Dynamic Analysis of UPLC-MS/MS for Sugar and Organic Acid Components of Pears with Different Flesh Texture Types During Development
Abstract
1. Introduction
2. Materials and Methods
2.1. Materials
2.2. Chemicals and Reagents
2.3. Extraction and Determination of Sugars and Organic Acids
2.4. Determination of SSCs and Texture Traits
2.5. Statistical Analyses
3. Results
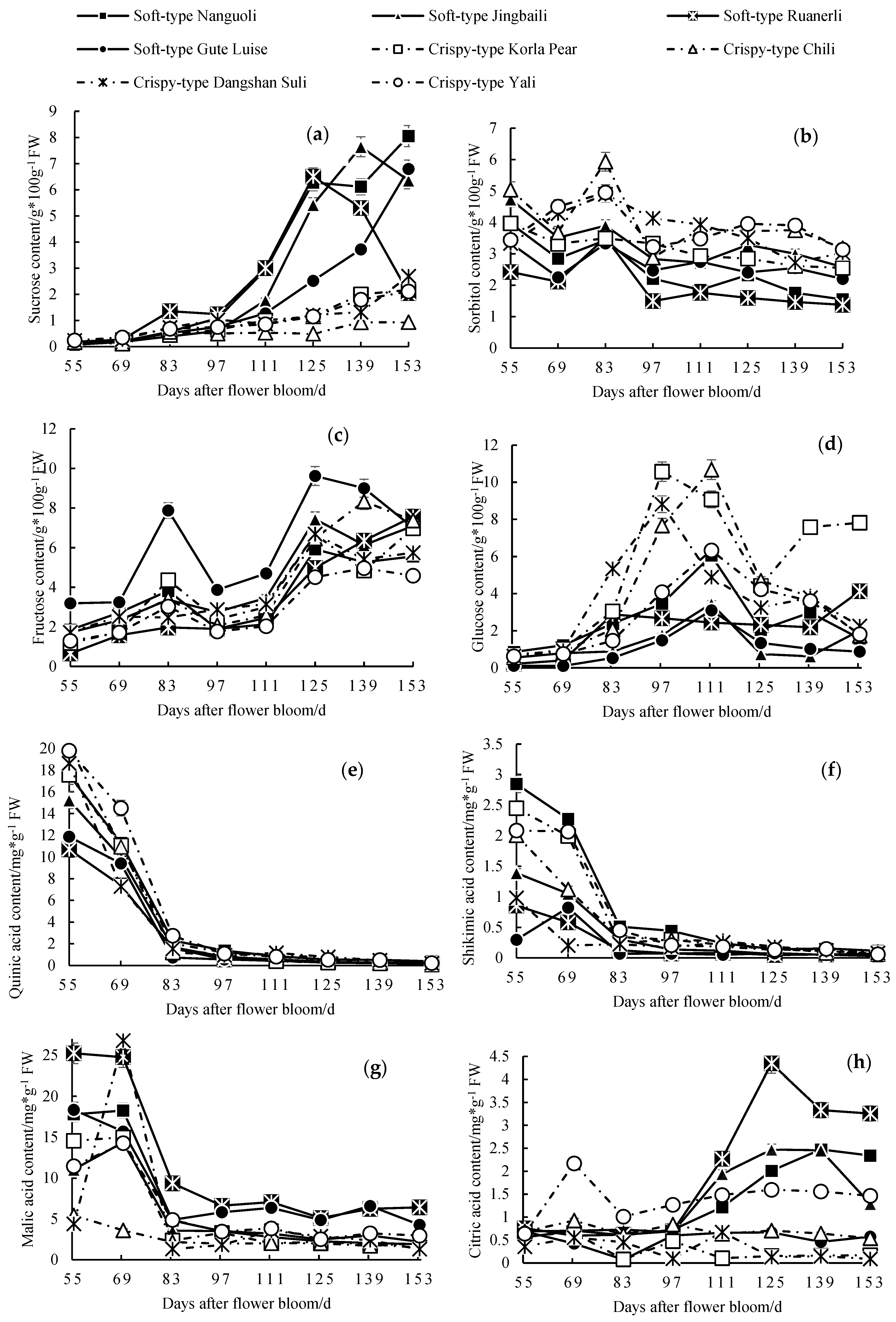
3.1. Individual Sugars and Organic Acids in Different Texture Types of Pear Fruits
3.2. The Correlation Between Individual Sugars and Organic Acids
3.3. The Correlation Between Texture, Individual Sugars and Organic Acids
4. Discussion
5. Conclusions
Supplementary Materials
Author Contributions
Funding
Data Availability Statement
Conflicts of Interest
References
- Hudina, M.; Štampar, F. Sugars and organic acids contents of European (Pyrus communis L.) and Asian (Pyrus serotina Rehd.) pear cultivars. Acta Aliment. 2000, 29, 217–230. [Google Scholar] [CrossRef]
- Zhang, D.Y.; Xu, L.; Liang, D.; Xu, C.; Jin, X.L.; Weng, S.Z. Fast prediction of sugar content in dangshan pear (Pyrus spp.) using hyperspectral imagery data. Food Anal. Methods. 2018, 11, 2336–2345. [Google Scholar] [CrossRef]
- Yin, H.; Wu, J.Y.; Fan, J.B.; Xu, L.L.; Zhang, W.W.; Li, Q.H.; Jia, L.T.; Wu, X.; Wang, Z.W.; Li, H.X.; et al. Profiling of soluble sugar compositions in mature fruits of a diverse pear (Pyrus spp.) germplasm by UPLC. J. Food Compos. Anal. 2024, 132, 106281. [Google Scholar] [CrossRef]
- Jia, L.T.; Zhang, X.; Zhang, Z.; Luo, W.Q.; Nambeesan, S.U.; Li, Q.h.; Qiao, X.; Yang, B.; Wang, L.B.; Zhang, S.L. PbrbZIP15 promotes sugar accumulation in pear via activating the transcription of the glucose isomerase gene PbrXylA1. Plant J. 2023, 117, 1392–1412. [Google Scholar] [CrossRef]
- Lv, J.H.; Tao, X.; Yao, G.F.; Zhang, S.L.; Zhang, H.P. Transcriptome analysis of low- and high-sucrose pear cultivars identifies key regulators of sucrose biosynthesis in fruits. Plant Cell Physiol. 2020, 61, 1493–1506. [Google Scholar]
- Liu, L.; Chen, C.X.; Zhu, Y.F.; Xue, L.; Liu, Q.W.; Qi, K.J.; Zhang, S.L.; Wu, J. Maternal inheritance has impact on organic acid content in progeny of pear (Pyrus spp.) fruit. Euphytica 2016, 209, 305–321. [Google Scholar] [CrossRef]
- Famiani, F.; Bonghi, C.; Chen, Z.H.; Drincovich, M.F.; Farinelli, D.; Lara, M.V.; Proietti, S.; Rosati, A.; Vizzotto, G.; Walker, R.P. Stone fruits: Growth and nitrogen and organic acid metabolism in the fruit and seeds—A review. Front. Plant Sci. 2020, 11, 572601. [Google Scholar] [CrossRef]
- Sweetman, C.; Deluc, L.G.; Cramer, G.R.; Ford, C.M.; Soole, K.L. Regulation of malate metabolism in grape berry and other development fruits. Phytochemistry 2009, 70, 1329–1344. [Google Scholar] [CrossRef]
- Wu, J.Y.; Fan, J.B.; Li, Q.H.; Jia, L.T.; Xu, L.L.; Wu, X.; Wang, Z.W.; Li, H.X.; Qi, K.J.; Qiao, X.; et al. Variation of organic acids in mature fruits of 193 pear (Pyrus spp.) cultivars. J. Food Compos. Anal. 2022, 109, 104483. [Google Scholar] [CrossRef]
- Song, S.; Jin, J.; Li, M.Y.; Kong, D.C.; Cao, M.; Wang, X.; Li, Y.Y.; Chen, X.X.; Zhang, X.L.; Pang, X.M.; et al. The key metabolic network and genes regulating the fresh fruit texture of jujube (Ziziphus jujuba Mill.) revealed via metabolomic and transcriptomic analysis. Plants 2023, 12, 2087. [Google Scholar] [CrossRef]
- Gomez, M.; Lajolo, F.; Cordenunsi, B. Evolution of soluble sugars during ripening of papaya fruit and its relation to sweet taste. J. Food Sci. 2002, 67, 442–447. [Google Scholar] [CrossRef]
- Qiu, X.; Zhang, H.N.; Zhang, H.Y.; Duan, C.W.; Xiong, B.; Wang, Z.H. Fruit textural characteristics of 23 plum (Prunus salicina Lindl) cultivars: Evaluation and cluster analysis. Hortscience 2021, 56, 816–823. [Google Scholar] [CrossRef]
- Castro, R.I.; Morales-Quintana, L. Study of the cell wall components produced during different ripening stages through thermogravimetric analysis. Cellulose 2019, 26, 3009–3020. [Google Scholar] [CrossRef]
- Byrne, D.H.; Nikolic, A.N.; Burns, E.E. Variability in sugars, acids, firmness, and color characteristics of 12 peach genotypes. J. Am. Soc. Hortic. Sci. 1991, 116, 1004–1006. [Google Scholar] [CrossRef]
- Wang, J.; Sheng, K.C. Variations in firmness and sugar content in ‘Huanghua’ pear (Pyrus pyrifolia ‘Nakai’). J. Horticult. Sci. Biotechnol. 2005, 80, 307–312. [Google Scholar]
- Zhang, J.; Nie, J.Y.; Li, J.; Zhang, H.; Li, Y.; Farooq, S.; Bacha, S.A.S.; Wang, J. Evaluation of sugar and organic acid composition and their levels in highbush blueberries from two regions of China. J. Integr. Agric. 2020, 19, 2352–2361. [Google Scholar] [CrossRef]
- Zhang, H.; Nie, J.Y.; Tong, Z.G.; Li, J.; Li, A.; Shen, Y.M.; Zhang, J.; Kuang, L.X. Determining the geographical origin of Fuji Apple from China by multivariate analysis based on soluble sugars, organic acids, and stable isotopes. J. Food Qual. 2022, 2022, 5415257. [Google Scholar] [CrossRef]
- Akagić, A.; Oras, A.; Gaši, F.; Meland, M.; Drkenda, P.; Memić, S.; Spaho, N.; Žuljević, O.S.; Jerković, I.; Musić, O.; et al. A comparative study of ten pear (Pyrus communis L.) cultivars in relation to the content of sugars, organic acids, and polyphenol compounds. Foods 2022, 11, 3031. [Google Scholar]
- Jia, H.F.; Jiu, S.T.; Zhang, C.; Wang, C.; Tariq, P.; Liu, Z.J.; Wang, B.J.; Cui, L.W.; Fang, J.G. Abscisic acid and sucrose regulate tomato and strawberry fruit ripening through the abscisic acid-stress-ripening transcription factor. Plant Biotechnol. J. 2016, 14, 2045–2065. [Google Scholar] [CrossRef]
- Nishio, S.; Hayashi, T.; Shirasawa, K.; Saito, T.; Terakami, S.; Takada, N.; Takeuchi, Y.; Moriya, S.; Itai, A. Genome-wide association study of individual sugar content in fruit of Japenese pear (Pyrus spp.). BMC Plant Biol. 2021, 21, 378. [Google Scholar] [CrossRef]
- Arroyo, V.W.; Alspach, P.; Brewer, L.; Johnston, J.; Winefield, C. Genetic parameters for sugar content in an interspecific pear population. Eur. J. Hortic. Sci. 2013, 78, 56–66. [Google Scholar]
- Durá-Soria, S.; Pott, D.M.; Osorio, S.; Vallarino, J.G. Sugar signaling during fruit ripening. Front. Plant Sci. 2020, 11, 564917. [Google Scholar]
- Hudina, M.; Colarič, M.; Štampar, F. Primary metabolites in the leaves and fruits of three pear cultivars during the growing season. Can. J. Plant Sci. 2006, 87, 327–332. [Google Scholar] [CrossRef]
- Albertini, M.V.; Carcouet, E.; Pailly, O.; Gambotti, C.; Luro, F.; Berti, L. Changes in organic acids and sugars during early stages of development of acidic and acidless citrus fruit. J. Agric. Food Chem. 2006, 54, 8335–8339. [Google Scholar] [CrossRef] [PubMed]
- Liu, Y.; Wen, H.; Yang, X.P.; Wu, C.Y.; Ming, J.Q.; Zhang, H.Y.; Chen, J.J.; Wang, J.B.; Xu, J. Metabolome and transcriptome profiling revealed the enhanced synthesis of volatile esters in Korla pear. BMC Plant Biol. 2023, 23, 264. [Google Scholar] [CrossRef]
- Zheng, P.F.; Zhang, M.; Fang, X.; Tang, L.L.; Wang, Z.X.; Shi, F.C. Analysis of the fruit quality of pear (Pyrus spp.) using widely targeted metabolomics. Foods 2022, 11, 1440. [Google Scholar] [CrossRef]
- Saradhuldhat, P.; Paull, R.E. Pineapple organic acid metabolism and accumulation during fruit development. Sci. Hortic. 2007, 112, 297–303. [Google Scholar] [CrossRef]
- Luo, Y.; Lin, Y.X.; Mo, F.; Ge, C.; Jiang, L.Y.; Zhang, Y.; Chen, Q.; Sun, B.; Wang, Y.; Wang, X.R.; et al. Sucrose promotes strawberry fruit ripening and affects ripening-related processes. Int. J. Genom. 2019, 2019, 9203057. [Google Scholar] [CrossRef]
- Yao, B.N.; Tano, K.; Konan, H.K.; Bédié, G.K.; Oulé, M.K.; Koffi-Nevry, R.; Arul, J. The role of hydrolases in the loss of firmness and of the changes in sugar content during the post-harvest maturation of Carica papaya L. var solo 8. J. Food Sci. Technol. 2014, 51, 3309–3316. [Google Scholar] [CrossRef]
- Lobit, P.; Genard, M.; Soing, P.; Habib, R. Modelling malic acid accumulation in fruits: Relationships with organic acids, potassium, and temperature. J. Exp. Bot. 2006, 57, 1471–1483. [Google Scholar] [CrossRef]
- Wu, B.H.; Zhao, J.B.; Chen, J.; Xi, H.F.; Jiang, Q.; Li, S.H. Maternal inheritance of sugars and acids in peach (P. persica (L.) Batsch) fruit. Euphytica 2012, 188, 333–345. [Google Scholar] [CrossRef]
- Zheng, X.Y.; Cai, D.Y.; Potter, D.; Postman, J.; Liu, J.; Teng, Y.W. Phylogeny and evolutionary histories of Pyrus, L. revealed by phylogenetic trees and networks based on data on from multiple DNA sequences. Mol. Phylogenet. Evol. 2014, 80, 54–65. [Google Scholar] [CrossRef] [PubMed]
- Visser, T.; Schaap, A.A.; De Vries, D.P. Acidity and sweetness in apple and pear. Euphytica 1968, 17, 153–167. [Google Scholar] [CrossRef]
- Kouassi, A.B.; Durel, C.E.; Costa, F.; Tartarini, S.; De Weg, E.V.; Evans, K.; Fernandez-Fernandez, F.; Govan, C.; Boudichevskaja, A.; Dunemann, F.; et al. Estimation of genetic parameters and prediction of breeding values for apple fruit-quality traits using pedigreed plant material in Europe. Tree Genet. Genomes 2009, 5, 659–672. [Google Scholar] [CrossRef]
- Salkić, B.; Cvrk, R.; Imširović, E.; Salkić, A.; Salkić, E. Comparison of pomological and chemical properties of autochthonous pear varieties with standard pear varieties. Int. J. Plant Soil Sci. 2020, 32, 36–42. [Google Scholar] [CrossRef]




| Traits | Significance | 55 DAFB | 69 DAFB | 83 DAFB | 97 DAFB | 111 DAFB | 125 DAFB | 139 DAFB | 153 DAFB |
|---|---|---|---|---|---|---|---|---|---|
| Sucrose | ** | 0.17 ± 0.054 c | 0.22 ± 0.075 c | 0.65 ± 0.305 bc | 0.82 ± 0.263 bc | 1.53 ± 0.959 abc | 3.09 ± 2.548 ab | 3.60 ± 2.502 a | 3.89 ± 2.714 a |
| Sorbitol | 0.981 | 3.78 ± 0.839 ab | 3.31 ± 0.871 abc | 4.18 ± 0.959 a | 2.82 ± 0.792 bc | 2.90 ± 0.815 abc | 2.95 ± 0.805 abc | 2.72 ± 0.853 bc | 2.45 ± 0.695 c |
| Fructose | 0.303 | 1.68 ± 0.738 c | 2.26 ± 0.572 bc | 3.79 ± 1.812 b | 2.44 ± 0.709 bc | 2.94 ± 0.867 bc | 6.54 ± 1.568 a | 6.29 ± 1.567 a | 6.49 ± 1.056 a |
| Glucose | ** | 0.54 ± 0.254 c | 0.76 ± 0.354 c | 2.33 ± 1.515 bc | 5.07 ± 3.462 ab | 5.75 ± 2.919 a | 2.89 ± 1.497 abc | 3.20 ± 2.155 abc | 2.78 ± 2.240 abc |
| Quinic acid | ** | 16.46 ± 3.556 a | 10.23 ± 2.339 b | 1.72 ± 0.629 c | 0.93 ± 0.290 c | 0.69 ± 0.289 c | 0.46 ± 0.204 c | 0.32 ± 0.146 c | 0.22 ± 0.090 c |
| Shikimic acid | ** | 1.61 ± 0.874 a | 1.26 ± 0.761 a | 0.28 ± 0.151 b | 0.21 ± 0.127 b | 0.18 ± 0.083 b | 0.12 ± 0.053 b | 0.10 ± 0.043 b | 0.07 ± 0.026 b |
| Malic acid | ** | 13.54 ± 6.967 a | 16.59 ± 7.132 a | 4.17 ± 2.513 b | 3.74 ± 1.685 b | 3.85 ± 1.886 b | 3.04 ± 1.231 b | 3.38 ± 1.943 b | 2.82 ± 1.733 b |
| Citric acid | ** | 0.62 ± 0.124 a | 0.84 ± 0.556 a | 0.52 ± 0.318 a | 0.67 ± 0.330 a | 1.12 ± 0.740 a | 1.51 ± 1.432 a | 1.40 ± 1.230 a | 1.22 ± 1.117 a |
| F/G | 0.236 | 5.72 ± 9.129 a | 6.04 ± 9.669 a | 3.32 ± 4.787 a | 0.83 ± 0.830 a | 0.67 ± 0.455 a | 3.53 ± 3.267 a | 3.61 ± 3.587 a | 3.39 ± 2.143 a |
| MA/CA | 0.017 | 21.31 ± 9.207 ab | 25.84 ± 15.888 a | 17.02 ± 22.114 ab | 7.56 ± 5.447 b | 5.90 ± 6.049 b | 6.49 ± 7.946 b | 6.35 ± 6.504 b | 5.15 ± 4.804 b |
| TSS/TA | ** | 1.98 ± 13.155 c | 2.39 ± 0.807 c | 19.70 ± 10.317 bc | 23.521 ± 15.798 bc | 27.18 ± 16.343 abc | 33.93 ± 11.511 ab | 38.04 ± 20.133 ab | 49.25 ± 31.180 a |
Disclaimer/Publisher’s Note: The statements, opinions and data contained in all publications are solely those of the individual author(s) and contributor(s) and not of MDPI and/or the editor(s). MDPI and/or the editor(s) disclaim responsibility for any injury to people or property resulting from any ideas, methods, instructions or products referred to in the content. |
© 2024 by the authors. Licensee MDPI, Basel, Switzerland. This article is an open access article distributed under the terms and conditions of the Creative Commons Attribution (CC BY) license (https://creativecommons.org/licenses/by/4.0/).
Share and Cite
Yin, C.; Tian, L.; Li, J.; Cao, Y.; Dong, X.; Zhang, Y.; Qi, D. Dynamic Analysis of UPLC-MS/MS for Sugar and Organic Acid Components of Pears with Different Flesh Texture Types During Development. Agronomy 2024, 14, 2494. https://doi.org/10.3390/agronomy14112494
Yin C, Tian L, Li J, Cao Y, Dong X, Zhang Y, Qi D. Dynamic Analysis of UPLC-MS/MS for Sugar and Organic Acid Components of Pears with Different Flesh Texture Types During Development. Agronomy. 2024; 14(11):2494. https://doi.org/10.3390/agronomy14112494
Chicago/Turabian StyleYin, Chen, Luming Tian, Jing Li, Yufen Cao, Xingguang Dong, Ying Zhang, and Dan Qi. 2024. "Dynamic Analysis of UPLC-MS/MS for Sugar and Organic Acid Components of Pears with Different Flesh Texture Types During Development" Agronomy 14, no. 11: 2494. https://doi.org/10.3390/agronomy14112494
APA StyleYin, C., Tian, L., Li, J., Cao, Y., Dong, X., Zhang, Y., & Qi, D. (2024). Dynamic Analysis of UPLC-MS/MS for Sugar and Organic Acid Components of Pears with Different Flesh Texture Types During Development. Agronomy, 14(11), 2494. https://doi.org/10.3390/agronomy14112494

