Effects of Polymer Conditioner and Nitrogen Fertilizer Application on Nitrogen Absorption and Utilization of Drip-Irrigated Wheat in Arid Areas
Abstract
1. Introduction
2. Materials and Methods
2.1. Experimental Site
2.2. Experimental Design
2.3. Determination of Plant Parameters
2.4. Data Analysis
3. Results
3.1. Wheat Yield under Different PPM and N Combination Treatments
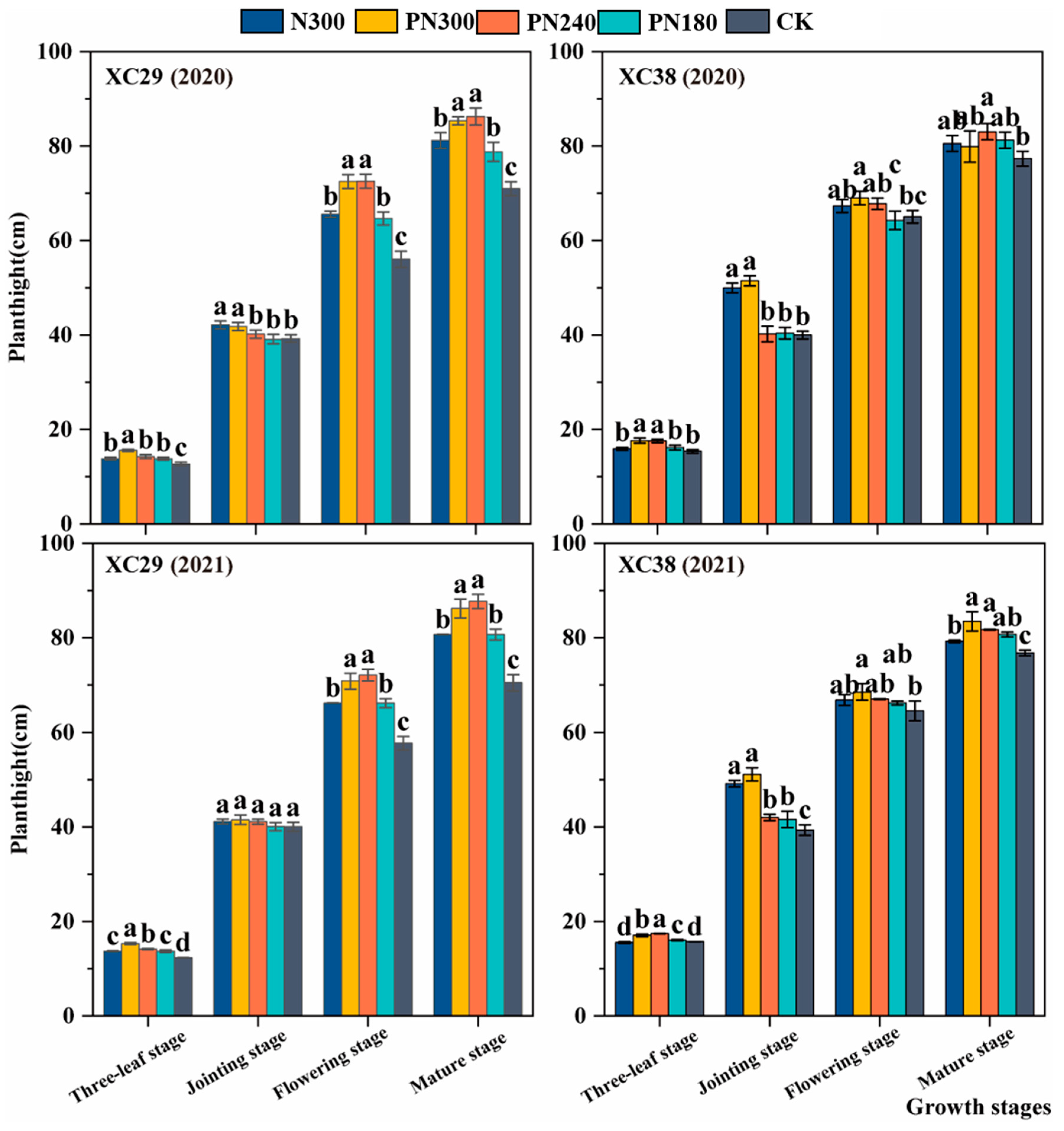
3.2. Wheat Plant Height
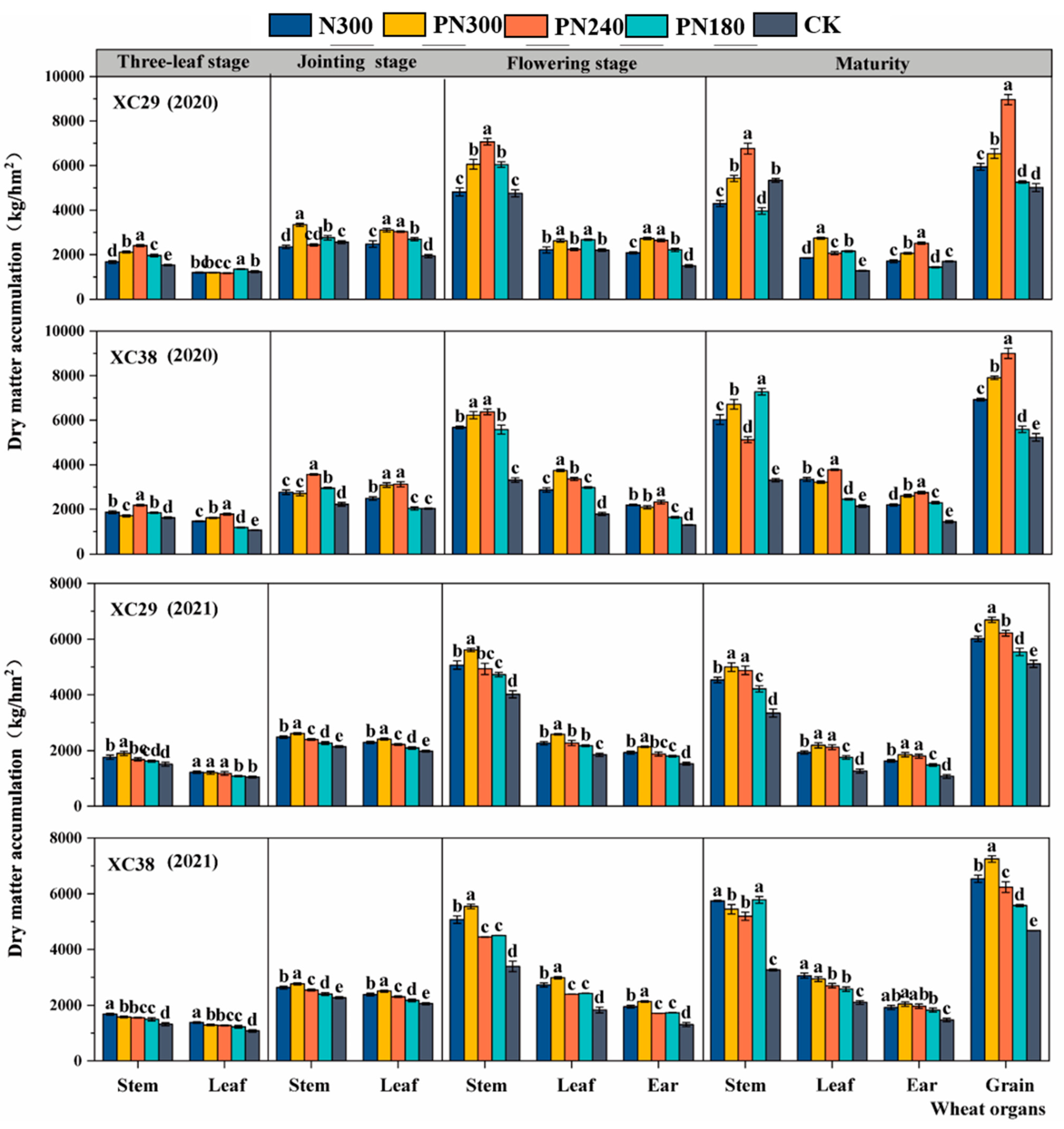
3.3. Wheat Biomass under Different PPM and N Combination Treatments
3.4. Plant Nitrogen Content and Utilization
3.4.1. Total Nitrogen Content of Plant Organs
3.4.2. Nitrogen Transport Characteristics of Plants
3.4.3. Plant Nitrogen Use Efficiency
3.5. Redundancy (RDA) Analysis
4. Discussion
5. Conclusions
Supplementary Materials
Author Contributions
Funding
Data Availability Statement
Conflicts of Interest
References
- Yu, C.; Huang, X.; Chen, H.; Godfray, H.C.J.; Wright, J.S.; Hall, J.W.; Gong, P.; Ni, S.; Qiao, S.; Huang, G. Managing nitrogen to restore water quality in China. Nature 2019, 567, 516–520. [Google Scholar] [CrossRef]
- Zheng, X.; Yu, Z.; Zhang, Y.; Shi, Y. Nitrogen supply modulates nitrogen remobilization and nitrogen use of wheat under supplemental irrigation in the North China Plain. Sci. Rep. 2020, 10, 3305. [Google Scholar] [CrossRef]
- Zhang, L.; He, X.; Liang, Z.; Zhang, W.; Zou, C.; Chen, X. Tiller development affected by nitrogen fertilization in a high-yielding wheat production system. Crop Sci. 2020, 60, 1034–1047. [Google Scholar] [CrossRef]
- Zheng, W.; Zhang, M.; Liu, Z.; Zhou, H.; Lu, H.; Zhang, W.; Yang, Y.; Li, C.; Chen, B. Combining controlled-release urea and normal urea to improve the nitrogen use efficiency and yield under wheat-maize double cropping system. Field Crops Res. 2016, 197, 52–62. [Google Scholar] [CrossRef]
- Yang, X.; Lu, Y.; Ding, Y.; Yin, X.; Raza, S.; Tong, Y. Optimising nitrogen fertilisation:a key to improving nitrogen-use efficiency and minimising nitrate leaching losses in an intensive wheat/maize rotation (2008–2014). Field Crops Res. 2017, 206, 1–10. [Google Scholar] [CrossRef]
- Ju, X.; Xing, G.; Chen, X.; Zhang, S.; Zhang, L.; Liu, X.; Cui, Z.; Yin, B.; Christie, P.; Zhu, Z.; et al. Reducing environmental risk by improving N management in intensive Chinese agricultural systems. Proc. Natl. Acad. Sci. USA 2009, 106, 3041–3046. [Google Scholar] [CrossRef]
- Xi, J.; Zhang, P. Application of super absorbent polymer in the research of water-retaining and slow-release fertilizer. IOP Conf. Ser. Earth Environ. Sci. 2021, 651, 42066. [Google Scholar] [CrossRef]
- Wang, W.; Yang, S.; Zhang, A.; Yang, Z. Preparation and properties of novel corn straw cellulose-based superabsorbent with water-retaining and slow-release functions. J. Appl. Polym. Sci. 2020, 137, 48951. [Google Scholar] [CrossRef]
- Kang, M.W.; Yibeltal, M.; Kim, Y.H.; Lee, C.J.; Oh, S.J.; Kwon, E.E.; Lee, S.S. Enhancement of soil physical properties and soil water retention with biochar-based soil amendments. Sci. Total Environ. 2022, 836, 155746. [Google Scholar] [CrossRef]
- Sun, X.; Guo, Y.; Zeng, L.; Li, X.; Liu, X.; Li, J.; Cui, D. Combined urea humate and wood vinegar treatment enhances wheat-maize rotation system yields and nitrogen utilization efficiency through improving the quality of saline—Alkali soils. J. Soil. Sci. Plant Nutr. 2021, 21, 1759–1770. [Google Scholar] [CrossRef]
- Tian, X.; Wang, K.; Fan, H.; Wang, J.; Wang, L. Effects of polymer materials on the transformation and utilization of soil nitrogen and yield of wheat under drip irrigation. Soil Use Manag. 2021, 37, 712–722. [Google Scholar] [CrossRef]
- Tian, X.; Wang, K.; Fan, H.; Wang, J.; Wang, L. Effects of soil conditioner on soil-crop nitrogen transport and crop nitrogen utilization under different irrigation levels in China. J. Soils Sediments 2023, 23, 3806–3819. [Google Scholar] [CrossRef]
- Watson, C.; Singh, Y.; Iqbal, T.; Knoblauch, C.; Simon, P.; Wichern, F.; Varennes, A. Short-term effects of polyacrylamide and dicyandiamide on C and N mineralization in a sandy loam soil. Soil Use Manag. 2016, 32, 127–136. [Google Scholar] [CrossRef]
- National Bureau of Statistics. China Statistical Yearbook-2020 (No. 39 In Total); China Statistics Press: Beijing, China, 2020.
- An, M.; Chang, D.; Hong, D.; Fan, H.; Wang, K. Metabolic regulation in soil microbial succession and niche differentiation by the polymer amendment under cadmium stress. J. Hazard. Mater. 2021, 416, 126094. [Google Scholar] [CrossRef]
- Bao, S.D. Soil and Agricultural Chemistry Analysis, 3rd ed.; China Agriculture Press: Beijing, China, 2000. [Google Scholar]
- Ren, J.; Ren, A.; Lin, W.; Noor, H.; Khan, S.; Dong, S.; Sun, M.; Gao, Z. Nitrogen fertilization and precipitation affected wheat nitrogen use efficiency and yield in the semiarid region of the Loess Plateau in China. J. Soil Sci. Plant Nut. 2022, 22, 585–596. [Google Scholar] [CrossRef]
- Dimkpa, C.O.; Fugice, J.; Singh, U.; Lewis, T.D. Development of fertilizers for enhanced nitrogen use efficiency—Trends and perspectives. Sci. Total Environ. 2020, 731, 139113. [Google Scholar] [CrossRef]
- Shaviv, A.; Mikkelsen, R.L. Controlled-release fertilizers to increase efficiency of nutrient use and minimize environmental degradation—A review. Fertil. Res. 1993, 35, 1–12. [Google Scholar] [CrossRef]
- Abu-Hamdeh, N.H.; Ismail, S.M.; Al-Solaimani, S.G.; Hatamleh, R.I. Effect of tillage systems and polyacrylamide on soil physical properties and wheat grain yield in arid regions differing in fine soil particles. Arch. Agron. Soil Sci. 2018, 65, 182–196. [Google Scholar] [CrossRef]
- Larroque, O.R.; Calderini, D.F.; Angus, J.F. Managing dryland wheat to produce high-quality grain. Field Crops Res. 2022, 280, 108473. [Google Scholar] [CrossRef]
- Sanchez-Bragado, R.; Serret, M.D.; Araus, J.L. The nitrogen contribution of different plant parts to wheat grains: Exploring genotype, water, and nitrogen effects. Front. Plant Sci. 2017, 7, 1986. [Google Scholar] [CrossRef]
- Rahman, M.H.; Das, B.K.; Miah, M.A.J.; Ahmadet, H.A. Fixation of urea to polyacrylic acid and nitrogen release behavior of the product (polyurea)-A comparison with urea and control (without nitrogen fertilizer). Asian J. Crop Sci. 2009, 1, 6–14. [Google Scholar] [CrossRef]
- Meng, Q.; Yue, S.; Hou, P.; Chen, X. Improving yield and nitrogen use efficiency simultaneously for maize and wheat in China: A review. Pedosphere 2016, 26, 137–147. [Google Scholar] [CrossRef]
- Niyungeko, C.; Liang, X.; Shan, S.; Zhang, J.; Tiimub, B.M.; SeyedHamid, H.; Khan, S.; Fa-Yong, L.; Tian, G. Synergistic effects of anionic polyacrylamide and gypsum to control phosphorus losses from biogas slurry applied soils. Chemosphere 2019, 234, 953–961. [Google Scholar] [CrossRef]
- Gil-Ortiz, R.; Naranjo, M.Á.; Ruiz-Navarro, A.; Caballero-Molada, M.; Atares, S.; García, C.; Vicente, O. New eco-friendly polymeric-coated urea fertilizers enhanced crop yield in wheat. Agronomy 2020, 10, 438. [Google Scholar] [CrossRef]
- Wu, H.; Xiang, J.; Zhang, Y.; Zhang, Y.; Peng, S.; Chen, H.; Zhu, D. Effects of post-anthesis nitrogen uptake and translocation on photosynthetic production and rice yield. Sci. Rep. 2018, 8, 12891. [Google Scholar] [CrossRef]
- Yang, J.; Shi, Y.; Shi, H.; Wang, Y.; Guan, W.; Yan, X.; Wang, S.; Sun, W. Screening of wheat (Triticum aestivum L.) varieties with high nitrogen use efficiency under rainfed and irrigated conditions. Turk. J. Field Crops 2019, 24, 121–131. [Google Scholar] [CrossRef]
- Shah, A.; Akmal, M.; Khan, M.J.; Asim, M. Residue, tillage and N-fertilizer rate affected yield and N efficiency in irrigated spring wheat. J. Plant Nutr. 2016, 39, 2056–2071. [Google Scholar] [CrossRef]
- Ding, J.F.; Ding, Y.G.; Li, F.J.; Wu, P.; Zhu, M.; Li, C.Y.; Zhu, X.K.; Guo, W.S. Promoting pre-anthesis nitrogen accumulation in wheat to achieve high yield and nitrogen-use efficiency through agronomic measures. J. Plant Nutr. 2021, 44, 2640–2652. [Google Scholar] [CrossRef]
- Yang, C.; Li, J.; Zhang, G.; Shu, H.; Wang, X.; Hu, W.; Liu, R. Barley straw combined with urea and controlled-release nitrogen fertilizer improves lint yield and nitrogen utilization of field-seeded cotton. Agronomy 2022, 12, 1208. [Google Scholar] [CrossRef]
- Dordas, C. Variation in dry matter and nitrogen accumulation and remobilization in barley as affected by fertilization, cultivar, and source-sink relations. Eur. J. Agron. 2012, 37, 31–42. [Google Scholar] [CrossRef]
- Muurinen, S.; Slafer, G.A.; Peltonensainio, P. Breeding effects on nitrogen use efficiency of spring vereals under northern conditions. Crop Sci. 2006, 46, 561–568. [Google Scholar] [CrossRef]
- Luo, Z.; Song, H.; Huang, M.; Zhang, Z.; Peng, Z.; Zi, T.; Tian, C.; Eissa, M.A. Nitrogen-Reduction in intensive cultivation improved nitrogen fertilizer utilization efficiency and soil nitrogen mineralization of double-cropped rice. Agronomy 2022, 12, 1103. [Google Scholar] [CrossRef]




| Variety | Treatment | Grain Yield (kg/hm2) | Ears Per Square Meter | 1000-Grain Weight (g) | Grain Number Per Ear |
|---|---|---|---|---|---|
| 2020 | |||||
| XC29 | N300 | 6080.42 ± 77.41 b | 592.98 ± 7.10 a | 40.92 ± 0.72 b | 27.63 ± 0.84 b |
| PN300 | 6947.36 ± 87.14 a | 598.41 ± 3.82 a | 42.78 ± 0.92 a | 30.57 ± 0.57 a | |
| PN240 | 6965.83 ± 65.64 a | 590.79 ± 3.97 c | 40.96 ± 0.15 b | 27.90 ± 0.52 b | |
| PN180 | 5564.75 ± 68.58 c | 542.85 ± 8.30 b | 38.98 ± 0.48 c | 24.13 ± 0.31 c | |
| CK | 4530.29 ± 94.61 d | 539.84 ± 3.44 b | 36.81 ± 0.35 d | 20.91 ± 0.56 d | |
| XC38 | N300 | 6360.91 ± 28.6 b | 548.04 ± 10.51 a | 41.88 ± 0.23 b | 28.25 ± 0.05 c |
| PN300 | 6326.72 ± 57.6 b | 497.17 ± 12.41 b | 42.13 ± 0.54 b | 36.12 ± 0.93 a | |
| PN240 | 7252.65 ± 78.6 a | 491.08 ± 9.36 bc | 44.46 ± 0.65 a | 30.32 ± 0.72 b | |
| PN180 | 5575.95 ± 26.6 c | 471.73 ± 12.35 cd | 40.11 ± 0.48 c | 26.03 ± 0.43 d | |
| CK | 4675.65 ± 24.8 d | 451.71 ± 10.32 d | 37.38 ± 0.53 d | 26.53 ± 1.28 d | |
| 2021 | |||||
| XC29 | N300 | 6000 ± 6.11 b | 676.51 ± 19.50 a | 48.47 ± 0.87 a | 23.11 ± 0.49 cd |
| PN300 | 6031 ± 4.84 b | 668.12 ± 15.02 a | 43.81 ± 0.18 b | 26.77 ± 0.30 a | |
| PN240 | 6691 ± 6.38 a | 539.52 ± 13.41 a | 47.05 ± 0.15 a | 25.36 ± 0.07 b | |
| PN180 | 5542 ± 8.58 c | 528.50 ± 12.52 b | 41.32 ± 0.14 c | 23.80 ± 0.34 c | |
| CK | 4532 ± 9.61 d | 554.32 ± 13.12 b | 30.58 ± 0.60 d | 22.91 ± 0.75 d | |
| XC38 | N300 | 6361 ± 2.86 b | 551.52 ± 10.51 a | 46.12 ± 0.93 a | 30.15 ± 0.33 b |
| PN300 | 6322 ± 5.76 b | 536.21 ± 12.35 b | 45.32 ± 0.72 b | 30.33 ± 0.27 b | |
| PN240 | 7252 ± 7.86 a | 548.51 ± 12.41 a | 38.25 ± 0.05 c | 32.01 ± 0.48 a | |
| PN180 | 5565 ± 2.66 c | 490.47 ± 9.36 c | 36.03 ± 0.43 d | 28.88 ± 0.46 c | |
| CK | 4674 ± 2.48 d | 476.35 ± 10.32 d | 36.53 ± 1.28 d | 26.91 ± 0.56 d | |
| V | ns | * | ns | ** | |
| T | ** | ** | ** | ** | |
| Y | ns | ** | ** | ** | |
| V × T | ns | ns | ns | ns | |
| V × Y | ns | ns | ** | ** | |
| V × T × Y | ** | ** | ** | ** | |
| Variety | Group | TR (/%) | P-CR (%) | A-CR (%) |
|---|---|---|---|---|
| XC29 | N300 | 66.91 ± 1.24 b | 71.09 ± 3.57 b | 25.34 ± 1.05 d |
| PN300 | 72.34 ± 2.39 a | 63.9 ± 4.23 d | 35.81 ± 2.17 b | |
| PN240 | 66.65 ± 3.31 b | 67.18 ± 3.27 c | 30.97 ± 2.03 a | |
| PN180 | 62.26 ± 2.33 c | 65.14 ± 1.89 d | 32.66 ± 1.95 c | |
| CK | 49.32 ± 3.81 d | 76.37 ± 3.51 a | 18.32 ± 1.86 e | |
| XC38 | N300 | 67.48 ± 4.12 b | 74.99 ± 4.12 b | 22.45 ± 2.34 d |
| PN300 | 74.33 ± 3.9 a | 65.43 ± 2.95 c | 30.63 ± 2.9 c | |
| PN240 | 68.76 ± 3.62 b | 62.88 ± 3.43 d | 34.59 ± 2.11 b | |
| PN180 | 64.96 ± 2.55 c | 61.97 ± 4.11 e | 37.31 ± 2.15 a | |
| CK | 51.85 ± 2.52 d | 79.84 ± 2.56 a | 16.65 ± 2.09 e |
| Variety | Group | NUEdiff | AEN (kg/kg) | PEN (kg/kg) | NPFP (kg/kg) | NHI |
|---|---|---|---|---|---|---|
| XC29 | N300 | 26.24 ± 1.34 c | 4.91 ± 0.19 c | 11.39 ± 0.26 b | 20.03 ± 1.01 d | 54.19 ± 2.34 d |
| PN300 | 35.32 ± 2.01 b | 7.19 ± 0.45 a | 14.91 ± 0.43 a | 22.31 ± 1.05 c | 60.49 ± 3.16 c | |
| PN240 | 38.06 ± 1.89 a | 6.27 ± 0.23 b | 11.16 ± 0.39 b | 25.17 ± 1.23 b | 63.67 ± 2.78 b | |
| PN180 | 35.65 ± 1.99 b | 5.56 ± 0.39 c | 6.62 ± 0.25 c | 30.77 ± 1.27 a | 74.58 ± 3.21 a | |
| CK | \ | \ | \ | \ | \ | |
| XC38 | N300 | 31.42 ± 1.68 c | 5.61 ± 0.41 c | 17.87 ± 0.99 b | 21.2 ± 1.13 d | 64.47 ± 3.11 c |
| PN300 | 43.9 ± 0.92 a | 8.59 ± 0.53 a | 19.57 ± 1.02 a | 24.17 ± 1.21 c | 73.24 ± 3.79 a | |
| PN240 | 44.06 ± 1.71 a | 6.88 ± 0.47 b | 15.61 ± 1.11 c | 26.36 ± 1.09 b | 73.09 ± 2.48 a | |
| PN180 | 39.74 ± 1.23 b | 5 ± 0.46 d | 12.59 ± 0.78 d | 30.97 ± 1.07 a | 70.07 ± 2.56 b | |
| CK | \ | \ | \ | \ | \ |
Disclaimer/Publisher’s Note: The statements, opinions and data contained in all publications are solely those of the individual author(s) and contributor(s) and not of MDPI and/or the editor(s). MDPI and/or the editor(s) disclaim responsibility for any injury to people or property resulting from any ideas, methods, instructions or products referred to in the content. |
© 2024 by the authors. Licensee MDPI, Basel, Switzerland. This article is an open access article distributed under the terms and conditions of the Creative Commons Attribution (CC BY) license (https://creativecommons.org/licenses/by/4.0/).
Share and Cite
Hong, D.; Chang, D.; Shao, C.; Cui, W.; Lu, X.; Dong, W.; Fan, H.; Wang, K.; Liu, Y. Effects of Polymer Conditioner and Nitrogen Fertilizer Application on Nitrogen Absorption and Utilization of Drip-Irrigated Wheat in Arid Areas. Agronomy 2024, 14, 232. https://doi.org/10.3390/agronomy14020232
Hong D, Chang D, Shao C, Cui W, Lu X, Dong W, Fan H, Wang K, Liu Y. Effects of Polymer Conditioner and Nitrogen Fertilizer Application on Nitrogen Absorption and Utilization of Drip-Irrigated Wheat in Arid Areas. Agronomy. 2024; 14(2):232. https://doi.org/10.3390/agronomy14020232
Chicago/Turabian StyleHong, Dashuang, Doudou Chang, Changlong Shao, Wenli Cui, Xiaoyu Lu, Wen Dong, Hua Fan, Kaiyong Wang, and Yantao Liu. 2024. "Effects of Polymer Conditioner and Nitrogen Fertilizer Application on Nitrogen Absorption and Utilization of Drip-Irrigated Wheat in Arid Areas" Agronomy 14, no. 2: 232. https://doi.org/10.3390/agronomy14020232
APA StyleHong, D., Chang, D., Shao, C., Cui, W., Lu, X., Dong, W., Fan, H., Wang, K., & Liu, Y. (2024). Effects of Polymer Conditioner and Nitrogen Fertilizer Application on Nitrogen Absorption and Utilization of Drip-Irrigated Wheat in Arid Areas. Agronomy, 14(2), 232. https://doi.org/10.3390/agronomy14020232
