Grafting Bell Pepper onto Local Genotypes of Capsicum spp. as Rootstocks to Alleviate Bacterial Wilt and Root-Knot Nematodes under Protected Cultivation
Abstract
1. Introduction
2. Materials and Methods
2.1. Experimental Plot and Plant Materials
2.2. Production of Grafted Seedlings
2.3. Nutrients and Pest Management
2.4. Inoculation of Pathogens
2.5. Measurements of Vegetative and Reproductive Growth
2.6. Fruit Yield and Physical Fruit Quality Parameters
2.7. Estimation of Enzyme Activity and Chlorophyll Content
2.8. Estimation of Nutrient Composition in Shoots and Roots
2.9. Cost of Grafted Seedlings
2.10. Experimental Design and Statistical Analyses
3. Results
3.1. Incidence of Bacterial Wilt and Root-Knot Nematodes
3.2. Vegetative and Reproductive Growth
3.3. Yield and Yield Contributing Parameters
3.4. Physical Fruit Quality Parameters
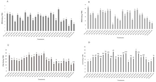
3.5. Antioxidant Enzyme Activity and Chlorophyll Content
3.6. Nutrients Acquisition
3.7. Cost of Grafted Seedling Production
4. Discussion
5. Conclusions
Author Contributions
Funding
Data Availability Statement
Conflicts of Interest
References
- Phani, V.; Khan, M.R.; Dutta, T.K. Plant-parasitic nematodes as a potential threat to protected agriculture: Current status and management options. Crop Prot. 2021, 144, 105573. [Google Scholar] [CrossRef]
- Nikki, B.; Sanjeev, K.; Chaudhari, V.L. Economic analysis of protected cultivation of bell Pepper (Capsicum annuum L.) in response to different PGRs under south Gujarat conditions. Indian J. Agric. Res. 2017, 51, 488–492. [Google Scholar]
- Diaz, M.D.M.G.; Martinez, C.M.L.; Pinera, A.H.; Alarcon, V.M.; Plasencia, A.L. Evaluation of repeated bio disinfestation using Brassica carinata pellets to control Meloidogyne incognita in protected pepper crops. Spanish J. Agric. Res. 2013, 2, 485–493. [Google Scholar] [CrossRef]
- Duan, X.; Liu, F.; Bi, H.; Ai, X. Grafting enhances bacterial wilt resistance in peppers. Agriculture 2022, 12, 583. [Google Scholar] [CrossRef]
- Gisbert, C.; Sanchez-Torres, P.; Raigon, M.D.; Nuez, F. Phytophthora capsici resistance evaluation in pepper hybrids: Agronomic performance and fruit quality of pepper grafted plants. J. Food. Agric. Environ. 2010, 8, 116–121. [Google Scholar]
- Mota, F.C.; Alves, G.C.S.; Giband, M.; Gomes, A.C.M.M.; Sousa, F.R.; Mattos, V.S.; Barbosa, V.H.S.; Barroso, P.A.V.; Nicole, M.; Peixoto, J.R.; et al. New sources of resistance to Meloidogyne incognita race 3 in wild cotton accessions and histological characterization of the defence mechanisms. Plant Pathol. 2013, 62, 1173–1183. [Google Scholar] [CrossRef]
- Rao, M.S.; Umamaheswari, R.; Chakravarthy, A.K.; Manojkumar, R.; Rajinikanth, R.; Chaya, M.K.; Priti, K.; Narayanaswamy, B. Nematode management in protected cultivation. IIHR Tech. Bull. 2015, 48, 1–10. [Google Scholar]
- Sharma, V.K.; Srivastava, A.; Mangal, M. Recent trends in sweet pepper breeding. In Accelerated Plant Breeding, Volume 2: Vegetable Crops; Springer: Cham, Switzerland, 2020; pp. 417–444. [Google Scholar]
- Babu, B.S.; Pandravada, S.R.; Rao, R.P.; Anitha, K.; Chakrabarty, S.K.; Varaprasad, K.S. Global sources of pepper genetic resources against arthropods, nematodes and pathogens. Crop Prot. 2011, 30, 389–400. [Google Scholar] [CrossRef]
- Parisi, M.; Alioto, D.; Tripodi, P. Overview of biotic stresses in pepper (Capsicum spp.): Sources of genetic resistance, molecular breeding and genomics. Int. J. Mol. Sci. 2020, 21, 2587. [Google Scholar] [CrossRef]
- Scott, J.W.; Wang, J.F.; Hanson, P.M. Breeding tomatoes for resistance to bacterial wilt, a global view. Acta Hortic. 2005, 695, 161–172. [Google Scholar] [CrossRef]
- Singh, H.; Kumar, P.; Kumar, A.; Kyriacou, M.C.; Colla, G.; Rouphael, Y. Grafting tomato as a tool to improve salt tolerance. Agronomy 2020, 10, 263. [Google Scholar] [CrossRef]
- Naik, S.A.T.S.; Hongal, S.; Harshavardhan, M.; Chandan, K.; Kumar, A.J.S.; Ashok; Kyriacou, M.C.; Rouphael, Y.; Kumar, P. Productive characteristics and fruit quality traits of cherry tomato hybrids as modulated by grafting on different Solanum spp. rootstocks under Ralstonia solanacearum infested greenhouse soil. Agronomy 2021, 11, 1311. [Google Scholar] [CrossRef]
- Sanwal, S.K.; Mann, A.; Kumar, A.; Kesh, H.; Kaur, G.; Rai, A.K.; Kumar, R.; Sharma, P.C.; Kumar, A.; Bahadur, A.; et al. Salt tolerant eggplant rootstocks modulate sodium partitioning in tomato scion and improve performance under saline conditions. Agriculture 2022, 12, 183. [Google Scholar] [CrossRef]
- Kumar, P.; Rouphael, Y.; Cardarelli, M.; Colla, G. Vegetable grafting as a tool to improve drought resistance and water use efficiency. Front. Plant Sci. 2017, 8, 1130. [Google Scholar] [CrossRef] [PubMed]
- Kumar, P.; Rouphael, Y.; Cardarelli, M.; Colla, G. Effect of nickel and grafting combination on yield, fruit quality, antioxidative enzyme activities, lipid peroxidation, and mineral composition of tomato. J. Plant Nutri. Soil Sci. 2015, 178, 848–860. [Google Scholar] [CrossRef]
- Kumar, P.; Khapte, P.S.; Saxena, A.; Singh, A.; Panwar, N.R.; Kumar, P. Intergeneric grafting for enhanced growth, yield and nutrient acquisition in greenhouse cucumber during winter. J. Environ. Biol. 2019, 40, 295–301. [Google Scholar] [CrossRef]
- VNR: Seeds. Available online: https://www.vnrseeds.com/wp-content/uploads/2021/08/VNR-Product-Catalogue-2020.pdf (accessed on 24 January 2024).
- Grube, R.C.; Zhang, Y.; Murphy, J.F.; Loaiza-Figueroa, F.; Lackney, V.K.; Provvidenti, R.; Jahn, M.K. New source of resistance to Cucumber mosaic virus in Capsicum frutescens. Plant Dis. 2000, 84, 885–891. [Google Scholar] [CrossRef] [PubMed]
- Di, D.F.; Parisi, M.; Cardi, T.; Tripodi, P. Genetic diversity and assessment of markers linked to resistance and pungency genes in Capsicum germplasm. Euphytica 2015, 204, 103–119. [Google Scholar]
- Mo, H.; Kim, S.; Wai, K.P.P.; Siddique, M.I.; Yoo, H.; Kim, B.S. New sources of resistance to Phytophthora capsici in Capsicum spp. Hortic. Environ. Biotechnol. 2014, 55, 50–55. [Google Scholar] [CrossRef]
- AVRDC. Available online: https://avrdc.org/seed/improved-lines/rootstock/ (accessed on 24 January 2024).
- Rana, S.; Kumar, P.; Sharma, P.; Singh, A.; Upadhyay, S.K. Evaluation of different rootstocks for bacterial wilt tolerance in bell pepper (Capsicum annuum (L.) var. grossum (Sendt.) under protected conditions. Himachal J. Agri. Res. 2015, 41, 100–103. [Google Scholar]
- Islam, M.A.; Sharma, S.S.; Sinha, P.; Negi, M.S.; Neog, B.; Tripathi, S.B. Variability in capsaicinoid content in different landraces of Capsicum cultivated in north-eastern India. Sci. Hortic. 2015, 183, 66–71. [Google Scholar] [CrossRef]
- Pawaskar, J.R.; Kadam, J.J.; Navathe, S.; Kadam, J.S. Response of chilli varieties and genotypes to bacterial wilt caused by Ralstonia solanacearum and its management. Indian J. Sci. 2014, 11, 66–69. [Google Scholar]
- Peter, K.V.; Goth, R.W.; Webb, R.E. Indian hot peppers as new sources of resistance to bacterial wilt, Phytophthora root rot, and root-knot nematode. Hortc. Sci. 1984, 19, 277–278. [Google Scholar] [CrossRef]
- Naik, S.A.T.S.; Hanchinamani, C.N.; Hongal, S.; Ponnam, N.; Manjunath, G.; Kumar, M.S.; Meti, S.; Kumar, P. Compatibility of Bell Pepper Hybrid with Different Chilli Rootstocks. Biol. Forum—Int. J. 2023, 15, 1217–1223. [Google Scholar]
- Changkwian, A.; Venkatesh, J.; Lee, J.H.; Han, J.W.; Kwon, J.K.; Siddique, M.I.; Solomon, A.M.; Choi, G.J.; Kim, E.; Seo, Y.; et al. Physical localization of the root-knot nematode (Meloidogyne incognita) resistance locus Me7 in pepper (Capsicum annuum). Front. Plant Sci. 2019, 10, 886. [Google Scholar] [CrossRef]
- Heald, C.M.; Bruton, B.D.; Davis, R.M. Influence of Glomus intradices and soil phosphorus on M. incognita infecting Cucumis melo. J. Nematol. 1989, 21, 69–73. [Google Scholar]
- Mimura, Y.; Yoshikawa, M.; Hirai, M. Pepper Accession LS2341 Is Highly Resistant to Ralstonia solanacearum Strains from Japan. HortScience 2009, 44, 2038–2040. [Google Scholar] [CrossRef]
- Winstead, N.N.; Kelman, A. Inoculation techniques for evaluating resistance to Pseudomonas solanacearum. Phytopathology 1952, 42, 623–634. [Google Scholar]
- Aslam, M.N.; Hussain, M.A.; Raheel, M. Assessment of resistance to bacterial wilt incited by Ralstonia solanacearum in tomato germplasm. J. Plant Dis. Prot. 2017, 124, 585–590. [Google Scholar] [CrossRef]
- Aebi, H. Catalase in vitro. Methods Enzymol. 1984, 105, 121–126. [Google Scholar]
- Lin, C.C.; Kao, C.H. Cell wall peroxidase activity hydrogen peroxide level and NaCl-inhibited root growth of rice seedlings. Plant Soil 2001, 230, 135–143. [Google Scholar] [CrossRef]
- Siriphanich, J.; Kader, A.A. Effects of CO2 on cinnamic acid 4- hydroxylase in relation to phenolic metabolism in lettuce tissue. J. Am. Soc. Hortic. Sci. 1985, 110, 333–335. [Google Scholar] [CrossRef]
- Godwin, B.D.; Vaduvatha, S.; Nair, P.M. Stabilization of phenylalanine ammonia-lyase containing Rhodotorula glutinis cells for the continuous synthesis of phenylalanine methyl ester. Enzyme Microb. Technol. 1996, 19, 421–427. [Google Scholar]
- Yoshida, S.D.; Foron, A.; Cock, J.H. Laboratory Manual for Physiological Studies of Rice; IRRI: Los Baños, Philippines, 1971; pp. 36–37. [Google Scholar]
- Kim, J.I.; Choi, D.R.; Cho, E.K.; Han, S.C. Influence of plant parasitic nematodes in occurrence of Phytophthora blight on hot pepper and sesame. Res. Rep. Rural. Dev. Adm. 1989, 31, 3127–3130. [Google Scholar]
- Tran, N.H.; Kim, B.S. Inheritance of resistance to bacterial wilt (Ralstonia solanacearum) in pepper (Capsicum annuum L.). Hort. Environ. Biotechnol. 2010, 51, 431–439. [Google Scholar]
- Wu, D.; Palada, M.C.; Luther, G.C. On-farm evaluation of pepper grafting technology for managing soil-borne diseases of sweet peppers during hot-wet season in highland tropics. Acta Hortic. 2012, 936, 119–124. [Google Scholar] [CrossRef]
- Kunwar, S.; Paret, M.L.; Olson, S.M.; Ritchie, L.; Rich, J.R.; Freeman, J.; Mcavoy, T. Grafting using rootstocks with resistance to Ralstonia solanacearum against Meloidogyne incognita in tomato production. Plant Dis. 2015, 99, 119–124. [Google Scholar] [CrossRef] [PubMed]
- Abebe, A.M.; Wai, K.P.P.; Siddique, M.I.; Mo, H.S.; Yoo, H.J.; Jegal, Y.; Byeon, S.E.; Jang, K.S.; Jeon, S.G.; Hwang, J.E.; et al. Evaluation of phytophthora root rot-and bacterial wilt-resistant inbred lines and their crosses for use as rootstocks in pepper (Capsicum annuum L.). Hortic. Environ. Biotechnol. 2016, 57, 598–605. [Google Scholar] [CrossRef]
- Nischay, P.K.; Ponnam, N.; Acharya, G.C.; Barik, S.; Sandeep, V.; Kumari, M.; Sahoo, G.S. Identification of potential chilli (Capsicum annuum L.) accession as a rootstock for managing bacterial wilt disease in bell pepper. Veg Sci. 2021, 48, 246–249. [Google Scholar]
- Morra, L.; Bilotto, M. Evaluation of new rootstocks for resistance to soil-borne pathogens and productive behaviour of pepper (Capsicum annuum L.). J. Hortic. Sci. Biotechnol. 2006, 81, 518–524. [Google Scholar] [CrossRef]
- Galvez, A.; Del, A.F.M.; Ros, C.; Lopez, M.J. New traits to identify physiological responses induced by different rootstocks after root-knot nematode inoculation (Meloidogyne incognita) in sweet pepper. J. Crop Prot. 2019, 119, 126–133. [Google Scholar] [CrossRef]
- Fernandez, C.; Hernandez, G.H.; Nunez-Colin, C.A.; Anaya-Lopez, J.L.; Villalobos-Reyes, S.; Castellanos, J.Z. Morphological response and fruit yield of sweet pepper (Capsicum annuum L.) grafted onto different commercial rootstocks. Biol. Agric. Hortic. 2013, 29, 1–11. [Google Scholar] [CrossRef]
- Lopez, P.J.A.; Le Strange, M.; Kaloshian, I.; Ploeg, A.T. Differential response of Mi gene-resistant tomato rootstocks to root-knot nematodes (Meloidogyne incognita). Crop Prot. 2008, 25, 382–388. [Google Scholar] [CrossRef]
- Kokalis, B.N.; Bausher, M.G.; Rosskopf, E.N. Greenhouse evaluation of Capsicum rootstocks for management of Meloidogyne incognita on grafted bell pepper. Nematropica 2009, 39, 121–132. [Google Scholar]
- Edelstein, M.; Plaut, Z.; Ben-Hur, M. Sodium and chloride exclusion and retention by non-grafted and grafted melon and Cucurbita plants. J. Exp. Bot. 2010, 62, 177–184. [Google Scholar] [CrossRef]
- Ruiz, J.M.; Belakbir, A.; Lopez-Cantarero, I.; Romero, L. Leaf-macronutrient content and yield in grafted melon plants. A model to evaluate the influence of rootstock genotype. Sci. Hortic. 1997, 71, 227–234. [Google Scholar] [CrossRef]
- Savvas, D.; Colla, G.; Rouphael, Y.; Schwarz, D. Amelioration of heavy metal and nutrient stress in fruit vegetables by grafting. Sci. Hortic. 2010, 127, 156–161. [Google Scholar] [CrossRef]
- Kato, T.; Lou, H. Effect of rootstocks on yield, mineral nutrition and hormonal level in xylem sap in eggplant. J. Jpn. Soc. Hortic. Sci. 1989, 58, 345–352. [Google Scholar] [CrossRef][Green Version]
- Colla, G.; Rouphael, Y.; Cardarelli, M.; Temperini, O.; Rea, E.; Salerno, A.; Pierandrei, F. Influence of grafting on yield and fruit quality of pepper (Capsicum annuum L.) grown under greenhouse conditions. Acta Hortic. 2008, 782, 359–364. [Google Scholar] [CrossRef]
- Saporta, R.; Gisbert, C. Growth and fruit production in pepper grafted on C. annuum, C. baccatum and C. pubescens genotypes. In Breakthroughs in the Genetics and Breeding of Capsicum and Eggplant, Proceedings of the XV EUCARPIA Meeting on Genetics and Breeding of Capsicum and Eggplant, Torino, Italy, 2–4 September 2013; Università degli Studi di Torino: Torino, Italy, 2013; pp. 641–644. [Google Scholar]
- Soltan, M.M.; Farouk, A.; Elaidy, D.; Joseph, C.; Scheerens, N.; Matthew, D.; Kleinhenz, N. Grafting, scion and rootstock effects on survival rate, vegetative growth and fruit yield of high tunnel-grown grafted pepper (Capsicum annuum L) plants. Adv. Crop Sci. Technol. 2017, 5, 312–319. [Google Scholar] [CrossRef]
- Soare, R.; Dinu, M.; Babeanu, C. The effect of using grafted seedlings on the yield and quality of tomatoes grown in greenhouses. J. Hortic. Sci. 2018, 45, 76–82. [Google Scholar] [CrossRef]
- Camposeco-Montejo, N.; Robledo-Torres, V.; Ramírez-Godina, F.; Mendoza-Villarreal, R.; Pérez-Rodríguez, M.Á.; Cabrera-de la Fuente, M. Response of bell pepper to rootstock and greenhouse cultivation in coconut fiber or soil. Agronomy 2018, 8, 111. [Google Scholar] [CrossRef]
- Jang, Y.; Yang, E.; Cho, M.; Um, Y.; Ko, K.; Chun, C. Effect of grafting on growth and incidence of Phytophthora blight and bacterial wilt of pepper (Capsicum annuum L.). Hortic. Environ. Biotechnol. 2011, 53, 9–19. [Google Scholar] [CrossRef]
- Orosco, A.B.E.; Nuez-Palenius, H.G.; Diaz-Serrano, F.; Perez-Moreno, L.; Valencia-Posadas, M.; Trejo-Tellez, L.I.; Cruz-Huerta, N.; Valiente-Banuet, J.I. Grafting improves salinity tolerance of bell pepper plants during greenhouse production. Hortic. Environ. Biotechnol. 2021, 62, 831–844. [Google Scholar] [CrossRef]
- Davis, A.R.; Perkins, V.P.; Sakata, Y.; Lopez-Galarza, S.; Maroto, J.V.; Lee, S.G.; Huh, Y.C.; Sun, Z.; Miguel, A.; King, S.R.; et al. Cucurbit grafting. CRC Crit. Rev. Plant Sci. 2008, 27, 50–74. [Google Scholar] [CrossRef]
- Bogoescu, M.; Doltu, M.; Sora, D.; Iordache, B. Grafting Bell Peppers an Alternative for Growers. Bull. Univ. Agric. Sci. Vet. Med. Cluj-Napoca. Hortic. 2019, 76, 19–24. [Google Scholar]
- Mullor, R.; Ceccanti, C.; Gara Padilla, Y.; Lopez-Galarza, S.; Calatayud, A.; Conte, G.; Guidi, L. Effect of grafting on the production, physico-chemical characteristics and nutritional quality of fruit from pepper landraces. Antioxidants 2020, 9, 501. [Google Scholar] [CrossRef] [PubMed]
- Alfaro, A.A.; Bethke, P.C.; Nienhuis, J. Effects of Interspecific Grafting Between Capsicum Species on Scion Fruit Quality Characteristics. HortScience 2021, 56, 1347–1353. [Google Scholar] [CrossRef]
- Ropokis, V.A.; Ntatsi, G.; Kittas, C.; Katsoulas, N.; Savvas, D. Effects of temperature and grafting on yield, nutrient uptake, and water use efficiency of a hydroponic sweet pepper crop. Agronomy 2019, 9, 110. [Google Scholar] [CrossRef]
- Kumar, P.; Shivani, R.; Parveen, S.; Amar, S.; Updhyay, S.K. Evaluation of chilli and brinjal rootstocks for growth, yield and quality of bell pepper (Capsicum annuum L. var. grossum Sendt.) under protected conditions. Agric. Res. J. 2016, 53, 180–183. [Google Scholar] [CrossRef]
- Rodriquez, M.M.; Bosland, P.W. Grafting Capsicum to tomato rootstocks. J. Young Investig. 2010, 20, 1–6. [Google Scholar]
- Zhang, Z.K.; Liu, S.Q.; Hao, S.Q.; Liu, H.S. Grafting increases the copper tolerance of cucumber seedlings by improvement of polyamine contents and enhancement of antioxidant enzymes activity. Agric. Sci. China 2010, 9, 985–994. [Google Scholar] [CrossRef]
- Xie, Y.; Tan, H.; Sun, G.; Li, H.; Liang, D.; Xia, H.; Wang, X.; Liao, M.A.; Deng, H.; Wang, J.; et al. Grafting alleviates cadmium toxicity and reduces its absorption by tomato. J. Soil Sci. Plant Nutr. 2020, 20, 2222–2229. [Google Scholar] [CrossRef]
- Duan, X.; Bi, H.G.; Li, T.; Wu, G.X.; Li, Q.M.; Ai, X.Z. Root characteristics of grafted peppers and their resistance to Fusarium solani. Biol. Plant. 2017, 61, 579–586. [Google Scholar] [CrossRef]
- Khapte, P.S.; Kumar, P.; Panwar, N.R.; Burman, U.; Rouphael, Y.; Kumar, P. Combined influence of grafting and type of protected environment structure on agronomic and physiological traits of single-and cluster-fruit-bearing cucumber hybrids. Agronomy 2021, 11, 1604. [Google Scholar] [CrossRef]



| Rootstock | Genotype/Cultivar | Species | Source |
|---|---|---|---|
| CRS-1 | CH-1 | Capsicum annuum | Collected from North Eastern states of India |
| CRS-2 | CH-2 | Capsicum annuum | |
| CRS-3 | CH-3 | Capsicum frutescens | |
| CRS-4 | CH-4 | Capsicum annuum | |
| CRS-5 | CH-5 | Capsicum annuum | |
| CRS-6 | CH-6 | Capsicum frutescens | |
| CRS-7 | CH-7 | Capsicum annuum | |
| CRS-8 | CH-8 | Capsicum frutescens | |
| CRS-9 | CH-9 | Capsicum chinense | |
| CRS-10 | CH-10 | Capsicum frutescens | |
| CRS-11 | CH-11 | Capsicum annuum | |
| CRS-12 | Hosanagara small | Capsicum frutescens | Local collection |
| CRS-13 | Hosanagara medium | Capsicum frutescens | |
| CRS-14 | Hosanagara white | Capsicum frutescens | |
| CRS-15 | Hosanagara black round | Capsicum annuum | |
| CRS-16 | Kashi Anmol | Capsicum annuum | IIVR, Varanasi, India |
| CRS-17 | Kashi Ratna | Capsicum annuum | |
| CRS-18 | Kashi Abha | Capsicum annuum | |
| CRS-19 | Solan Bharpur | Capsicum annuum | Solan (HP), India |
| CRS-20 | DKC 8 | Capsicum annuum | |
| CRS-21 | Sirsi big | Capsicum frutescens | Local collection |
| CRS-22 | Sirsi small | Capsicum frutescens | |
| CRS-23 | Bedrock RZ F1 | Capsicum annuum | Rijk Zwaan Seeds Pvt. Ltd., Bengaluru, India |
| CRS-24 | VNR-Garcia | Capsicum annuum | VNR Seeds Pvt. Ltd., Raipur, India |
| CRS-25 | Ujjwala | Capsicum annuum | KAU, Thrissur, India |
| Treatments | Bacterial Wilt X | Nematodes Z | |||
|---|---|---|---|---|---|
| PDI | Reaction | Percent Root Galls | RKI | Reaction | |
| MS on CRS-1 | 27.78 (31.69) ab | R | 0.00 (1.00) a | 1 | HR |
| MS on CRS-2 | 35.42 (36.51) bc | MR | 2.50 (1.87) cd | 2 | R |
| MS on CRS-3 | 73.21 (58.84) ef | S | 1.50 (1.58) b | 2 | R |
| MS on CRS-4 | 100.00 (90.00) g | S | 2.83 (1.96) cde | 2 | R |
| MS on CRS-5 | 83.33 (65.91) f | S | 3.50 (2.12) ef | 2 | R |
| MS on CRS-6 | 77.38 (61.80) ef | S | 2.17 (1.78) bc | 2 | R |
| MS on CRS-7 | 100.00 (90.00) g | S | 4.00 (2.12) ef | 2 | R |
| MS on CRS-8 | 22.22 (28.13) a | R | 0.00 (1.00) a | 1 | HR |
| MS on CRS-9 | 84.52 (66.85) f | S | 3.50 (2.12) ef | 2 | R |
| MS on CRS-10 | 78.57 (62.74) ef | S | 2.50 (1.87) cd | 2 | R |
| MS on CRS-11 | 33.33 (35.26) abc | MR | 0.00 (1.00) a | 1 | HR |
| MS on CRS-12 | 38.89 (38.54) bc | MR | 0.00 (1.00) a | 1 | HR |
| MS on CRS-13 | 33.33 (35.26) abc | MR | 0.00 (1.00) a | 1 | HR |
| MS on CRS-14 | 56.25 (48.62) d | S | 0.00 (1.00) a | 1 | HR |
| MS on CRS-15 | 44.44 (41.81) cd | MS | 0.00 (1.00) a | 1 | HR |
| MS on CRS-16 | 100.00 (90.00) g | S | 2.17 (1.78) bc | 2 | R |
| MS on CRS-17 | 68.75 (56.12) e | S | 3.17 (2.04) def | 2 | R |
| MS on CRS-18 | 100.00 (90.00) g | S | 3.17 (2.04) def | 2 | R |
| MS on CRS-19 | 76.19 (61.26) ef | S | 2.17 (1.78) bc | 2 | R |
| MS on CRS-20 | 84.52 (66.85) f | S | 1.50 (1.58) b | 2 | R |
| MS on CRS-21 | 38.89 (38.54) bc | MR | 0.00 (1.00) a | 1 | HR |
| MS on CRS-22 | 55.56 (48.19) d | S | 0.00 (1.00) a | 1 | HR |
| MS on CRS-23 | 83.33 (65.91) f | S | 4.00 (2.24) f | 2 | R |
| MS on CRS-24 | 33.33 (35.26) abc | MR | 0.00 (1.00) a | 1 | HR |
| MS on CRS-25 | 78.57 (62.74) ef | S | 2.83 (1.95) cde | 2 | R |
| Self-grafted MS | 100.00 (90.00) g | S | 8.67 (3.09) g | 2 | R |
| Non-grafted MS | 100.00 (90.00) g | S | 26.17 (5.21) h | 3 | MR |
| SEm± | 2.56 | 0.07 | |||
| CD | 7.44 ** | 0.21 ** | |||
| CV | 6.17 | 5.98 | |||
| Treatments | Plant Height (cm) | Scion Diameter (mm) | Rootstock Diameter (mm) | Graft Union Diameter (mm) | Number of Leaves | Dry Weight (g) | ||||||
|---|---|---|---|---|---|---|---|---|---|---|---|---|
| 90 DAT | 120 DAT | 90 DAT | 120 DAT | 90 DAT | 120 DAT | 90 DAT | 120 DAT | 90 DAT | 120 DAT | Shoots | Roots | |
| MS on CRS-1 | 76.57 c–h | 83.75 c–f | 76.57 c–h | 8.72 cde | 9.62 b–e | 10.84 ab | 10.41 a–e | 11.79 a–e | 33.08 d–h | 38.50 d–j | 13.44 k | 9.93 hi |
| MS on CRS-2 | 85.62 abc | 90.42 abc | 85.62 abc | 9.14 cde | 8.65 e–i | 9.97 abc | 10.03 c–g | 11.94 a–e | 35.50 cde | 39.58 c–i | 19.06 de | 11.71 def |
| MS on CRS-3 | 79.75 b–f | 90.75 abc | 79.75 b–f | 9.27 bcd | 7.79 g–k | 8.41 c–g | 9.23 e–h | 10.83 d–g | 28.08 ijk | 37.50 f–j | 16.58 fgh | 4.32 l |
| MS on CRS-4 | 82.50 bcd | 86.38 cde | 82.50 bcd | 9.85 bc | 8.64 e–i | 10.92 a | 10.58 a–e | 12.70 abc | 34.00 def | 42.00 b–h | 21.48 bc | 9.06 ij |
| MS on CRS-5 | 79.00 b–g | 88.07 bcd | 79.00 b–g | 8.23 d–g | 7.90 g–k | 8.91 cde | 8.91 e–h | 10.77 d–g | 35.75 cde | 44.16 a–e | 16.00 f–i | 8.09 j |
| MS on CRS-6 | 77.50 c–g | 87.64 bcd | 77.50 c–g | 7.80 efg | 10.17 bcd | 9.07 b–e | 11.46 abc | 10.63 d–h | 29.67 hij | 38.76 d–j | 21.66 b | 9.89 hi |
| MS on CRS-7 | 73.33 d–h | D | 73.33 d–h | D | 8.93 c–h | D | 10.05 b–g | D | 34.50 c–f | D | 17.79 ef | 10.54 gh |
| MS on CRS-8 | 88.33 ab | 90.00 abc | 88.33 ab | 10.00 abc | 10.26 bc | 11.45 a | 11.27 a–d | 13.41 a | 35.50 cde | 43.25 a–f | 16.81 fgh | 9.97 hi |
| MS on CRS-9 | 80.58 b–f | 86.00 cde | 80.58 b–f | 8.35 def | 9.14 c–g | 9.62 a–d | 10.15 b–g | 11.32 b–g | 33.50 d–g | 42.85 a–g | 14.04 ijk | 3.28 l–o |
| MS on CRS-10 | 66.75 hij | 73.25 e | 66.75 hij | 9.19 cde | 7.66 g–k | 11.07 a | 9.28 e–h | 12.72 ab | 27.75 jk | 35.00 ij | 11.50 l | 2.88 mno |
| MS on CRS-11 | 73.17 d–h | 80.00 c–f | 73.17 d–h | 8.23 d–g | 6.76 klm | 8.70 c–f | 8.36 gh | 10.93 c–g | 34.67 c–f | 44.75 abc | 17.06 fg | 12.74 bcd |
| MS on CRS-12 | 79.42 b–g | 85.75 cde | 79.42 b–g | 7.95 d–g | 8.33 e–j | 8.29 c–g | 9.43 d–h | 10.15 e–h | 34.00 def | 39.75 c–i | 19.03 de | 11.41 efg |
| MS on CRS-13 | 93.92 a | 100.67 a | 93.92 a | 8.31 d–g | 9.42 b–f | 10.07 abc | 10.33 b–f | 11.48 b–f | 39.83 a | 46.08 ab | 24.75 a | 13.81 b |
| MS on CRS-14 | 81.38 b–e | 86.33 cde | 81.38 b–e | 8.32 d–g | 8.02 f–k | 9.03 b–e | 9.43 d–h | 10.84 d–g | 34.17 def | 40.50 b–i | 16.92 fg | 10.77 fgh |
| MS on CRS-15 | 81.50 b–e | 98.25 ab | 81.50 b–e | 8.73 cde | 7.01 jkl | 8.52 c–g | 8.86 e–h | 10.78 d–g | 36.17 bcd | 38.25 e–j | 22.41 b | 13.25 bc |
| MS on CRS-16 | 46.50 k | D | 46.50 k | D | 6.02 lm | D | 10.26 b–g | D | 24.83 k | D | 13.64 k | 2.31 no |
| MS on CRS-17 | 60.13 j | 73.25 e | 60.13 j | 6.90 gh | 7.18 i–l | 6.85 g | 8.53 fgh | 9.60 ghi | 25.00 k | 33.25 j | 10.34 lm | 2.50 no |
| MS on CRS-18 | 61.50 ij | 83.55 c–f | 61.50 ij | 7.81 efg | 8.79 d–h | 9.65 a–d | 9.03 e–h | 11.02 b–g | 30.00 hij | 38.15 f–j | 14.86 h–k | 4.05 lm |
| MS on CRS-19 | 71.63 e–h | 80.00 c–f | 71.63 e–h | 6.35 h | 8.28 e–j | 6.90 fg | 9.06 e–h | 8.28 i | 31.25 f–i | 37.00 g–j | 13.88 jk | 3.11 mno |
| MS on CRS-20 | 58.25 j | 75.46 de | 58.25 j | 8.03 d–g | 5.55 m | 7.73 efg | 7.57 h | 10.34 e–h | 30.25 g–j | 36.18 hij | 16.98 fg | 5.56 k |
| MS on CRS-21 | 78.33 c–g | 82.50 c–f | 78.33 c–g | 7.96 d–g | 7.52 h–k | 8.00 d–g | 8.74 e–h | 9.88 f–i | 35.17 cde | 39.50 c–i | 21.93 b | 12.72 bcd |
| MS on CRS-22 | 69.42 ghi | 80.00 c–f | 69.42 ghi | 11.22 a | 11.63 a | 11.17 a | 12.18 a | 13.37 a | 30.17 g–j | 37.75 f–j | 20.83 bcd | 12.30 cde |
| MS on CRS-23 | 73.00 d–h | 90.50 abc | 73.00 d–h | 10.58 ab | 8.93 c–h | 11.04 a | 10.29 b–f | 11.95 a–e | 39.17 ab | 46.50 a | 20.85 bcd | 2.55 no |
| MS on CRS-24 | 76.08 c–h | 84.67 c–f | 76.08 c–h | 7.25 fgh | 6.56 klm | 7.51 efg | 8.03 h | 8.91 hi | 36.33 bcd | 44.33 a–d | 19.63 cde | 15.01 a |
| MS on CRS-25 | 70.78 fgh | 77.06 cde | 70.78 fgh | 9.88 bc | 10.62 ab | 9.80 a–d | 11.92 ab | 12.30 a–d | 37.75 abc | 43.25 a–f | 9.35 m | 2.06 o |
| Self-grafted MS | 78.88 b–g | D | 78.88 b–g | D | 9.67 b–e | D | 11.46 abc | D | 32.36 e–h | D | 15.79 f–j | 2.57 no |
| Non-grafted MS | 73.93 d–h | D | 73.93 d–h | D | 8.24 e–j | D | 9.27 e–h | D | 34.36 c–f | D | 15.11 g–k | 3.49 lmn |
| SEm± | 2.94 | 3.47 | 2.94 | 0.42 | 0.44 | 0.54 | 0.55 | 0.53 | 1.04 | 1.73 | 0.62 | 0.37 |
| CD | 8.52 ** | 10.16 ** | 8.52 ** | 1.22 ** | 1.27 ** | 1.59 ** | 1.61 ** | 1.54 ** | 3.03 ** | 5.07 ** | 1.79 ** | 1.08 ** |
| CV | 5.56 | 5.78 | 5.56 | 6.86 | 7.35 | 8.29 | 8.01 | 6.68 | 4.47 | 6.09 | 5.10 | 6.77 |
| Treatments | Days Taken to Flower (DAT) | Days Taken for First Fruit Harvest (DAT) | Number of Fruits (plant–1) | Average Fruit Weight (g) | Yield (kg plant–1) | Yield (kg m–2) | |
|---|---|---|---|---|---|---|---|
| First Flowering | 50 Percent Flowering | ||||||
| MS on CRS-1 | 41.00 abc | 49.00 bcd | 73.50 a | 14.67 e | 161.39 a | 2.37 b | 4.75 b |
| MS on CRS-2 | 44.33 c–g | 51.17 cde | 78.17 abc | 17.56 a | 135.45 b | 2.38 b | 4.77 b |
| MS on CRS-3 | 42.83 a–f | 49.00 bcd | 80.00 abc | 8.98 lm | 85.61 fgh | 0.77 hij | 1.54 h–k |
| MS on CRS-4 | 43.67 c–g | 49.50 bcd | 79.50 abc | 9.73 kl | 60.18 i | 0.59 j | 1.17 k |
| MS on CRS-5 | 44.33 c–g | 49.17 bcd | 82.50 c | 12.07 g | 108.45 cd | 1.31 e | 2.62 e |
| MS on CRS-6 | 45.00 d–g | 48.67 abc | 78.67 abc | 11.10 hij | 101.41 c–f | 1.12 efg | 2.25 efg |
| MS on CRS-7 | 43.83 c–g | 49.67 bcd | 80.17 abc | 8.85 lm | 84.05 gh | 0.74 hij | 1.49 ijk |
| MS on CRS-8 | 41.17 abc | 48.00 abc | 77.33 abc | 16.58 bcd | 167.94 a | 2.78 a | 5.57 a |
| MS on CRS-9 | 44.00 c–g | 50.83 cde | 82.00 bc | 8.94 lm | 98.01 c–g | 0.88 ghi | 1.75 g–j |
| MS on CRS-10 | 44.50 c–g | 50.33 cde | 78.33 abc | 8.11 m | 83.30 gh | 0.68 ij | 1.35 jk |
| MS on CRS-11 | 40.17 ab | 46.83 ab | 76.33 abc | 16.74 abc | 168.55 a | 2.82 a | 5.64 a |
| MS on CRS-12 | 42.17 a–f | 48.67 abc | 80.33 abc | 12.19 g | 134.31 b | 1.64 d | 3.27 d |
| MS on CRS-13 | 42.17 a–f | 48.67 abc | 79.83 abc | 13.68 f | 143.74 b | 1.96 c | 3.93 c |
| MS on CRS-14 | 41.83 a–e | 53.33 e | 81.50 bc | 15.72 d | 113.34 c | 1.78 cd | 3.56 cd |
| MS on CRS-15 | 41.67 a–d | 48.00 abc | 79.00 abc | 17.23 ab | 164.20 a | 2.83 a | 5.66 a |
| MS on CRS-16 | 45.50 fg | 51.00 cde | 82.50 c | 9.53 kl | 104.43 cde | 1.00 fgh | 1.99 f–i |
| MS on CRS-17 | 46.50 g | 52.17 de | 83.00 c | 10.43 jk | 160.17 a | 1.67 d | 3.34 d |
| MS on CRS-18 | 44.33 c–g | 49.33 bcd | 80.33 abc | 9.68 kl | 97.60 c–g | 0.95 f–i | 1.89 f–j |
| MS on CRS-19 | 44.00 c–g | 49.33 bcd | 81.50 bc | 11.91 gh | 88.11 e–h | 1.05 efg | 2.10 e–h |
| MS on CRS-20 | 43.67 c–g | 49.50 bcd | 79.83 abc | 10.91 ij | 91.85 d–g | 1.00 fgh | 2.01 f–i |
| MS on CRS-21 | 42.33 a–f | 47.83 abc | 77.83 abc | 15.95 cd | 111.39 c | 1.77 cd | 3.55 cd |
| MS on CRS-22 | 39.83 a | 45.67 a | 75.50 abc | 16.32 bcd | 71.61 hi | 1.17 ef | 2.34 ef |
| MS on CRS-23 | 41.67 a–d | 48.50 abc | 79.00 abc | 9.68 kl | 96.67 c–g | 0.94 f–i | 1.87 f–j |
| MS on CRS-24 | 45.50 fg | 50.67 cde | 80.67 abc | 16.76 abc | 134.90 b | 2.26 b | 4.52 b |
| MS on CRS-25 | 46.50 g | 52.17 de | 82.17 bc | 11.50 ghi | 80.99 gh | 0.93 f–i | 1.86 f–j |
| Self-grafted MS | 45.33 efg | 49.83 bcd | 79.33 abc | 5.41 n | 105.85 cd | 0.57 j | 1.14 k |
| Non-grafted MS | 43.50 b–g | 49.00 bcd | 74.50 ab | 3.10 o | 83.56 gh | 0.26 k | 0.52 l |
| SEm± | 1.02 | 0.96 | 2.28 | 0.30 | 5.06 | 0.09 | 0.17 |
| CD | 2.96 ** | 2.80 ** | 6.63 ** | 0.88 ** | 14.69 ** | 0.25 ** | 0.50 ** |
| CV | 3.33 | 2.76 | 4.07 | 3.58 | 6.37 | 8.53 | 8.53 |
| Treatments | Polar Diameter (mm) | Equatorial Diameter (mm) | Shape Index | Fruit Volume (cc) |
|---|---|---|---|---|
| MS on CRS-1 | 59.96 b | 67.90 abc | 0.88 fg | 160.33 a |
| MS on CRS-2 | 56.58 bcd | 65.65 a–d | 0.86 gh | 133.69 b |
| MS on CRS-3 | 54.57 b–e | 56.66 f–i | 0.97 d | 84.73 e–i |
| MS on CRS-4 | 48.04 fg | 51.63 ij | 0.91 ef | 60.14 j |
| MS on CRS-5 | 56.45 bcd | 57.23 f–i | 0.99 cd | 109.15 c |
| MS on CRS-6 | 53.66 b–f | 64.70 a–e | 0.84 hi | 100.17 cde |
| MS on CRS-7 | 50.81 c–g | 55.96 f–i | 0.90 ef | 82.41 ghi |
| MS on CRS-8 | 57.16 bc | 68.62 ab | 0.84 hi | 167.37 a |
| MS on CRS-9 | 54.44 b–e | 68.97 a | 0.81 ij | 97.73 c–g |
| MS on CRS-10 | 49.27 efg | 60.45 d–g | 0.82 ij | 83.10 f–i |
| MS on CRS-11 | 59.84 b | 59.95 d–h | 1.01 c | 167.28 a |
| MS on CRS-12 | 59.39 b | 65.12 a–e | 0.91 ef | 132.38 b |
| MS on CRS-13 | 70.04 a | 42.95 k | 1.76 b | 142.72 b |
| MS on CRS-14 | 47.70 fg | 58.32 e–i | 0.84 hi | 113.20 c |
| MS on CRS-15 | 72.68 a | 45.69 jk | 1.91 a | 162.02 a |
| MS on CRS-16 | 54.60 b–e | 62.03 b–f | 0.89 efg | 103.18 cd |
| MS on CRS-17 | 52.78 c–g | 60.64 d–g | 0.89 fg | 160.19 a |
| MS on CRS-18 | 41.25 h | 54.19 ghi | 0.78 kl | 97.42 c–g |
| MS on CRS-19 | 41.49 h | 51.83 ij | 0.77 l | 87.85 d–h |
| MS on CRS-20 | 47.66 fg | 59.67 d–h | 0.80 jk | 90.47 d–h |
| MS on CRS-21 | 52.11 c–g | 62.08 b–f | 0.84 hi | 110.54 c |
| MS on CRS-22 | 47.27 g | 53.08 hi | 0.89 efg | 71.69 ij |
| MS on CRS-23 | 47.08 g | 55.70 f–i | 0.84 hi | 98.50 c–f |
| MS on CRS-24 | 50.34 d–g | 61.02 c–g | 0.82 ij | 134.30 b |
| MS on CRS-25 | 49.62 efg | 57.48 f–i | 0.86 gh | 80.11 hi |
| Self-grafted MS | 52.16 c–g | 58.41 e–i | 0.89 efg | 106.45 c |
| Non-grafted MS | 56.61 bcd | 61.35 c–f | 0.92 e | 82.07 ghi |
| SEm± | 1.86 | 2.07 | 0.01 | 4.81 |
| CD | 5.41 ** | 6.02 ** | 0.03 ** | 13.96 ** |
| CV | 4.93 | 4.99 | 1.56 | 6.09 |
| Treatments | Shoots (mg g−1 Dry Weight) | Roots (mg g−1 Dry Weight) | ||||||||
|---|---|---|---|---|---|---|---|---|---|---|
| N | P | K | Ca | Mg | N | P | K | Ca | Mg | |
| MS on CRS-1 | 3.38 k | 2.77 e | 46.74 kl | 20.50 c | 4.92 e | 22.96 d | 0.92 f | 18.04 b | 8.26 j | 6.15 b |
| MS on CRS-2 | 4.00 j | 2.77 e | 23.47 p | 14.35 f | 6.15 d | 22.35 de | 1.74 a | 14.86 fg | 20.56 c | 4.92 d |
| MS on CRS-3 | 5.54 g | 1.64 jk | 40.39 m | 24.60 a | 12.30 a | 19.48 h | 0.62 i | 16.09 de | 18.51 d | 7.38 a |
| MS on CRS-4 | 3.38 k | 2.36 f | 45.31 l | 24.60 a | 4.92 e | 21.73 ef | 0.82 g | 17.22 c | 22.61 b | 2.46 f |
| MS on CRS-5 | 5.54 g | 2.46 f | 55.56 i | 22.55 b | 9.94 b | 20.40 g | 1.03 e | 14.97 f | 11.75 h | 5.54 c |
| MS on CRS-6 | 3.38 k | 1.85 i | 86.51 b | 18.45 d | 6.15 d | 20.60 g | 0.51 j | 16.20 de | 12.36 g | 4.92 d |
| MS on CRS-7 | 5.74 g | 3.18 d | 55.56 i | 20.50 c | 2.46 g | 24.60 c | 0.31 k | 12.71 j | 18.51 d | 6.15 b |
| MS on CRS-8 | 9.12 c | 2.15 g | 86.51 b | 14.35 f | 2.46 g | 21.73 ef | 0.92 f | 14.66 fg | 16.46 e | 2.46 f |
| MS on CRS-9 | 7.38 e | 1.03 m | 69.91 e | 12.30 g | 4.92 e | 21.22 fg | 0.21 l | 13.43 hij | 16.46 e | 3.69 e |
| MS on CRS-10 | 10.87 a | 2.46 f | 73.19 d | 14.35 f | 6.15 d | 24.09 c | 1.03 e | 14.97 f | 14.41 f | 2.46 f |
| MS on CRS-11 | 9.74 b | 1.74 ij | 29.52 no | 12.30 g | 6.15 d | 12.61 j | 1.13 d | 14.76 fg | 16.46 e | 4.92 d |
| MS on CRS-12 | 6.87 f | 1.03 m | 28.70 no | 12.30 g | 4.92 e | 13.74 i | 0.21 l | 12.71 j | 12.36 g | 2.46 f |
| MS on CRS-13 | 5.13 h | 1.23 l | 51.25 j | 10.25 h | 2.46 g | 6.87 m | 0.10 m | 16.09 de | 22.61 b | 6.15 b |
| MS on CRS-14 | 7.38 e | 1.03 m | 100.04 a | 12.30 g | 6.15 d | 5.74 no | 0.31 k | 14.15 gh | 18.51 d | 1.23 g |
| MS on CRS-15 | 8.61 d | 3.38 b | 41.41 m | 18.45 d | 8.61 c | 35.77 b | 1.44 c | 19.27 a | 24.66 a | 3.69 e |
| MS on CRS-16 | 5.13 h | 1.54 k | 59.04 h | 18.45 d | 6.15 d | 45.20 a | 1.03 e | 18.55 ab | 16.46 e | 3.69 e |
| MS on CRS-17 | 5.13 h | 1.23 l | 30.96 n | 12.30 g | 4.92 e | 4.51 p | 0.82 g | 18.04 b | 12.36 g | 1.23 g |
| MS on CRS-18 | 4.00 j | 1.85 i | 62.53 g | 8.20 i | 3.69 f | 8.61 l | 0.72 h | 13.53 hi | 10.31 i | 3.69 e |
| MS on CRS-19 | 6.87 f | 3.28 c | 64.78 fg | 16.40 e | 8.61 c | 8.00 l | 0.62 i | 14.66 fg | 16.46 e | 4.92 d |
| MS on CRS-20 | 5.13 h | 1.64 jk | 77.29 c | 12.30 g | 3.69 f | 12.61 j | 1.03 e | 14.15 gh | 18.51 d | 3.69 e |
| MS on CRS-21 | 3.38 k | 0.82 n | 56.38 i | 10.25 h | 1.23 h | 5.13 op | 0.21 l | 12.92 ij | 12.36 g | 3.69 e |
| MS on CRS-22 | 2.87 l | 1.13 lm | 23.58 p | 14.35 f | 3.69 f | 9.74 k | 0.21 l | 15.68 e | 16.46 e | 2.46 f |
| MS on CRS-23 | 8.61 d | 6.66 a | 27.88 o | 6.15 j | 2.46 g | 2.87 q | 0.82 g | 18.76 ab | 10.31 i | 4.92 d |
| MS on CRS-24 | 6.87 f | 1.54 k | 67.04 f | 14.35 f | 2.46 g | 8.00 l | 0.72 h | 13.53 hi | 16.46 e | 2.46 f |
| MS on CRS-25 | 2.26 m | 2.36 f | 62.73 g | 18.45 d | 4.92 e | 12.61 j | 0.82 g | 16.81 cd | 20.56 c | 2.46 f |
| Self-grafted MS | 4.00 j | 2.05 h | 48.79 k | 12.30 g | 6.15 d | 4.51 p | 1.44 c | 16.30 de | 18.51 d | 3.69 e |
| Non-grafted MS | 4.51 i | 1.13 lm | 48.59 k | 16.40 e | 2.46 g | 6.25 mn | 1.64 b | 18.96 a | 16.46 e | 2.46 f |
| SEm± | 0.09 | 0.03 | 0.85 | 0.23 | 0.08 | 0.27 | 0.01 | 0.23 | 0.19 | 0.06 |
| CD | 0.26 ** | 0.10 ** | 2.45 ** | 0.68 ** | 0.24 ** | 0.79 ** | 0.04 ** | 0.67 ** | 0.54 ** | 0.18 ** |
| CV | 2.22 | 2.37 | 2.20 | 2.16 | 2.30 | 2.46 | 2.37 | 2.09 | 1.62 | 2.23 |
| Graft Combinations | Cost per Seedling (INR Plant−1) |
|---|---|
| Local genotypes | 13.39 |
| Commercial hybrid | 15.07 |
| Self-grafted | 11.55 |
| Non-grafted | 7.50 |
Disclaimer/Publisher’s Note: The statements, opinions and data contained in all publications are solely those of the individual author(s) and contributor(s) and not of MDPI and/or the editor(s). MDPI and/or the editor(s) disclaim responsibility for any injury to people or property resulting from any ideas, methods, instructions or products referred to in the content. |
© 2024 by the authors. Licensee MDPI, Basel, Switzerland. This article is an open access article distributed under the terms and conditions of the Creative Commons Attribution (CC BY) license (https://creativecommons.org/licenses/by/4.0/).
Share and Cite
Naik, S.A.T.S.; Hongal, S.V.; Hanchinamani, C.N.; Manjunath, G.; Ponnam, N.; Shanmukhappa, M.K.; Meti, S.; Khapte, P.S.; Kumar, P. Grafting Bell Pepper onto Local Genotypes of Capsicum spp. as Rootstocks to Alleviate Bacterial Wilt and Root-Knot Nematodes under Protected Cultivation. Agronomy 2024, 14, 470. https://doi.org/10.3390/agronomy14030470
Naik SATS, Hongal SV, Hanchinamani CN, Manjunath G, Ponnam N, Shanmukhappa MK, Meti S, Khapte PS, Kumar P. Grafting Bell Pepper onto Local Genotypes of Capsicum spp. as Rootstocks to Alleviate Bacterial Wilt and Root-Knot Nematodes under Protected Cultivation. Agronomy. 2024; 14(3):470. https://doi.org/10.3390/agronomy14030470
Chicago/Turabian StyleNaik, Sanmathi A. T. S., Shivanand V. Hongal, Chandrashekhar N. Hanchinamani, Girigowda Manjunath, Naresh Ponnam, Mohan Kumar Shanmukhappa, Shankar Meti, Pratapsingh S. Khapte, and Pradeep Kumar. 2024. "Grafting Bell Pepper onto Local Genotypes of Capsicum spp. as Rootstocks to Alleviate Bacterial Wilt and Root-Knot Nematodes under Protected Cultivation" Agronomy 14, no. 3: 470. https://doi.org/10.3390/agronomy14030470
APA StyleNaik, S. A. T. S., Hongal, S. V., Hanchinamani, C. N., Manjunath, G., Ponnam, N., Shanmukhappa, M. K., Meti, S., Khapte, P. S., & Kumar, P. (2024). Grafting Bell Pepper onto Local Genotypes of Capsicum spp. as Rootstocks to Alleviate Bacterial Wilt and Root-Knot Nematodes under Protected Cultivation. Agronomy, 14(3), 470. https://doi.org/10.3390/agronomy14030470

