Comparison of Structure and Physicochemical Properties of Starches from Hybrid Foxtail Millets and Their Parental Lines
Abstract
1. Introduction
2. Materials and Methods
2.1. Plant Materials
2.2. Starch Sample Preparation
2.3. The Determination of Amylose Content
2.4. Scanning Electron Microscope Analysis
2.5. Starch Granule Size Analysis
2.6. X-ray Diffraction Analysis of Starch
2.7. Fourier-Transform Infrared Spectroscopy Analysis of Starch
2.8. Pasting Properties
2.9. Thermal Property
2.10. Statistical Analysis
3. Results
3.1. Basic Components of Isolated Starch
3.2. Morphology Structure and Distribution of Starch Granules
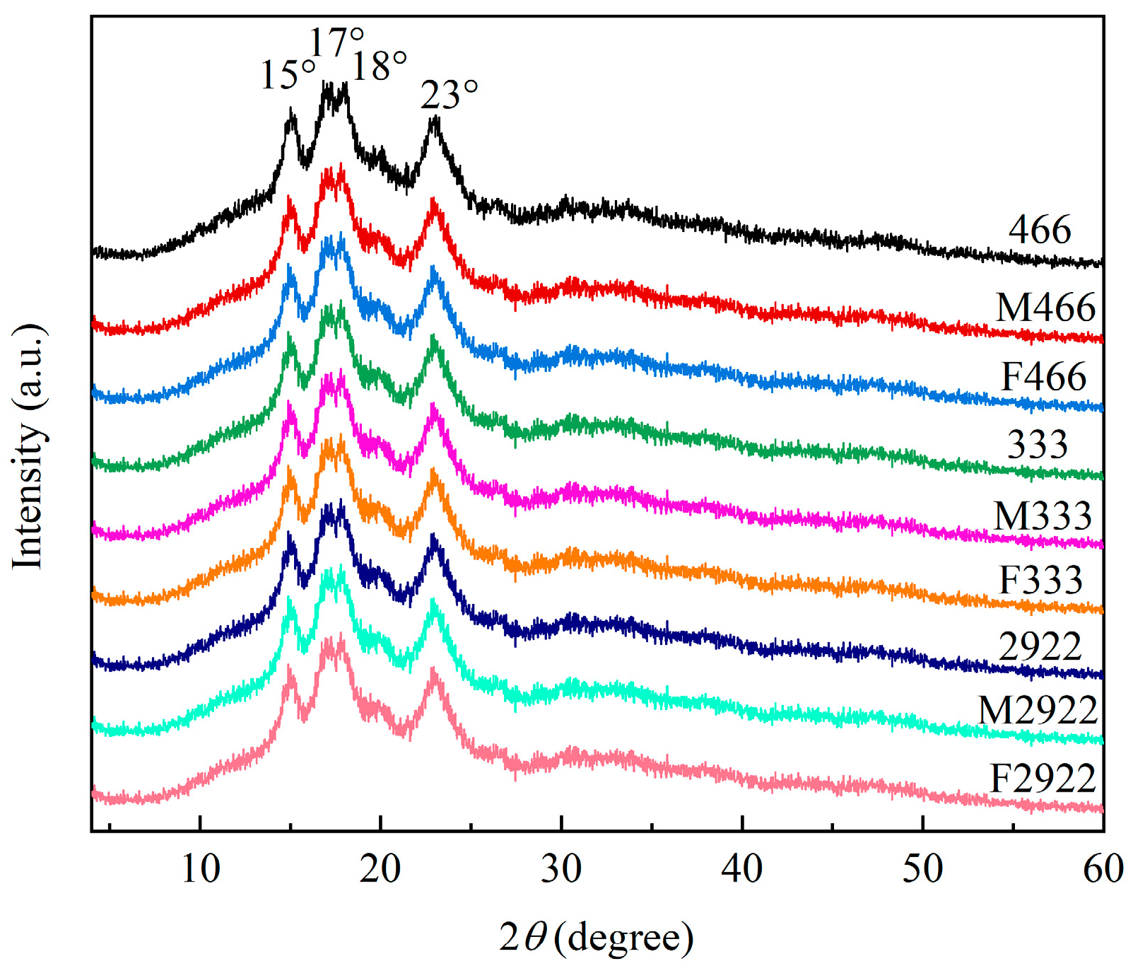
3.3. The Crystalline Structure of Starch
3.4. Short-Range Ordered Structure of Starch
3.5. Thermal Property of Starch
3.6. Starch Pasting Property
3.7. Clustering Heat Maps of Fine Structure and Physicochemical Properties of Hybrid Foxtail Millet and Its Parent Starch
4. Discussion
5. Conclusions
Author Contributions
Funding
Data Availability Statement
Acknowledgments
Conflicts of Interest
References
- Zhang, L.; Ma, K.; Zhao, X.; Li, Z.; Zhang, X.; Li, W.; Meng, R.; Lu, B.; Yuan, X. Development of a comprehensive quality evaluation system for foxtail millet from different ecological regions. Foods 2023, 12, 2545. [Google Scholar] [CrossRef] [PubMed]
- Fukunaga, K.; Kawase, M. Crop evolution of foxtail millet. Plants 2024, 13, 218. [Google Scholar] [CrossRef] [PubMed]
- He, Q.; Tang, S.; Zhi, H.; Chen, J.; Zhang, J.; Liang, H.; Diao, X. A graph-based genome and pan-genome variation of the model plant Setaria. Nat. Genet. 2023, 55, 1232–1242. [Google Scholar] [CrossRef] [PubMed]
- Li, B.; Liu, X.; Li, Z.; Wang, G.; Zhao, B.; Xu, X.; Qi, Z.Z.; Wang, G.Q.; Dong, Z. Rotation with Soybean Improved Weed Control and Foxtail Millet Yield. Agronomy 2024, 14, 1622. [Google Scholar] [CrossRef]
- Zhang, W.; Wang, B.; Liu, B.; Chen, Z.; Lu, G.; Ge, Y.; Bai, C. Trait selection for yield improvement in foxtail millet (Setaria italica Beauv.) under climate change in the North China plain. Agronomy 2022, 12, 1500. [Google Scholar] [CrossRef]
- Gu, Z.; Gong, J.; Zhu, Z.; Li, Z.; Feng, Q.; Wang, C.; Zhao, Y.; Zhan, Q.; Zhou, C.; Wang, A.; et al. Structure and function of rice hybrid genomes reveal genetic basis and optimal performance of heterosis. Nat. Genet. 2023, 55, 1745–1756. [Google Scholar] [CrossRef]
- Song, H.; Wang, T.; Li, L.; Xing, L.; Xie, H.; Feng, B.; Liu, J. Comparative transcriptome analysis provides insights into grain filling commonalities and differences between foxtail millet [Setaria italica (L.) P. Beauv.] varieties with different panicle types. PeerJ 2022, 10, e12968. [Google Scholar] [CrossRef]
- Yu, P.; Ye, C.; Li, L.; Yin, H.; Zhao, J.; Wang, Y.; Tian, B. Genome-wide association study and genomic prediction for yield and grain quality traits of hybrid rice. Mol. Breed. 2022, 42, 16. [Google Scholar] [CrossRef]
- Amegbor, I.K.; van Biljon, A.; Shargie, N.; Tarekegne, A.; Labuschagne, M. Heritability and associations among grain yield and quality traits in quality protein maize (QPM) and non-QPM hybrids. Plants 2022, 11, 713. [Google Scholar] [CrossRef]
- Pan, L.X. Evolutionary Analysis of the Main Grain Quality Traits in Indica Hybrid Rice Restorer Lines. Ph.D. Thesis, Yangzhou University, Yangzhou, China, 2022. [Google Scholar] [CrossRef]
- Zhu, D.; Zheng, X.; Yu, J.; Chen, M.; Li, M.; Shao, Y. Effects of Starch Molecular Structure and Physicochemical Properties on Eating Quality of Indica Rice with Similar Apparent Amylose and Protein Contents. Foods 2023, 12, 3535. [Google Scholar] [CrossRef]
- Zhang, X.; Shen, Q.; Yang, Y.; Zhang, F.; Wang, C.; Liu, Z.; Zhao, Q.; Wang, X.; Diao, X.; Cheng, R. Structural, functional and mechanistic insights uncover the role of starch in foxtail millet cultivars with different congee-making quality. Int. J. Biol. Macromol. 2023, 242, 125107. [Google Scholar] [CrossRef] [PubMed]
- Mahajan, P.; Bera, M.B.; Panesar, P.S.; Chauhan, A. Millet starch: A review. Int. J. Biol. Macromol. 2021, 180, 61–79. [Google Scholar] [CrossRef] [PubMed]
- Zhang, T.; Li, K.; Ding, X.; Sui, Z.; Yang, Q.; Shah, N.; Liu, G.; Corke, H. Starch properties of high and low amylose proso millet (Panicum miliaceum L.) genotypes are differentially affected by varying salt and pH. Food Chem. 2021, 337, 127784. [Google Scholar] [CrossRef] [PubMed]
- Punia, S.; Kumar, M.; Siroha, A.K.; Kennedy, J.F.; Dhull, S.B.; Whiteside, W.S. Pearl millet grain as an emerging source of starch: A review on its structure, physicochemical properties, functionalization, and industrial applications. Carbohydr. Polym. 2021, 260, 117776. [Google Scholar] [CrossRef]
- Shi, P.; Zhao, Y.; Qin, F.; Liu, K.; Wang, H. Understanding the multi-scale structure and physicochemical properties of millet starch with varied amylose content. Food Chem. 2023, 410, 135422. [Google Scholar] [CrossRef]
- Shi, S.; Pan, K.; Yu, M.; Li, L.; Tang, J.; Cheng, B.; Jiang, Y. Differences in starch multi-layer structure, pasting, and rice eating quality between fresh rice and 7 years stored rice. Curr. Res. Food Sci. 2022, 5, 1379–1385. [Google Scholar] [CrossRef]
- Chi, C.; Li, X.; Huang, S.; Chen, L.; Zhang, Y.; Li, L.; Miao, S. Basic principles in starch multi-scale structuration to mitigate digestibility: A review. Trends Food Sci. Technol. 2021, 109, 154–168. [Google Scholar] [CrossRef]
- Chang, L.; Liu, Y.; Niu, R.; Yang, Q.; Liang, J.; Li, R.; Zhang, R.; Yang, P.; Du, S.K. Antioxidant activities, structure, physicochemical properties and in vitro digestibility of different millets (foxtail and proso). Int. J. Food Sci. Technol. 2023, 58, 5017–5026. [Google Scholar] [CrossRef]
- Punia, S. Barley starch: Structure, properties and in vitro digestibility—A review. Int. J. Biol. Macromol. 2020, 155, 868–875. [Google Scholar] [CrossRef]
- Hu, W.X.; Chen, J.; Xu, F.; Chen, L.; Zhao, J.W. Study on crystalline, gelatinization and rheological properties of japonica rice flour as affected by starch fine structure. Int. J. Biol. Macromol. 2020, 148, 1232–1241. [Google Scholar] [CrossRef]
- Xing, B.; Yang, X.; Zou, L.; Liu, J.; Liang, Y.; Li, M.; Zhang, Z.; Wang, N.; Ren, G.X.; Zhang, L.Z.; et al. Starch chain-length distributions determine cooked foxtail millet texture and starch physicochemical properties. Carbohydr. Polym. 2023, 320, 121240. [Google Scholar] [CrossRef] [PubMed]
- Ansah, E.O.; Chen, G.; Xiong, F.; Wu, Y. Endosperm starch in rice: What influences its structure, properties, and biosynthesis. Acta Physiol. Plant. 2023, 45, 12. [Google Scholar] [CrossRef]
- Peng, Y.; Mao, B.; Zhang, C.; Shao, Y.; Wu, T.; Hu, L.; Zhao, B. Influence of physicochemical properties and starch fine structure on the eating quality of hybrid rice with similar apparent amylose content. Food Chem. 2021, 353, 129461. [Google Scholar] [CrossRef] [PubMed]
- Guo, J.; Wang, Z.; Qu, L.; Hao, D.; Lu, D. Comparison of the physicochemical properties of starches from maize reciprocal F1 hybrids and their parental lines. Food Chem. X 2023, 17, 100561. [Google Scholar] [CrossRef]
- Li, Y.H. Study on Combination Ability, Heterosis and Starch Properties of Nucleus-Cytoplasmic Hybrid Wheat. Master’s Thesis, Northwest A&F University, Yangling, China, 2021. [Google Scholar] [CrossRef]
- Lin, L.; Guo, D.; Zhao, L.; Zhang, X.; Wang, J.; Zhang, F.; Wei, C. Comparative structure of starches from high-amylose maize inbred lines and their hybrids. Food Hydrocoll. 2016, 52, 19–28. [Google Scholar] [CrossRef]
- Kang, X.; Zhu, W.; Xu, T.; Sui, J.; Gao, W.; Liu, Z.; Jing, H.; Cui, B.; Qiao, X.; Abd El-Aty, A. Characterization of starch structures isolated from the grains of waxy, sweet, and hybrid sorghum (Sorghum bicolor L. Moench). Front. Nutr. 2022, 9, 1052285. [Google Scholar] [CrossRef]
- Li, K.; Zhang, T.; Narayanamoorthy, S.; Jin, C.; Sui, Z.; Li, Z.; Li, S.G.; Wu, K.; Liu, G.Q.; Corke, H. Diversity analysis of starch physicochemical properties in 95 proso millet (Panicum miliaceum L.) accessions. Food Chem. 2020, 324, 126863. [Google Scholar] [CrossRef]
- Ministry of Agriculture of the People’s Republic of China. Determination of Amylose Content in Rice, Spectrophotometry Method, (NY/T 2639-2014). 2015. Available online: https://hbba.sacinfo.org.cn/stdDetail/71458d414c10b124a12abac29b068281e3fb2f2d1e9f11832161a2ff0255e3e5 (accessed on 10 December 2021).
- Wang, H.; Xu, K.; Liu, X.; Zhang, Y.; Xie, X.; Zhang, H. Understanding the structural, pasting and digestion properties of starch isolated from frozen wheat dough. Food Hydrocoll. 2021, 111, 106168. [Google Scholar] [CrossRef]
- Siroha, A.K.; Sandhu, K.S.; Kaur, M.; Kaur, V. Physicochemical, rheological, morphological and in vitro digestibility properties of pearl millet starch modified at varying levels of acetylation. Int. J. Biol. Macromol. 2019, 131, 1077–1083. [Google Scholar] [CrossRef]
- Qi, Y.; Wang, N.; Yu, J.; Wang, S.; Wang, S.; Copeland, L. Insights into structure-function relationships of starch from foxtail millet cultivars grown in China. Int. J. Biol. Macromol. 2020, 155, 1176–1183. [Google Scholar] [CrossRef]
- Chi, C.; Li, X.; Zhang, Y.; Chen, L.; Li, L.; Miao, S. Progress in tailoring starch intrinsic structures to improve its nutritional value. Food Hydrocoll. 2021, 113, 106447. [Google Scholar] [CrossRef]
- Nakamura, Y.; Yashiro, K.; Matsuba, G.; Wang, Y.; Mizutani, G.; Ono, M.; Bao, J. The relationship between the fine structure of amylopectin and the type of crystalline allomorph of starch granules in rice endosperm. Cereal Chem. 2023, 100, 721–733. [Google Scholar] [CrossRef]
- Chang, L.; Dang, Y.; Yang, M.; Liu, Y.; Ma, J.; Liang, J.; Li, R.; Zhang, R.; Du, S. Effects of Lactobacillus plantarum fermentation on the structure, physicochemical properties, and digestibility of foxtail millet starches. Int. J. Biol. Macromol. 2024, 270, 132496. [Google Scholar] [CrossRef] [PubMed]
- Liu, Z.D.; Wang, J.; Li, L.; Wu, P. Mechanistic insights into the role of starch multi-level structures in functional properties of high-amylose rice cultivars. Food Hydrocoll. 2021, 113, 106441. [Google Scholar] [CrossRef]
- Borah, P.K.; Rappolt, M.; Duary, R.K.; Sarkar, A. Structurally induced modulation of in vitro digestibility of amylopectin corn starch upon esterification with folic acid. Int. J. Biol. Macromol. 2019, 129, 361–369. [Google Scholar] [CrossRef]
- Deng, C.; Wang, B.; Jin, Y.; Yu, Y.; Zhang, Y.; Shi, S.; Wang, Y.F.; Zheng, M.M.; Yu, Z.Y.; Zhou, Y. Effects of starch multiscale structure on the physicochemical properties and digestibility of Radix Cynanchi bungei starch. Int. J. Biol. Macromol. 2023, 253, 126873. [Google Scholar] [CrossRef]
- Wang, W.; Guan, L.; Seib, P.A.; Shi, Y.C. Settling volume and morphology changes in cross-linked and unmodified starches from wheat, waxy wheat, and waxy maize in relation to their pasting properties. Carbohydr. Polym. 2018, 196, 18–26. [Google Scholar] [CrossRef]
- Wang, X.; Jin, Y.; Cheng, L.; Li, Z.; Li, C.; Ban, X.; Hong, Y. Pasting properties and multi-scale structures of Spirodela starch and its comparison with normal corn and rice starch. Food Hydrocoll. 2022, 132, 107865. [Google Scholar] [CrossRef]
- Hong, J.; Guo, W.; Chen, P.; Liu, C.; Wei, J.; Zheng, X.; Omer, S.H.S. Effects of bifidobacteria fermentation on physico-chemical, thermal and structural properties of wheat starch. Foods 2022, 11, 2585. [Google Scholar] [CrossRef]
- Xu, K.; Chi, C.; She, Z.; Liu, X.; Zhang, Y.; Wang, H.; Zhang, H. Understanding how starch constituent in frozen dough following freezing-thawing treatment affected quality of steamed bread. Food Chem. 2022, 366, 130614. [Google Scholar] [CrossRef]
- Revilla, P.; Anibas, C.M.; Tracy, W.F. Sweet corn research around the world 2015–2020. Agronomy 2021, 11, 534. [Google Scholar] [CrossRef]
- Lv, P.; Liu, J.; Wang, Q.; Zhang, D.; Duan, X.; Sun, H. Influence of accelerating storage of foxtail millet on the edible and cooking quality of its porridge: An insight into the structural alteration of the in-situ protein and starch and physicochemical properties. Int. J. Biol. Macromol. 2023, 240, 124375. [Google Scholar] [CrossRef] [PubMed]
- Chang, L.; Zhao, N.; Jiang, F.; Ji, X.; Feng, B.; Liang, J.; Yu, X.Z.; Du, S.K. Structure, physicochemical, functional and in vitro digestibility properties of non-waxy and waxy proso millet starches. Int. J. Biol. Macromol. 2023, 224, 594–603. [Google Scholar] [CrossRef] [PubMed]
- Peng, Y.; Mao, B.; Zhang, C.; Shao, Y.; Wu, T.; Hu, L.; Hu, Y.; Tang, L.; Li, Y.; Zhao, B.; et al. Correlations between parental lines and indica hybrid rice in terms of eating quality traits. Front. Nutr. 2021, 7, 583997. [Google Scholar] [CrossRef] [PubMed]
- Zhong, Y.; Wu, Y.; Blennow, A.; Li, C.; Guo, D.; Liu, X. Structural characterization and functionality of starches from different high-amylose maize hybrids. LWT 2020, 134, 110176. [Google Scholar] [CrossRef]
- Zhang, X.D.; Gao, X.C.; Li, Z.W.; Xu, L.C.; Li, Y.B.; Zhang, R.H.; Xue, J.Q.; Guo, D.W. The effect of amylose on kernel phenotypic characteristics, starch-related gene expression and amylose inheritance in naturally mutated high-amylose maize. J. Integr. Agric. 2020, 19, 1554–1564. [Google Scholar] [CrossRef]
- Zhou, D.; Zhou, X.; Sun, C.; Tang, G.; Liu, L.; Chen, L.; Hen, H.; Xiong, Q. Transcriptome and Metabolome Analysis Provides Insights into the Heterosis of Yield and Quality Traits in Two Hybrid Rice Varieties (Oryza sativa L.). Int. J. Mol. Sci. 2022, 23, 12934. [Google Scholar] [CrossRef]
- Zhu, D.; Fang, C.; Qian, Z.; Guo, B.; Huo, Z. Differences in starch structure, physicochemical properties and texture characteristics in superior and inferior grains of rice varieties with different amylose contents. Food Hydrocoll. 2021, 110, 106170. [Google Scholar] [CrossRef]
- Xu, Y.J.; Li, Y.Y.; Qian, X.Y.; Wang, Z.Q.; Yang, J.C. Comparison of Starch Granule Morphology and Size Distribution in Superior and Inferior Grains of Three Cereal Crops. Acta Agron. Sin. 2016, 42, 70–81. [Google Scholar] [CrossRef]
- Peng, D.; Zhang, J.; Meng, L.; Liu, M.; Tang, Y.; Wang, X.; Yang, W.; Xu, H.; Yang, D. Penalties in Granule Size Distribution and Viscosity Parameters of Starch Caused by Lodging in Winter Wheat. Agronomy 2024, 14, 1574. [Google Scholar] [CrossRef]






| Variety | Female Parent | Male Parent |
|---|---|---|
| 466 (Changzagu466) | F466 (Gu3A) | M466 (K34) |
| 333 (Changzagu333) | F333 (Gao51A) | M333 (K410) |
| 2922 (Changzagu2922) | F2922 (Jin29A) | M2922 (M22) |
| Variety | Moisture Content (%) | Protein (%) | Fat (%) |
|---|---|---|---|
| 466 | 8.27 ± 0.07 a | 0.53 ± 0.01 b | 0.09 ± 0.01 def |
| M466 | 7.52 ± 0.17 b | 0.53 ± 0.03 b | 0.07 ± 0.01 efg |
| F466 | 7.00 ± 0.13 d | 0.52 ± 0.01 b | 0.14 ± 0.02 b |
| 333 | 6.96 ± 0.21 d | 0.51 ± 0.02 b | 0.06 ± 0.00 gf |
| M333 | 5.77 ± 0.02 f | 0.45 ± 0.02 c | 0.05 ± 0.01 g |
| F333 | 7.55 ± 0.24 b | 0.53 ± 0.02 b | 0.23 ± 0.01 a |
| 2922 | 7.20 ± 0.06 cd | 0.53 ± 0.02 b | 0.11 ± 0.03 bcd |
| M2922 | 7.33 ± 0.12 bc | 0.54 ± 0.01 ab | 0.10 ± 0.01 cde |
| F2922 | 6.07 ± 0.04 e | 0.58 ± 0.04 a | 0.13 ± 0.00 bc |
| Variety | d0.1 (μm) | d0.5 (μm) | d0.9 (μm) | d[4, 3] (μm) | d[3, 2] (μm) | RC (%) | R1047/1022 |
|---|---|---|---|---|---|---|---|
| 466 | 7.83 ± 0.01 a | 11.90 ± 0.00 b | 18.00 ± 0.00 gf | 12.50 ± 0.10 b | 11.30 ± 0.10 b | 22.12 ± 0.08 b | 0.86 ± 0.01 b |
| M466 | 6.11 ± 0.01 e | 10.40 ± 0.00 e | 18.30 ± 0.10 ef | 11.50 ± 0.00 c | 9.66 ± 0.01 d | 21.11 ± 0.03 d | 0.80 ± 0.01 c |
| F466 | 7.40 ± 0.20 b | 12.80 ± 0.10 a | 23.00 ± 0.10 a | 14.10 ± 0.10 a | 11.80 ± 0.00 a | 21.58 ± 0.10 c | 0.90 ± 0.01 a |
| 333 | 6.94 ± 0.04 c | 11.50 ± 0.20 c | 19.10 ± 0.10 c | 12.40 ± 0.10 b | 10.70 ± 0.10 c | 20.17 ± 0.01 f | 0.86 ± 0.01 b |
| M333 | 5.71 ± 0.01 f | 9.93 ± 0.02 f | 18.50 ± 0.10 de | 11.20 ± 0.00 d | 9.21 ± 0.01 e | 16.99 ± 0.05 h | 0.90 ± 0.00 a |
| F333 | 7.73 ± 0.03 a | 11.70 ± 0.00 bc | 17.80 ± 0.10 g | 12.30 ± 0.20 b | 11.10 ± 0.10 b | 18.72 ± 0.03 g | 0.89 ± 0.00 a |
| 2922 | 6.67 ± 0.06 d | 11.20 ± 0.20 d | 19.40 ± 0.20 c | 12.30 ± 0.30 b | 10.40 ± 0.30 c | 21.14 ± 0.02 d | 0.86 ± 0.01 b |
| M2922 | 6.06 ± 0.06 e | 10.40 ± 0.00 e | 18.70 ± 0.40 d | 11.60 ± 0.00 c | 9.67 ± 0.04 d | 20.39 ± 0.13 e | 0.81 ± 0.00 c |
| F2922 | 6.60 ± 0.10 d | 11.20 ± 0.20 d | 20.00 ± 0.00 b | 12.40 ± 0.10 b | 10.40 ± 0.30 c | 22.93 ± 0.05 a | 0.90 ± 0.02 a |
| Variety | ∆H (J/g) | Tp (°C) | To (°C) | Tc (°C) |
|---|---|---|---|---|
| 466 | 12.73 ± 0.16 c | 74.12 ± 0.21 c | 68.52 ± 0.31 b | 82.11 ± 0.21 ab |
| M466 | 12.21 ± 0.08 e | 73.64 ± 0.68 cde | 68.63 ± 0.54 b | 80.10 ± 0.27 d |
| F466 | 12.68 ± 0.07 cd | 73.59 ± 0.48 cde | 67.28 ± 0.37 c | 80.27 ± 0.26 cd |
| 333 | 13.42 ± 0.05 a | 73.06 ± 0.32 de | 66.50 ± 0.38 d | 82.46 ± 0.53 a |
| M333 | 12.55 ± 0.08 d | 72.81 ± 0.71 e | 67.13 ± 0.36 cd | 79.30 ± 0.07 e |
| F333 | 13.13 ± 0.02 b | 76.85 ± 0.53 a | 72.26 ± 0.12 a | 81.68 ± 0.44 b |
| 2922 | 11.85 ± 0.07 g | 73.86 ± 0.65 cd | 66.91 ± 0.21 cd | 81.67 ± 0.13 b |
| M2922 | 11.48 ± 0.05 h | 74.37 ± 0.34 bc | 66.79 ± 0.33 cd | 80.93 ± 0.67 c |
| F2922 | 12.03 ± 0.06 f | 75.22 ± 0.31 b | 68.63 ± 0.33 b | 80.55 ± 0.15 cd |
| Variety | PV (cP) | TV (cP) | BD (cP) | FV (cP) | SB (cP) | PT (°C) |
|---|---|---|---|---|---|---|
| 466 | 5235.5 ± 4.5 de | 1978.0 ± 82.0 abcd | 3257.5 ± 77.5 c | 3951.0 ± 91.0 e | 1973.0 ± 9.0 d | 75.0 ± 0.40 cd |
| M466 | 5321.0 ± 35.0 d | 1947.0 ± 71.0 bcd | 3374.0 ± 36.0 c | 4066.5 ± 88.5 de | 2119.5 ± 17.5 cd | 74.9 ± 0.40 cd |
| F466 | 6006.0 ± 38.0 a | 2086.0 ± 91.0 ab | 3920.0 ± 53.0 a | 4278.5 ± 178.7 cd | 2192.5 ± 89.9 c | 75.0 ± 0.40 cd |
| 333 | 5473.8 ± 76.0 c | 1999.5 ± 3.5 abc | 3474.3 ± 79.3 b | 4432.0 ± 73.7 bc | 2432.5 ± 77.0 b | 74.1 ± 0.48 e |
| M333 | 5337.5 ± 47.5 d | 1851.5 ± 67.5 de | 3486.0 ± 115.0 b | 4649.5 ± 5.5 a | 2798.0 ± 73.0 a | 74.9 ± 0.43 cd |
| F333 | 5639.5 ± 62.5 b | 1882.5 ± 98.5 cde | 3757.0 ± 161.0 a | 3964.5 ± 79.5 e | 2082.0 ± 178.0 cd | 78.1 ± 0.43 a |
| 2922 | 5190.8 ± 55.3 e | 1931.0 ± 54.0 cde | 3259.8 ± 108.2 c | 4672.0 ± 23.0 a | 2741.0 ± 77.0 a | 75.4 ± 0.05 c |
| M2922 | 5580.7 ± 98.7 bc | 2115.0 ± 16.0 a | 3466.67 ± 114.4 b | 4335.5 ± 97.5 c | 2220.5 ± 81.5 c | 74.6 ± 0.05 de |
| F2922 | 5257.0 ± 60.0 de | 1799.3 ± 97.7 e | 3464.0 ± 47.0 b | 4622.5 ± 175.5 ab | 2823.2 ± 78.2 a | 76.9 ± 0.03 b |
Disclaimer/Publisher’s Note: The statements, opinions and data contained in all publications are solely those of the individual author(s) and contributor(s) and not of MDPI and/or the editor(s). MDPI and/or the editor(s) disclaim responsibility for any injury to people or property resulting from any ideas, methods, instructions or products referred to in the content. |
© 2024 by the authors. Licensee MDPI, Basel, Switzerland. This article is an open access article distributed under the terms and conditions of the Creative Commons Attribution (CC BY) license (https://creativecommons.org/licenses/by/4.0/).
Share and Cite
Zhang, G.; Guo, Y.; Du, W.; Jiang, L.; Wang, Z.; Tian, G.; Liu, H.; Liu, X.; Zheng, X.; Guo, J.; et al. Comparison of Structure and Physicochemical Properties of Starches from Hybrid Foxtail Millets and Their Parental Lines. Agronomy 2024, 14, 2527. https://doi.org/10.3390/agronomy14112527
Zhang G, Guo Y, Du W, Jiang L, Wang Z, Tian G, Liu H, Liu X, Zheng X, Guo J, et al. Comparison of Structure and Physicochemical Properties of Starches from Hybrid Foxtail Millets and Their Parental Lines. Agronomy. 2024; 14(11):2527. https://doi.org/10.3390/agronomy14112527
Chicago/Turabian StyleZhang, Guiying, Yurong Guo, Wenjuan Du, Longbo Jiang, Zhenhua Wang, Gang Tian, Hong Liu, Xin Liu, Xiangyang Zheng, Jie Guo, and et al. 2024. "Comparison of Structure and Physicochemical Properties of Starches from Hybrid Foxtail Millets and Their Parental Lines" Agronomy 14, no. 11: 2527. https://doi.org/10.3390/agronomy14112527
APA StyleZhang, G., Guo, Y., Du, W., Jiang, L., Wang, Z., Tian, G., Liu, H., Liu, X., Zheng, X., Guo, J., & Li, H. (2024). Comparison of Structure and Physicochemical Properties of Starches from Hybrid Foxtail Millets and Their Parental Lines. Agronomy, 14(11), 2527. https://doi.org/10.3390/agronomy14112527

