IPMCNet: A Lightweight Algorithm for Invasive Plant Multiclassification
Abstract
1. Introduction
2. Methods and Materials
2.1. Dataset
2.2. Proposed IPMCNet Model
2.2.1. DWBlock
2.2.2. Stem
2.2.3. Proposed Method
2.2.4. Attention Module
2.3. Loss Function
2.4. In-Field Detection System
3. Results and Discussion
3.1. Experimental Setup
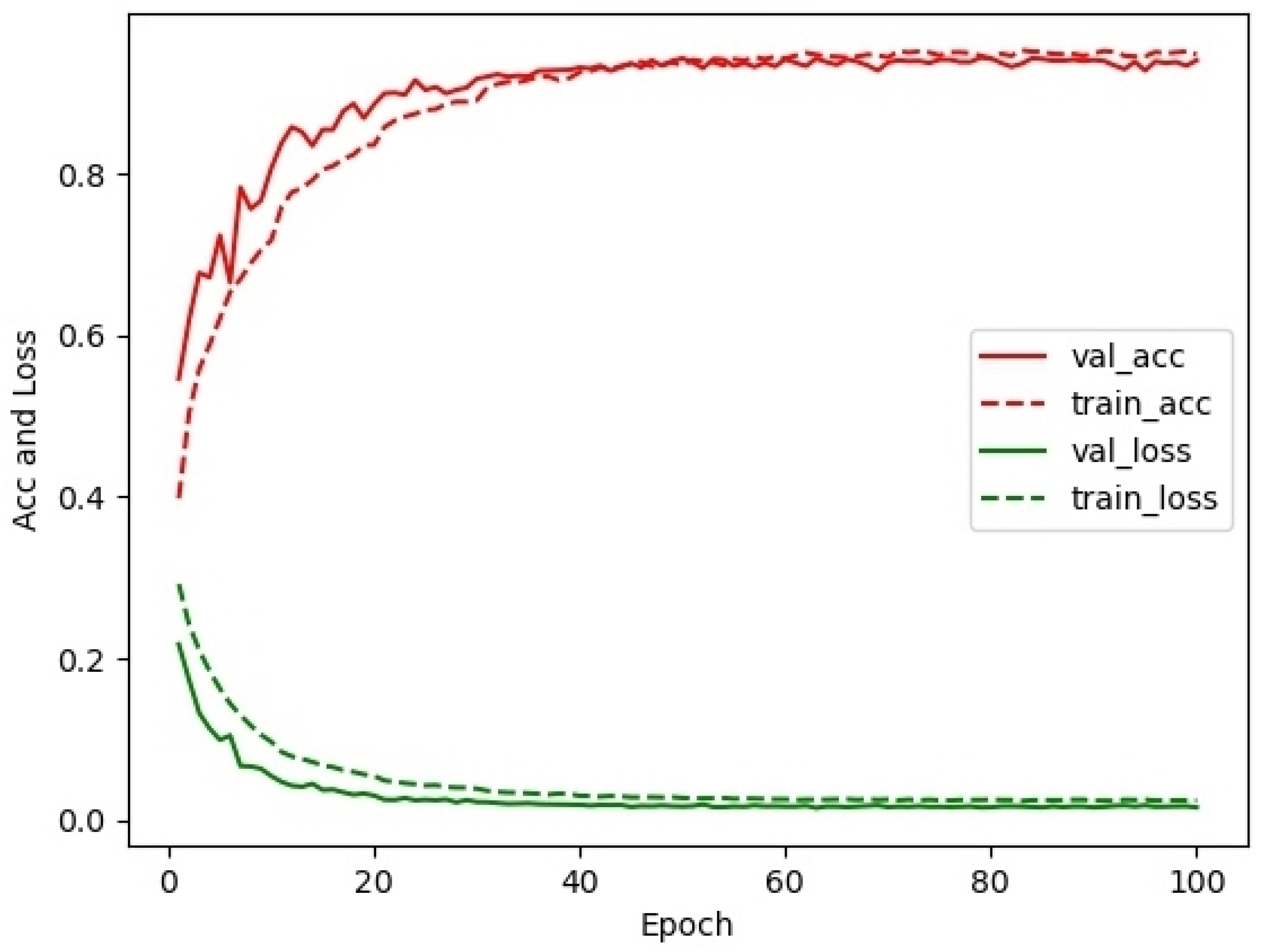
3.2. Evaluation of the Proposed Model
3.3. Comparative Analysis of the Different Models
3.4. Comparison of Results Using Different Loss Functions
3.5. Comparison of Results Using Different Attention Modules
3.6. Advantages and Improvements of IPMCNet
4. Conclusions
Author Contributions
Funding
Data Availability Statement
Acknowledgments
Conflicts of Interest
References
- Nguyen, D.T.C.; Tran, T.V.; Nguyen, T.T.T.; Nguyen, D.H.; Alhassan, M.; Lee, T. New frontiers of invasive plants for biosynthesis of nanoparticles towards biomedical applications: A review. Sci. Total Environ. 2023, 857, 159278. [Google Scholar] [CrossRef]
- Dyrmann, M.; Mortensen, A.K.; Linneberg, L.; Hoye, T.T.; Bjerge, K. Camera Assisted Roadside Monitoring for Invasive Alien Plant Species Using Deep Learning. Sensors 2021, 21, 6126. [Google Scholar] [CrossRef]
- Qian, W.Q.; Huang, Y.Q.; Liu, Q.; Fan, W.; Sun, Z.Y.; Dong, H.; Wan, F.H.; Qiao, X. UAV and a deep convolutional neural network for monitoring invasive alien plants in the wild. Comput. Electron. Agric. 2020, 174, 105519. [Google Scholar] [CrossRef]
- Wäldchen, J.; Rzanny, M.; Seeland, M.; Mäder, P. Automated plant species identification—Trends and future directions. PLoS Comput. Biol. 2018, 14, e1005993. [Google Scholar] [CrossRef] [PubMed]
- Chen, Y.; Huang, Y.; Zhang, Z.; Wang, Z.; Liu, B.; Liu, C.; Huang, C.; Dong, S.; Pu, X.; Wan, F.; et al. Plant image recognition with deep learning: A review. Comput. Electron. Agric. 2023, 212, 108072. [Google Scholar] [CrossRef]
- Jagan, K.; Balasubramanian, M.; Palanivel, S. Detection and Recognition of Diseases from Paddy Plant Leaf Images. Int. J. Comput. Appl. 2016, 144, 34–41. [Google Scholar] [CrossRef]
- Kaur, S.; Pandey, S.; Goel, S. Semi-automatic leaf disease detection and classification system for soybean culture. IET Image Process. 2018, 12, 1038–1048. [Google Scholar] [CrossRef]
- Krizhevsky, A.; Sutskever, I.; Hinton, G.E. ImageNet Classification with Deep Convolutional Neural Networks. Commun. Acm 2017, 60, 84–90. [Google Scholar] [CrossRef]
- Kalampokas, T.; Vrochidou, E.; Papakostas, G.A.; Pachidis, T.; Kaburlasos, V.G. Grape stem detection using regression convolutional neural networks. Comput. Electron. Agric. 2021, 186, 106220. [Google Scholar] [CrossRef]
- Too, E.C.; Li, Y.; Njuki, S.; Liu, Y. A comparative study of fine-tuning deep learning models for plant disease identification. Comput. Electron. Agric. 2019, 161, 272–279. [Google Scholar] [CrossRef]
- Rodrigues, L.; Magalhaes, S.A.; da Silva, D.Q.; dos Santos, F.N.; Cunha, M. Computer Vision and Deep Learning as Tools for Leveraging Dynamic Phenological Classification in Vegetable Crops. Agronomy 2023, 13, 463. [Google Scholar] [CrossRef]
- Gao, J.; French, A.P.; Pound, M.P.; He, Y.; Pridmore, T.P.; Pieters, J.G. Deep convolutional neural networks for image-based Convolvulus sepium detection in sugar beet fields. Plant Methods 2020, 16, 29. [Google Scholar] [CrossRef]
- Hassan, S.M.; Maji, A.K. Plant Disease Identification Using a Novel Convolutional Neural Network. IEEE Access 2022, 10, 5390–5401. [Google Scholar] [CrossRef]
- Saleem, M.H.; Potgieter, J.; Arif, K.M. Weed Detection by Faster RCNN Model: An Enhanced Anchor Box Approach. Agronomy 2022, 12, 1580. [Google Scholar] [CrossRef]
- Das, M.; Bais, A. DeepVeg: Deep Learning Model for Segmentation of Weed, Canola, and Canola Flea Beetle Damage. IEEE Access 2021, 9, 119367–119380. [Google Scholar] [CrossRef]
- Yuheng, S.; Hao, Y. Image Segmentation Algorithms Overview. arXiv 2017, arXiv:1707.02051. [Google Scholar]
- Li, S.; Li, B.; Li, J.; Liu, B.; Li, X. Semantic Segmentation Algorithm of Rice Small Target Based on Deep Learning. Agriculture 2022, 12, 1232. [Google Scholar] [CrossRef]
- Tang, Y.; Chen, M.; Wang, C.; Luo, L.; Li, J.; Lian, G.; Zou, X. Recognition and Localization Methods for Vision-Based Fruit Picking Robots: A Review. Front. Plant Sci. 2020, 11, 510. [Google Scholar] [CrossRef] [PubMed]
- Teimouri, N.; Dyrmann, M.; Nielsen, P.R.; Mathiassen, S.K.; Somerville, G.J.; Jorgensen, R.N. Weed Growth Stage Estimator Using Deep Convolutional Neural Networks. Sensors 2018, 18, 1580. [Google Scholar] [CrossRef]
- Darwin, B.; Dharmaraj, P.; Prince, S.; Popescu, D.E.; Hemanth, D.J. Recognition of Bloom/Yield in Crop Images Using Deep Learning Models for Smart Agriculture: A Review. Agronomy 2021, 11, 646. [Google Scholar] [CrossRef]
- Picon, A.; San-Emeterio, M.G.; Bereciartua-Perez, A.; Klukas, C.; Eggers, T.; Navarra-Mestre, R. Deep learning-based segmentation of multiple species of weeds and corn crop using synthetic and real image datasets. Comput. Electron. Agric. 2022, 194, 106719. [Google Scholar] [CrossRef]
- Ferentinos, K.P. Deep learning models for plant disease detection and diagnosis. Comput. Electron. Agric. 2018, 145, 311–318. [Google Scholar] [CrossRef]
- Xiong, Y.; Liang, L.; Wang, L.; She, J.; Wu, M. Identification of cash crop diseases using automatic image segmentation algorithm and deep learning with expanded dataset. Comput. Electron. Agric. 2020, 177, 105712. [Google Scholar] [CrossRef]
- Chen, D.; Lu, Y.; Li, Z.; Young, S. Performance evaluation of deep transfer learning on multi-class identification of common weed species in cotton production systems. Comput. Electron. Agric. 2022, 198, 107091. [Google Scholar] [CrossRef]
- Tan, M.; Chen, B.; Pang, R.; Vasudevan, V.; Sandler, M.; Howard, A.; Le, Q.V. MnasNet: Platform-Aware Neural Architecture Search for Mobile. In Proceedings of the IEEE/CVF Conference on Computer Vision and Pattern Recognition, Long Beach, CA, USA, 15–20 June 2019. [Google Scholar]
- Howard, A.; Sandler, M.; Chen, B.; Wang, W.; Chen, L.-C.; Tan, M.; Chu, G.; Vasudevan, V.; Zhu, Y.; Pang, R.; et al. Searching for MobileNetV3. In Proceedings of the 2019 IEEE/CVF International Conference on Computer Vision (ICCV), Seoul, Republic of Korea, 27 October–2 November 2019; pp. 1314–1324. [Google Scholar]
- He, K.; Zhang, X.; Ren, S.; Sun, J. Deep Residual Learning for Image Recognition. In Proceedings of the 2016 IEEE Conference on Computer Vision and Pattern Recognition (CVPR), Seattle, WA, USA, 27–30 June 2016; pp. 770–778. [Google Scholar]
- Zhang, N.; Wu, H.; Zhu, H.; Deng, Y.; Han, X. Tomato Disease Classification and Identification Method Based on Multimodal Fusion Deep Learning. Agriculture 2022, 12, 2014. [Google Scholar] [CrossRef]
- Lin, M.; Chen, Q.; Yan, S. Network In Network. arXiv 2014, arXiv:1312.4400v3. [Google Scholar]
- Ioffe, S.; Szegedy, C. Batch Normalization: Accelerating Deep Network Training by Reducing Internal Covariate Shift. arXiv 2015, arXiv:1502.03167. [Google Scholar]
- Xu, B.; Wang, N.; Chen, T.; Li, M. Empirical Evaluation of Rectified Activations in Convolutional Network. arXiv 2015, arXiv:1505.00853. [Google Scholar]
- Maas, A.L.; Hannun, A.Y.; Ng, A.Y. Rectifier nonlinearities improve neural network acoustic models. In Proceedings of the 30th International Conference on Machine Learning, Atlanta, GA, USA, 16–21 June 2013; p. 3. [Google Scholar]
- Chollet, F.c. Xception: Deep Learning with Depthwise Separable Convolutions. arXiv 2017, arXiv:1610.02357. [Google Scholar]
- Wang, C.Y.; Liao, H.Y.M.; Wu, Y.H.; Chen, P.Y.; Hsieh, J.W.; Yeh, I.H. CSPNet: A New Backbone that can Enhance Learning Capability of CNN. In Proceedings of the IEEE/CVF Conference on Computer Vision and Pattern Recognition (CVPR), Electr Network, Seattle, WA, USA, 14–19 June 2020; pp. 1571–1580. [Google Scholar]
- Xu, Y.; Zhao, B.; Zhai, Y.; Chen, Q.; Zhou, Y. Maize Diseases Identification Method Based on Multi-Scale Convolutional Global Pooling Neural Network. IEEE Access 2021, 9, 27959–27970. [Google Scholar] [CrossRef]
- Hu, J.; Shen, L.; Albanie, S.; Sun, G.; Wu, E. Squeeze-and-Excitation Networks. IEEE Trans. Pattern Anal. Mach. Intell. 2020, 42, 2011–2023. [Google Scholar] [CrossRef] [PubMed]
- Wang, Q.; Wu, B.; Zhu, P.; Li, P.; Zuo, W.; Hu, Q. ECA-Net: Efficient Channel Attention for Deep Convolutional Neural Networks. In Proceedings of the 2020 IEEE/CVF Conference on Computer Vision and Pattern Recognition (CVPR), Seattle, WA, USA, 13–19 June 2020; pp. 11531–11539. [Google Scholar]
- Zhang, Q.L.; Yang, Y.B. SA-Net: Shuffle Attention for Deep Convolutional Neural Networks. In Proceedings of the ICASSP 2021—2021 IEEE International Conference on Acoustics, Speech and Signal Processing (ICASSP), Toronto, ON, Canada, 6–11 June 2021; pp. 2235–2239. [Google Scholar]
- Liu, Y.; Shao, Z.; Teng, Y.; Hoffmann, N. NAM: Normalization-based Attention Module. arXiv 2021, arXiv:2111.12419. [Google Scholar]
- Hou, Q.B.; Zhou, D.Q.; Feng, J.S. Coordinate Attention for Efficient Mobile Network Design. In Proceedings of the IEEE/CVF Conference on Computer Vision and Pattern Recognition (CVPR), Electr Network, Virtual, 19–25 June 2021; pp. 13708–13717. [Google Scholar]
- Woo, S.; Park, J.; Lee, J.-Y. CBAM: Convolutional Block Attention Module. arXiv 2018, arXiv:1807.06521v2. [Google Scholar]
- Lin, T.-Y.; Goyal, P.; Girshick, R.; He, K.; Doll\’ar, P. Focal Loss for Dense Object Detection. arXiv 2018, arXiv:1708.02002. [Google Scholar]
- Kingma, D.; Ba, J. Adam: A Method for Stochastic Optimization. arXiv 2014, arXiv:1412.6980. [Google Scholar]
- Tan, M.; Le, Q.V. EfficientNet: Rethinking Model Scaling for Convolutional Neural Networks. arXiv 2020, arXiv:1905.11946v5. [Google Scholar]
- Liu, Z.; Mao, H.; Wu, C.-Y.; Feichtenhofer, C.; Darrell, T.; Xie, S. A ConvNet for the 2020s. In Proceedings of the 2022 IEEE/CVF Conference on Computer Vision and Pattern Recognition (CVPR), New Orleans, LA, USA, 18–24 June 2022; pp. 11966–11976. [Google Scholar]
- Iandola, F.; Han, S.; Moskewicz, M.; Ashraf, K.; Dally, W.; Keutzer, K. SqueezeNet: AlexNet-level accuracy with 50x fewer parameters and <0.5 MB model size. arXiv 2016, arXiv:1602.07360. [Google Scholar]
- Zhang, X.; Zhou, X.; Lin, M.; Sun, J. ShuffleNet: An Extremely Efficient Convolutional Neural Network for Mobile Devices. In Proceedings of the 2018 IEEE/CVF Conference on Computer Vision and Pattern Recognition (CVPR), Salt Lake City, UT, USA, 18–23 June 2018; pp. 6848–6856. [Google Scholar]
- Selvaraju, R.R.; Cogswell, M.; Das, A.; Vedantam, R.; Parikh, D.; Batra, D. Grad-CAM: Visual Explanations from Deep Networks via Gradient-Based Localization. Int. J. Comput. Vis. 2020, 128, 336–359. [Google Scholar] [CrossRef]
- Ren, S.; He, K.; Girshick, R.; Sun, J. Faster R-CNN: Towards Real-Time Object Detection with Region Proposal Networks. arXiv 2016, arXiv:1506.01497. [Google Scholar] [CrossRef]












| Name | Source | Num | Name | Source | Num | ||
|---|---|---|---|---|---|---|---|
| 0 | Bidens Pilosa L. | D | 400 | 17 | Sonchus oleraceus L. | P | 389 |
| 1 | Pistia stratiotes L. | P | 411 | 18 | Lantana camara L. | D | 382 |
| 2 | Eupatorium odoratum L. | D | 400 | 19 | Sphagneticola trilobata (L.) Pruski | P | 400 |
| 3 | Erigeron acris L. | D | 400 | 20 | Galinsoga parviflora Cav. | P | 400 |
| 4 | Oenothera rosea L’Hér. ex Aiton. | P | 53 | 21 | Cabomba caroliniana A. Gray | P | 258 |
| 5 | Eichhornia crassipes (Mart.) Solms | P | 400 | 22 | Mikania micrantha Kunth in Humb. et al. | D | 336 |
| 6 | Mimosa bimucronata (DC.) Kuntze | D | 600 | 23 | Amaranthus caudatus L. | P | 273 |
| 7 | Mimosa pudica L. | P | 400 | 24 | Ipomoea cairica (L.) Sweet | P | 400 |
| 8 | Melinis repens (Willd.) Zizka | D | 400 | 25 | Erigeron canadensis L. | P | 400 |
| 9 | Myriophyllum verticillatum L. | D | 400 | 26 | Euphorbia cyathophora Murr. | P | 81 |
| 10 | Spartina alterniflora Loisel. | D | 400 | 27 | Erigeron annuus (L.) Pers. | P | 400 |
| 11 | Flaveria bidentis (L.) Kuntze | P | 89 | 28 | Parthenium hysterophorus L. | P | 400 |
| 12 | Ageratum conyzoides L. | P | 149 | 29 | Cuscuta campestris Yunck. | P | 400 |
| 13 | Nicandra physalodes (L.) Gaertn. | P | 400 | 30 | Ipomoea purpurea (L.) Roth | P | 400 |
| 14 | Synedrella nodiflora (L.) Gaertn. | P | 222 | 31 | Tithonia diversifolia (Hemsl.) A. Gray | P | 400 |
| 15 | Solanum aculeatissimum Jacquem. | P | 400 | 32 | Crotalaria pallida Blanco | P | 400 |
| 16 | Alternanthera philoxeroides (Mart.) Griseb. | D | 400 | 33 | Ageratina adenophora (Spreng.) R. M. King and H. Ro | P | 382 |
| Total | 12,025 | ||||||
| Source | Diagram | Size | Shooting Angle | Images Quantity |
|---|---|---|---|---|
| Plant Photo Bank of China | ![]() | Various | Various | Some species have less than 100 images |
| Drone | ![]() | 224 × 224 | Directly above | Each species has more than 300 images |
| Species | Num | Pr. (%) | Re. (%) | Sp. (%) | Acc. (%) |
|---|---|---|---|---|---|
| Bidens Pilosa L. | 80 | 98.77 | 100.00 | 99.96 | 99.96 |
| Pistia stratiotes L. | 83 | 96.25 | 92.77 | 99.87 | 99.62 |
| Eupatorium odoratum L. | 80 | 100.00 | 98.75 | 100.00 | 99.96 |
| Erigeron acris L. | 80 | 100.00 | 100.00 | 100.00 | 100.00 |
| Oenothera rosea L’Hér. ex Aiton. | 11 | 100.00 | 90.91 | 100.00 | 99.96 |
| Eichhornia crassipes (Mart.) Solms | 80 | 100.00 | 95.00 | 100.00 | 99.83 |
| Mimosa bimucronata (DC.) Kuntze | 80 | 100.00 | 98.75 | 100.00 | 99.96 |
| Mimosa pudica L. | 80 | 95.00 | 95.00 | 99.83 | 99.66 |
| Melinis repens (Willd.) Zizka | 80 | 100.00 | 100.00 | 100.00 | 100.00 |
| Myriophyllum verticillatum L. | 80 | 100.00 | 100.00 | 100.00 | 100.00 |
| Spartina alterniflora Loisel. | 80 | 100.00 | 100.00 | 100.00 | 100.00 |
| Flaveria bidentis (L.) Kuntze | 18 | 73.68 | 77.78 | 99.79 | 99.62 |
| Ageratum conyzoides L. | 30 | 75.76 | 83.33 | 99.66 | 99.45 |
| Nicandra physalodes (L.) Gaertn. | 80 | 96.25 | 96.25 | 99.87 | 99.75 |
| Synedrella nodiflora (L.) Gaertn. | 45 | 80.00 | 88.89 | 99.57 | 99.37 |
| Solanum aculeatissimum Jacquem. | 80 | 87.34 | 86.25 | 99.56 | 99.11 |
| Alternanthera philoxeroides (Mart.) Griseb. | 80 | 98.77 | 100.00 | 99.96 | 99.96 |
| Sonchus oleraceus L. | 78 | 92.50 | 94.87 | 99.74 | 99.58 |
| Lantana camara L. | 77 | 100.00 | 100.00 | 100.00 | 100.00 |
| Sphagneticola trilobata (L.) Pruski | 80 | 97.30 | 90.00 | 99.91 | 99.58 |
| Galinsoga parviflora Cav. | 80 | 96.25 | 96.25 | 99.87 | 99.75 |
| Cabomba caroliniana A. Gray | 52 | 84.75 | 96.15 | 99.61 | 99.54 |
| Mikania micrantha Kunth in Humb. et al. | 68 | 100.00 | 100.00 | 100.00 | 100.00 |
| Amaranthus caudatus L. | 55 | 94.83 | 100.00 | 99.87 | 99.87 |
| Ipomoea cairica (L.) Sweet | 80 | 95.24 | 100.00 | 99.83 | 99.83 |
| Erigeron canadensis L. | 80 | 86.30 | 78.75 | 99.56 | 98.86 |
| Euphorbia cyathophora Murr. | 17 | 89.47 | 100.00 | 99.92 | 99.92 |
| Erigeron annuus (L.) Pers. | 80 | 98.75 | 98.75 | 99.96 | 99.92 |
| Parthenium hysterophorus L. | 80 | 78.57 | 96.25 | 99.08 | 98.99 |
| Cuscuta campestris Yunck. | 80 | 100.00 | 97.50 | 100.00 | 99.92 |
| Ipomoea purpurea (L.) Roth | 80 | 100.00 | 92.50 | 100.00 | 99.75 |
| Tithonia diversifolia (Hemsl.) A. Gray | 80 | 84.71 | 90.00 | 99.43 | 99.11 |
| Crotalaria pallida Blanco | 80 | 91.30 | 78.75 | 99.74 | 99.03 |
| Ageratina adenophora (Spreng.) R. M. King and H. Ro | 77 | 92.65 | 81.82 | 99.78 | 99.20 |
| Avg (UAV) | 78 | 99.75 | 99.75 | 99.99 | 99.98 |
| Avg (Plant Photo Bank of China) | 66 | 91.12 | 91.57 | 99.77 | 99.55 |
| Avg (Total) | 70 | 93.66 | 93.98 | 99.83 | 99.68 |
| Loss Function | Top1-acc (%) |
|---|---|
| Focal Loss | 94.52 |
| Cross Entropy Loss | 93.38 |
| Negative Log Likelihood Loss | 89.75 |
| Multi-Margin Loss | 70.94 |
Disclaimer/Publisher’s Note: The statements, opinions and data contained in all publications are solely those of the individual author(s) and contributor(s) and not of MDPI and/or the editor(s). MDPI and/or the editor(s) disclaim responsibility for any injury to people or property resulting from any ideas, methods, instructions or products referred to in the content. |
© 2024 by the authors. Licensee MDPI, Basel, Switzerland. This article is an open access article distributed under the terms and conditions of the Creative Commons Attribution (CC BY) license (https://creativecommons.org/licenses/by/4.0/).
Share and Cite
Chen, Y.; Qiao, X.; Qin, F.; Huang, H.; Liu, B.; Li, Z.; Liu, C.; Wang, Q.; Wan, F.; Qian, W.; et al. IPMCNet: A Lightweight Algorithm for Invasive Plant Multiclassification. Agronomy 2024, 14, 333. https://doi.org/10.3390/agronomy14020333
Chen Y, Qiao X, Qin F, Huang H, Liu B, Li Z, Liu C, Wang Q, Wan F, Qian W, et al. IPMCNet: A Lightweight Algorithm for Invasive Plant Multiclassification. Agronomy. 2024; 14(2):333. https://doi.org/10.3390/agronomy14020333
Chicago/Turabian StyleChen, Ying, Xi Qiao, Feng Qin, Hongtao Huang, Bo Liu, Zaiyuan Li, Conghui Liu, Quan Wang, Fanghao Wan, Wanqiang Qian, and et al. 2024. "IPMCNet: A Lightweight Algorithm for Invasive Plant Multiclassification" Agronomy 14, no. 2: 333. https://doi.org/10.3390/agronomy14020333
APA StyleChen, Y., Qiao, X., Qin, F., Huang, H., Liu, B., Li, Z., Liu, C., Wang, Q., Wan, F., Qian, W., & Huang, Y. (2024). IPMCNet: A Lightweight Algorithm for Invasive Plant Multiclassification. Agronomy, 14(2), 333. https://doi.org/10.3390/agronomy14020333



