Comparative Analysis of Photosynthetic Traits, Yield, and Fruit Quality Among Different Chestnut Cultivars
Abstract
1. Introduction
2. Materials and Methods
2.1. Overview of the Test Site
2.2. Test Materials
2.3. Experimental Design and Testing Method
2.4. Determination of Daily Changes in Leaf Photosynthetic Characteristics
2.5. Determination of Leaf Functional Traits
2.6. Determination of Burs and Nuts Index
2.7. Data Statistics and Analysis
3. Results
3.1. Differences in Functional Traits of Chestnut Leaves Among Different Cultivars
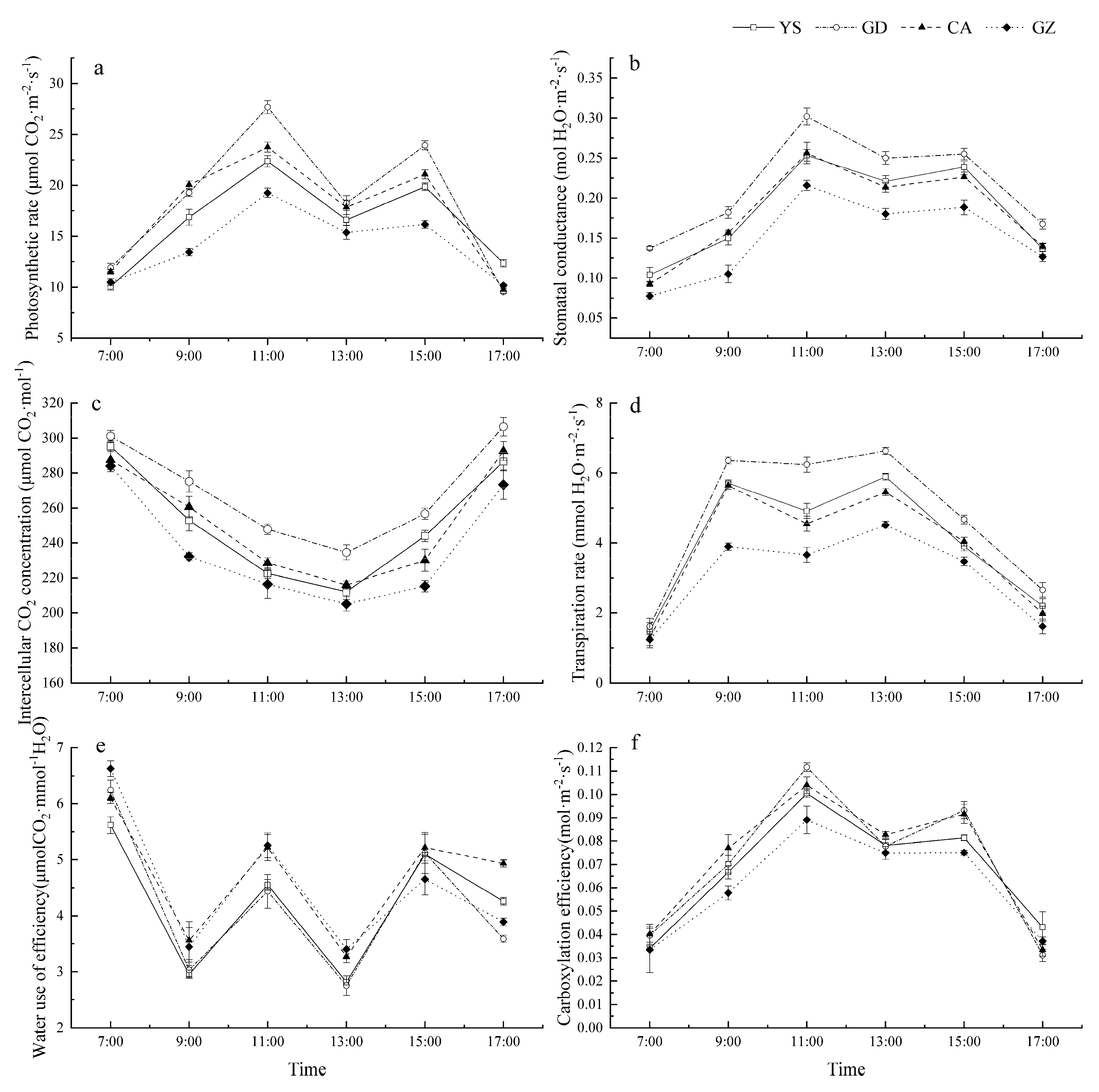
3.2. Differences in Photosynthetic Traits of Leaves of Different Chestnut Cultivars
3.3. Chestnut Fruit Yield
3.4. Chestnut Fruit Quality
3.4.1. Differences in Phenotypic Quality of Chestnut Burs and Nuts Among Different Cultivars
3.4.2. Differences in Internal Quality of Different Chestnut Cultivars
3.5. Relationship Between Photosynthetic Traits, Fruit Yield, and Quality of Chestnut
3.5.1. Correlation Studies Between Photosynthetic Indicators of Chestnut Leaves
3.5.2. Correlation Studies Between Photosynthetic Indicators of Chestnut Leaves and Fruit Yield Indicators
3.5.3. Correlation Studies Between Photosynthetic Characteristics Indicators of Chestnut Leaves and Fruit Quality Indicators
3.5.4. Correlation Studies Between Photosynthetic Characteristics Indicators of Chestnut Leaves and Fruit Internal Quality Indicators
4. Discussion
4.1. Differences in Photosynthetic Characteristics of Chestnut Leaves Among Different Cultivars
4.2. Differences in Fruit Yield and Quality of Chestnut Cultivars
4.2.1. Fruit Setting Characteristics and Phenotypic Quality
4.2.2. Internal Quality of Nuts
4.3. Correlation Between Photosynthetic Characteristics of Leaves and Fruit Quality of Different Chestnut Cultivars
5. Conclusions
Author Contributions
Funding
Data Availability Statement
Acknowledgments
Conflicts of Interest
References
- Hao, H.N.; Li, Q.; Bao, W.J.; Wu, Y.W.; Ouyang, J. Relationship between physicochemical characteristics and in vitro digestibility of chestnut (Castanea mollissima) starch. Food Hydrocoll. 2018, 84, 193–199. [Google Scholar] [CrossRef]
- Lu, S.H.; Yuan, G.J.; Gong, D.F.; Yang, K.; Ma, J.Q. Study on photosynthetic characteristics of European beech in different months. Chin. Wild Plant Resour. 2022, 41, 36–43. [Google Scholar]
- Cui, Q.M. Study on the Relationship Between Photosynthetic Physiological Characteristics and Fruit Yield and Quality of Three Jujube Trees in Northern Shaanxi. Master’s Thesis, Yan’an University, Yan’an, China, 2021. [Google Scholar]
- Xu, Q.; Zheng, L.; Sheng, X.Q.; Yao, H.; Wang, H.; Ding, F.; Chen, J.Z. Study on the differences in leaf physiological characteristics and daily changes of photosynthesis in different chestnut varieties at seedling stage. Hunan For. Sci. Technol. 2019, 46, 47–51. [Google Scholar]
- Sheng, X.Q.; Yao, H.; Wang, H.; Ding, Y.F.; Chen, J.Z. Study on the growth and development of chestnut seedlings. Hunan For. Sci. Technol. 2019, 46, 59–65. [Google Scholar]
- Yang, X.L.; Yang, Q.; Guo, S.H.; Liu, Y.F.; Wang, H.F. Diurnal variation of photosynthesis and related factors of Yanlong chestnut. J. Econ. For. Res. 2008, 26, 67–70. [Google Scholar]
- Zhang, J.L.; Ma, Y.M.; Sun, H.W.; Zhao, J.H.; Hu, S.F.; Yang, D.P. Preliminary study on photosynthetic characteristics of five superior strains of Taishan chestnut. Shandong For. Sci. Technol. 2005, 1, 22–23. [Google Scholar]
- Ding, Y.F. Study on the Differences in Fruit Quality and Seedling Growth Characteristics of Different Chestnut Varieties in Hunan. Master’s Thesis, Central South University of Forestry and Technology, Changsha, China, 2020. [Google Scholar]
- Zhu, C.C.; Ji, F.Y.; Geng, G.M. Fuzzy comprehensive evaluation of important agronomic traits of chestnut varieties (single plant). J. Econ. For. Res. 2017, 35, 13–21. [Google Scholar]
- Wani, G.A.; Shah, M.A.; Tekeu, H.; Reshi, Z.A.; Atangana, A.R.; Khasa, D.P. Phenotypic variability and genetic diversity of Phragmites australis in Quebec and Kashmir reveal contrasting population structure. Plants 2020, 9, 1392. [Google Scholar] [CrossRef]
- Xu, Y.J.; Han, H.B.; Wang, H.; Chen, L.N.; Ma, Q.G.; Pei, D. Nut phenotype and genetic diversity of walnut seedling populations in Daba Mountain area. J. For. Sci. 2016, 52, 111–119. [Google Scholar]
- Guo, Y.; Zhang, S.H.; Li, Y.; Zhang, X.F.; Wang, Y.J.; Wang, G.P. Study on the diversity of leaf phenotypic traits of Yanshan chestnut germplasm resources. Acta Hortic. Sin. 2022, 49, 1673–1688. [Google Scholar]
- Wang, F.F.; Guo, S.J.; Liao, Y.N.; Ma, Y.L. Effects of mulching-fertilization mode on functional traits of chestnut leaves and fruit yield and quality. J. Beijing For. Univ. 2022, 44, 36–46. [Google Scholar]
- Zhang, Y.; Liu, L.; Liang, W.J. Chinese Fruit Trees; China Forestry Publishing House: Beijing, China, 2005. [Google Scholar]
- Fan, X.Y.; Guo, S.J.; Li, Y.H. Analysis of chestnut quality differences in different ecological regions and evaluation of climate adaptability. J. Beijing For. Univ. 2022, 44, 20–30. [Google Scholar]
- Ma, Y.L.; Guo, S.J.; Liao, Y.N.; Wang, F.F. Effects of different canopy bract loads on photosynthetic characteristics and fruit quality of chestnut. J. For. Sci. 2022, 58, 90–97. [Google Scholar]
- Xiao, L.; Wang, S. Plant Physiology Experimental Techniques; China Agriculture Press: Beijing, China, 2005; Volume 56. [Google Scholar]
- Wang, G.P.; Liu, Q.X.; Kong, D.J.; Zhang, Z.H. Comparative study on two methods for determining starch content in chestnut. Anhui Agric. Sci. Bull. 2007, 13, 27–107. [Google Scholar]
- Huang, X.H.; Bie, N.N.; Zhou, S.D. Determination of total nitrogen in surface water by continuous flow analyzer. Anal. Instrum. 2010, 4, 36–38. [Google Scholar]
- Chen, Y.Q. Biochemical Experimental Methods and Techniques; Science Press: Beijing, China, 2002. [Google Scholar]
- Li, X.Y.; Duan, P.H.; Zhang, X.L.; Lan, Y.P. Study on phenolic compounds and antioxidant activity of chestnut fruit. Food Ferment. Ind. 2023, 49, 138–144. [Google Scholar]
- Wang, W.; Cai, C.T.; Zhang, Z.X.; Du, B.; Liu, G.Z. Effects of shading and organic fertilizer on photosynthetic characteristics and growth of Polygonatum cyrtonema. Chin. Med. Mater. 2020, 10, 2357–2362. [Google Scholar]
- Liu, H.Y.; Liang, Z.S.; Shu, Z.M.; Lan, X.J.; Cao, R. Effects of fertilization on photosynthetic light response characteristics of Salvia miltiorrhiza leaves. J. Northwest Agric. For. Univ. (Nat. Sci. Ed.) 2011, 39, 110–114. [Google Scholar]
- Wang, G.P.; Kong, D.J.; Liu, Q.X. Quantitative relationship between chestnut amylopectin content and glutinous properties of nuts. Hebei Fruit Trees 2008, 1, 6–7. [Google Scholar]
- Xu, D.Q. Photosynthesis Efficiency; Shanghai Science and Technology Press: Shanghai, China, 2002. [Google Scholar]
- Kramer, P.J.; Kozlowski, T.T. Physiology of Woody Plants; Academic Press: New York, NY, USA, 1979. [Google Scholar]
- Almeida, L.D.; Figueiredo, F.A.M.M.A.; Deus, B.D.; Viana, L.H.; Ferraz, T.M.; Martins, A.O.; Smith, R.E.B.; Campostrini, E. Plastic covering film can reduce midday depression photosynthesis of field-grown tropical grapevine in high photosynthetic photon flux. Int. Soc. Hort. Sci. 2017, 255–261. [Google Scholar] [CrossRef]
- Wen, X.P.; Luo, C.; Fan, W.G.; Yang, S.X.; Deng, Y.M. Photosynthetic performance and influencing factors of chestnut varieties. J. Guizhou Agric. Coll. 1994, 13, 39–44. [Google Scholar]
- Xu, D.Q. Uneven closure of stomata and non-stomatal limitation of photosynthesis. Plant Physiol. Commun. 1995, 1, 246–252. [Google Scholar]
- Farquhar, G.D.; Sharkey, T.D. Stomatal conductance and photosynthesis. Annu. Rev. Plant Physiol. 1982, 33, 317–345. [Google Scholar] [CrossRef]
- Wang, H.P.; Liu, X.L.; Dong, T.; Sun, W.T.; Yin, X.N.; Niu, J.Q.; Ma, M. Effects of different dwarfing interstocks on photosynthetic physiological characteristics of ‘Changfu 2’ apple leaves. J. Northwest Agric. 2020, 1, 01–09. [Google Scholar]
- Wu, Z.Z.; Wen, Y.; Hu, Z.; Wang, A.L.; Zhou, W.J.; Li, W.S. Bud mutation types of Red Fuji and leaf characteristics and photosynthetic characteristics of bud mutation varieties. Xinjiang Agric. Sci. 2021, 58, 1086–1094. [Google Scholar]
- Pan, R.Z. Plant Physiology; Higher Education Press: Beijing, China, 2004. [Google Scholar]
- Liu, Q.Z.; Dong, H.M.; Liu, P.; Zhang, L.S.; Wang, F.C. Study on photosynthetic characteristics of chestnut. J. Fruit Sci. 2005, 22, 335–338. [Google Scholar]
- Zong, D.; Wang, J.M.; Zhang, Y.; Ma, D.X.; Jiang, F.R.; Zhang, X.L.; He, C.Z. Comparison of autumn photosynthetic characteristics of nine native poplar species in Southwest China. J. Northwest For. Univ. 2022, 37, 57–63. [Google Scholar]
- Cao, S.K.; Qi, F.; Si, J.H.; Chang, Z.Q.; Zhuomacuo; Xi, H.Y.; Su, Y.H. A review of research on water use efficiency of plant leaves. Acta Ecol. Sin. 2009, 27, 3882–3892. [Google Scholar]
- Liu, J.; Li, X.Y.; Li, P.W.; Wang, W.; Zhou, W.; Zhang, J. Chestnut moisture detection method based on near infrared spectroscopy. Trans. Chin. Soc. Agric. Eng. 2010, 26, 338–341. [Google Scholar]
- Liang, L.S. Research on the Material Basis of Chestnut Glutinous Texture. Ph.D. Thesis, Beijing Forestry University, Beijing, China, 2011. [Google Scholar]
- Lu, C.; Guo, S.J. Analysis and comprehensive evaluation of the main nutritional qualities of 16 chestnut germplasm resources. Sci. Technol. Food Ind. 2016, 37, 357–361, 376. [Google Scholar]
- Liu, Y.; Liu, W.X.; Wang, J.J.; Liu, S.; Chen, S.S.; Yang, L.; Cao, Q.Q.; Qin, L. Evaluation of nutritional quality and analysis of sugar components of fried chestnut varieties. J. Beijing Agric. Coll. 2013, 28, 21–24. [Google Scholar]
- Moreira, R.; Chenlo, F.; Torres, M.D.; Prieto, D.M. Technological assessment of chestnut flour doughs regarding to doughs from other commercial flours and formulations. Food Bioprocess Technol. 2012, 5, 2301–2310. [Google Scholar] [CrossRef]
- Sasaki, T.; Yasui, T.; Kiribuchi-Otobe, C.; Yanagisawa, T.; Fujita, M.; Kohyama, K. Rheological properties of starch gels from wheat mutants with reduced amylose content. Cereal Chem. 2007, 84, 102–107. [Google Scholar] [CrossRef]
- Liang, L.S.; Xu, J.; Wang, G.X.; Ma, H.L. Relationship between the gelatinization characteristics of chestnut starch and the starch granule size and amylose content. Chin. J. Agric. Sci. 2009, 42, 251–260. [Google Scholar]
- Zhang, Q.; He, T.M.; Feng, J.J.; Chen, J.F. Light distribution in the crown of pear trees and its effect on fruit quality. Deciduous Fruit Trees 2001, 33, 1–3. [Google Scholar]
- Shen, Q.; Xu, D.B.; Zhang, X.T.; Zu, L.; Wu, L. Comparison of leaf photosynthetic physiology and fruit quality of three blueberry varieties. J. Northeast For. Univ. 2020, 48, 13–17. [Google Scholar]
- Fan, X.Y. Response and Suitability Evaluation of Chestnut Nut Quality to Meteorological Factors and Variety Selection. Master’s Thesis, Beijing Forestry University, Beijing, China, 2022. [Google Scholar]
- Li, H.B.; Wang, J.N.; Chen, Y.J.; Li, R.T. Effects of brassinolide on growth and quality of pitaya. J. South. Agric. 2013, 44, 1150–1153. [Google Scholar]
- Wang, Y.; Fu, X.K.; He, W.; Chen, Q.; Wang, X.R. Effect of Spraying Brassinolide on Fruit Quality of Citrus grandis cv. ‘Huangjinmiyou’ and ‘Hongroumiyou’. IOP Conf. Ser. Earth Environ. Sci. 2019, 358, 022029. [Google Scholar] [CrossRef]
- Lu, J.F. Effects of brassinolide on economic traits and quality of four kinds of fruits. J. Zhejiang Agric. Sci. 2014, 1, 1032–1035. [Google Scholar]


| Cultivar | Chinese Name | Latin Name | Source | Ecological Region | Note (Maturity in Qianxi Area) |
|---|---|---|---|---|---|
| YS | Yanshan zaofeng | C. mollissima ‘Yanshanzaofeng’ | Qianxi, Hebei Province | Huanghuaihai area, China | Mature in early September |
| GD | Guangde dahongpao | C. mollissima ‘Guangdedahongpao’ | Guangde, Anhui Province | Middle and lower reaches of the Yangtze River, China | Mature in late September |
| CA | Chang’an huijianli | C. mollissima ‘Chang’anhuijianli’ | Chang’an, Shaanxi Province | Northwest area, China | Mature in late September |
| GZ | Guizhou youli | C. mollissima ‘Guizhouyouli’ | Yuping, Guizhou Province | Southwest area, China | Mature in mid-September |
| Climate Indicators | Time (h:min) | |||||
|---|---|---|---|---|---|---|
| 7:00 | 9:00 | 11:00 | 13:00 | 15:00 | 17:00 | |
| Light intensity (klx) | 28.8 | 48.1 | 49.9 | 53.5 | 25.0 | 6.1 |
| Temperature (°C) | 23.0 | 27.8 | 29.3 | 31.6 | 27.7 | 26.6 |
| Relative humidity (%) | 86.7 | 73.7 | 71.5 | 66.8 | 67.9 | 70.2 |
| Cultivar | Leaf Area (mm2) | Leaf Shape Index | Specific Leaf Area (mm2·g−1) | Leaf Dry Matter Content (%) | Chlorophyll Content (SPAD) |
|---|---|---|---|---|---|
| YS | 145.18 ± 5.09 a | 1.71 ± 0.06 a | 139.10 ± 5.41 b | 42.86 ± 2.12 b | 52.88 ± 0.97 b |
| GD | 152.95 ± 2.71 a | 1.68 ± 0.12 a | 117.96 ± 5.49 c | 46.73 ± 1.06 a | 55.83 ± 0.28 a |
| CA | 122.13 ± 5.35 ab | 1.71 ± 0.02 a | 124.22 ± 1.08 c | 46.53 ± 1.26 a | 53.23 ± 0.22 ab |
| GZ | 93.42 ± 9.38 b | 1.81 ± 0.16 a | 159.99 ± 2.28 a | 40.36 ± 2.04 c | 47.96 ± 0.14 c |
| Cultivar | Bur Nut Rate (%) | Single Bur Weight (g) | Single Nut Weight (g) | Yield per Plant (kg) |
|---|---|---|---|---|
| YS | 38.47 ± 6.04 a | 52.97 ± 9.00 b | 8.67 ± 1.07 b | 1.94 ± 0.01 b |
| GD | 39.02 ± 8.14 a | 111.36 ± 24.43 a | 15.92 ± 5.75 a | 4.80 ± 0.06 a |
| CA | 29.88 ± 5.67 b | 54.08 ± 21.55 b | 10.60 ± 1.42 b | 2.21 ± 0.03 b |
| GZ | 39.53 ± 4.31 a | 23.75 ± 9.50 c | 7.46 ± 1.47 b | 0.80 ± 0.02 c |
| Cultivar | Bur | Nut | |||||
|---|---|---|---|---|---|---|---|
| Transverse Diameter (mm) | Longitudinal Diameter (mm) | Height (mm) | Transverse Diameter (mm) | Longitudinal Diameter (mm) | Thickness (mm) | Shape Index | |
| YS | 67.06 ± 5.58 b | 51.48 ± 2.08 b | 51.27 ± 4.69 a | 29.37 ± 1.5 bc | 18.95 ± 1.28 c | 23.57 ± 0.95 c | 0.64 ± 0.02 b |
| GD | 82.37 ± 6.92 a | 63.35 ± 5.88 a | 55.48 ± 2.76 a | 35.30 ± 5.19 a | 24.37 ± 3.26 a | 28.17 ± 3.65 a | 0.70 ± 0.09 ab |
| CA | 63.01 ± 8.21 b | 54.43 ± 6.78 b | 54.02 ± 8.87 a | 30.73 ± 1.69 b | 21.96 ± 2.66 b | 26.06 ± 0.93 b | 0.72 ± 0.09 a |
| GZ | 41.10 ± 6.54 c | 39.69 ± 7.88 c | 40.86 ± 6.25 b | 27.33 ± 2.33 c | 17.91 ± 1.39 c | 24.12 ± 1.32 bc | 0.66 ± 0.04 ab |
| Correlation Factors | Pn | Gs | Ci | Tr | Vc | WUE | |
|---|---|---|---|---|---|---|---|
| Photosyn-thetic Traits | Pn | - | |||||
| Gs | 0.98 * | - | |||||
| Ci | 0.99 ** | 0.94 | - | ||||
| Tr | 0.95 | 0.98 * | 0.94 | - | |||
| Vc | 0.96 * | 0.98 * | 0.92 | 0.93 | - | ||
| WUE | −0.65 | −0.76 | −0.64 | −0.86 | 0.66 | - | |
| Chestnut Fruit Yield Traits | Yield ratio | −0.08 | −0.03 | 0.01 | 0.14 | −0.23 | −0.48 |
| Single bur weight | 0.98 * | 0.98 * | 0.98 * | 0.98 * | 0.93 | −0.76 | |
| Single nut weight | 0.98 * | 0.98 * | 0.98 * | 0.98 * | 0.98 * | −0.76 | |
| Yield per plant | 0.99 ** | 0.98 * | 0.99 ** | 0.97 * | 0.93 | −0.72 | |
| Chestnut Fruit Quality Traits | Transverse diameter of bur | 0.92 | 0.97 * | 0.89 | 0.97 * | 0.97 * | −0.82 |
| Longitudinal diameter of bur | 0.97 * | 0.98 * | 0.93 | 0.95 | 0.99 ** | −0.69 | |
| Height of bur | 0.84 | 0.88 | 0.78 | 0.82 | 0.96 * | −0.58 | |
| Transverse diameter of nut | 0.99 ** | 0.98 * | 0.99 ** | 0.95 | 0.95 | −0.64 | |
| Longitudinal diameter of nut | 0.97 * | 0.92 | 0.96 * | 0.84 | 0.93 | −0.44 | |
| Thickness of nut | 0.92 | 0.83 | 0.94 | 0.76 | 0.81 | −0.33 | |
| Nut shape index | 0.62 | 0.51 | 0.6 | 0.35 | 0.62 | 0.17 | |
| Chestnut Fruit Internal quality Traits | Water content | 0.99 ** | 0.97 * | 0.98 * | 0.91 | 0.96 | −0.57 |
| Amylopectin | −0.28 | −0.17 | −0.38 | −0.2 | 0.01 | 0.06 | |
| Amylose | 0.72 | 0.61 | 0.79 | 0.6 | 0.49 | −0.29 | |
| Amylopectin/Amylose | −0.53 | −0.41 | −0.62 | −0.4 | −0.27 | 0.13 | |
| Total starch | 0.98 * | 0.93 | 0.97 | 0.86 | 0.94 | −0.47 | |
| Soluble sugar | −0.57 | −0.42 | −0.64 | −0.36 | −0.34 | −0.04 | |
| Protein | −0.45 | −0.51 | −0.35 | −0.43 | −0.68 | 0.26 | |
| Fat | 0.55 | 0.64 | 0.58 | 0.77 | 0.49 | −0.95 | |
| Total phenols | 0.74 | 0.64 | 0.73 | 0.49 | 0.71 | −0.02 | |
| Total flavonoids | 0.3 | 0.12 | 0.33 | 0.01 | 0.16 | 0.51 | |
Disclaimer/Publisher’s Note: The statements, opinions and data contained in all publications are solely those of the individual author(s) and contributor(s) and not of MDPI and/or the editor(s). MDPI and/or the editor(s) disclaim responsibility for any injury to people or property resulting from any ideas, methods, instructions or products referred to in the content. |
© 2024 by the authors. Licensee MDPI, Basel, Switzerland. This article is an open access article distributed under the terms and conditions of the Creative Commons Attribution (CC BY) license (https://creativecommons.org/licenses/by/4.0/).
Share and Cite
Hou, Y.; Guo, S. Comparative Analysis of Photosynthetic Traits, Yield, and Fruit Quality Among Different Chestnut Cultivars. Agronomy 2024, 14, 2635. https://doi.org/10.3390/agronomy14112635
Hou Y, Guo S. Comparative Analysis of Photosynthetic Traits, Yield, and Fruit Quality Among Different Chestnut Cultivars. Agronomy. 2024; 14(11):2635. https://doi.org/10.3390/agronomy14112635
Chicago/Turabian StyleHou, Yanyan, and Sujuan Guo. 2024. "Comparative Analysis of Photosynthetic Traits, Yield, and Fruit Quality Among Different Chestnut Cultivars" Agronomy 14, no. 11: 2635. https://doi.org/10.3390/agronomy14112635
APA StyleHou, Y., & Guo, S. (2024). Comparative Analysis of Photosynthetic Traits, Yield, and Fruit Quality Among Different Chestnut Cultivars. Agronomy, 14(11), 2635. https://doi.org/10.3390/agronomy14112635
