Variation of Nitrogen, Phosphorus, and Potassium Contents in Drip-Irrigated Cotton at Different Yield Levels under Combined Effects of Nitrogen, Phosphorus and Potassium
Abstract
1. Introduction
2. Materials and Methods
2.1. Experimental Site
2.2. Experimental Design and Field Management
2.3. Sample Collection and Determination
2.4. Data Analysis
3. Results
3.1. Descriptive Statistical Analysis of Samples with Different Yield Levels
3.2. Characteristics of N, P, and K Content and Distribution at Different Yield Levels
3.3. Variation Characteristics of N, P, and K Accumulations in Cotton at Different Yield Levels
3.4. Dynamic Changes of Cotton Nc/Pc, Nc/Kc, and Kc/Pc at Different Yield Levels
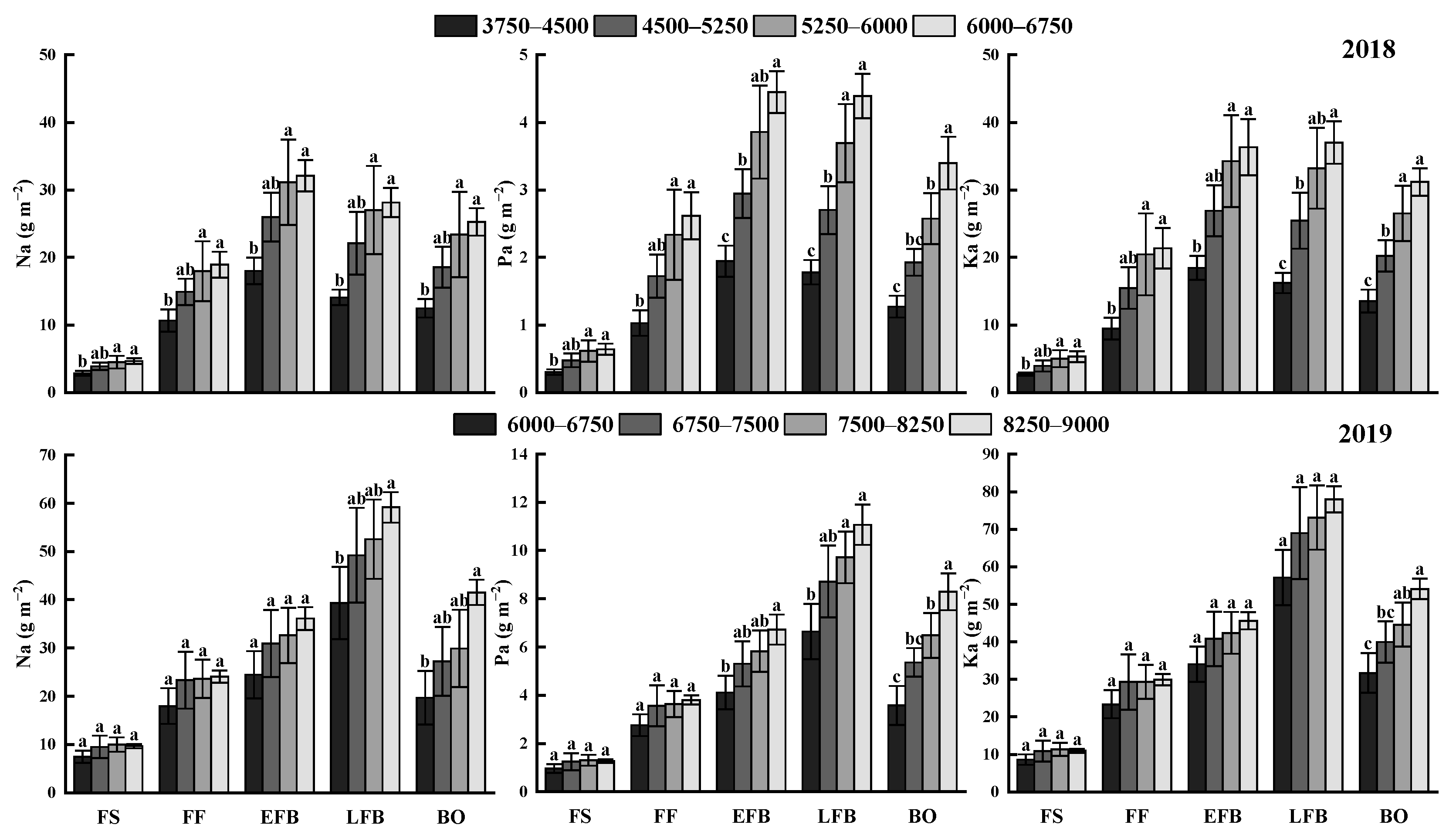
3.5. Dynamic Changes of Cotton Na/Pa, Na/Ka, and Ka/Pa at Different Yield Levels
3.6. Establishing Models of Seed Cotton Yield and Plant Nc/Pc, Nc/Kc
4. Discussion
5. Conclusions
Author Contributions
Funding
Data Availability Statement
Acknowledgments
Conflicts of Interest
References
- Fortucci, P. The contribution of cotton to economy and food security in developing countries. In Proceedings of the Conference on Cotton and Global Trade Negotiations Sponsored by the World Bank and ICAC, Washington, DC, USA, 8–9 July 2002; Volume 8, pp. 8–9. [Google Scholar]
- Li, M.; Du, Y.J.; Zhang, F.C.; Bai, Y.G.; Fan, J.L.; Zhang, J.H.; Chen, S.M. Simulation of cotton growth and soil water content under film-mulched drip irrigation using modified CSM-CROPGRO-cotton model. Agric. Water Manag. 2019, 218, 124–138. [Google Scholar] [CrossRef]
- Ahmad, I.; Zhou, G.; Zhu, G.L.; Ahmad, Z.; Song, X.D.; Hao, G.E.; Jamal, Y.; Ibrahim, M.E.H. Response of leaf characteristics of BT cotton plants to ratio of nitrogen, phosphorus, and potassium. Pak. J. Bot. 2021, 53, 873–881. [Google Scholar] [CrossRef] [PubMed]
- Wang, S.H.; Mao, L.L.; Shi, J.L.; Nie, J.J.; Sun, X.Z. Effects of plant density and nitrogen rate on cotton yield and nitrogen use in cotton stubble retaining fields. J. Integr. Agric. 2021, 20, 2090–2099. [Google Scholar] [CrossRef]
- Wen, M.; Zhao, W.; Guo, W.; Wang, X.J.; Li, P.B.; Cui, J.; Liu, Y.; Ma, F.Y. Coupling effects of reduced nitrogen, phosphorus and potassium on drip-irrigated cotton growth and yield formation in northern Xinjiang. Agron. Soil Sci. 2021, 68, 1239–1250. [Google Scholar] [CrossRef]
- Chen, J.; Lü, S.Y.; Zhang, Z.; Zhao, X.X.; Li, X.M.; Ning, P.; Liu, M.Z. Environmentally friendly fertilizers: A review of materials used and their effects on the environment. Sci. Total Environ. 2018, 613, 829–839. [Google Scholar] [CrossRef] [PubMed]
- Feng, L.; Dai, J.; Tian, L.; Zhang, H.; Li, W.; Dong, H. Review of the technology for high-yielding and efficient cotton cultivation in the northwest inland cotton-growing region of China. Field Crop. Res. 2017, 208, 18–26. [Google Scholar] [CrossRef]
- Wang, H.D.; Wu, L.F.; Cheng, M.H.; Fan, J.L.; Zhang, F.C.; Zou, Y.F.; Chau, H.W.; Guo, Z.J.; Wang, X.K. Coupling effects of water and fertilizer on yield, water and fertilizer use efficiency of drip-fertigated cotton in northern Xinjiang, China. Field Crop. Res. 2018, 219, 169–179. [Google Scholar] [CrossRef]
- Guang, J.; Wang, H.; Wang, H. Analysis on the relationship between fertilizer and sustainable agricultural development. Henan Agric. 2019, 4, 17–18, (In Chinese with English Abstract). [Google Scholar]
- Liu, Y.; Wen, M.; Li, M.H.; Zhao, W.Q.; Li, P.B.; Cui, J.; Ma, F.Y. Effects of reduced nitrogen application rate on drip-irrigated cotton dry matter accumulation and yield under different phosphorus and potassium managements. Agron. J. 2021, 113, 2524–2533. [Google Scholar] [CrossRef]
- Luo, Z.; Liu, H.; Li, W.; Zhao, Q.; Dai, J.; Tian, L.; Dong, H. Effects of reduced nitrogen rate on cotton yield and nitrogen use efficiency as mediated by application mode or plant density. Field Crop. Res. 2018, 218, 150–157. [Google Scholar] [CrossRef]
- Xue, X.; Wang, J.; Guo, W.; Chen, B.; Zhou, Z. Effect of nitrogen applied levels on the dynamics of biomass, nitrogen accumulation and nitrogen fertilization recovery rate of cotton after initial flowering. Acta Ecol. Sin. 2006, 26, 3631–3640. [Google Scholar]
- Wang, Y.Q.; Li, G.L.; Faz, Z.Q.; Gao, X.Q. Study on Monitoring Methods of Nitrogen Nutrition in Cotton Leaves Based on Android Platform. J. Comput. 2018, 13, 1272–1278. [Google Scholar] [CrossRef][Green Version]
- Schut, A.G.; Traore, P.C.S.; Blaes, X.; Rolf, A. Assessing yield and fertilizer response in heterogeneous smallholder fields with UAVs and satellites. Field Crop. Res. 2018, 221, 98–107. [Google Scholar] [CrossRef]
- Prasad, N.R.; Patel, N.R.; Danodia, A.; Manjunath, K.R. Comparative performance of semi-empirical based remote sensing and crop simulation model for cotton yield prediction. Earth Syst. Environ. 2021, 8, 1733–1747. [Google Scholar] [CrossRef]
- Mahajan, G.R.; Das, B.; Murgaokar, D.; Herrmann, I.; Berger, K.; Sahoo, R.N.; Patel, K.; Desai, A.; Morajkar, S.; Kulkarni, R.M. Monitoring the foliar nutrients status of mango using spectroscopy-based spectral indices and PLSR-combined machine learning models. Remote Sens. 2021, 13, 641. [Google Scholar] [CrossRef]
- Marang, I.J.; Filippi, P.; Weaver, T.B.; Evans, B.J.; Whelan, B.M.; Bishop, T.F.A.; Murad, M.O.F.; Shammari, D.; Roth, G. Machine Learning Optimised Hyperspectral Remote Sensing Retrieves Cotton Nitrogen Status. Remote Sens. 2021, 13, 1428. [Google Scholar] [CrossRef]
- Venterink, H.; Olde, W.J.M.; Verkroost, W.M.A.; De, R.C.P. Species richness-productivity patterns differ between N-, P-, and K-limited wetlands. Ecology 2003, 84, 2191–2199. [Google Scholar] [CrossRef]
- Schreeg, L.A.; Santiago, L.S.; Wright, S.J.; Turner, B.L. Stem, root, and older leaf N: P ratios are more responsive indicators of soil nutrient availability than new foliage. Ecology 2014, 95, 2062–2068. [Google Scholar] [CrossRef] [PubMed]
- Koerselman, W.; Meuleman, A.F.M. The vegetation N: P ratio: A new tool to detect the nature of nutrient limitation. J. Appl. Ecol. 1996, 33, 1441–1450. [Google Scholar] [CrossRef]
- Güsewell, S. N: P ratios in terrestrial plants: Variation and functional significance. New Phytol. 2004, 164, 243–266. [Google Scholar] [CrossRef] [PubMed]
- Lawniczak, A.E.; Güsewell, S.; Verhoeven, J.T.A. Effect of N: K supply ratios on the performance of three grass species from herbaceous wetlands. Basic Appl. Ecol. 2009, 10, 715–725. [Google Scholar] [CrossRef]
- Ahmad, I.; Zhou, G.; Zhu, G.L.; Ahmad, Z.; Song, X.D.; Jamal, Y.; Ibrahim, M.E.H.; Nimir, N.E.A. Response of boll development to macronutrients application in different cotton genotypes. Agronomy 2019, 9, 322. [Google Scholar] [CrossRef]
- Wu, K.N.; Zhao, R. Soil Texture Classification and Its Application in China. Acta Pedol. Sin. 2019, 56, 227–241, (In Chinese with English Abstract). [Google Scholar]
- Bremner, J.M.; Mulvancy, C.S. Nitrogen-total. In Methods of Soil Analysis, Part 2; Page, A.L., Miller, R.H., Keeney, D.R., Eds.; American Society of Agronomy: Madison, WI, USA, 1982; pp. 595–624. [Google Scholar]
- Xiang, X.L.; Wang, J.; Wang, G.H. Study on the determination of phosphorus in food based on vanadium molybdenum yellow colorimetric method. J. Green Sci. Technol. 2015, 4, 328–329, (In Chinese with English Abstract). [Google Scholar]
- Usovich, A.T.; Lavrik, N.G.; Mamchich, A.P. Use of flame photometry for the determination of sodium and potassium. Veterinariia 1975, 3, 111–112. [Google Scholar]
- Zhong, X.; Zhao, B.; Huang, M.; Hussain, H.A.; Hussain, S.; Cai, L.; Yan, H.; He, G.; Zhang, C. Comparison of growth and yield characteristics of mid-season hybrid rice under different yield levels. Agronomy 2020, 10, 1876. [Google Scholar] [CrossRef]
- Leite, J.M.; Ciampitti, I.A.; Mariano, E.; Vieira-Megda, M.X.; Trivelin, P.C. Nutrient partitioning and stoichiometry in unburnt sugarcane ratoon at varying yield levels. Front. Plant Sci. 2016, 7, 466. [Google Scholar] [CrossRef]
- Du, Y.X.; Li, X.G.; Zhang, Y.; Cheng, T.; Liu, X.J.; Tian, Y.C.; Zhu, Y.; Cao, W.X.; Cao, Q. Variation in nitrogen status indicators with grain yield level for winter wheat after rice. J. Plant Nutr. Fertil. 2010, 26, 1420–1429, (In Chinese with English Abstract). [Google Scholar]
- Dong, H.; Li, W.; Eneji, A.E.; Zhang, D. Nitrogen rate and plant density effects on yield and late-season leaf senescence of cotton raised on a saline field. Field Crop. Res. 2012, 126, 137–144. [Google Scholar] [CrossRef]
- Yang, G.; Chu, K.; Tang, H.; Nie, Y.; Zhang, X. Fertilizer 15N accumulation, recovery and distribution in cotton plant as affected by N rate and split. J. Integr. Agric. 2013, 12, 999–1007. [Google Scholar] [CrossRef]
- Yang, G.; Tang, H.; Nie, Y.; Zhang, X. Responses of cotton growth, yield, and biomass to nitrogen split application ratio. Eur. J. Agron. 2011, 35, 164–170. [Google Scholar] [CrossRef]
- Feng, W.; Yao, X.; Zhu, Y.; Tian, Y.C.; Cao, W.X. Monitoring leaf nitrogen status with hyperspectral reflectance in wheat. Eur. J. Agron. 2007, 28, 394–404. [Google Scholar] [CrossRef]
- Wang, H.; Wu, L.; Wang, X.; Zhang, S.H.; Cheng, M.H.; Feng, H.; Fan, J.L.; Zhang, F.C.; Xiang, Y.Z. Optimization of water and fertilizer management improves yield, water, nitrogen, phosphorus and potassium uptake and use efficiency of cotton under drip fertigation. Agric. Water Manag. 2021, 245, 106662. [Google Scholar] [CrossRef]
- Khan, A.; Wang, L.; Ali, S.; Tung, S.A.; Hafeez, A.; Yang, G. Optimal planting density and sowing date can improve cotton yield by maintaining reproductive organ biomass and enhancing potassium uptake. Field Crop. Res. 2017, 214, 164–174. [Google Scholar] [CrossRef]
- Xin, C.S.; Dong, H.Z.; Luo, Z.; Tang, W.; Zhang, D.M.; Li, W.J.; Kong, X.Q. Effects of N, P, and K fertilizer application on cotton growing in saline soil in yellow river delta. Acta Agron. Sin. 2010, 36, 1698–1706. [Google Scholar] [CrossRef]
- Blaise, D.; Singh, J.V.; Bonde, A.N.; Tekale, K.U.; Mayee, C.D. Effects of farmyard manure and fertilizers on yield, fibre quality and nutrient balance of rainfed cotton (Gossypium hirsutum). Bioresour. Technol. 2005, 96, 345–349. [Google Scholar] [CrossRef] [PubMed]
- Szczepaniak, W.; Grzebisz, W.; Potarzycki, J. An assessment of the effect of potassium fertilizing systems on maize nutritional status in critical stages of growth by plant analysis. J. Elementol. 2014, 19, 533–547. [Google Scholar] [CrossRef][Green Version]
- Niu, J.F.; Zhang, W.F.; Chen, X.P.; Li, C.J.; Zhang, F.S.; Jiang, L.H.; Liu, Z.H.; Xiao, K.; Assaraf, M.; Imas, P. Potassium fertilization on maize under different production practices in the north China plain. Agron. J. 2011, 103, 822–829. [Google Scholar] [CrossRef]
- Qiu, S.J.; Xie, J.G.; Zhao, S.C.; Xu, X.P.; Hou, Y.P.; Wang, X.F.; Zhou, W.; He, P.; Johnston, A.M.; Christie, P.; et al. Long-term effects of potassium fertilization on yield, efficiency, and soil fertility status in a rain-fed maize system in northeast China. Field Crop. Res. 2014, 163, 1–9. [Google Scholar] [CrossRef]
- Gaj, R.; Szulc, P.; Siatkowski, I.; Waligóra, H. Assessment of the effect of the mineral fertilization system on the nutritional status of maize plants and grain yield prediction. Agriculture 2020, 10, 404. [Google Scholar] [CrossRef]
- Gong, S.F.; Yang, T.; Chen, B.Y.; Ma, X.W.; Niu, X.X.; Lou, S.W. Regulation of nitrogen fertilizer management of cotton yield and nutrient uptake under the machine pick cotton pattern. Chin. Agric. Sci. Bull. 2015, 31, 145–151, (In Chinese with English Abstract). [Google Scholar]
- Xin, C.S.; Dong, H.Z.; Tang, W.; Zhang, D.M.; Luo, Z.; Li, W.J. Characteristics of nutrient assimilation and dry matter accumulation of Bt Cotton (Gossypium hirsutum L.) in coastal saline soil. Acta Agron. Sin. 2008, 34, 2033–2040. [Google Scholar] [CrossRef]
- Sireesha, A.; Ramalakshmi, C.S.; Sreelatha, T.; Usharani, T. Estimation of nutrient ratios in sugarcane leaf to assess the productivity of sugarcane in Visakhapatnam district of Andhra Pradesh, India. Pharma Innov. J. 2021, 10, 966–968. [Google Scholar]
- Fang, W.P.; Li, L.L.; Xie, D.Y.; Ma, Z.B.; Du, Y.F. Comparison of dry matter accumulation and N, P, K uptake and distribution in different organs and yield on hybrid cotton and conventional cotton. Plant Nutr. Fertil. Sci. 2009, 15, 1401–1406. [Google Scholar]
- Modhvadia, J.M.; Solanki, R.M.; Nariya, J.N.; Vadaria, K.N.; Rathod, A.D. Effect of different levels of nitrogen, phosphorus and potassium on growth, yield and quality of Bt cotton hybrid under irrigated conditions. J. Cotton Res. Dev. 2012, 26, 47–51. [Google Scholar]
- Xu, N.; Li, J. Evolution of nitrogen, phosphorus and potassium fertilizer application rates in cotton fields and its influences on cotton yield in the Yangtze river valley. Agric. Sci. Technol. 2014, 15, 1727–1729. [Google Scholar]
- Sui, N.; Zhou, Z.G.; Yu, C.R.; Liu, R.X.; Yang, C.Q.; Zhang, F.; Song, G.L.; Meng, Y.L. Yield and potassium use efficiency of cotton with wheat straw incorporation and potassium fertilization on soils with various conditions in the wheat-cotton rotation system. Field Crop. Res. 2015, 172, 132–144. [Google Scholar] [CrossRef]
- Tariq, M.; Afzal, M.N.; Muhammad, D.; Ahmad, S.; Shahzad, A.N.; Kiran, A.; Wakeel, A. Relationship of tissue potassium content with yield and fiber quality components of Bt cotton as influenced by potassium application methods. Field Crop. Res. 2018, 229, 37–43. [Google Scholar] [CrossRef]
- López, M.; De, C.A.; Gutiérrez, J.C.; Leidi, E.O. Nitrate and potassium concentrations in cotton petiole extracts as influenced by nitrogen fertilization, sampling date and cultivar. Span. J. Agric. Res. 2010, 8, 202–209. [Google Scholar] [CrossRef][Green Version]
- Feizien, D. The combined effect of biochar and mineral fertilizer on triticale yield, Soil properties under different tillage systems. Plants 2021, 11, 111. [Google Scholar]
- Zhang, H.M.; Yang, X.Y.; Xin, H.E.; Ming, X.U.; Huang, S.M.; Liu, H.; Wang, B.R. Effect of long-term potassium fertilization on crop yield and potassium efficiency and balance under wheat-maize rotation in China. Pedosphere 2011, 21, 154–163. [Google Scholar] [CrossRef]
- Kravchenko, A.N.; Thelen, K.D.; Bullock, D.G.; Miller, N.R. Relationship among crop grain yield, topography, and soil electrical conductivity studied with cross-correlograms. Agron. J. 2003, 95, 1132–1139. [Google Scholar] [CrossRef]
- Chi, J.B.; Huang, Z.W.; Huang, Y.P.; He, J.Y.; Yang, G.J.; Fan, Q.L. A Study of pattern of requirement of fertilizer in different cotton developmental stage under drip irrigation condition. Xinjiang Agric. Sci. 2009, 46, 327–331, (In Chinese with English Abstract). [Google Scholar]
- Wang, K.R.; Li, S.K.; Cao, L.P.; Song, G.J.; Chen, G.; Cao, S.Z. A Preliminary study on dynamics and models of N, P, K absorption in high yield cotton in Xinjiang. Sci. Agric. Sin. 2003, 36, 775–780, (In Chinese with English Abstract). [Google Scholar]
- Yao, Y.K.; Zhang, Y.; Hu, W.; Gao, Y.; Qi, Y.C.; Zeng, X.; Wen, Q.K. Effects of phosphorus application on biomass accumulation, distribution rate and yield of sea island cotton. Soil Fertil. Sci. China 2008, 5, 36–40, (In Chinese with English Abstract). [Google Scholar]






| Irrigation Date | Irrigation Amount (m3 ha−1) | N1 (kg ha−1) | N2 (kg ha−1) | N3 (kg ha−1) | N4 (kg ha−1) | PK-M1 (kg ha−1) | PK-M2 (kg ha−1) | PK-M3 (kg ha−1) | PK-M4 (kg ha−1) | |||||
|---|---|---|---|---|---|---|---|---|---|---|---|---|---|---|
| P | K | P | K | P | K | P | K | |||||||
| 2018 | 20 June | 580 | 63.3 | 50.3 | 37.4 | 24.4 | 54.0 | 48.6 | 13.5 | 12.2 | 27.0 | 24.3 | 40.5 | 36.3 |
| 1 July | 580 | 63.3 | 50.3 | 37.4 | 24.4 | 54.0 | 48.6 | 13.5 | 12.2 | 27.0 | 24.3 | 40.5 | 36.3 | |
| 11 July | 560 | 63.3 | 50.3 | 37.4 | 24.4 | - | - | 13.5 | 12.2 | 9.0 | 8.1 | 4.5 | 4.1 | |
| 20 July | 570 | 63.3 | 50.3 | 37.4 | 24.4 | - | - | 13.5 | 12.2 | 9.0 | 8.1 | 4.5 | 4.1 | |
| 30 July | 570 | 63.3 | 50.3 | 37.4 | 24.4 | - | - | 13.5 | 12.2 | 9.0 | 8.1 | 4.5 | 4.1 | |
| 8 August | 680 | 63.3 | 50.3 | 37.4 | 24.4 | - | - | 13.5 | 12.2 | 9.0 | 8.1 | 4.5 | 4.1 | |
| 17 August | 680 | 63.3 | 50.3 | 37.4 | 24.4 | - | - | 13.5 | 12.2 | 9.0 | 8.1 | 4.5 | 4.1 | |
| 24 August | 680 | 63.3 | 50.3 | 37.4 | 24.4 | - | - | 13.5 | 12.2 | 9.0 | 8.1 | 4.5 | 4.1 | |
| Total | 4900 | 506.4 | 402.4 | 299.2 | 195.2 | 108.0 | 97.2 | 108.0 | 97.6 | 108.0 | 97.2 | 108.0 | 97.2 | |
| 2019 | 14 June | 480 | 56.2 | 44.7 | 33.2 | 21.7 | 36.0 | 32.4 | 9.0 | 8.1 | 18.0 | 16.2 | 27.0 | 24.3 |
| 22 June | 480 | 56.2 | 44.7 | 33.2 | 21.7 | 36.0 | 32.4 | 9.0 | 8.1 | 18.0 | 16.2 | 27.0 | 24.3 | |
| 30 June | 520 | 56.2 | 44.7 | 33.2 | 21.7 | 36.0 | 32.4 | 9.0 | 8.1 | 18.0 | 16.2 | 27.0 | 24.3 | |
| 9 July | 520 | 56.2 | 44.7 | 33.2 | 21.7 | - | - | 13.5 | 12.2 | 9.0 | 8.1 | 4.5 | 4.1 | |
| 18 July | 520 | 56.2 | 44.7 | 33.2 | 21.7 | - | - | 13.5 | 12.2 | 9.0 | 8.1 | 4.5 | 4.1 | |
| 25 July | 630 | 56.2 | 44.7 | 33.2 | 21.7 | - | - | 13.5 | 12.2 | 9.0 | 8.1 | 4.5 | 4.1 | |
| 3 August | 630 | 56.2 | 44.7 | 33.2 | 21.7 | - | - | 13.5 | 12.1 | 9.0 | 8.1 | 4.5 | 4.0 | |
| 12 August | 630 | 56.2 | 44.7 | 33.2 | 21.7 | - | - | 13.5 | 12.1 | 9.0 | 8.1 | 4.5 | 4.0 | |
| 18 August | 490 | 56.2 | 44.7 | 33.2 | 21.7 | - | - | 13.5 | 12.1 | 9.0 | 8.1 | 4.5 | 4.0 | |
| Total | 4900 | 505.8 | 402.3 | 298.8 | 195.3 | 108.0 | 97.2 | 108.0 | 97.2 | 108.0 | 97.2 | 108.0 | 97.2 | |
| Year | Yield Level (kg ha−1) | Sample Size | Nc | Pc | Kc | ||||||
|---|---|---|---|---|---|---|---|---|---|---|---|
| Max | Min | CV (%) | Max | Min | CV (%) | Max | Min | CV (%) | |||
| 2018 | [3750–4500) | 10 | 34.0 | 15.3 | 30.3 | 4.9 | 1.1 | 48.2 | 30.2 | 16.5 | 20.8 |
| [4500–5250) | 25 | 44.2 | 17.2 | 28.5 | 6.6 | 1.4 | 45.1 | 40.8 | 19.7 | 20.2 | |
| [5250–6000) | 30 | 47.1 | 18.4 | 27.6 | 7.4 | 1.7 | 42.8 | 45.7 | 22.9 | 18.5 | |
| [6000–6750] | 15 | 42.3 | 20.6 | 43.8 | 7.4 | 2.1 | 40.8 | 44.3 | 25.6 | 16.0 | |
| 2019 | [6000–6750) | 20 | 42.5 | 11.0 | 35.7 | 7.4 | 1.3 | 42.6 | 47.6 | 21.1 | 22.0 |
| [6750–7500) | 20 | 49.1 | 13.1 | 33.7 | 8.1 | 2.2 | 36.6 | 52.1 | 23.7 | 21.0 | |
| [7500–8250) | 30 | 47.4 | 15.0 | 32.2 | 8.0 | 2.4 | 34.2 | 50.7 | 25.3 | 19.8 | |
| [8250–9000] | 10 | 45.6 | 20.1 | 29.2 | 7.9 | 2.8 | 33.6 | 49.0 | 29.5 | 18.9 | |
| 2018–2019 | Total | 160 | 49.1 | 11.0 | - | 8.1 | 1.1 | - | 52.1 | 16.5 | - |
| Ratio | Growth Stage | 2018 | 2019 | ||||||
|---|---|---|---|---|---|---|---|---|---|
| [3750–4500) | [4500–5250) | [5250–6000) | [6000–6750] | [6000–6750) | [6750–7500) | [7500–8250) | [8250–9000] | ||
| Nv/Nt | FS | 0.67 | 0.64 | 0.62 | 0.62 | 0.64 | 0.65 | 0.65 | 0.64 |
| FF | 0.67 | 0.63 | 0.62 | 0.62 | 0.63 | 0.63 | 0.64 | 0.63 | |
| EFB | 0.67 | 0.64 | 0.63 | 0.63 | 0.69 | 0.69 | 0.70 | 0.68 | |
| LFB | 0.73 | 0.70 | 0.68 | 0.68 | 0.75 | 0.75 | 0.75 | 0.71 | |
| BO | 0.71 | 0.70 | 0.68 | 0.66 | 0.74 | 0.70 | 0.69 | 0.61 | |
| Nr/Nt | FS | 0.33 | 0.36 | 0.38 | 0.38 | 0.36 | 0.35 | 0.35 | 0.36 |
| FF | 0.33 | 0.37 | 0.38 | 0.38 | 0.37 | 0.37 | 0.36 | 0.37 | |
| EFB | 0.33 | 0.36 | 0.37 | 0.37 | 0.31 | 0.31 | 0.30 | 0.32 | |
| LFB | 0.27 | 0.30 | 0.32 | 0.32 | 0.25 | 0.25 | 0.25 | 0.29 | |
| BO | 0.29 | 0.30 | 0.32 | 0.34 | 0.26 | 0.30 | 0.31 | 0.39 | |
| Pv/Pt | FS | 0.48 | 0.50 | 0.49 | 0.45 | 0.50 | 0.51 | 0.51 | 0.49 |
| FF | 0.47 | 0.52 | 0.52 | 0.48 | 0.56 | 0.57 | 0.57 | 0.55 | |
| EFB | 0.49 | 0.53 | 0.53 | 0.48 | 0.60 | 0.60 | 0.59 | 0.55 | |
| LFB | 0.47 | 0.53 | 0.54 | 0.50 | 0.63 | 0.62 | 0.60 | 0.56 | |
| BO | 0.50 | 0.55 | 0.55 | 0.49 | 0.57 | 0.55 | 0.51 | 0.45 | |
| Pr/Pt | FS | 0.52 | 0.50 | 0.51 | 0.55 | 0.50 | 0.49 | 0.49 | 0.51 |
| FF | 0.53 | 0.48 | 0.48 | 0.52 | 0.44 | 0.43 | 0.43 | 0.45 | |
| EFB | 0.51 | 0.47 | 0.47 | 0.52 | 0.40 | 0.40 | 0.41 | 0.45 | |
| LFB | 0.53 | 0.47 | 0.46 | 0.50 | 0.37 | 0.38 | 0.40 | 0.44 | |
| BO | 0.50 | 0.45 | 0.45 | 0.51 | 0.43 | 0.45 | 0.49 | 0.55 | |
| Kv/Kt | FS | 0.73 | 0.74 | 0.74 | 0.73 | 0.71 | 0.71 | 0.71 | 0.70 |
| FF | 0.73 | 0.75 | 0.74 | 0.72 | 0.73 | 0.73 | 0.73 | 0.72 | |
| EFB | 0.72 | 0.75 | 0.74 | 0.71 | 0.73 | 0.73 | 0.72 | 0.71 | |
| LFB | 0.73 | 0.74 | 0.74 | 0.71 | 0.73 | 0.74 | 0.73 | 0.70 | |
| BO | 0.74 | 0.75 | 0.74 | 0.71 | 0.79 | 0.77 | 0.75 | 0.70 | |
| Kr/Kt | FS | 0.27 | 0.26 | 0.26 | 0.27 | 0.29 | 0.29 | 0.29 | 0.30 |
| FF | 0.27 | 0.25 | 0.26 | 0.28 | 0.27 | 0.27 | 0.27 | 0.28 | |
| EFB | 0.28 | 0.25 | 0.26 | 0.29 | 0.27 | 0.27 | 0.28 | 0.29 | |
| LFB | 0.27 | 0.26 | 0.26 | 0.29 | 0.27 | 0.26 | 0.27 | 0.30 | |
| BO | 0.26 | 0.25 | 0.26 | 0.29 | 0.21 | 0.23 | 0.25 | 0.30 | |
| Yield Level (kg ha−1) | Leaf | Stem | Reproductive Organs | ||||||||||
|---|---|---|---|---|---|---|---|---|---|---|---|---|---|
| [3750–4500) | [4500–5250) | [5250–6000) | [6000–6750] | [3750–4500) | [4500–5250) | [5250–6000) | [6000–6750] | [3750–4500) | [4500–5250) | [5250–6000) | [6000–6750] | ||
| 2018 | FS | 13.34 ± 0.5 a | 11.03 ± 1.4 b | 9.86 ± 0.9 b | 10.08 ± 0.8 b | 5.52 ± 0.2 c | 5.52 ± 0.4 c | 5.21 ± 0.2 bc | 5.32 ± 0.1 bc | 4.44 ± 0.0 bc | 4.76 ± 0.7 bc | 4.53 ± 0.8 bc | 3.94 ± 0.2 d |
| FF | 14.98 ± 0.3 a | 11.57 ± 1.6 b | 9.96 ± 1.3 bc | 9.85 ± 1.2 bc | 8.87 ± 0.0 cd | 7.66 ± 0.2 de | 7.02 ± 0.6 def | 6.88 ± 0.6 ef | 5.53 ± 0.0 fg | 6.17 ± 1.1 efg | 5.72 ± 0.9 efg | 4.82 ± 0.3 g | |
| EFB | 15.16 ± 0.2 a | 13.60 ± 0.9 ab | 12.18 ± 1.1 b | 12.22 ± 0.7 b | 9.88 ± 0.7 c | 7.80 ± 0.2 d | 7.29 ± 0.7 d | 7.16 ± 0.8 df | 6.16 ± 0.0 df | 7.04 ± 1.4 df | 6.60 ± 1.1 df | 5.42 ± 0.2 f | |
| LFB | 17.12 ± 0.3 a | 14.49 ± 1.3 b | 12.42 ± 1.7 b | 12.31 ± 1.8 b | 9.75 ± 1.2 c | 8.69 ± 0.7 cd | 7.53 ± 0.8 cde | 7.22 ± 0.6 def | 4.97 ± 0.2 f | 5.93 ± 1.3 ef | 5.70 ± 1.2 ef | 4.87 ± 0.2 f | |
| BO | 20.79 ± 0.9 a | 17.39 ± 1.7 b | 15.39 ± 1.6 bc | 14.95 ± 1.3 bc | 14.07 ± 0.9 c | 11.38 ± 0.5 d | 10.02 ± 0.9 de | 9.36 ± 0.7 de | 7.64 ± 0.3 ef | 8.04 ± 1.5 ef | 7.77 ± 1.7 ef | 6.32 ± 0.4 f | |
| Yield level (kg ha−1) | [6000–6750) | [6750–7500) | [7500–8250) | [8250–9000] | [6000–6750) | [6750–7500) | [7500–8250) | [8250–9000] | [6000–6750) | [6750–7500) | [7500–8250) | [8250–9000] | |
| 2019 | FS | 9.65 ± 0.7 a | 9.16 ± 0.6 ab | 8.95 ± 0.3 b | 8.99 ± 0.3 ab | 5.45 ± 0.5 d | 5.98 ± 0.5 cd | 6.28 ± 0.1 c | 6.13 ± 0.1 c | 4.27 ± 0.1 e | 4.27 ± 0.2 e | 4.15 ± 0.1 e | 4.09 ± 0.0 e |
| FF | 9.41 ± 0.5 a | 9.09 ± 0.3 a | 9.08 ± 0.3 a | 9.01 ± 0.1 a | 4.47 ± 0.6 d | 4.56 ± 0.1 cd | 4.62 ± 0.1 cd | 4.77 ± 0.0 cd | 5.21 ± 0.3 bc | 5.49 ± 0.6 b | 5.26 ± 0.47 bc | 5.02 ± 0.0 bcd | |
| EFB | 10.44 ± 0.7 a | 9.81 ± 0.8 a | 9.89 ± 0.3 a | 10.37 ± 0.3 a | 3.47 ± 0.3 d | 3.71 ± 0.6 cd | 3.78 ± 0.4 cd | 3.69 ± 0.1 cd | 4.79 ± 0.1 b | 4.67 ± 0.5 b | 4.35 ± 0.2 bc | 4.20 ± 0.2 bcd | |
| LFB | 11.21 ± 0.3 a | 10.48 ± 0.8 b | 10.12 ± 0.3 b | 10.41 ± 0.1 b | 4.28 ± 0.7 cd | 4.60 ± 0.3 cd | 4.83 ± 0.2 c | 4.96 ± 0.0 c | 4.51 ± 0.3 cd | 4.27 ± 0.4 cd | 3.98 ± 0.4 d | 4.19 ± 0.2 cd | |
| BO | 10.98 ± 1.1 a | 9.60 ± 1.5 ab | 9.43 ± 0.5 ab | 9.83 ± 0.7 ab | 9.51 ± 1.6 ab | 8.12 ± 1.0 b | 7.97 ± 0.9 b | 8.50 ± 1.2 b | 4.83 ± 0.6 c | 4.61 ± 0.1 c | 4.15 ± 0.9 c | 4.72 ± 0.1 c | |
| Yield Level (kg ha−1) | Leaf | Stem | Reproductive Organs | ||||||||||
|---|---|---|---|---|---|---|---|---|---|---|---|---|---|
| [3750–4500) | [4500–5250) | [5250–6000) | [6000–6750] | [3750–4500) | [4500–5250) | [5250–6000) | [6000–6750] | [3750–4500) | [4500–5250) | [5250–6000) | [6000–6750] | ||
| 2018 | FS | 2.04 ± 0.0 a | 1.69 ± 0.2 b | 1.47 ± 0.2 bc | 1.47 ± 0.1 bc | 0.41 ± 0.0 d | 0.46 ± 0.0 d | 0.44 ± 0.0 d | 0.42 ± 0.0 d | 1.33 ± 0.0 c | 1.53 ± 0.2 bc | 1.52 ± 0.2 bc | 1.38 ± 0.1 bc |
| FF | 1.94 ± 0.0 a | 1.63 ± 0.2 ab | 1.42 ± 0.1 b | 1.43 ± 0.1 b | 0.53 ± 0.0 c | 0.49 ± 0.1 c | 0.46 ± 0.0 c | 0.45 ± 0.0 c | 1.51 ± 0.0 b | 1.65 ± 0.3 ab | 1.54 ± 0.2 b | 1.34 ± 0.0 b | |
| EFB | 1.77 ± 0.0 a | 1.56 ± 0.1 ab | 1.37 ± 0.1 bc | 1.35 ± 0.1 bc | 0.45 ± 0.0 d | 0.43 ± 0.0 d | 0.42 ± 0.0 d | 0.43 ± 0.0 d | 1.26 ± 0.0 c | 1.48 ± 0.2 bc | 1.42 ± 0.3 bc | 1.22 ± 0.0 c | |
| LFB | 1.57 ± 0.0 a | 1.39 ± 0.1 ab | 1.25 ± 0.1 b | 1.19 ± 0.1 bc | 0.35 ± 0.0 e | 0.35 ± 0.0 e | 0.33 ± 0.0 e | 0.33 ± 0.0 e | 0.90 ± 0.0 d | 0.99 ± 0.1 cd | 0.95 ± 0.2 d | 0.83 ± 0.0 d | |
| BO | 1.50 ± 0.0 a | 1.39 ± 0.1 ab | 1.25 ± 0.1 bc | 1.21 ± 0.1 bc | 0.38 ± 0.0 e | 0.37 ± 0.0 e | 0.36 ± 0.0 e | 0.35 ± 0.0 e | 1.01 ± 0.0 cd | 1.07 ± 0.1 cd | 1.03 ± 0.2 cd | 0.90 ± 0.0 d | |
| Yield level (kg ha−1) | [6000–6750) | [6750–7500) | [7500–8250) | [8250–9000] | [6000–6750) | [6750–7500) | [7500–8250) | [8250–9000] | [6000–6750) | [6750–7500) | [7500–8250) | [8250–9000] | |
| 2019 | FS | 1.32 ± 0.0 a | 1.26 ± 0.1 ab | 1.28 ± 0.0 a | 1.31 ± 0.0 a | 0.48 ± 0.0 d | 0.55 ± 0.1 d | 0.57 ± 0.0 d | 0.55 ± 0.0 d | 1.10 ± 0.0 c | 1.13 ± 0.0 bc | 1.11 ± 0.0 c | 1.12 ± 0.0 bc |
| FF | 1.28 ± 0.0 ab | 1.27 ± 0.0 abc | 1.29 ± 0.0 a | 1.28 ± 0.0 ab | 0.38 ± 0.1 d | 0.40 ± 0.0 d | 0.41 ± 0.0 d | 0.41 ± 0.0 d | 1.16 ± 0.0 bc | 1.22 ± 0.1 abc | 1.17 ± 0.1 abc | 1.14 ± 0.0 c | |
| EFB | 1.28 ± 0.0 b | 1.28 ± 0.0 b | 1.33 ± 0.1 ab | 1.40 ± 0.0 a | 0.27 ± 0.0 d | 0.32 ± 0.0 d | 0.33 ± 0.0 d | 0.32 ± 0.0 d | 0.84 ± 0.0 c | 0.87 ± 0.0 c | 0.85 ± 0.0 c | 0.87 ± 0.0 c | |
| LFB | 1.31 ± 0.0 ab | 1.26 ± 0.1 b | 1.34 ± 0.1 ab | 1.39 ± 0.0 a | 0.32 ± 0.1 e | 0.36 ± 0.0 e | 0.37 ± 0.0 e | 0.38 ± 0.0 e | 0.66 ± 0.0 d | 0.71 ± 0.1 cd | 0.70 ± 0.1 cd | 0.77 ± 0.0 c | |
| BO | 0.95 ± 0.0 abc | 0.93 ± 0.0 abcd | 0.96 ± 0.0 ab | 1.00 ± 0.0 a | 0.30 ± 0.0 e | 0.34 ± 0.0 e | 0.33 ± 0.0 e | 0.33 ± 0.0 e | 0.76 ± 0.1 d | 0.81 ± 0.1 bcd | 0.78 ± 0.1 cd | 0.89 ± 0.0 abcd | |
| Yield Level (kg ha−1) | Leaf | Stem | Reproductive Organs | ||||||||||
|---|---|---|---|---|---|---|---|---|---|---|---|---|---|
| [3750–4500) | [4500–5250) | [5250–6000) | [6000–6750] | [3750–4500) | [4500–5250) | [5250–6000) | [6000–6750] | [3750–4500) | [4500–5250) | [5250–6000) | [6000–6750] | ||
| 2018 | FS | 6.56 ± 0.4 c | 6.56 ± 0.3 c | 6.73 ± 0.2 c | 6.85 ± 0.1 c | 13.58 ± 0.5 a | 12.09 ± 0.9 b | 11.93 ± 1.0 b | 12.64 ± 0.1 b | 3.33 ± 0.1 d | 3.12 ± 0.1 d | 2.99 ± 0.1 d | 2.86 ± 0.0 d |
| FF | 7.73 ± 0.2 c | 7.10 ± 0.3 c | 7.01 ± 0.3 c | 6.88 ± 0.2 c | 16.77 ± 0.8 a | 15.46 ± 0.4 b | 15.17 ± 0.4 b | 15.12 ± 0.8 b | 3.66 ± 0.0 d | 3.74 ± 0.1 d | 3.72 ± 0.1 d | 3.59 ± 0.1 d | |
| EFB | 8.55 ± 0.3 c | 8.72 ± 0.2 c | 8.85 ± 0.2 c | 9.08 ± 0.3 c | 21.85 ± 0.6 a | 18.09 ± 0.9 b | 17.29 ± 0.6 b | 16.75 ± 1.1 b | 4.90 ± 0.0 d | 4.75 ± 0.3 d | 4.66 ± 0.3 d | 4.44 ± 0.0 d | |
| LFB | 10.92 ± 0.0 d | 10.41 ± 0.2 d | 9.92 ± 0.5 d | 10.29 ± 0.7 d | 27.83 ± 1.8 a | 25.34 ± 1.2 ab | 22.58 ± 1.3 bc | 21.59 ± 1.7 c | 5.54 ± 0.1 e | 5.97 ± 0.4 e | 6.04 ± 0.3 e | 5.89 ± 0.2 e | |
| BO | 13.83 ± 0.7 c | 12.48 ± 0.7 c | 12.36 ± 0.2 c | 12.34 ± 0.1 c | 37.60 ± 2.9 a | 31.15 ± 1.8 b | 27.89 ± 1.4 b | 27.03 ± 1.7 b | 7.58 ± 0.0 d | 7.50 ± 0.4 d | 7.61 ± 0.3 d | 7.01 ± 0.4 d | |
| Yield level (kg ha−1) | [6000–6750) | [6750–7500) | [7500–8250) | [8250–9000] | [6000–6750) | [6750–7500) | [7500–8250) | [8250–9000] | [6000–6750) | [6750–7500) | [7500–8250) | [8250–9000] | |
| 2019 | FS | 7.33 ± 0.4 b | 7.25 ± 0.2 b | 6.97 ± 0.1 b | 6.88 ± 0.1 b | 11.28 ± 0.5 a | 10.93 ± 0.8 a | 11.13 ± 0.6 a | 11.08 ± 0.1 a | 3.89 ± 0.1 c | 3.78 ± 0.0 c | 3.73 ± 0.0 c | 3.67 ± 0.0 c |
| FF | 7.36 ± 0.5 b | 7.19 ± 0.5 b | 7.03 ± 0.3 b | 7.05 ± 0.0 b | 11.73 ± 0.5 a | 11.33 ± 0.3 a | 11.28 ± 0.4 a | 11.60 ± 0.1 a | 4.51 ± 0.0 c | 4.50 ± 0.1 c | 4.51 ± 0.0 c | 4.39 ± 0.0 c | |
| EFB | 8.19 ± 0.5 c | 7.65 ± 0.3 c | 7.44 ± 0.2 c | 7.39 ± 0.3 c | 12.85 ± 0.3 a | 11.78 ± 0.6 b | 11.66 ± 0.5 b | 11.49 ± 0.0 b | 5.73 ± 0.2 d | 5.33 ± 0.3 de | 5.11 ± 0.1 de | 4.82 ± 0.2 e | |
| LFB | 8.57 ± 0.5 b | 8.30 ± 0.3 bc | 7.57 ± 0.6 cd | 7.48 ± 0.1 cd | 13.71 ± 0.2 a | 12.81 ± 0.8 a | 13.21 ± 0.5 a | 13.19 ± 0.1 a | 6.89 ± 0.5 de | 6.05 ± 0.2 ef | 5.70 ± 0.1 f | 5.41 ± 0.3 f | |
| BO | 11.60 ± 1.5 c | 10.30 ± 1.0 c | 9.80 ± 0.3 c | 9.87 ± 0.8 c | 31.83 ± 4.1 a | 24.70 ± 3.8 b | 24.07 ± 1.7 b | 25.61 ± 1.2 b | 6.58 ± 1.0 c | 5.64 ± 0.5 c | 5.31 ± 0.1 c | 5.30 ± 0.3 c | |
| Growth Stage | Seed Cotton Yield (kg ha−1) | ||||
|---|---|---|---|---|---|
| FS | FF | EFB | LFB | BO | |
| Nc | 0.63 ** | 0.22 | −0.03 | 0.45 ** | −0.1 |
| Pc | 0.81 ** | 0.81 ** | 0.87 ** | 0.88 ** | 0.82 ** |
| Kc | 0.86 ** | 0.79 ** | 0.75 ** | 0.64 ** | 0.62 ** |
| Nc/Pc | −0.68 ** | −0.85 ** | −0.90 ** | −0.89 ** | −0.91 ** |
| Nc/Kc | −0.87 ** | −0.89 ** | −0.83 ** | −0.58 ** | −0.78 ** |
| Kc/Pc | −0.2 | −0.80 ** | −0.90 ** | −0.88 ** | −0.67 ** |
Disclaimer/Publisher’s Note: The statements, opinions and data contained in all publications are solely those of the individual author(s) and contributor(s) and not of MDPI and/or the editor(s). MDPI and/or the editor(s) disclaim responsibility for any injury to people or property resulting from any ideas, methods, instructions or products referred to in the content. |
© 2024 by the authors. Licensee MDPI, Basel, Switzerland. This article is an open access article distributed under the terms and conditions of the Creative Commons Attribution (CC BY) license (https://creativecommons.org/licenses/by/4.0/).
Share and Cite
Chen, Y.; Wen, M.; Ma, X.; Guo, C.; Li, M.; Zhao, W.; Liu, Y.; Ma, F. Variation of Nitrogen, Phosphorus, and Potassium Contents in Drip-Irrigated Cotton at Different Yield Levels under Combined Effects of Nitrogen, Phosphorus and Potassium. Agronomy 2024, 14, 503. https://doi.org/10.3390/agronomy14030503
Chen Y, Wen M, Ma X, Guo C, Li M, Zhao W, Liu Y, Ma F. Variation of Nitrogen, Phosphorus, and Potassium Contents in Drip-Irrigated Cotton at Different Yield Levels under Combined Effects of Nitrogen, Phosphorus and Potassium. Agronomy. 2024; 14(3):503. https://doi.org/10.3390/agronomy14030503
Chicago/Turabian StyleChen, Yan, Ming Wen, Xuehua Ma, Chenli Guo, Minghua Li, Wenqing Zhao, Yang Liu, and Fuyu Ma. 2024. "Variation of Nitrogen, Phosphorus, and Potassium Contents in Drip-Irrigated Cotton at Different Yield Levels under Combined Effects of Nitrogen, Phosphorus and Potassium" Agronomy 14, no. 3: 503. https://doi.org/10.3390/agronomy14030503
APA StyleChen, Y., Wen, M., Ma, X., Guo, C., Li, M., Zhao, W., Liu, Y., & Ma, F. (2024). Variation of Nitrogen, Phosphorus, and Potassium Contents in Drip-Irrigated Cotton at Different Yield Levels under Combined Effects of Nitrogen, Phosphorus and Potassium. Agronomy, 14(3), 503. https://doi.org/10.3390/agronomy14030503
