Effects of a Diatom–Bacillus megatherium Biocrust on Nutrient Limitation and Ryegrass Growth in Fluvo-Aquic Soil Along the Yellow River
Abstract
1. Introduction
2. Materials and Methods
2.1. Study Site
2.2. Experimental Design and Sampling
2.3. Biocrust and Soil Physicochemical Analyses
2.4. Soil Extracellular Enzyme Activities
2.5. Data Analysis
3. Results
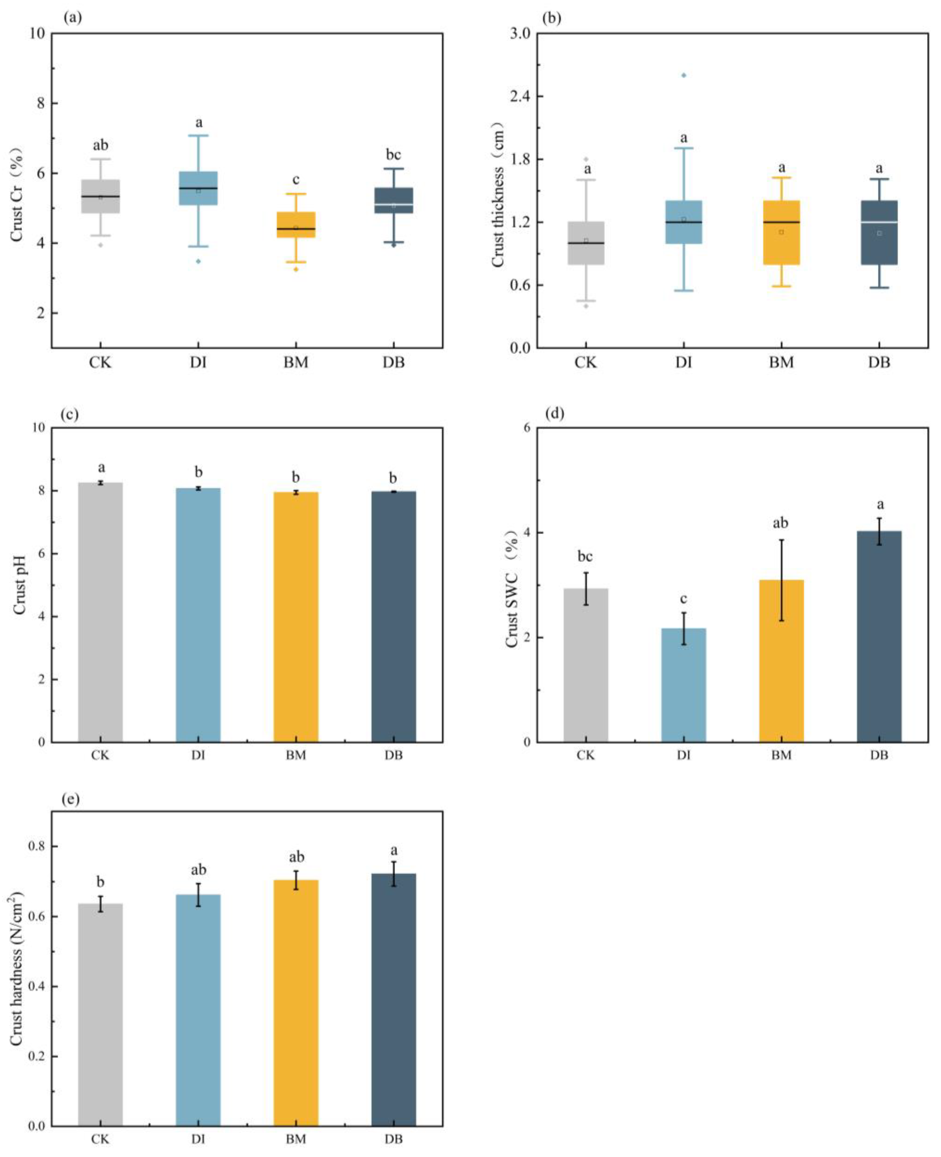
3.1. Physical and Chemical Properties of the Biocrusts
3.2. Effect of the Biocrusts on Fluvo-Aquic Soil Properties
3.3. Effects of Biocrusts on Microbial Nutrient Limitation in Fluvo-Aquic Soil
3.4. Effect of Biocrusts on Ryegrass
4. Discussion
4.1. Diatom Crusts Promote the Growth and Development of Ryegrass Due to Their Advantageous Effects on Soil Structure, Moisture, and Nutrients
4.2. Composite Crusts of Diatoms and B. megatherium Are Less Prone to Microbial Nutrient Limitation, but Plant Growth Is Suboptimal
4.3. Bacillus Megatherium Crusts Are Relatively Smooth, Soil AP Content Is Low, and Microbial C and N Limitations Are Large, Which Are Not Conducive to Plant Growth and Development
5. Conclusions
Author Contributions
Funding
Data Availability Statement
Acknowledgments
Conflicts of Interest
Abbreviations
| ALP | Alkaline phosphatase |
| AN | Available nitrogen |
| AP | Available phosphorus |
| B. megatherium | Bacillus megatherium |
| BD | Soil bulk density |
| BG | β-1,4-glucosidase |
| CBH | β-D-cellobiosidase |
| CP | Capillary porosity |
| Cr | Roughness |
| GMD | Geometric mean diameter |
| LAP | L-leucine aminopeptidase |
| MWD | Mean weight diameter |
| NAG | β-1,4-N-ace-tylglucosaminidase |
| NCP | Noncapillary porosity |
| SMC | Soil moisture content |
| SOC | Soil organic carbon |
| SQI | Soil quality index |
| SWC | Soil water content |
| TCP | Total capillary porosity |
References
- Chamizo, S.; Canton, Y.; Miralles, I.; Domingo, F. Biological soil crust development affects physicochemical characteristics of soil surface in semiarid ecosystems. Soil Biol. Biochem. 2012, 49, 96–105. [Google Scholar] [CrossRef]
- Eldridge, D.J.; Reed, S.; Travers, S.K.; Bowker, M.A.; Maestre, F.T.; Ding, J.; Havrilla, C.; Rodriguez-Caballero, E.; Barger, N.; Weber, B. The pervasive and multifaceted influence of biocrusts on water in the world’s drylands. Glob. Chang. Biol. 2020, 26, 6003–6014. [Google Scholar] [CrossRef] [PubMed]
- García-Carmona, M.; Arcenegui, V.; García-Orenes, F.; Mataix-Solera, J. The role of mosses in soil stability, fertility and microbiology six years after a post-fire salvage logging management. J. Environ. Manag. 2020, 262, 110287. [Google Scholar] [CrossRef] [PubMed]
- Ferrenberg, S.; Faist, A.M.; Howell, A.; Reed, S.C. Biocrusts enhance soil fertility and Bromus tectorum growth, and interact with warming to influence germination. Plant Soil 2018, 429, 77–90. [Google Scholar] [CrossRef]
- Concostrina-Zubiri, L.; Berdugo, M.; Valencia, E.; Mendoza, B.J.; Maestre, F.T. Decomposition of dryland biocrust-forming lichens and mosses contributes to soil nutrient cycling. Plant Soil 2022, 481, 23–24. [Google Scholar] [CrossRef]
- Siwach, A.; Kaushal, S.; Baishya, R. Terricolous mosses impact soil microbial biomass carbon and enzymatic activity under temperate forest types of the Garhwal Himalayas. Environ. Monit. Assess. 2021, 193, 516. [Google Scholar] [CrossRef]
- Rodriguez-Caballero, E.; Belnap, J.; Büdel, B.; Crutzen, P.J.; Andreae, M.O.; Poschl, U.; Weber, B. Dryland photoautotrophic soil surface communities endangered by global change. Nat. Geosci. 2018, 11, 185–189. [Google Scholar] [CrossRef]
- Corbin, J.D.; Thiet, R.K. Temperate biocrusts: Mesic counterparts to their better-known dryland cousins. Front. Ecol. Environ. 2020, 18, 456–464. [Google Scholar] [CrossRef]
- Xiao, L.; Zhang, W.; Hu, P.; Vesterdal, L.; Zhao, J.; Tang, L.; Xiao, D.; Wang, K. Mosses stimulate soil carbon and nitrogen accumulation during vegetation restoration in a humid subtropical area. Soil Biol. Biochem. 2023, 184, 109127. [Google Scholar] [CrossRef]
- Rutherford, W.A.; Painter, T.H.; Ferrenberg, S.; Belnap, J.; Okin, G.S.; Flagg, C.B.; Reed, S.C. Albedo feedbacks to future climate via climate change impacts on dryland biocrusts. Sci. Rep. 2017, 7, 44188. [Google Scholar] [CrossRef]
- Baumann, K.; Jung, P.; Samolov, E.; Lehnert, L.W.; Büdel, B.; Karsten, U.; Bendix, J.; Achilles, S.; Schermer, M.; Matus, F.; et al. Biological soil crusts along a climatic gradient in Chile: Richness and imprints of phototrophic microorganisms in phosphorus biogeochemical cycling. Soil Biol. Biochem. 2018, 127, 286–300. [Google Scholar] [CrossRef]
- Wu, L.; Farías, M.E.; Torres, R.M.; Xia, L.; Song, S.; Saber, A.A.; Lan, S. Salinity affects microbial composition and function in artificially induced biocrusts: Implications for cyanobacterial inoculation in saline soils. Soil Biol. Biochem. 2022, 170, 108691. [Google Scholar] [CrossRef]
- Lan, S.; Wu, L.; Zhang, D.; Hu, C.; Liu, Y. Effects of drought and salt stresses on man-made cyanobacterial crusts. Eur. J. Soil Biol. 2010, 46, 381–386. [Google Scholar] [CrossRef]
- Chamizo, S.; Adessi, A.; Mugnai, G.; Simiani, A.; De Philippis, R. Soil type and cyanobacteria species influence the macromolecular and chemical characteristics of the polysaccharidic matrix in induced biocrusts. Microb. Ecol. 2019, 78, 482–493. [Google Scholar] [CrossRef]
- Green, L.E.; Porras-Alfaro, A.; Sinsabaugh, R.L. Translocation of nitrogen and carbon integrates biotic crust and grass production in desert grassland. J. Ecol. 2008, 96, 1076–1085. [Google Scholar] [CrossRef]
- Wu, Q.; Chen, Y.; Dou, X.; Liao, D.; Li, K.; An, C.; Li, G.; Dong, Z. Microbial fertilizers improve soil quality and crop yield in coastal saline soils by regulating soil bacterial and fungal community structure. Sci. Total Environ. 2024, 949, 175127. [Google Scholar] [CrossRef]
- Van der Heijden, M.G.A.; Klironomos, J.N.; Ursic, M.; Moutoglis, P.; Streitwolf-Engel, R.; Boller, T.; Wiemken, A.; Sanders, I.R. Mycorrhizal fungal diversity determines plant biodiversity, ecosystem variability and productivity. Nature 1998, 396, 69–72. [Google Scholar] [CrossRef]
- Wang, B.; Huang, Y.; Li, N.; Yao, H.; Yang, E.; Soromotin, A.V.; Kuzyakov, Y.; Cheptsov, V.; Yang, Y.; An, S. Initial soil formation by biocrusts: Nitrogen demand and clay protection control microbial necromass accrual and recycling. Soil Biol. Biochem. 2022, 167, 108607. [Google Scholar] [CrossRef]
- Ortiz-Rivero, J.; Garrido-Benavent, I.; Heiðmarsson, S.; de Los Ríos, A. Moss and liverwort covers structure soil bacterial and fungal communities differently in the icelandic highlands. Microb. Ecol. 2023, 86, 1893–1908. [Google Scholar] [CrossRef]
- Cao, Y.H.; Zhao, X.W.; Nie, G.; Wang, Z.Y.; Song, X.; Zhang, M.X.; Hu, J.P.; Zhao, Q.; Jiang, Y.; Zhang, J.L. The salt-tolerance of perennial ryegrass is linked with root exudate profiles and microflora recruitment. Sci. Total Environ. 2024, 916, 170205. [Google Scholar] [CrossRef]
- Yang, L.; Zhu, Y.; Zhao, H.; Chen, X.; Cheng, Z.; Fei, Y. Exogenous Bacillus subtilis can reduce the damage caused by waste drilling fluid to ryegrass (Lolium perenne). Plant Stress 2024, 14, 100641. [Google Scholar] [CrossRef]
- Kou, B.; Yu, T.; Tang, J.; Zhu, X.; Yuan, Y.; Tan, W. Kitchen compost-derived humic acid application promotes ryegrass growth and enhances the accumulation of Cd: An analysis of the soil microenvironment and rhizosphere functional microbes. Sci. Total Environ. 2024, 919, 170879. [Google Scholar] [CrossRef] [PubMed]
- Saleh, A. Soil roughness measurement: Chain method. J. Soil Water Conserv. 1993, 48, 527–529. [Google Scholar]
- Lu, R.K. Analytical Methods of Soil Agrochemistry; Chinese Agriculture Science and Technology Press: Beijing, China, 1999. [Google Scholar]
- Paye, W.S.; Thapa, V.R.; Ghimire, R. Limited impacts of occasional tillage on dry aggregate size distribution and soil carbon and nitrogen fractions in semi-arid drylands. Int. Soil Water Conserv. Res. 2024, 12, 96–106. [Google Scholar] [CrossRef]
- Sun, T.; Wang, Y.; Guo, Y.; Jing, X.; Feng, W. Contrasting elevational patterns of microbial carbon and nutrient limitation in soil from alpine meadow to desert. Catena 2023, 223, 106901. [Google Scholar] [CrossRef]
- Bell, C.W.; Fricks, B.E.; Rocca, J.D.; Steinweg, J.M.; McMahon, S.K.; Wallenstein, M.D. High-throughput fluorometric measurement of potential soil extracellular enzyme activities. J. Vis. Exp. 2013, 81, e50961. [Google Scholar] [CrossRef]
- Wang, L.; Zhang, C.; Peng, J.; Xu, L.; Wang, J.; Cai, C. Splash erosion-induced soil aggregate turnover and associated organic carbon dynamics. Soil Tillage Res. 2024, 235, 105900. [Google Scholar] [CrossRef]
- Liu, Z.J.; Zhou, W.; Shen, J.B.; Li, S.T.; Ai, C. Soil quality assessment of yellow clayey paddy soils with different productivity. Biol. Fertil. Soils 2014, 50, 537–548. [Google Scholar] [CrossRef]
- Qi, Y.B.; Darilek, J.L.; Huang, B.; Zhao, Y.C.; Sun, W.X.; Gu, Z.Q. Evaluating soil quality indices in an agricultural region of Jiangsu Province, China. Geoderma 2009, 149, 325–334. [Google Scholar] [CrossRef]
- Doran, J.W.; Parkin, T.B. Defining and assessing soil quality. In Defining Soil Quality for a Sustainable Environment; SSSA Special Publication; Soil Science Society of America and American Society of Agronomy: Madison, WI, USA, 1994; Volume 35, pp. 1–21. [Google Scholar]
- Zheng, H.; Heděnec, P.; Rousk, J.; Schmidt, I.K.; Peng, Y.; Vesterdal, L. Effects of common European tree species on soil microbial resource limitation, microbial communities and soil carbon. Soil Biol. Biochem. 2022, 172, 108754. [Google Scholar] [CrossRef]
- Mentges, M.I.; Reichert, J.M.; Rodrigues, M.F.; Awe, G.O.; Mentges, L.R. Capacity and intensity soil aeration properties affected by granulometry, moisture, and structure in no-tillage soils. Geoderma 2016, 263, 47–59. [Google Scholar] [CrossRef]
- Cui, Y.; Wang, X.; Zhang, X.; Ju, W.; Duan, C.; Guo, X.; Wang, Y.; Fang, L. Soil moisture mediates microbial carbon and phosphorus metabolism during vegetation succession in a semiarid region. Soil Biol. Biochem. 2020, 147, 107814. [Google Scholar] [CrossRef]
- Ouyang, S.; Tian, Y.; Liu, Q.; Zhang, L.; Wang, R.; Xu, X. Nitrogen competition between three dominant plant species and microbes in a temperate grassland. Plant Soil 2016, 408, 121–132. [Google Scholar] [CrossRef]
- Wu, Q.; Jiang, X.; Zhang, C.; Lu, Q.; Li, J.; Whalen, J.K.; Chen, J. Accumulation of chemically degraded organic carbon in the soil profile of Chinese fir plantations. Can. J. Soil Sci. 2020, 100, 245–252. [Google Scholar] [CrossRef]
- Liang, C.; Schimel, J.; Jastrow, J. The importance of anabolism in microbial control over soil carbon storage. Nat. Microbiol. 2017, 2, 17105. [Google Scholar] [CrossRef]
- Guida, G.; Nicosia, A.; Settanni, L.; Ferro, V. A review on effects of biological soil crusts on hydrological processes. Earth-Sci. Rev. 2023, 243, 104516. [Google Scholar] [CrossRef]
- Gómez-Gallego, T.; Sánchez-Castro, I.; Molina, L.; Trasar-Cepeda, C.; García-Izquierdo, C.; Ramos, J.L.; Segura, A. Phosphorus acquisition by plants: Challenges and promising strategies for sustainable agriculture in the XXI century. Pedosphere 2024, in press. [Google Scholar] [CrossRef]
- Elhaissoufi, W.; Ghoulam, C.; Barakat, A.; Zeroual, Y.; Bargaz, A. Phosphate bacterial solubilization: A key rhizosphere driving force enabling higher P use efficiency and crop productivity. J. Adv. Res. 2022, 38, 13–28. [Google Scholar] [CrossRef]
- Grafe, M.; Goers, M.; von Tucher, S.; Baum, C.; Zimmer, D.; Leinweber, P.; Vestergaard, G.; Kublik, S.; Schloter, M.; Schulz, S. Bacterial potentials for uptake, solubilization and mineralization of extracellular phosphorus in agricultural soils are highly stable under different fertilization regimes. Environ. Microbiol. Rep. 2018, 10, 320–327. [Google Scholar] [CrossRef]
- Cheng, C.; Gao, M.; Zhang, Y.; Long, M.; Wu, Y.; Li, X. Effects of disturbance to moss biocrusts on soil nutrients, enzyme activities, and microbial communities in degraded karst landscapes in southwest China. Soil Biol. Biochem. 2021, 152, 108065. [Google Scholar] [CrossRef]
- Cirri, E.; Pohnert, G. Algae-bacteria interactions that balance the planktonic microbiome. New Phytol. 2019, 223, 100–106. [Google Scholar] [CrossRef] [PubMed]
- Ramanan, R.; Kim, B.H.; Cho, D.H.; Oh, H.M.; Kim, H.S. Algae-bacteria interactions: Evolution, ecology and emerging applications. Biotechnol. Adv. 2016, 34, 14–29. [Google Scholar] [CrossRef] [PubMed]
- Li, T.; Xu, L.; Li, W.; Wang, C.; Gin, K.Y.-H.; Chai, X.; Wu, B. Dissolved organic carbon spurs bacterial-algal competition and phosphorus-paucity adaptation: Boosting Microcystis’ phosphorus uptake capacity. Water Res. 2024, 255, 121465. [Google Scholar] [CrossRef] [PubMed]
- Inselsbacher, E.; Umana, H.N.; Stange, F.C.; Gorfer, M.; Schüller, E.; Ripka, K.; Zechmeister-Boltenstern, S.; Hood-Novotny, R.; Strauss, J.; Wanek, W. Short- term competition between crop plants and soil microbes for inorganic N fertilizer. Soil Biol. Biochem. 2010, 42, 360–372. [Google Scholar] [CrossRef]
- Cui, Y.X.; Fang, L.C.; Guo, X.B.; Wang, X.; Zhang, Y.J.; Li, P.F.; Zhang, X.C. Ecoenzymatic stoichiometry and microbial nutrient limitation in rhizosphere soil in the arid area of the northern Loess Plateau, China. Soil Biol. Biochem. 2018, 116, 11–21. [Google Scholar] [CrossRef]
- Guan, C.; Chen, N.; Qiao, L.; Zhao, C. Contrasting effects of biological soil crusts on soil respiration in a typical steppe. Soil Biol. Biochem. 2022, 169, 108666. [Google Scholar] [CrossRef]
- Secco, D.; Bouain, N.; Rouached, A.; Prom-u-thai, C.; Hanin, M.; Pandey, A.K.; Rouached, H. Phosphate, phytate and phytases in plants: From fundamental knowledge gained in Arabidopsis to potential biotechnological applications in wheat. Crit. Rev. Biotechnol. 2017, 37, 898–910. [Google Scholar] [CrossRef]
- Wang, Y.; Wang, F.; Lu, H.; Liu, Y.; Mao, C. Phosphate uptake and transport in plants: An elaborate regulatory system. Plant Cell Physiol. 2021, 62, 564–572. [Google Scholar] [CrossRef]
- Elser, J.J.; Acharya, K.; Kyle, M.; Cotner, J.; Makino, W.; Markow, T.; Watts, T.; Hobbie, S.; Fagan, W.; Schade, J.; et al. Growth rate–stoichiometry couplings in diverse biota. Ecol. Lett. 2003, 6, 936–943. [Google Scholar] [CrossRef]
- Kuzyakov, Y.; Xu, X. Competition between roots and microorganisms for nitrogen: Mechanisms and ecological relevance. New Phytol. 2013, 198, 656–669. [Google Scholar] [CrossRef]
- ČaČapek, P.; Choma, M.; Tahovská, K.; Kaňa, J.; Kopáček, J.; Šantrůčková, H. Coupling the resource stoichiometry and microbial biomass turnover to predict nutrient mineralization and immobilization in soil. Geoderma 2021, 385, 114884. [Google Scholar] [CrossRef]






| Treatment | MWD (mm) | GMD (mm) | CP (%) | NCP (%) | SWC (%) | SQI |
|---|---|---|---|---|---|---|
| CK | 1.14 ± 0.20 a | 0.46 ± 0.07 a | 40.12 ± 0.03 b | 0.12 ± 0.00 a | 29.89 ± 0.03 b | 0.50 ± 0.01 a |
| DI | 1.15 ± 0.15 a | 0.47 ± 0.05 a | 44.25 ± 0.01 a | 0.19 ± 0.00 a | 36.41 ± 0.02 a | 0.53 ± 0.02 a |
| BM | 1.16 ± 0.32 a | 0.60 ± 0.26 a | 42.35 ± 0.00 ab | 0.21 ± 0.00 a | 32.19 ± 0.01 b | 0.39 ± 0.02 b |
| DB | 1.50 ± 0.19 a | 0.63 ± 0.10 a | 39.75 ± 0.02 b | 0.18 ± 0.00 a | 31.14 ± 0.03 b | 0.54 ± 0.00 a |
| Treatment | BG nmol/h/g | CBH nmol/h/g | NAG nmol/h/g | LAP nmol/h/g | ALP nmol/h/g |
|---|---|---|---|---|---|
| CK | 74.74 ± 13.48 b | 24.94 ± 3.27 bc | 17.81 ± 3.12 b | 86.75 ± 11.11 a | 129.64 ± 10.16 a |
| DI | 84.43 ± 9.27 b | 30.69 ± 0.37 ab | 27.19 ± 1.21 ab | 92.56 ± 1.71 a | 125.79 ± 25.82 a |
| BM | 131.15 ± 6.73 a | 35.27 ± 0.95 a | 37.46 ± 1.54 a | 111.13 ± 6.59 a | 101.10 ± 9.03 a |
| DB | 81.45 ± 15.30 b | 21.20 ± 1.93 c | 29.06 ± 5.81 ab | 99.24 ± 8.16 a | 121.79 ± 9.13 a |
Disclaimer/Publisher’s Note: The statements, opinions and data contained in all publications are solely those of the individual author(s) and contributor(s) and not of MDPI and/or the editor(s). MDPI and/or the editor(s) disclaim responsibility for any injury to people or property resulting from any ideas, methods, instructions or products referred to in the content. |
© 2024 by the authors. Licensee MDPI, Basel, Switzerland. This article is an open access article distributed under the terms and conditions of the Creative Commons Attribution (CC BY) license (https://creativecommons.org/licenses/by/4.0/).
Share and Cite
Zheng, X.; Pan, J.; Sun, Z.; Jiang, Z.; Chen, S.; Liu, Y.; Li, Y.; Li, X.; Sun, X.; Ma, N.; et al. Effects of a Diatom–Bacillus megatherium Biocrust on Nutrient Limitation and Ryegrass Growth in Fluvo-Aquic Soil Along the Yellow River. Agronomy 2024, 14, 2831. https://doi.org/10.3390/agronomy14122831
Zheng X, Pan J, Sun Z, Jiang Z, Chen S, Liu Y, Li Y, Li X, Sun X, Ma N, et al. Effects of a Diatom–Bacillus megatherium Biocrust on Nutrient Limitation and Ryegrass Growth in Fluvo-Aquic Soil Along the Yellow River. Agronomy. 2024; 14(12):2831. https://doi.org/10.3390/agronomy14122831
Chicago/Turabian StyleZheng, Xuejia, Jiachen Pan, Zhongjin Sun, Zhencui Jiang, Shiwei Chen, Yanhui Liu, Yuyang Li, Xin Li, Xiaoting Sun, Ning Ma, and et al. 2024. "Effects of a Diatom–Bacillus megatherium Biocrust on Nutrient Limitation and Ryegrass Growth in Fluvo-Aquic Soil Along the Yellow River" Agronomy 14, no. 12: 2831. https://doi.org/10.3390/agronomy14122831
APA StyleZheng, X., Pan, J., Sun, Z., Jiang, Z., Chen, S., Liu, Y., Li, Y., Li, X., Sun, X., Ma, N., Li, C., Li, Y., Wei, J., Zhang, C., Dong, Z., & Wu, Q. (2024). Effects of a Diatom–Bacillus megatherium Biocrust on Nutrient Limitation and Ryegrass Growth in Fluvo-Aquic Soil Along the Yellow River. Agronomy, 14(12), 2831. https://doi.org/10.3390/agronomy14122831

