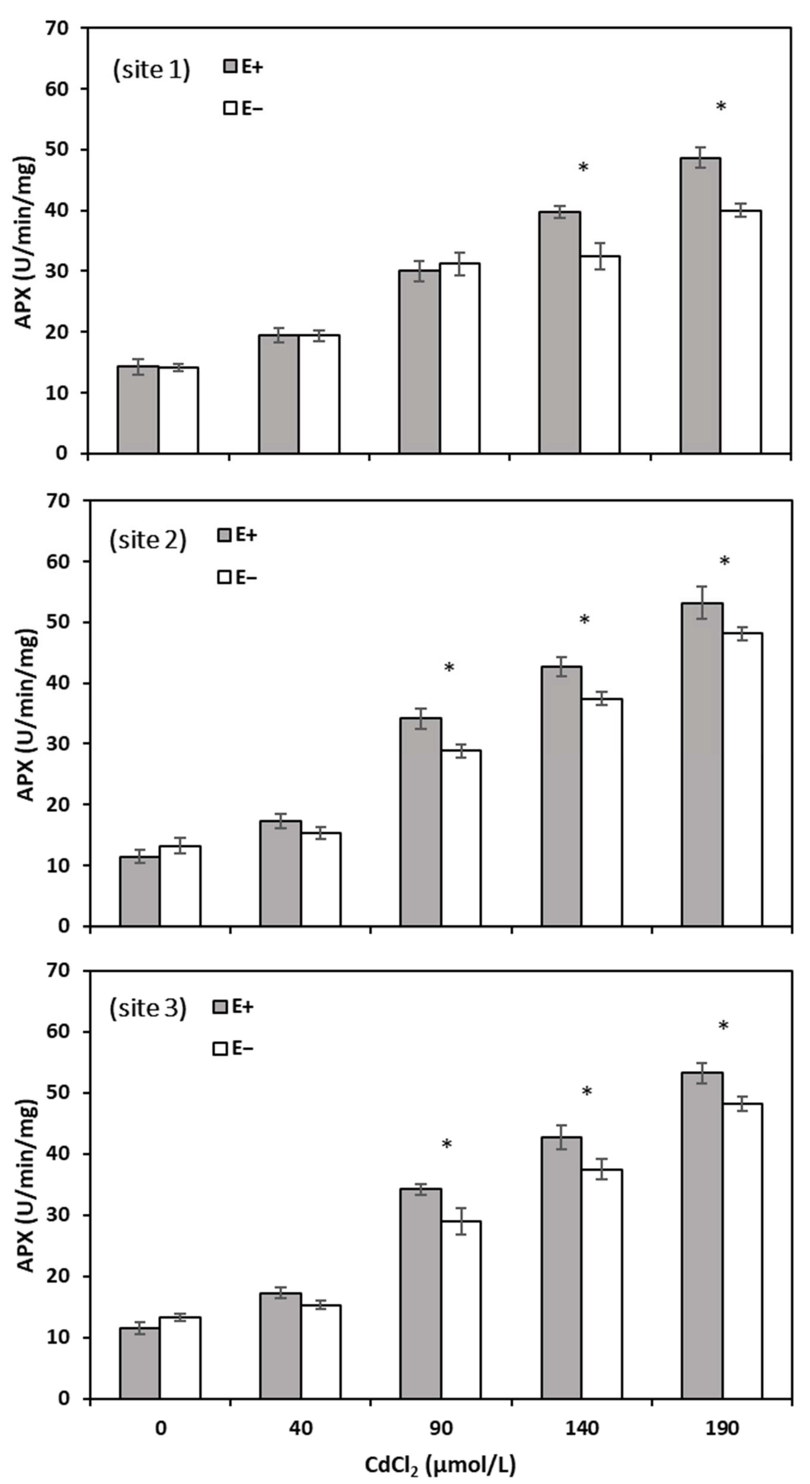
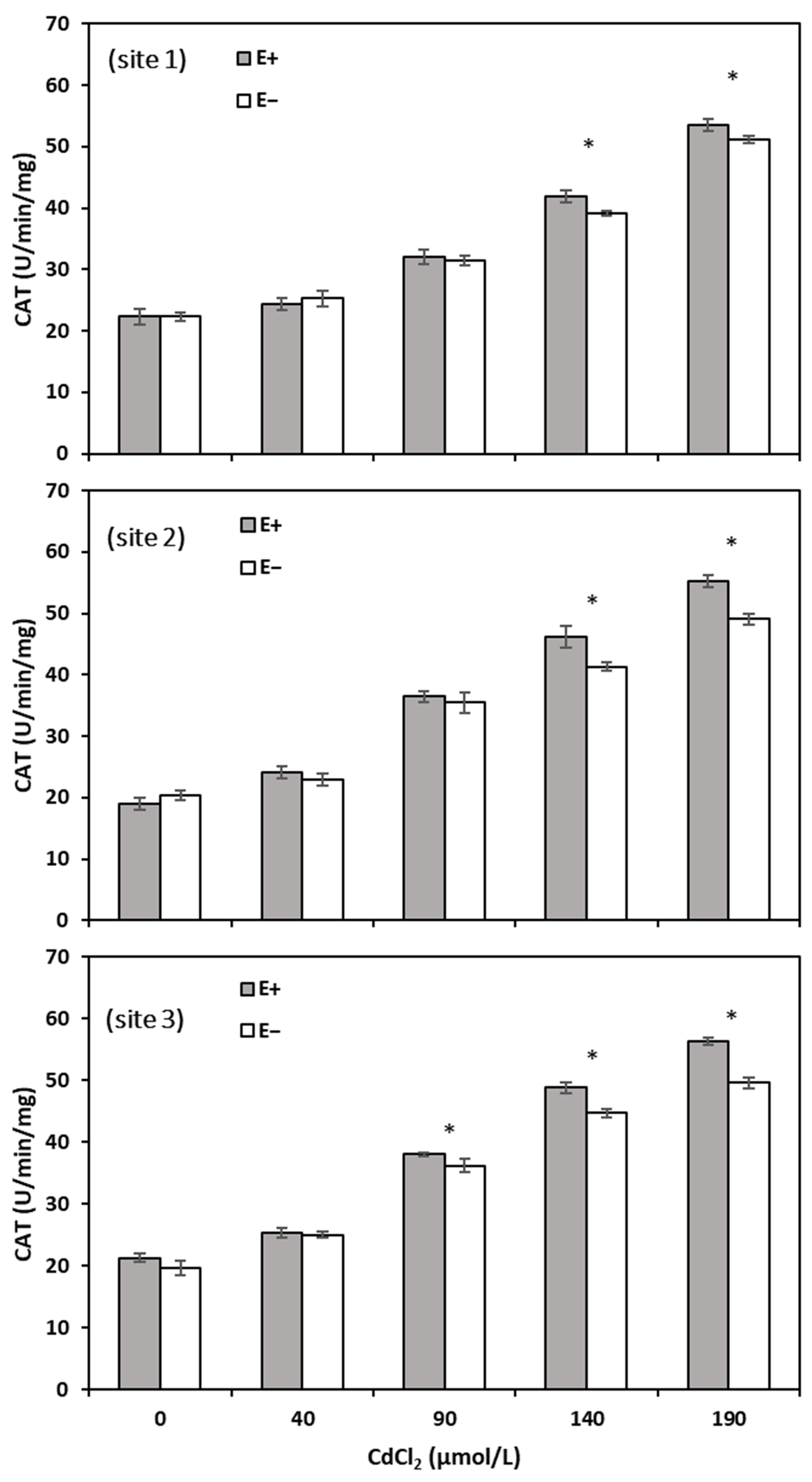
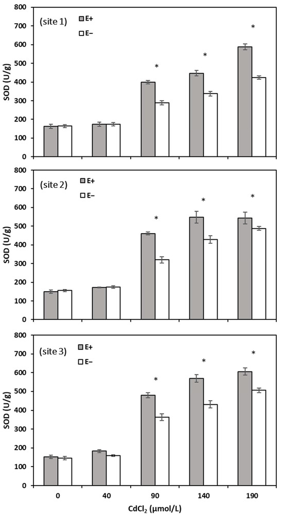
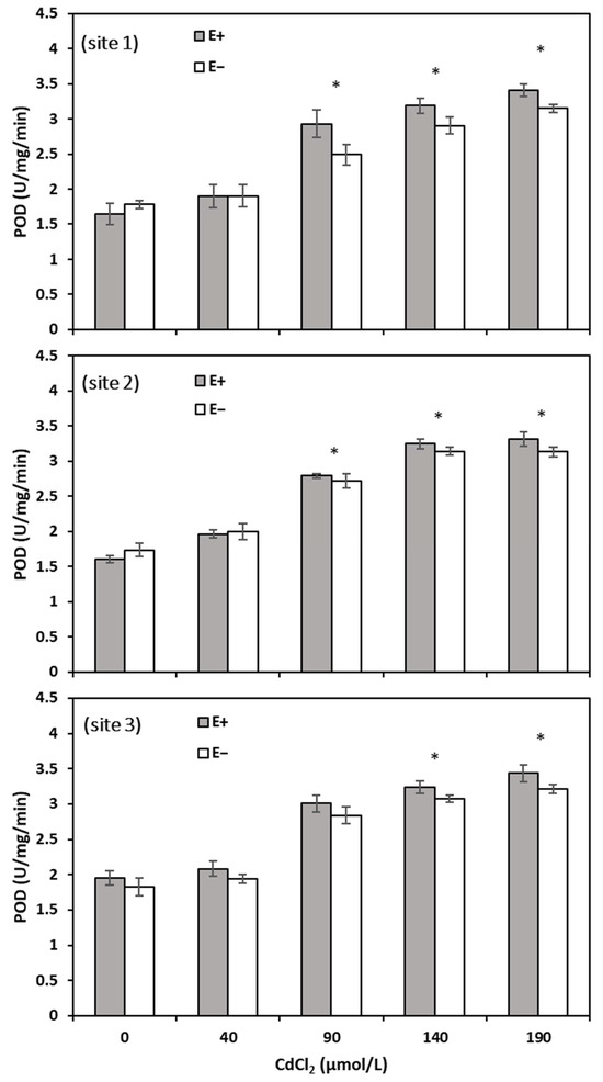
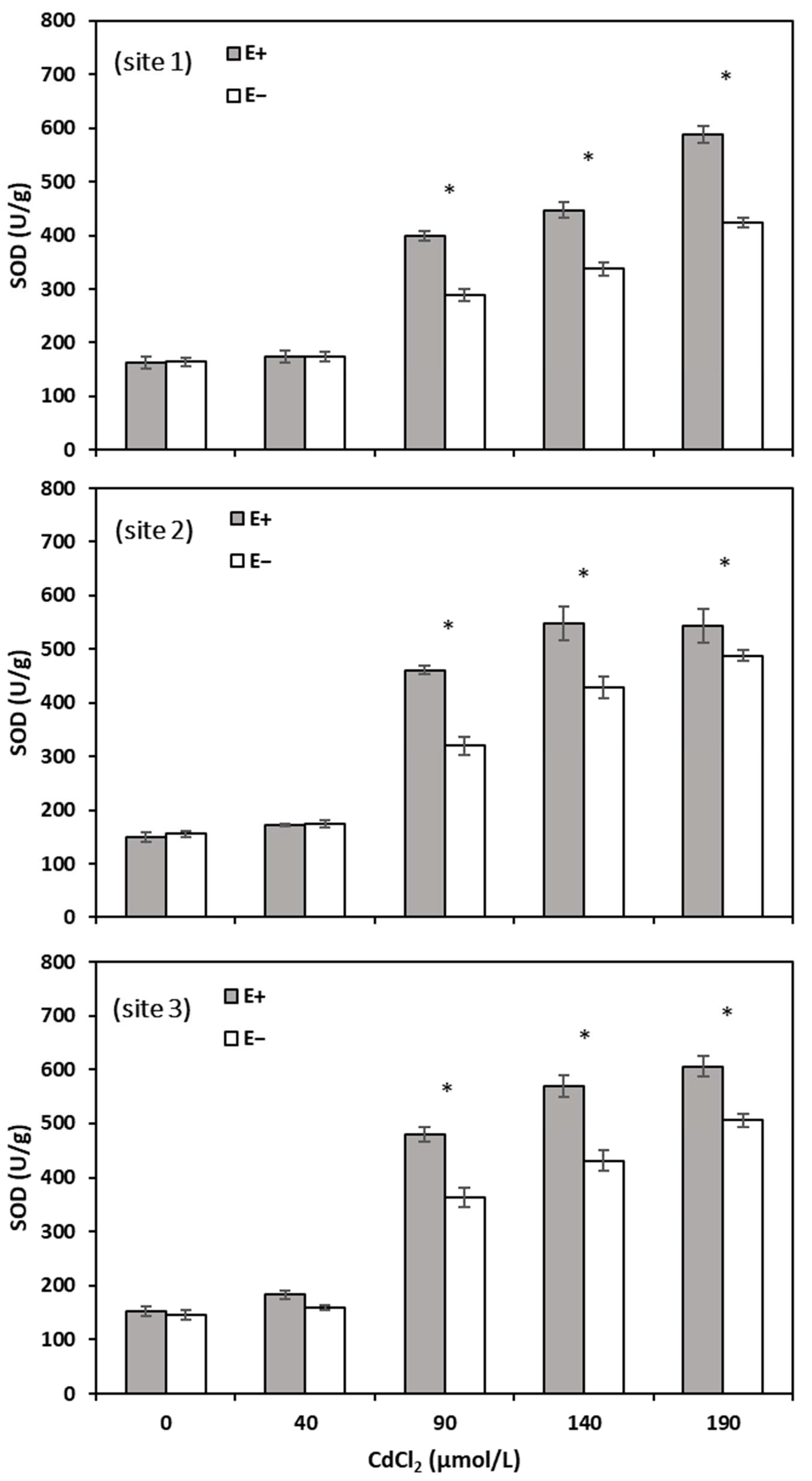
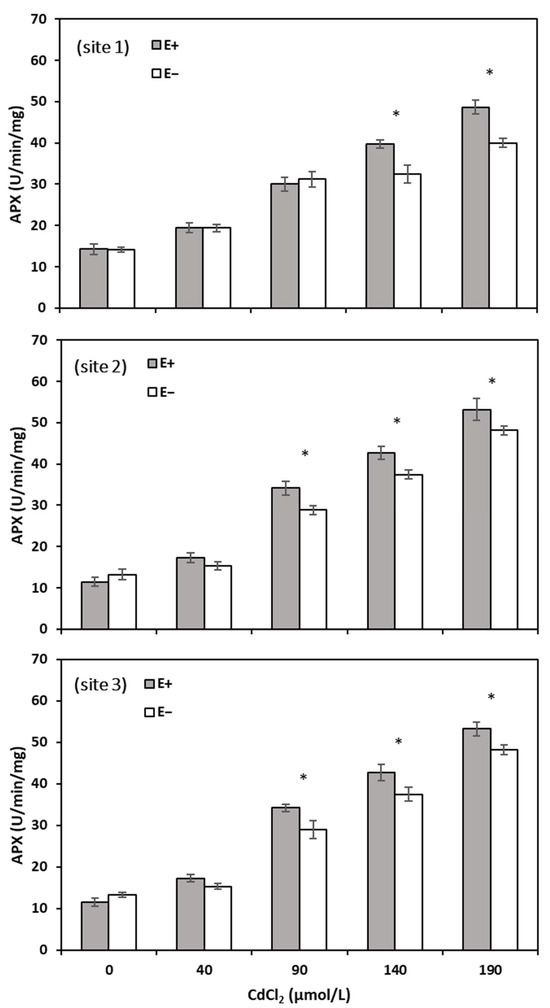
3.3. E. dahuricus Activity of Antioxidant Enzymes
3.4. Relationship among Cd Concentration, E. bromicola, Site, Plant Growth, and Antioxidant Capacity
4. Discussion
5. Conclusions
Author Contributions
Funding
Data Availability Statement
Conflicts of Interest
References
- Kopittke, P.M.; Menzies, N.W.; Wang, P.; McKenna, B.A.; Lombi, E. Soil and the intensification of agriculture for global food security. Environ. Int. 2019, 132, 105078. [Google Scholar] [CrossRef]
- Wiewióra, B.; Żurek, G. The response of the associations of grass and Epichloë endophytes to the increased content of heavy metals in the soil. Plants 2021, 10, 429. [Google Scholar] [CrossRef]
- Zhao, H.; Wu, Y.; Lan, X.; Yang, Y.; Wu, X.; Du, L. Comprehensive assessment of harmful heavy metals in contaminated soil in order to score pollution level. Sci. Rep. 2022, 12, 3552. [Google Scholar] [CrossRef]
- Carvalho, M.E.A.; Gaziola, S.A.; Carvalho, L.A.; Azevedo, R.A. Cadmium effects on plant reproductive organs: Physiological, productive, evolutionary and ecological aspects. Ann. Appl. Biol. 2021, 178, 2. [Google Scholar] [CrossRef]
- El Rasafi, T.; Oukarroum, A.; Haddioui, A.; Song, H.; Kwon, E.E.; Bolan, N.; Rinklebe, J. Cadmium stress in plants: A critical review of the effects, mechanisms, and tolerance strategies. Crit. Rev. Environ. Sci. Technol. 2022, 52, 675–726. [Google Scholar] [CrossRef]
- Suhani, I.; Sahab, S.; Srivastava, V.; Singh, R.P. Impact of cadmium pollution on food safety and human health. Curr. Opin. Toxicol. 2021, 27, 1–7. [Google Scholar] [CrossRef]
- Schardl, C.L. Epichloë festucae and related mutualistic symbionts of grasses. Fungal Genet. Biol. 2001, 33, 69–82. [Google Scholar] [CrossRef]
- Luo, Q.Z. Selection of Cadmium-Tolerant Forage Varieties Suitable for Planting in Qinghai–Tibet Plateau. Master’s Thesis, Gansu Agricultural University, Lanzhou, China, 2018. [Google Scholar]
- Leuchtmann, A.; Bacon, C.W.; Schardl, C.L.; White, J.F.; Tadych, M. Nomenclatural realignment of Neotyphodium species with genus Epichloë. Mycologia 2014, 106, 202–215. [Google Scholar] [CrossRef]
- Gibert, A.; Volaire, F.; Barre, P.; Hazard, L. A fungal endophyte reinforces population adaptive differentiation in its host grass species. New Phytol. 2012, 194, 561–571. [Google Scholar] [CrossRef]
- Schardl, C.L.; Leuchtmann, A.; Spiering, M.J. Symbioses of grasses with seed-borne fungal endophytes. Annu. Rev. Plant Biol. 2004, 55, 315–340. [Google Scholar] [CrossRef]
- Song, M.L.; Chai, Q.; Li, X.Z.; Yao, X.; Li, C.L.; Christensen, M.J.; Nan, Z.B. An asexual Epichloë, endophyte modifies the nutrient stoichiometry of wild barley (Hordeum brevisubulatum) under salt stress. Plant Soil 2015, 387, 153–165. [Google Scholar] [CrossRef]
- Xia, C.; Li, N.N.; Zhang, Y.W.; Li, C.J.; Zhang, X.X.; Nan, Z.B. Role of Epichloë endophytes in defense responses of cool-season grasses to pathogens: A review. Plant Dis. 2018, 102, 2061–2073. [Google Scholar] [CrossRef]
- Zhang, X.X.; Xia, C.; Li, C.J.; Nan, Z.B. Chemical composition and antifungal activity of the volatile oil from Epichloë gansuensis, endophyte-infected and non-infected Achnatherum inebrians. Sci. China Life Sci. 2015, 58, 512–514. [Google Scholar] [CrossRef] [PubMed]
- Ruppert, K.G.; Matthew, C.; McKenzie, C.M.; Popay, A.J. Impact of Epichloë endophytes on adult Argentine stem weevil damage to perennial ryegrass seedlings. Entomol. Exp. Appl. 2017, 163, 328–337. [Google Scholar] [CrossRef]
- Faeth, S.H.; Oberhofer, M.; Saari, S.; Haskins, K.E.; Shymanovich, T. Does hybridization of endophytic symbionts in a native grass increase fitness in resource-limited environment? Ecology 2017, 98, 138–149. [Google Scholar] [CrossRef][Green Version]
- Oberhofer, M.; Güsewell, S.; Leuchtmann, A. Effects of natural hybrid and non-hybrid Epichloë endophytes on the response of Hordelymus europaeus to drought stress. New Phytol. 2014, 201, 242–253. [Google Scholar] [CrossRef] [PubMed]
- Song, M.L.; Li, X.Z.; Saikkonen, K.; Li, C.J.; Nan, Z.B. An asexual Epichloë endophyte enhances waterlogging tolerance of Hordeum brevisubulatum. Fungal Ecol. 2015, 13, 44–52. [Google Scholar] [CrossRef]
- Zhang, X.X.; Fan, X.M.; Li, C.J.; Nan, Z.B. Effects of cadmium stress on seed germination, seedling growth and antioxidative enzymes in Achnatherum inebrians plants infected with a Neotyphodium endophyte. Plant Growth Regul. 2010, 60, 91–97. [Google Scholar] [CrossRef]
- Gibert, A.; Hazard, L. Endophyte infection of Festuca eskia enhances seedling survival to drought and cutting at the expense of clonal expansion. J. Plant Ecol. 2011, 4, 201–208. [Google Scholar] [CrossRef]
- Peng, Q.Q.; Li, C.J.; Song, M.L.; Nan, Z.B. Effects of seed hydropriming on growth of Festuca sinensis, infected with Neotyphodium, endophyte. Fungal Ecol. 2013, 6, 83–91. [Google Scholar] [CrossRef]
- Croy, R.G.; Sutherland, B.L.; Hume, D.E.; Mace, W.J.; van Koten, C.; Finch, S.C. Animal safety of a tall fescue endophyte (Epichloë sp.) in a perennial ryegrass (Lolium perenne) host. N. Z. Vet. J. 2022, 70, 165–176. [Google Scholar] [CrossRef]
- Li, C.J.; Nan, Z.B.; Zhang, C.J.; Zhang, C.Y.; Zhang, Y.H. Effects of drunken horse grass infected with endophyte on Chinese rabbit. J. Agric. Sci. Technol. 2009, 11, 84–90. [Google Scholar]
- Soleimani, M.; Hajabbasi, M.A.; Afyuni, M.; Mirlohi, A.; Borggaard, O.K.; Holm, P. Effect of endophytic fungi on cadmium tolerance and bioaccumulation by Festuca arundinacea and Festuca pratensis. Int. J. Phytoremediat. 2010, 12, 535–549. [Google Scholar] [CrossRef] [PubMed]
- Ren, A.; Gao, Y.; Zhang, L.; Xie, F.X. Effects of cadmium on growth parameters of endophyte-infected endophyte-free ryegrass. J. Plant Nutr. Soil Sci. 2006, 169, 857–860. [Google Scholar] [CrossRef]
- Zhang, X.X.; Li, C.J.; Nan, Z.B. Effects of cadmium stress on growth and anti-oxidative systems in Achnatherum inebrians symbiotic with Neotyphodium gansuense. J. Hazard. Mater. 2010, 175, 703–709. [Google Scholar] [CrossRef] [PubMed]
- Liu, Y.P.; La, B.; Su, X. Current taxonomic status and major existing problems in Elymus (Poaceae). J. Qinghai Norm. Univ. 2014, 31–37. [Google Scholar]
- Shao, X.O.; Wang, K.; Dong, S.K.; Huang, X.X.; Kang, M.Y. Regionalisation of suitable herbages for grassland recon struction in agro-pastoral transition zone of northern China. N. Z. J. Agric. Res. 2006, 49, 73–84. [Google Scholar]
- Wang, P.; Chen, J.H.; Wang, P.; Ma, Q.; Tian, L.H.; Chen, Y.J.; Zhou, Q.P. Status of research into the abiotic stress tolerance of Elymus species. Acta Prataculturae Sin. 2019, 28, 151–162. [Google Scholar]
- Zhang, X.X.; Li, C.J.; Nan, Z.B. Effects of cadmium stress on seed germination and seedling growth of Elymus dahuricus infected with the Neotyphodium endophyte. Sci. China Life Sci. 2012, 55, 793–799. [Google Scholar] [CrossRef]
- Liu, Z.l. Research on Limiting Factors of Plant Growth in Lawu Mine. Master’s Thesis, Xizang University, Linzhi, China, 2011. [Google Scholar]
- Zhu, S.Y. Comparative Study on the Response of Three Kinds of Lawn Grasses to Soil Layer Thickness and Planting Density on Slope. Master’s Thesis, Sichuan Agricultural University, Wenjiang, China, 2023. [Google Scholar]
- Shi, C.; An, S.Z.; Yao, Z.P.; Young, C.A.; Panaccione, D.G.; Lee, S.T.; Schardl, L. Toxin-producing Epichloë bromicola strains symbiotic with the forage grass Elymus dahuricus in China. Mycologia 2017, 109, 847–859. [Google Scholar] [CrossRef]
- Song, H. Phylogeny of Nine Elymus Species and Related Asexual Epichloë Endophyte. Ph.D. Thesis, Lanzhou University, Lanzhou, China, 2015. [Google Scholar]
- Song, H.; Nan, Z.B. Origin, divergence, and phylogeny of asexual Epichloë-endophyte in Elymus species from Western China. PLoS ONE 2015, 10, e0127096. [Google Scholar]
- Cheplick, G.P. Persistence of endophytic fungi in cultivars of Lolium perenne grown from seeds stored for 22 years. Am. J. Bot. 2017, 104, 627–631. [Google Scholar] [CrossRef] [PubMed]
- Esterbauer, H.; Cheeseman, K.H. Determination of aldehydic lipid peroxidation products: Malonaldehyde and 4-hydroxynonenal. In Methods in Enzymology; Academic Press: Cambridge, MA, USA, 1990; Volume 186, pp. 407–421. [Google Scholar]
- Li, H.S. Principle and Techniques of Botanic, Chemical and Physiological Experiments; Senior Education Press: Beijing, China, 2000; pp. 164–169+194–197. [Google Scholar]
- Clairborne, A. Catalase Activity, Handbook of Methods for Oxygen Radical Research; Greenwald, R.A., Ed.; CRC Press: Boca Raton, FL, USA, 1985; pp. 283–284. [Google Scholar]
- Beyer, W.F.; Fridovich, I. Assaying for superoxide dismutase activity: Some large consequences of minor changes in conditions. Anal. Biochem. 1987, 161, 559–566. [Google Scholar] [CrossRef] [PubMed]
- Chance, B.; Maehly, A.C. Assay of catalase and peroxidases. In Methods in Enzymology; Academic Press: Cambridge, MA, USA, 1955; Volume 1, pp. 764–775. [Google Scholar]
- Gupta, A.S.; Robert, P.; Webb, A.; Scott, H.; Allen, R.D. Overexpression of superoxide dismutase protects plants from oxidative stress. Plant Physiol. 1993, 103, 1067–1073. [Google Scholar] [CrossRef]
- Potters, G.; Pasternak, T.P.; Guisez, Y.; Palme, K.J.; Jansen, M.A. Stress-induced morphogenic responses: Growing out of trouble? Trends Plant Sci. 2007, 12, 98–105. [Google Scholar] [CrossRef]
- Bacon, C.W.; Porter, J.K.; Robbins, J.D.; Luttrell, E.S. Epichloë typhina from toxic tall fescue grasses. Appl. Environ. Microb. 1977, 34, 576–581. [Google Scholar] [CrossRef]
- Cheplick, G.P.; Faeth, S. Ecology and Evolution of the Grass Endophyte Symbiosis; Oxford University Press: New York, NY, USA, 2009. [Google Scholar]
- Clay, K. Fungal endophytes of grasses: A defensive mutualism between plants and fungi. Ecology 1988, 69, 10–16. [Google Scholar] [CrossRef]
- Clay, K. Defensive mutualism and grass endophytes: Still valid after all these years? In Defensive Mutualism in Symbiotic Association; Torres, M., White, J.F., Eds.; Taylor and Francis Publications: New York, NY, USA, 2009; pp. 27–38. [Google Scholar]
- Saikkonen, K.; Lehtonen, P.; Helander, M.; Koricheva, J.; Faeth, S.H. Model systems in ecology: Dissecting the endophyte-grass literature. Trends Plant Sci. 2006, 11, 428–433. [Google Scholar] [CrossRef]
- Saikkonen, K.; Saari, S.; Helander, M. Defensive mutualism between plants and endophytic fungi? Fungal Divers. 2010, 41, 101–113. [Google Scholar] [CrossRef]
- Saikkonen, K.; Gundel, P.E.; Helander, M. Chemical ecology mediated by fungal endophytes in grasses. J. Chem. Ecol. 2013, 39, 962–968. [Google Scholar] [CrossRef]
- Hamilton, C.; Gundel, P.E.; Helander, M.; Saikkonen, K. Endophytic mediation of reactive oxygen species and antioxidant activity in plants: A review. Fungal Divers. 2012, 54, 1–10. [Google Scholar] [CrossRef]
- Rizwan, M.; Ali, S.; Rehman, M.Z.; Rinklebe, J.; Tsang, D.C.W.; Bashir, A.; Maqbool, A.; Tack, F.M.G.; Ok, Y.S. Cadmium phytoremediation potential of Brassica crop species: A review. Sci. Total Environ. 2018, 631, 1175–1191. [Google Scholar] [CrossRef]
- Guo, T.R.; Zhang, G.P.; Zhou, M.X.; Wu, F.B.; Chen, J.X. Influence of aluminum and cadmium stresses on mineral nutrition and root exudates in two barley cultivars. Pedosphere 2007, 17, 505–512. [Google Scholar] [CrossRef]
- Tamas, L.; Dudıkova, J.; Durcekova, K.; Haluskova, L.; Huttova, J.; Mistrık, I.; Olle, M. Alterations of the gene expression, lipid peroxidation, proline and thiol content along the barley root exposed to cadmium. J. Plant Physiol. 2008, 165, 1193–1203. [Google Scholar] [CrossRef] [PubMed]
- Kumar, V.; Sharma, A.; Kaur, R.; Thukral, A.K.; Bhardwaj, R.; Ahmad, P. Differential distribution of amino acids in plants. Amino Acids 2017, 49, 821–869. [Google Scholar] [CrossRef] [PubMed]
- Szepesi, A.; Szollosi, R. Plant Metabolites and Regulation under Environmental Stress; Academic Press: Pittsburgh, PA, USA, 2018; pp. 337–353. [Google Scholar]
- Kishor, P.B.K.; Hima, K.P.; Sunita, M.S.L.; Sreenivasulu, N. Role of proline in cell wall synthesis and plant development and its implications in plant ontogeny. Front. Plant Sci. 2015, 6, 544. [Google Scholar] [CrossRef]
- Semida, W.M.; Hemida, K.A.; Rady, M.M. Sequenced ascorbate-proline-glutathione seed treatment elevates cadmium tolerance in cucumber transplants. Ecotox. Environ. Saf. 2018, 154, 171–179. [Google Scholar] [CrossRef]
- Zouari, M.; Ben, A.C.; Elloumi, N.; Bellassoued, K.; Delmail, D.; Labrousse, P.; Ben, A.F.; Ben, R.B. Impact of proline application on cadmium accumulation, mineral nutrition and enzymatic antioxidant defense system of Olea europaea L. cv Chemlali exposed to cadmium stress. Ecotoxicol. Environ. Saf. 2016, 128, 195–205. [Google Scholar] [CrossRef]
- Rady, M.M.; Elrys, A.S.; El-Maati, M.F.A.; Desoky, E.S.M. Interplaying roles of silicon and proline effectively improve salt and cadmium stress tolerance in Phaseolus vulgaris plant. Plant Physiol. Biochem. 2019, 139, 558–568. [Google Scholar] [CrossRef]
- Rellán-Álvarez, R.; Ortega-Villasante, C.; Álvarez-Fernández, A.; Campo, F.F.D.; Hernández, L.E. Stress responses of Zea mays to cadmium and mercury. Plant Soil 2006, 279, 41–50. [Google Scholar] [CrossRef]
- Hasanuzzaman, M.; Nahar, K.; Fujita, M. Responses, Tolerance and Remediation; Springer Nature: Singapore, 2018; pp. 77–106. [Google Scholar]
- Sahu, P.K.; Jayalakshmi, K.; Tilgam, J.; Gupta, A.; Nagaraju, Y.; Kumar, A.; Hamid, S.; Singh, H.V.; Minkina, T.; Rajput, V.D.; et al. ROS generated from biotic stress: Effects on plants and alleviation by endophytic microbes. Front. Plant Sci. 2022, 13, 1042936. [Google Scholar] [CrossRef]
- Faeth, S.H.; Fagan, W.F. Fungal endophytes: Cmmon host plant symbionts but uncommon mutualists. Integr. Comp. Biol. 2002, 42, 360–368. [Google Scholar] [CrossRef] [PubMed]
- Tian, P.; Kuang, Y.; Lin, W.H.; Wang, J.J.; Nan, Z.B. Shoot morphology and alkaloid content of epichlo endophyte—Festuca sinensis associations. Crop Pasture Sci. 2018, 69, 430–438. [Google Scholar]
- Ge, Q.; Zheng, J.; Hao, Z.; Liu, Y.; Li, M. Recent advances on reconstruction of climate and extreme events in China for the past 2000 years. J. Geogr. Sci. 2016, 26, 827–854. [Google Scholar] [CrossRef]
- Cui, G.W.; Ji, G.X.; Liu, S.Y.; Li, B.; Lian, L.; He, W.H.; Zhang, P. Physiological adaptations of Elymus dahuricus to high altitude on the Qinghai–Tibetan Plateau. Acta Physiol. Plant. 2019, 41, 115. [Google Scholar] [CrossRef]
- Hume, D.E.; Ryan, G.D.; Gibert, A.; Helander, M.; Mirlohi, A.; Sabzalian, M.R. Epichloë fungal endophytes for grassland ecosystems. In Sustainable Agriculture Reviews; Springer Interational Publishing: Cham, Switzerland, 2016; pp. 233–305. [Google Scholar]











| Site | Location | Elevation (m) | Longitude | Latitude | Endophyte Infection Rate (%) |
|---|---|---|---|---|---|
| 1 | Qinghai Tongren | 2438 | 102°05′07″ | 35°57′58″ | 50.0% |
| 2 | Qinghai Zeku | 2876 | 101°56′23″ | 35°33′24″ | 33.3% |
| 3 | Qinghai Gonghe | 3230 | 100°52′18″ | 36°20′17″ | 25.0% |
| Plant Height | Tiller Number | Biomass above Ground | Biomass below Ground | ||||||
|---|---|---|---|---|---|---|---|---|---|
| df | F-Value | P | F-Value | P | F-Value | P | F-Value | P | |
| C | 4 | 610.32 | 0.000 | 370.61 | 0.000 | 574.58 | 0.000 | 359.80 | 0.000 |
| E | 1 | 38.54 | 0.000 | 3.57 | 0.061 | 12.85 | 0.000 | 22.55 | 0.000 |
| S | 2 | 35.00 | 0.000 | 10.94 | 0.000 | 2.66 | 0.074 | 28.85 | 0.000 |
| C × E | 4 | 1.80 | 0.134 | 1.03 | 0.397 | 2.54 | 0.043 | 3.05 | 0.020 |
| C × S | 8 | 3.13 | 0.003 | 3.29 | 0.002 | 2.63 | 0.011 | 3.98 | 0.000 |
| E × S | 2 | 0.01 | 0.999 | 0.08 | 0.926 | 0.65 | 0.522 | 0.10 | 0.904 |
| C × E × S | 8 | 0.40 | 0.918 | 0.32 | 0.956 | 0.33 | 0.953 | 0.57 | 0.799 |
| MDA | Proline | ||||
|---|---|---|---|---|---|
| df | F-Value | P | F-Value | P | |
| C | 4 | 1235.72 | 0.000 | 30159.36 | 0.000 |
| E | 1 | 110.53 | 0.000 | 3072.03 | 0.000 |
| S | 2 | 170.57 | 0.000 | 24.43 | 0.000 |
| C × E | 4 | 6.46 | 0.000 | 1100.54 | 0.000 |
| C × S | 8 | 24.58 | 0.000 | 9.63 | 0.000 |
| E × S | 2 | 4.16 | 0.018 | 29.47 | 0.000 |
| C × E × S | 8 | 4.09 | 0.000 | 9.22 | 0.000 |
| SOD | POD | CAT | APX | ||||||
|---|---|---|---|---|---|---|---|---|---|
| df | F-Value | P | F-Value | P | F-Value | P | F-Value | P | |
| C | 4 | 4058.84 | 0.000 | 1256.79 | 0.000 | 5341.59 | 0.000 | 2404.36 | 0.000 |
| E | 1 | 924.71 | 0.000 | 51.19 | 0.000 | 167.26 | 0.000 | 121.47 | 0.000 |
| S | 2 | 117.61 | 0.000 | 21.12 | 0.000 | 64.68 | 0.000 | 6.82 | 0.002 |
| C × E | 4 | 141.48 | 0.000 | 9.89 | 0.000 | 39.80 | 0.000 | 22.83 | 0.000 |
| C × S | 8 | 39.56 | 0.000 | 3.26 | 0.002 | 37.58 | 0.000 | 21.21 | 0.000 |
| E × S | 2 | 5.16 | 0.007 | 5.98 | 0.003 | 13.47 | 0.000 | 0.21 | 0.811 |
| C × E × S | 8 | 9.85 | 0.000 | 2.73 | 0.009 | 3.56 | 0.001 | 7.20 | 0.000 |
Disclaimer/Publisher’s Note: The statements, opinions and data contained in all publications are solely those of the individual author(s) and contributor(s) and not of MDPI and/or the editor(s). MDPI and/or the editor(s) disclaim responsibility for any injury to people or property resulting from any ideas, methods, instructions or products referred to in the content. |
© 2024 by the authors. Licensee MDPI, Basel, Switzerland. This article is an open access article distributed under the terms and conditions of the Creative Commons Attribution (CC BY) license (https://creativecommons.org/licenses/by/4.0/).
Share and Cite
Shi, Q.; Simpson, W.R.; Li, Y.; Xu, C.; De, K.; Li, X. Epichloë bromicola Enhances Elymus dahucirus Plant Growth and Antioxidant Capacity under Cadmium Stress. Agronomy 2024, 14, 365. https://doi.org/10.3390/agronomy14020365
Shi Q, Simpson WR, Li Y, Xu C, De K, Li X. Epichloë bromicola Enhances Elymus dahucirus Plant Growth and Antioxidant Capacity under Cadmium Stress. Agronomy. 2024; 14(2):365. https://doi.org/10.3390/agronomy14020365
Chicago/Turabian StyleShi, Qian, Wayne R. Simpson, Yuling Li, Chengti Xu, Kejia De, and Xiuzhang Li. 2024. "Epichloë bromicola Enhances Elymus dahucirus Plant Growth and Antioxidant Capacity under Cadmium Stress" Agronomy 14, no. 2: 365. https://doi.org/10.3390/agronomy14020365
APA StyleShi, Q., Simpson, W. R., Li, Y., Xu, C., De, K., & Li, X. (2024). Epichloë bromicola Enhances Elymus dahucirus Plant Growth and Antioxidant Capacity under Cadmium Stress. Agronomy, 14(2), 365. https://doi.org/10.3390/agronomy14020365

