Temperature Matters More than Fertilization for Straw Decomposition in the Soil of Greenhouse Vegetable Field
Abstract
1. Introduction
2. Materials and Methods
2.1. Experimental Site Description and Soil Sampling
2.2. Laboratory Incubation
2.3. Soil Extracellular Enzyme Activity (EEA) Analysis
2.4. Soil Carbon Dioxide (CO2) Measurement and Calculation
2.5. Soil Physicochemical Analysis
2.6. Statistical Analysis
3. Results
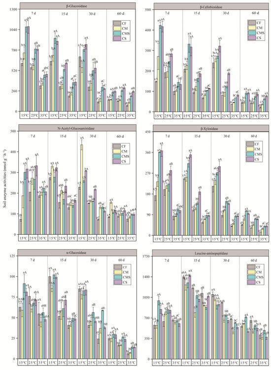
3.1. Soil Enzyme Activities during Straw Decomposition
3.2. Principal Component Analysis of Soil Enzyme Activity during Straw Decomposition
3.3. Soil CO2 Emission Fluxes during Straw Decomposition
3.4. Temperature Sensitivity of Soil CO2 Cumulative Emissions during Straw Decomposition
3.5. The Relationships among Incubation Temperatures, Fertilization Treatments, Soil Physicochemical Properties, Enzyme Activities, and CO2 Emissions
4. Discussion
4.1. Effects of Fertilization Treatments on Straw Decomposition
4.2. Effects of Incubation Temperatures on Straw Decomposition
5. Conclusions
Author Contributions
Funding
Data Availability Statement
Conflicts of Interest
References
- Guo, T.; Zhang, Q.; Song, D.; Ai, C.; Zhang, S.; Yue, K.; Huang, S.; Zhou, W. Varying microbial utilization of straw-derived carbon with different long-term fertilization regimes explored by DNA stable-isotope probing. Eur. J. Soil Biol. 2022, 108, 103379. [Google Scholar] [CrossRef]
- Zhu, H.; Wu, J.; Huang, D.; Zhu, Q.; Liu, S.; Su, Y.; Wei, W.; Syers, J.K.; Li, Y. Improving fertility and productivity of a highly-weathered upland soil in subtropical China by incorporating rice straw. Plant Soil 2010, 331, 427–437. [Google Scholar] [CrossRef]
- Kamble, P.N.; Gaikwad, V.B.; Kuchekar, S.R.; Bååth, E. Microbial growth, biomass, community structure and nutrient limitation in high pH and salinity soils from Pravaranagar (India). Eur. J. Soil Biol. 2014, 65, 87–95. [Google Scholar] [CrossRef]
- Lin, J.; Meng, J.; He, Y.; Xu, J.; Chen, Z.; Brookes, P.C. The effects of different types of crop straw on the transformation of pentachlorophenol in flooded paddy soil. Environ. Pollut. 2018, 233, 745–754. [Google Scholar] [CrossRef]
- Huang, S.W. Principle and Technology of Green and High Efficiency Precision Fertilization for Greenhouse Vegetables; China Agricultural Science and Technology Press: Beijing, China, 2019; pp. 176–178. [Google Scholar]
- Tveit, A.; Schwacke, R.; Svenning, M.M.; Urich, T. Organic carbon transformations in high-Arctic peat soils: Key functions and microorganisms. ISME J. 2013, 7, 299–311. [Google Scholar] [CrossRef]
- Luan, H.; Gao, W.; Huang, S.; Tang, J.; Li, M.; Zhang, H.; Chen, X. Aggregate-associated changes in nutrient properties, microbial community and functions in a greenhouse vegetable field based on an eight-year fertilization experiment of China. J. Integr. Agric. 2020, 19, 2530–2548. [Google Scholar] [CrossRef]
- Hobbie, S.E. Contrasting effects of substrate and fertilizer nitrogen on the early stages of decomposition. Ecosystems 2005, 8, 644–656. [Google Scholar] [CrossRef]
- Cortet, J.; Andersen, A.N.; Caul, S.; Griffiths, B.; Joffre, R.; Lacroix, B.; Sausse, C.; Thompson, J.; Krogh, P.H. Decomposition processes under Bt (Bacillus thuringiensis) maize: Results of a multi-site experiment. Soil Biol. Biochem. 2006, 38, 195–199. [Google Scholar] [CrossRef]
- Xu, X.; Liu, X.; Li, Y.; Ran, Y.; Liu, Y.; Zhang, Q.; Li, Z.; He, Y.; Xu, J.; Di, H. High temperatures inhibited the growth of soil bacteria and archaea but not that of fungi and altered nitrous oxide production mechanisms from different nitrogen sources in an acidic soil. Soil Biol. Biochem. 2017, 107, 168–179. [Google Scholar] [CrossRef]
- Wetterstedt, J.M.; Persson, T.; Ågren, G.I. Temperature sensitivity and substrate quality in soil organic matter decomposition: Results of an incubation study with three substrates. Glob. Chang. Biol. 2010, 16, 1806–1819. [Google Scholar] [CrossRef]
- Yu, X.; Zha, T.; Pang, Z.; Wu, B.; Wang, X.; Chen, G.; Li, C.; Cao, J.; Jia, G.; Li, X.; et al. Response of soil respiration to soil temperature and moisture in a 50-year-old oriental arborvitae plantation in China. PLoS ONE 2011, 6, e28397. [Google Scholar] [CrossRef]
- Wei, T.; Zhang, P.; Wang, K.; Ding, R.; Yang, B.; Nie, J.; Jia, Z.; Han, Q. Effects of wheat straw incorporation on the availability of soil nutrients and enzyme activities in semiarid areas. PLoS ONE 2015, 10, e0120994. [Google Scholar] [CrossRef]
- Bai, E.; Li, S.; Xu, W.; Li, W.; Dai, W.; Jiang, P. A meta-analysis of experimental warming effects on terrestrial nitrogen pools and dynamics. New Phytol. 2013, 199, 441–451. [Google Scholar] [CrossRef]
- Meng, C.; Tian, D.; Zeng, H.; Li, Z.; Chen, H.Y.; Niu, S. Global meta-analysis on the responses of soil extracellular enzyme activities to warming. Sci. Total Environ. 2020, 705, 135992. [Google Scholar] [CrossRef]
- Chen, J.; Elsgaard, L.; Groenigen, K.J.V.; Olesen, J.E.; Jrgensen, U. Soil carbon loss with warming: New evidence from carbon degrading enzymes. Glob. Chang. Biol. 2020, 26, 1944–1952. [Google Scholar] [CrossRef]
- Zhou, X.; Chen, C.; Wang, Y.; Xu, Z.; Han, H.; Li, L.; Wan, S. Warming and increased precipitation have differential effects on soil extracellular enzyme activities in a temperate grassland. Sci. Total Environ. 2013, 444, 552–558. [Google Scholar] [CrossRef]
- Razavi, B.S.; Blagodatskaya, E.; Kuzyakov, Y. Nonlinear temperature sensitivity of enzyme kinetics explains canceling effect—A case study on loamy haplic Luvisol. Front. Microbiol. 2015, 6, 1126. [Google Scholar] [CrossRef]
- Hou, R.; Ouyang, Z.; Maxim, D.; Wilson, G.; Kuzyakov, Y. Lasting effect of soil warming on organic matter decomposition depends on tillage practices. Soil Biol. Biochem. 2016, 95, 243–249. [Google Scholar] [CrossRef]
- Ge, T.; Wei, X.; Razavi, B.S.; Zhu, Z.; Hu, Y.; Kuzyakov, Y.; Jones, D.L.; Wu, J. Stability and dynamics of enzyme activity patterns in the rice rhizosphere: Effects of plant growth and temperature. Soil Biol. Biochem. 2017, 113, 108–115. [Google Scholar] [CrossRef]
- Wu, Y.; Zhou, H.; Sun, W.; Zhao, Q.; Liang, M.; Chen, W.; Guo, Z.; Jiang, Y.; Jiang, Y.; Liu, G.; et al. Temperature sensitivity of soil enzyme kinetics under N and P fertilization in an alpine grassland, China. Sci. Total Environ. 2022, 838, 156042. [Google Scholar] [CrossRef]
- Sun, J.; Pan, L.; Zhan, Y.; Lu, H.; Tsang, D.C.W.; Liu, W.; Wang, X.; Li, X.; Zhu, L. Contamination of phthalate esters, organochlorine pesticides and polybrominated diphenyl ethers in agricultural soils from the Yangtze river delta of China. Sci. Total Environ. 2016, 544, 670–676. [Google Scholar] [CrossRef]
- Chen, J.; Luo, Y.; García-Palacios, P.; Cao, J.; Dacal, M.; Zhou, X.; Li, J.; Xia, J.; Niu, S.; Yang, H.; et al. Differential responses of carbon-degrading enzyme activities to warming: Implications for soil respiration. Glob. Chang. Biol. 2018, 24, 4816–4826. [Google Scholar] [CrossRef]
- Wang, L.; Luo, X.; Liao, H.; Chen, W.; Wei, D.; Cai, P.; Huang, Q. Ureolytic microbial community is modulated by fertilization regimes and particle-size fractions in a black soil of northeastern China. Soil Biol. Biochem. 2018, 116, 171–178. [Google Scholar] [CrossRef]
- Majumder, B.; Kuzyakov, Y. Effect of fertilization on decomposition of 14C labelled plant residues and their incorporation into soil aggregates. Soil Tillage Res. 2010, 109, 94–102. [Google Scholar] [CrossRef]
- Zhen, Z.; Liu, H.; Wang, N.; Guo, L.; Meng, J.; Ding, N.; Wu, G.; Jiang, G. Effects of manure compost application on soil microbial community diversity and soil microenvironments in a temperate cropland in China. PLoS ONE 2014, 9, e108555. [Google Scholar] [CrossRef]
- Delgado-Baquerizo, M.; Giaramida, L.; Reich, P.B.; Khachane, A.N.; Hamonts, K.; Edwards, C.; Lawton, L.A.; Singh, B.K. Lack of functional redundancy in the relationship between microbial diversity and ecosystem functioning. J. Ecol. 2016, 104, 936–946. [Google Scholar] [CrossRef]
- Kong, Y.; Kuzyakov, Y.; Ruan, Y.; Zhang, J.; Wang, T.; Wang, M.; Guo, S.; Shen, Q.; Ling, N. DNA Stable-Isotope Probing Delineates Carbon Flows from Rice Residues into Soil Microbial Communities Depending on Fertilization. Appl. Environ. Microbiol. 2020, 86, e02151-19. [Google Scholar] [CrossRef]
- FAO. World Reference Base for Soil Resources. In World Soil Resources Reports; FAO: Rome, Italy, 2014; No. 106. [Google Scholar]
- Rong, Q.L.; Li, R.N.; Huang, S.W.; Tang, J.W.; Zhang, Y.C.; Wang, L.Y. Soil microbial characteristics and yield response to partial substitution of chemical fertilizer with organic amendments in greenhouse vegetable production. J. Integr. Agric. 2018, 17, 1432–1444. [Google Scholar] [CrossRef]
- Bell, C.W.; Fricks, B.E.; Rocca, J.D.; Steinweg, J.M.; McMahon, S.K.; Wallenstein, M.D. High-throughput fluorometric measurement of potential soil extracellular enzyme activities. J. Vis. Exp. 2013, 81, e50961. [Google Scholar]
- Pan, F.; Li, Y.; Chapman, S.J.; Khan, S.; Yao, H. Microbial utilization of rice straw and its derived biochar in a paddy soil. Sci. Total Environ. 2016, 559, 15–23. [Google Scholar] [CrossRef]
- Davidson, E.A.; Janssens, I.A. Temperature sensitivity of soil carbon decomposition and feedbacks to climate change. Nature 2006, 440, 165–173. [Google Scholar] [CrossRef]
- Norman, R.J.; Edberg, J.C.; Stucki, J.W. Determination of Nitrate in Soil Extracts by Dual-wavelength Ultraviolet Spectrophotometry. Soil Sci. Soc. Am. J. 1985, 49, 1182–1185. [Google Scholar] [CrossRef]
- Gong, W.; Yan, X.Y.; Wang, J.Y.; Hu, T.X.; Gong, Y.B. Long-term manuring and fertilization effects on soil organic carbon pools under a wheat–maize cropping system in North China Plain. Plant Soil 2009, 314, 67–76. [Google Scholar] [CrossRef]
- Olsen, S.R.; Cole, C.V.; Watanabe, F.S.; Dean, L.A. Estimation of available phosphorus in soils by extraction with sodium bicarbonate. USDA Circ. 1954, 939, 1–19. [Google Scholar]
- Helmke, P.A.; Sparks, D.L. Lithium, sodium, potassium, rubidium and cesium. In Methods of Soil Analysis Part 3: Chemical Methods; Sparks, D.L., Page, A.L., Helmke, P.A., Loeppert, R.H., Soltanpour, P.N., Tabatabai, M.A., Johnston, C.T., Sumner, M.E., Eds.; SSSA: Madison, WI, USA, 1996; pp. 551–574. [Google Scholar]
- Fang, Y.; Nazaries, L.; Singh, B.K.; Singh, B.P. Microbial mechanisms of carbon priming effects revealed during the interaction of crop residue and nutrient inputs in contrasting soils. Glob. Chang. Biol. 2018, 24, 2775–2790. [Google Scholar] [CrossRef]
- Li, W.T.; Wu, M.; Liu, M.; Jiang, C.; Chen, X.; Kuzyakov, Y.; Rinklebe, J.; Li, Z. Responses of Soil Enzyme Activities and Microbial Community Composition to Moisture Regimes in Paddy Soils Under Long-Term Fertilization Practices. Pedosphere 2018, 28, 9. [Google Scholar] [CrossRef]
- Xu, P.; Liu, Y.; Zhu, J.; Shi, L.; Fu, Q.; Chen, J.; Hu, H.; Huang, Q. Influence mechanisms of long-term fertilizations on the mineralization of organic matter in Ultisol. Soil Tillage Res. 2020, 201, 104594. [Google Scholar] [CrossRef]
- Fan, F.; Yu, B.; Wang, B.; George, T.S.; Yin, H.; Li, D.; Song, A. Microbial mechanisms of the contrast residue decomposition and priming effect in soils with different organic and chemical fertilization histories. Soil Biol. Biochem. 2019, 135, 213–221. [Google Scholar] [CrossRef]
- Wu, L.; Zhang, W.; Wei, W.; He, Z.; Kuzyakov, Y.; Bol, R.; Hu, R. Soil organic matter priming and carbon balance after straw addition is regulated by long-term fertilization. Soil Biol. Biochem. 2019, 135, 383–391. [Google Scholar] [CrossRef]
- Guan, X.K.; Wei, L.; Turner, N.C.; Ma, S.C.; Yang, M.D.; Wang, T.C. Improved straw management practices promote in situ straw decomposition and nutrient release, and increase crop production. J. Clean. Prod. 2020, 250, 119514. [Google Scholar] [CrossRef]
- Shahbaz, M.; Kuzyakov, Y.; Sanaullah, M.; Heitkamp, F.; Zelenev, V.; Kumar, A.; Blagodatskaya, E. Microbial decomposition of soil organic matter is mediated by quality and quantity of crop residues: Mechanisms and thresholds. Biol. Fertil. Soils 2017, 53, 287–301. [Google Scholar] [CrossRef]
- Jin, X.; An, T.; Gall, A.R.; Li, S.; Filley, T.; Wang, J. Enhanced conversion of newlyadded maize straw to soil microbial biomass C under plastic film mulching and organic manure management. Geoderma 2018, 313, 154–162. [Google Scholar] [CrossRef]
- Francioli, D.; Schulz, E.; Lentendu, G.; Wubet, T.; Buscot, F.; Reitz, T. Mineral vs. Organic amendments: Microbial community structure, activity and abundance of agriculturally relevant microbes are driven by long-term fertilization strategies. Front. Microbiol. 2016, 7, 1446. [Google Scholar] [CrossRef]
- Auwal, M.; Singh, B.P.; Chen, Z.; Kumar, A.; Pan, S.; Luo, Y.; Xu, J. Nutrients addition regulates temperature sensitivity of maize straw mineralization. J. Soils Sediments 2021, 21, 2778–2790. [Google Scholar] [CrossRef]
- Liu, C.; Lu, M.; Cui, J.; Li, B.; Fang, C. Effects of straw carbon input on carbon dynamics in agricultural soils: A meta-analysis. Glob. Chang. Biol. 2014, 20, 1366–1381. [Google Scholar] [CrossRef]
- Zhao, S.; Qiu, S.; Xu, X.; Ciampitti, I.A.; Zhang, S.; He, P. Change in straw decomposition rate and soil microbial community composition after straw addition in different long-term fertilization soils. Appl. Soil Ecol. 2019, 138, 123–133. [Google Scholar] [CrossRef]
- Bradford, M.A.; Berg, B.; Maynard, D.S.; Wieder, W.R.; Wood, S.A. Understanding the dominant controls on litter decomposition. J. Ecol. 2016, 104, 229–238. [Google Scholar] [CrossRef]
- Karhu, K.; Auffret, M.D.; Dungait, J.A.J.; Hopkins, D.W.; Prosser, J.I.; Singh, B.K.; Subke, J.A.; Wookey, P.A.; Ågren, G.I.; Sebastià, M.T.; et al. Temperature sensitivity of soil respiration rates enhanced by microbial community response. Nature 2014, 513, 81–84. [Google Scholar] [CrossRef]
- Tscherko, D.; Kandeler, E.; Jones, T.H. Effect of temperature on below-ground N-dynamics in aweedy model ecosystem at ambient and elevated atmospheric CO2 levels. Soil Biol. Biochem. 2001, 33, 491–501. [Google Scholar] [CrossRef]
- Souza, R.C.; Solly, E.F.; Dawes, M.A.; Graf, F.; Hagedorn, F.; Egli, S.; Clement, C.R.; Nagy, L.; Rixen, C.; Pete, M. Responses of soil extracellular enzyme activities to experimental warming and CO2 enrichment at the alpine treeline. Plant Soil 2017, 416, 527–537. [Google Scholar] [CrossRef]
- Qi, R.; Li, J.; Lin, Z.; Li, Z.; Li, Y.; Yang, X.; Zhang, J.; Zhao, B. Temperature effects on soil organic carbon, soil labile organic carbon fractions, and soil enzyme activities under long-term fertilization regimes. Appl. Soil Ecol. 2016, 102, 36–45. [Google Scholar] [CrossRef]
- Schindlbacher, A.; Rodler, A.; Kuffne, M.; Kitzler, B.; Sessitsch, A.; Zechmeister-Boltenstern, S. Experimental warming effects on the microbial community of a temperate mountain forest soil. Soil Biol. Biochem. 2011, 43, 1417–1425. [Google Scholar] [CrossRef]
- Zuccarini, P.; Sardans, J.; Asensio, L.; Peñuelas, J. Altered activities of extracellular soil enzymes by the interacting global environmental changes. Glob. Chang. Biol. 2023, 29, 2067–2091. [Google Scholar] [CrossRef]
- Bardgett, R.D.; Freeman, C.; Ostle, N.J. Microbial contributions to climate change through carbon cycle feedbacks. ISME J. 2008, 2, 805–814. [Google Scholar] [CrossRef]
- Lu, Y.; Fu, L.; Lu, Y.; Hugenholtz, F.; Ma, K. Effect of temperature on the structure and activity of a methanogenic archaeal community during rice straw decomposition. Soil Biol. Biochem. 2015, 81, 17–27. [Google Scholar] [CrossRef]
- Tang, S.; Cheng, W.; Hu, R.; Guigue, J.; Kimani, S.M.; Tawaraya, K.; Xu, X. Simulating the effects of soil temperature and moisture in the off-rice season on rice straw decomposition and subsequent CH4 production during the growth season in a paddy soil. Biol. Fertil. Soils 2016, 52, 739–748. [Google Scholar] [CrossRef]
- Bölscher, T.; Paterson, E.; Freitag, T.; Thornton, B.; Herrmann, A.M. Temperature sensitivity of substrate-use efficiency can result from altered microbial physiology without change to community composition. Soil Biol. Biochem. 2017, 109, 59–69. [Google Scholar] [CrossRef]






| Treatments | N Input | C Input | |||||
|---|---|---|---|---|---|---|---|
| Chemical Fertilizer | Organic Manure | Corn Straw | Total | Organic Manure | Corn Straw | Total | |
| Winter–spring cucumber season | |||||||
| CF | 600.0 | 0 | 0 | 600.0 | 0 | 0 | 0 |
| CM | 300.0 | 300.0 | 0 | 600.0 | 2566.4 | 0 | 2566.4 |
| CMS | 300.0 | 150.0 | 150.0 | 600.0 | 1283.2 | 6482.8 | 7766.0 |
| CS | 300.0 | 0 | 300.0 | 600.0 | 0 | 12,965.5 | 12,965.5 |
| Autumn–winter tomato season | |||||||
| CF | 450.0 | 0 | 0 | 450.0 | 0 | 0 | 0 |
| CM | 225.0 | 225.0 | 0 | 450.0 | 1924.8 | 0 | 1924.8 |
| CMS | 225.0 | 112.5 | 112.5 | 450.0 | 962.4 | 4862.1 | 5824.5 |
| CS | 225.0 | 0 | 225.0 | 450.0 | 0 | 9724.2 | 9724.2 |
| Extracellular Enzyme | Substrate |
|---|---|
| α-Glucosidase | 4-MUB-α-D-glucoside |
| β-Glucosidase | 4-MUB-β-D-glucoside |
| β-Cellobiosidase | 4-MUB-β-D-cellobioside |
| β-Xylosidase | 4-MUB-β-D-xyloside |
| N-Acetyl- glucosaminidase | 4-MUB-N-acetyl-β-D-glucosaminide |
| Leucine-aminopeptidase | L-Leucine-7-amino-4-methylcoumarin |
| Factors | βG | CBH | XYL | NAG | αG | LAM | CO2 Fluxes |
|---|---|---|---|---|---|---|---|
| Incubation days (Day) | 465.5 *** | 316.8 *** | 645.8 *** | 191.7 *** | 403.3 *** | 757.4 *** | 91.0 *** |
| Fertilization patterns (Fer) | 157.4 *** | 118.5 *** | 158.0 *** | 52.3 *** | 23.2 *** | 34.6 *** | 5.3 ** |
| Temperatures (Temp) | 588.1 *** | 520.8 *** | 1384.5 *** | 182.1 *** | 315.1 *** | 275.1 *** | 7.2 ** |
| Day × Fer | 3.0 * | 6.7 *** | 6.8 *** | 9.9 *** | 2.2 | 21.8 *** | 6.5 *** |
| Day × Temp | 57.5 *** | 48.6 *** | 102.7 *** | 50.9 *** | 27.5 *** | 35.2 *** | 5.4 *** |
| Fer × Temp | 3.4 * | 12.6 *** | 19.0 *** | 9.3 *** | 1.5 | 5.5 *** | 0.4 |
| Day × Fer × Temp | 2.1 | 5.2 *** | 5.7 *** | 6.4 *** | 3.3 *** | 8.2 *** | 0.8 |
Disclaimer/Publisher’s Note: The statements, opinions and data contained in all publications are solely those of the individual author(s) and contributor(s) and not of MDPI and/or the editor(s). MDPI and/or the editor(s) disclaim responsibility for any injury to people or property resulting from any ideas, methods, instructions or products referred to in the content. |
© 2024 by the authors. Licensee MDPI, Basel, Switzerland. This article is an open access article distributed under the terms and conditions of the Creative Commons Attribution (CC BY) license (https://creativecommons.org/licenses/by/4.0/).
Share and Cite
Ma, L.; Li, R.; Luan, H.; Tang, J.; Wang, L.; Huang, S. Temperature Matters More than Fertilization for Straw Decomposition in the Soil of Greenhouse Vegetable Field. Agronomy 2024, 14, 233. https://doi.org/10.3390/agronomy14020233
Ma L, Li R, Luan H, Tang J, Wang L, Huang S. Temperature Matters More than Fertilization for Straw Decomposition in the Soil of Greenhouse Vegetable Field. Agronomy. 2024; 14(2):233. https://doi.org/10.3390/agronomy14020233
Chicago/Turabian StyleMa, Long, Ruonan Li, Haoan Luan, Jiwei Tang, Liying Wang, and Shaowen Huang. 2024. "Temperature Matters More than Fertilization for Straw Decomposition in the Soil of Greenhouse Vegetable Field" Agronomy 14, no. 2: 233. https://doi.org/10.3390/agronomy14020233
APA StyleMa, L., Li, R., Luan, H., Tang, J., Wang, L., & Huang, S. (2024). Temperature Matters More than Fertilization for Straw Decomposition in the Soil of Greenhouse Vegetable Field. Agronomy, 14(2), 233. https://doi.org/10.3390/agronomy14020233
