Moulding Test and Process Parameter Optimization of Biomass Seedling Pots for Cow Dung and Corn Stover
Abstract
1. Introduction
2. Materials and Methods
2.1. Materials and Instruments
2.2. Test Procedure
2.2.1. Preprocessing of Materials
2.2.2. Moulding Test
2.2.3. Test Evaluation Index
2.2.4. Experimental Design
2.2.5. Methods for Measuring Physical and Chemical Properties
3. Results and Discussion
3.1. Statistical Analysis and Model Fitting
3.2. Analysis of Variance
3.3. Effects of Operating Parameters on the Moulding Process
3.3.1. Effect on Expansion Rate
3.3.2. Effect on Durability Rate
3.3.3. Effect on Wet Swelling Rate
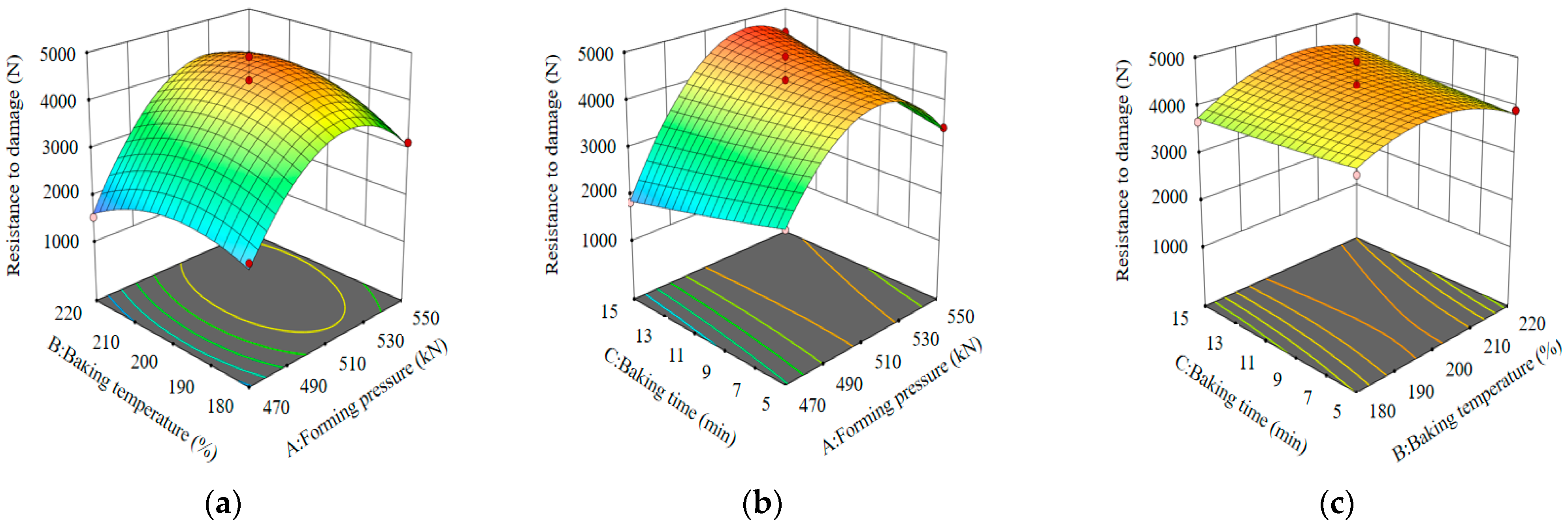
3.3.4. Effect on Resistance to Damage
3.4. Process Optimization and Validation
3.5. Physical and Chemical Characteristic Analysis
4. Conclusions
Author Contributions
Funding
Data Availability Statement
Conflicts of Interest
References
- Cheng, S.; Zhang, L.B.; Ma, A.Y.; Xia, H.Y.; Peng, J.H.; Li, C.Y.; Shu, J.H. Comparison of activated carbon and iron/cerium modified activated carbon to remove methylene blue from wastewater. Environ. Sci. 2018, 65, 92–102. [Google Scholar] [CrossRef]
- Ren, J.R.; Yu, P.X.; Xu, X.H. Straw utilization in China-status and recommendations. Sustainability 2019, 11, 1762. [Google Scholar] [CrossRef]
- Duan, Y.; Zhang, L.L.; Yang, D.F.; Xiu, J.H. Eco-Innovation: Corn Stover as the Biomaterial in Packaging Designs. Sustainability 2024, 16, 1381. [Google Scholar] [CrossRef]
- Jin, C.R.; Hu, J.; Liang, H.J.; Li, J.L. Innovative and economically beneficial use of corn and corn products in electrochemical energy storage applications. ACS Sustain. Chem. Eng. 2021, 9, 10678–10703. [Google Scholar] [CrossRef]
- Fu, Y.L.; Zhang, J.; Guan, T.Z. High-Value Utilization of Corn Straw: From Waste to Wealt. Sustainability 2023, 15, 14618. [Google Scholar] [CrossRef]
- Gironès, V.C.; Moret, S.; Peduzzi, E.; Peduzzi, E.; Nasato, M.; François, M.N. Optimal use of biomass in large-scale energy systems: Insights for energy policy. Energy 2017, 137, 789–797. [Google Scholar] [CrossRef]
- Güler, B. Investigation of efficiency of pellet burning methods in a full scale rotary dryer. Biomass Convers. Bior. 2022, 1–13. [Google Scholar] [CrossRef]
- Wang, Y.X.; Liu, X.Y.; Wang, F.Z.; Ren, D.Y.; Li, Y.; Mu, Z.M.; Li, S.D.; Jiang, Y.C. Self-Attention-Mechanism-Improved YoloX-S for Briquette Biofuels Object Detectio. Sustainability 2023, 15, 14437. [Google Scholar] [CrossRef]
- Wang, Q.; Awasthi, M.K.; Zhang, Z.Q.; Wang, J.W.C. Sustainable Resource Recovery and Zero Waste Approaches; Elsevier: Amsterdam, The Netherlands, 2019; pp. 115–132. [Google Scholar]
- Mahal, Z.; Yabar, H.; Mizunoya, T. Spatial Assessment of Greenhouse Gas Emissions and Eutrophication Potential from Livestock in Bangladesh. Sustainability 2024, 16, 5479. [Google Scholar] [CrossRef]
- Muhammad, A.; Naveed, R.; Ullah, R.K.; Khan, D.A. Analysis of mixed cattle manure: Kinetics and thermodynamic comparison of pyrolysis and combustion processes. Case Stud. Therm. Eng. 2021, 26, 101078. [Google Scholar]
- Kong, X.L. Current Situation of Livestock and Poultry Manure Treatment in Chengwu County; Cleaning World: Hackensack, NJ, USA, 2024; pp. 159–161. [Google Scholar]
- Liu, Y. Carbon and Nitrogen Changes in Anaerobic Fermentation of Agricultural Wastes and Biogas Manure Utilization. Master’s Thesis, Wuhan University of Light Industry, Wuhan, China, 2018; pp. 1–2. [Google Scholar]
- Li, L.H. The main nutrients and heavy metal content in livestock manure. South China Agric. 2018, 126–128. [Google Scholar] [CrossRef]
- Ma, Y.C. Forming Mechanism and Experimental Study of Maize Transplanting Plant Mass Bowl Seedling Tray. Ph.D. Thesis, Heilongjiang Bayi Agricultural University, Daqing, China, 2017. [Google Scholar]
- Li, H.; Wang, H.X.; Sun, W.S.; Wang, C.; Sun, H.T.; Yu, H.M. Proportion and Performance Optimization of Biomass Seedling Trays Based on Response Surface Analysis. Sustainability 2024, 16, 1103. [Google Scholar] [CrossRef]
- Liu, J.F.; Zhu, Y.H.; Gong, Z.C.; Chang, Z.W.; Meng, Y.; Qu, W.D.; Zhao, C.Z.; Li, M.; Zhu, C.J. Preparation and characterization of lignin copolymerized phenolic resins with superior stiffening effect for natural rubber composites. Polymer 2024, 308, 127366. [Google Scholar] [CrossRef]
- Kpalo, S.Y.; Zainuddin, M.F.; Manaf, L.A.; Roslan, A.M. A Review of Technical and Economic Aspects of Biomass Briquetting. Sustainability 2020, 12, 4609. [Google Scholar] [CrossRef]
- Malladi, K.T.; Sowlati, T. Biomass logistics: A review of important features, optimization modeling and the new trends. Renew. Sustain. Energy Rev. 2018, 94, 587–599. [Google Scholar] [CrossRef]
- Hu, Q.; Yang, H.P.; Yao, D.D.; Zhu, D.C.; Wang, X.H.; Shao, J.A.; Chen, H.P. The densification of bio-char: Effect of pyrolysis temperature on the qualities of pellets. Bioresour. Technol. 2016, 200, 521–527. [Google Scholar] [CrossRef]
- Sarker, T.; Tahmid, I.; Sarker, K.R.; Dey, S.C.; Islam, M.T.; Sarker, M. ZIF-67-based materials as adsorbent for liquid phase adsorption-a review. Polyhedron 2024, 260, 117069. [Google Scholar] [CrossRef]
- Bazargan, A.; Rough, S.L.; McKay, G. Compaction of palm kernel shell biochars for application as solid fuel. Biomass Bioenergy 2014, 70, 70489–70497. [Google Scholar] [CrossRef]
- Dinesha, P.; Kumar, S.; Rosen, M.A. Biomass Briquettes as an Alternative Fuel: A Comprehensive Review. Energy Technol. 2018, 7, 1801011. [Google Scholar] [CrossRef]
- Teng, D. Experimental Study on Seedling Bowl Forming and Surface Carbonization of Rice Straw Mixed with Cow Manure. Master’s Thesis, Heilongjiang Bayi Agricultural University, Daqing, China, 2023. [Google Scholar]
- Li, R.F.; Zhang, W.; Qi, L.Q.; Ma, Y.C.; Zhang, B. Design of heating and cooling device for maize biomass seedling forming machine. Agric. Mech. Res. 2023, 256–263. [Google Scholar] [CrossRef]
- Li, R.F. Design of Heating and Cooling Device for Maize Biomass Seedling Forming Machine. Master’s Thesis, Heilongjiang Bayi Agricultural University, Daqing, China, 2021. [Google Scholar]
- Gilvari, H.; Wiebren, D.J.; Schott, D.-L. Quality parameters relevant for densification of bio-materials: Measuring methods and affecting factors—A review. Biomass Bioenergy 2019, 120, 117–134. [Google Scholar] [CrossRef]
- Liu, Z.G.; Zhang, J.; Wu, K.; Zhang, X.Q. Effect of Forming Parameters on Forming Effect of Solid Fuel on Corn Straw. J. Shanxi Agric. Univ. 2017, 444–451. [Google Scholar] [CrossRef]
- Lv, Q. Study on Preparation of Whole Fiber Environmentally Friendly Seedling Container from Cassava Distiller’s Grains. Master’s Thesis, Guangxi University, Nanning, China, 2014. [Google Scholar]
- Tu, D.Y.; Wang, M.J.; Gu, L.B.; Zhang, X.; Pan, C.F. Effect of ultra-high temperature heat treatment on the dimensional stability of ashwagandha panels. J. Nanjing For. Univ. 2010, 34, 113–116. [Google Scholar]
- Zhou, Y.X.; Li, S.G.; Bai, Y.; Long, H.; Cai, Y.C. Joint Characterization and Fractal Laws of Pore Structure in Low-Rank Coal. Sustainability 2023, 15, 9599. [Google Scholar] [CrossRef]
- Gowthamchand; Singh, D.S.; Vivek, S.; Gayatri, V.; Jagdish, S.; Manpreet, K. Variation of Physico-Chemical Properties among Different Soil Orders under Different Land Use Systems of the Majha Region in North-Western India. Sustainability 2023, 15, 4779. [Google Scholar] [CrossRef]
- Jia, H.X.; Wang, J.F.; Ma, Y.S. Experimental study on preparation of fuel by low-temperature pyrolysis of plastic waste combined with desiccated sludge after preforming. Web Conf. 2022, 355, 01028. [Google Scholar] [CrossRef]
- Guo, T.; Yu, Y.; Wan, Z.; Zargar, S.; Wu, J.; Bi, R.; Sokhansanj, S.; Tu, Q.; Rojas, O.J. Energy pellets from whole-wheat strawprocessed with a deep eutectic solvent: A comprehensive thermal, molecular and environmental evaluation. Renew. Energy 2022, 194, 902–911. [Google Scholar] [CrossRef]
- Liu, D.; Teng, D.; Zhu, Y. Optimization of Process Parameters for Pellet Production from Corn Stalk Rinds Using Box–Behnken Design. Energies 2023, 16, 4796. [Google Scholar] [CrossRef]
- Iftikhar, M.; Asghar, A.; Ramzan, N.; Sajjadi, B.; Chen, W. Biomass densification: Effect of cow dung on the physicochemical properties of wheat straw and rice husk based biomass pellets. Biomass Bioenergy 2019, 122, 1–16. [Google Scholar] [CrossRef]
- Reinprecht, L.; Repák, M. The Impact of Paraffin-Thermal Modification of Beech Wood on Its Biological, Physical and Mechanical Properties. Forests 2019, 10, 1102. [Google Scholar] [CrossRef]
- Qi, L.; Zhang, B.; Ma, Y. Forming and Degradation Mechanism of Bowl Seedling Tray Based on Straw Lignin Conversion. Agronomy 2023, 13, 453. [Google Scholar] [CrossRef]
- Wang, B.; Li, M.; Wen, X.Y.; Yang, Y.K.; Zhu, J.P.; Balzile, N.; Chen, Y.W.; Liu, M.Q.; Chen, S. Distribution characteristics, potential contribution, and management strategy of crop straw and livestock-poultry manure in multi-ethnic regions of China: A critical evaluation. J. Clean. Prod. 2020, 274, 123174. [Google Scholar] [CrossRef]
- Cui, X.Y.; Yang, J.H.; Shi, X.Y.; Lei, W.N.; Huang, T.; Bai, C. Pelletization of Sunflower Seed Husks: Evaluating and Optimizing Energy Consumption and Physical Properties by Response Surface Methodology (RSM). Processes 2019, 7, 591. [Google Scholar] [CrossRef]
- Yılmaz, H.; Çanakcı, M.; Topakcı, M.; Karayeı, D. The effect of raw material moisture and particle size on agri-pellet production parameters and physical properties: A case study for greenhouse melon residues. Biomass Bioenergy 2021, 150, 106125. [Google Scholar] [CrossRef]
- Bai, X.F.; Lu, W.; Zhang, Y.C. Wormcast type of peat substrate and the influence of cucumber seedlings. Influ. Chin. Veg. 2024, 1–15. [Google Scholar] [CrossRef]
- Xu, D.; Zhang, Y.; Wang, Y. Substrate ratio of towel gourd seedlings. Influ. Chin. Veg. 2024, 1–28. [Google Scholar] [CrossRef]
- Chen, F.; Zhang, W.J.; Sun, L.Q. Analysis of physicochemical properties of cottonseed husk mushroom residue compound substrate and its effect on cucumber seedlings. China Cucurbits Veg. 2016, 41–44. [Google Scholar] [CrossRef]
- Roberto, C.; Luca, R.; Daniela, P.; Mirko, C.; Giovanni, G.; Primo, P. Evaluating Compost from Digestate as a Peat Substitute in Seedling for Olive and Hazelnut Trees. Sustainability 2022, 15, 282. [Google Scholar]
- Amanda, R.; Humberto, A.; Carlos, M.; Rodrigo, C.; Jorge, M.; Claudia, R. Evaluation of Compost and Biochar as Partial Substitutes of Peat in Growing Media and Their Influence in Microbial Counts, Enzyme Activity and Lactuca sativa L. Seedling Growth. Horticulturae 2023, 9, 168. [Google Scholar] [CrossRef]
- Kaudal, B.B.; Chen, D.L.; Madhavan, D.B. An examination of physical and chemical properties of urban biochar for use as growing media substrate. Biomass Bioenergy 2016, 84, 49–58. [Google Scholar] [CrossRef]
- Chrysargyris, A.; Prasad, M.; Kavanagh, A.; Tzortzakis, N. Biochar type, ratio, and nutrient levels in growing media affects seedling production and plant performance. Agronomy 2020, 10, 1421. [Google Scholar] [CrossRef]
- Fang, J.; Wang, B.; Guo, S.R. Study on the formulation of seaweed residue substrate for cucumber seedlings. J. Shenyang Agric. Univ. 2013, 44, 622–627. [Google Scholar]
- Zhang, X.; Yang, Y.Y.; Wang, H. Microbial agents for cucumber seedling growth and the influence of physical and chemical environment. J. Northwest Agric. For. Univ. Sci. Technol. 2024, 1–13. [Google Scholar] [CrossRef]











| Species | Cellulose (%) | Hemicellulose (%) | Lignin (%) | Organic Matter (%) | Crude Protein (%) | Crude Fat (%) | Ash Content (%) | Shear Modulus (Pa) | Poisson’s Ratio | Density (kg/m3) |
|---|---|---|---|---|---|---|---|---|---|---|
| Fermented cow dung | 18.44 ± 0.69 | 22.89 ± 8.18 | 26.20 ± 4.69 | 14.50 ± 1.07 | 16.44 ± 1.47 | 1.41 ± 1.36 | 11.67 ± 2.65 | 5.5 × 106 | 0.31 | 1351.35 |
| Corn stover | 32.90 ± 0.38 | 32.53 ± 1.16 | 4.64 ± 2.92 | 30.26 ± 3.88 | 5.89 ± 1.74 | 1.39 ± 0.96 | 4.72 ± 1.26 | 2.4 × 107 | 0.35 | 342.86 |
| Variables | Symbols | Levels | ||
|---|---|---|---|---|
| −1 | 0 | 1 | ||
| Moulding pressure (kN) | A | 550 | 220 | 15 |
| Baking temperature (°C) | B | 510 | 200 | 10 |
| Baking time (min) | C | 470 | 180 | 5 |
| Run | Independent Variables | Y1(%) | Y2(%) | Y3(%) | Y4(N) | ||
|---|---|---|---|---|---|---|---|
| A | B | C | |||||
| 1 | −1 | 0 | −1 | 8 | 98.341 | 9.534 | 2759.2 |
| 2 | 0 | 0 | 0 | 10 | 99.451 | 11.826 | 4319.8 |
| 3 | 0 | 1 | 1 | 4 | 98.843 | 6.992 | 4379.4 |
| 4 | 0 | 0 | 0 | 10 | 99.410 | 11.494 | 4436.4 |
| 5 | 0 | 0 | 0 | 10 | 99.534 | 10.561 | 4915.8 |
| 6 | 0 | −1 | 1 | 2 | 95.037 | 5.680 | 3672.4 |
| 7 | 0 | 0 | 0 | 10 | 99.216 | 10.480 | 4262.4 |
| 8 | −1 | 1 | 0 | 7 | 98.516 | 11.494 | 1530.0 |
| 9 | 1 | 0 | 1 | 5 | 97.952 | 9.534 | 4467.0 |
| 10 | 0 | 1 | −1 | 6 | 98.311 | 9.161 | 3914.2 |
| 11 | −1 | 0 | 1 | 2 | 98.807 | 9.534 | 1830.6 |
| 12 | 1 | 0 | −1 | 9 | 99.886 | 10.512 | 3437.8 |
| 13 | 0 | −1 | −1 | 7 | 97.129 | 4.712 | 3900.4 |
| 14 | 1 | −1 | 0 | 7 | 97.179 | 8.192 | 3140.8 |
| 15 | 0 | 0 | 0 | 11 | 99.129 | 10.534 | 4191.6 |
| 16 | 1 | 1 | 0 | 4 | 99.184 | 7.592 | 3661.2 |
| 17 | −1 | −1 | 0 | 2 | 97.106 | 3.814 | 2140.0 |
| Source of Variation | Expansion Rate | Durability Rate | ||||
|---|---|---|---|---|---|---|
| Sum of Squares | F Value | p-Value | Sum of Squares | F Value | p-Value | |
| Model | 150.98 | 46.05 | <0.0001 ** | 23.68 | 43.33 | <0.0001 ** |
| A | 4.50 | 12.35 | 0.0098 ** | 0.2560 | 4.21 | 0.0792 |
| B | 1.13 | 3.09 | 0.1223 | 8.83 | 145.34 | <0.0001 ** |
| C | 36.12 | 99.17 | <0.0001 ** | 1.15 | 18.87 | 0.0034 ** |
| AB | 16.00 | 43.92 | 0.0003 ** | 0.0885 | 1.46 | 0.2666 ** |
| AC | 1.0000 | 2.75 | 0.1415 | 1.44 | 23.71 | 0.0018 ** |
| BC | 2.25 | 6.18 | 0.0419 * | 1.72 | 28.34 | 0.0011 ** |
| A2 | 16.42 | 45.08 | 0.0003 ** | 0.0044 | 0.0727 | 0.7953 |
| B2 | 43.79 | 120.21 | <0.0001 ** | 8.07 | 132.83 | <0.0001 ** |
| C2 | 20.84 | 57.22 | 0.0001 ** | 1.69 | 27.86 | 0.0012 ** |
| Residual | 2.55 | 0.4251 | ||||
| Lack of fit | 1.75 | 2.92 | 0.1639 ns | 0.3107 | 3.62 | 0.1230 ns |
| Pure error | 0.8000 | 0.1144 | ||||
| Total error | 153.53 | 24.11 | ||||
| R2 | 0.9834 | 0.9824 | ||||
| Adj-R2 | 0.9620 | 0.9597 | ||||
| C.V. | 9.00 | 0.2504 | ||||
| Adeq Precisiom | 18.7941 | 24.6486 | ||||
| Source of Variation | Wet Swelling Rate | Resistance to Damage | ||||
|---|---|---|---|---|---|---|
| Sum of Squares | F Value | p-Value | Sum of Squares | F Value | p-Value | |
| Model | 91.58 | 38.30 | <0.0001 ** | 1.536 × 107 | 28.34 | 0.0001 ** |
| A | 0.2643 | 0.9948 | 0.3518 | 5.195 × 106 | 86.26 | <0.0001 ** |
| B | 20.61 | 77.59 | <0.0001 ** | 49,801.68 | 0.8269 | 0.3934 |
| C | 0.5935 | 2.23 | 0.1786 | 14,263.61 | 0.2368 | 0.6414 |
| AB | 17.14 | 64.52 | <0.0001 ** | 3.195 × 105 | 5.30 | 0.0547 |
| AC | 0.2391 | 0.9001 | 0.3743 * | 9.582 × 105 | 15.91 | 0.0053 ** |
| BC | 2.46 | 9.26 | 0.0188 | 1.201 × 105 | 1.99 | 0.2007 |
| A2 | 0.0043 | 0.0161 | 0.9026 | 7.393 × 106 | 122.75 | <0.0001 ** |
| B2 | 42.42 | 159.69 | <0.0001 ** | 9.787 × 105 | 16.25 | 0.0050 ** |
| C2 | 5.75 | 21.65 | 0.0023 ** | 2330.21 | 0.0387 | 0.8497 |
| Residual | 1.86 | 4.216 × 105 | ||||
| Lack of fit | 0.2552 | 0.2121 | 0.8834 ns | 88,612.09 | 0.3548 | 0.7895 ns |
| Pure error | 1.60 | 3.330 × 105 | ||||
| Total error | 93.44 | 1.578 × 107 | ||||
| R2 | 0.9801 | 0.9733 | ||||
| Adj-R2 | 0.9545 | 0.9389 | ||||
| C.V. | 5.78 | 6.84 | ||||
| Adeq Precisiom | 18.5938 | 15.1561 | ||||
| Evaluation Indexes | Expansion Rate (%) | Durability Rate (%) | Wet Swelling Rate (%) | Resistance to Damage (kN) | |
|---|---|---|---|---|---|
| Value | |||||
| Predicted value | 10.522 | 99.598 | 11.145 | 4503.545 | |
| Actual mean value | 10.000 | 99.567 | 10.891 | 4503.281 | |
| Error | 0.522 | 0.031 | 0.25 | 0.264 | |
| Physical and Chemical Properties | Value |
|---|---|
| Total porosity/(%) | 67.32 |
| Electrical Conductivity/(mS/cm) | 1.36 |
| pH value | 6.7 |
Disclaimer/Publisher’s Note: The statements, opinions and data contained in all publications are solely those of the individual author(s) and contributor(s) and not of MDPI and/or the editor(s). MDPI and/or the editor(s) disclaim responsibility for any injury to people or property resulting from any ideas, methods, instructions or products referred to in the content. |
© 2024 by the authors. Licensee MDPI, Basel, Switzerland. This article is an open access article distributed under the terms and conditions of the Creative Commons Attribution (CC BY) license (https://creativecommons.org/licenses/by/4.0/).
Share and Cite
Chen, J.; Ma, Y.; Wang, H.; Teng, D.; Qi, Y.; Liu, D. Moulding Test and Process Parameter Optimization of Biomass Seedling Pots for Cow Dung and Corn Stover. Agronomy 2024, 14, 2371. https://doi.org/10.3390/agronomy14102371
Chen J, Ma Y, Wang H, Teng D, Qi Y, Liu D. Moulding Test and Process Parameter Optimization of Biomass Seedling Pots for Cow Dung and Corn Stover. Agronomy. 2024; 14(10):2371. https://doi.org/10.3390/agronomy14102371
Chicago/Turabian StyleChen, Jiaqi, Yongcai Ma, Hanyang Wang, Da Teng, Yan Qi, and Dan Liu. 2024. "Moulding Test and Process Parameter Optimization of Biomass Seedling Pots for Cow Dung and Corn Stover" Agronomy 14, no. 10: 2371. https://doi.org/10.3390/agronomy14102371
APA StyleChen, J., Ma, Y., Wang, H., Teng, D., Qi, Y., & Liu, D. (2024). Moulding Test and Process Parameter Optimization of Biomass Seedling Pots for Cow Dung and Corn Stover. Agronomy, 14(10), 2371. https://doi.org/10.3390/agronomy14102371
