Exogenous N Supply on N Transportation and Reuse during the Rice Grain-Filling Stage and Its Relationship with Leaf Color-Changing Parameters
Abstract
1. Introduction
2. Materials and Methods
2.1. Experimental Design
2.1.1. N Fertilizer Treatment in the Field
2.1.2. 15N Fertilizer Treatment in Hydroponics
2.2. Measurement and Analysis
2.2.1. SPAD Value in the Leaves
2.2.2. Chlorophyll Content in the Leaves
2.2.3. Leaf Color-Changing Parameters
2.2.4. Plant N Content and N Accumulation
2.2.5. Plant N Transportation and N Use Efficiency (NUE) Calculations
2.2.6. Yield and Its Components
2.3. Statistical Analysis
3. Results
3.1. Effect of Exogenous N Supply on Leaf Color-Changing and Its Varietal Differences
3.1.1. Leaf Chlorophyll Content
3.1.2. Leaf Color-Changing Parameters
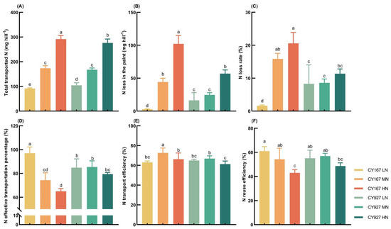
3.2. Effects of Exogenous N Supply on N Accumulation and N Transportation during the Grain-Filling Period
3.3. Effect of Exogenous N Supply on N Transport Efficiency and N Use Efficiency
3.4. Correlation Analysis of Leaves’ Color-Changing Parameters with N Transport and Use Efficiency
- (1)
- There was a highly significantly negatively correlation between leaf color-changing onset time T0 and leaf color-changing rate Rmean (R = −0.92, p < 0.01), as well as a highly significantly positive correlation between T0 and the final leaf color index CIf (R = 0.92, p < 0.01).
- (2)
- The stem, leaf and total N transportation, effective N transportation, and N loss were all highly significantly and positively correlated with T0, T100, and CIf (R = 0.55–0.92, p < 0.05), and significantly negatively correlated with Rmean, (R = −0.87–−0.55, p < 0.05).
- (3)
- There were no significant correlations between leaf color-changing parameters and stem N transport efficiency, but there were significant correlations between leaf color-changing parameters and leaf N transport efficiency, and the correlation differed between leaf positions. The N transport efficiency of the upper leaves was significantly negatively correlated with T0 and CIf (R = −0.87 to −0.53, p < 0.05), and significantly positively correlated with Rmean (R = 0.54–0.81, p < 0.05). The N transportation efficiency of the lower leaves demonstrated a significant positive correlation with T100 (R = 0.61, p < 0.01), but was not significantly correlated with T0, CIf, and Rmean.
- (4)
- N harvest index, N grain production efficiency, N dry matter production efficiency, and N reuse efficiency were all significantly negatively correlated with T0 and CIf (R = −0.96–−0.48, p < 0.05), and significantly positively correlated with Rmean (R = 0.56–0.91, p < 0.05). T100 was significantly negatively correlated with N grain production efficiency, N dry matter production efficiency, and N reuse efficiency (R = −0.59–0.48, p < 0.05), but not significantly correlated with N harvest index. In addition, N effective transportation percentage showed a significant negative correlation with T0 and T100 (R = −0.58–−0.53, p < 0.05).

4. Discussion
4.1. Source Analysis of Panicle N
4.2. Effect of Exogenous N Supply on Leaves’ Color-Changing and Its Relation to N Reuse in Vegetative Organs
4.3. Relationship between Leaf Color-Changing and Plant N Loss during the Grain-Filling Stage
5. Conclusions
Supplementary Materials
Author Contributions
Funding
Data Availability Statement
Conflicts of Interest
References
- Lyu, X.; Liu, Y.; Li, N.; Ku, L.B.; Hou, Y.T.; Wen, X.X. Foliar applications of various nitrogen (N) forms to winter wheat affect grain protein accumulation and quality via N metabolism and remobilization. Crop J. 2022, 10, 1165–1177. [Google Scholar] [CrossRef]
- Mirosavljevic, M.; Momcilovic, V.; Mikic, S.; Trkulja, D.; Brbaklic, L.; Zoric, M.; Abicic, I. Changes in stay-green and nitrogen use efficiency traits in historical set of winter barley cultivars. Field Crops Res. 2020, 249, 107740. [Google Scholar] [CrossRef]
- Cameron, K.C.; Di, H.J.; Moir, J.L. Nitrogen losses from the soil/plant system: A review. Ann. Appl. Biol. 2013, 162, 145–173. [Google Scholar] [CrossRef]
- Asad, M.A.U.; Zakari, S.A.; Zhao, Q.; Zhou, L.J.; Ye, Y.; Cheng, F.M. Abiotic stresses intervene with ABA signaling to induce destructive metabolic pathways leading to death: Premature leaf senescence in plants. Int. J. Mol. Sci. 2019, 20, 256. [Google Scholar] [CrossRef] [PubMed]
- van Oosterom, E.J.; Borrell, A.K.; Chapman, S.C.; Broad, I.J.; Hammer, G.L. Functional dynamics of the nitrogen balance of sorghum: I. N demand of vegetative plant parts. Field Crops Res. 2010, 115, 19–28. [Google Scholar] [CrossRef]
- van Oosterom, E.J.; Chapman, S.C.; Borrell, A.K.; Broad, I.J.; Hammer, G.L. Functional dynamics of the nitrogen balance of sorghum. II. grain-fill period. Field Crops Res. 2010, 115, 29–38. [Google Scholar] [CrossRef]
- Yang, Y.; Ni, X.Y.; Liu, B.M.; Tao, L.Z.; Yu, L.X.; Wang, Q.; Yang, Y.; Liu, J.; Wu, Y.J. Measuring field ammonia emissions and canopy ammonia fluxes in agriculture suing portable ammonia detector method. J. Clean. Prod. 2019, 216, 542–551. [Google Scholar] [CrossRef]
- Hayashi, K.; Hiradate, S.; Ishikawa, S.; Nouchi, I. Ammonia exchange between rice leaf blades and the atmosphere: Effect of broadcast urea and changes in xylem sap and leaf apoplastic ammonium concentrations. Soil Sci. Plant Nutr. 2008, 54, 807–818. [Google Scholar] [CrossRef]
- Zheng, Y.T.; Chen, H.; Yang, G.T.; Wang, R.D.; Farhan, N.; Li, C.L.; Liang, C.; Shen, K.Q.; Wang, X.C.; Hu, Y.G. Combined effect of nitrogen and phosphorous fertiliser on nitrogen absorption and utilisation in rice. Plant Soil Environ. 2023, 69, 25–37. [Google Scholar] [CrossRef]
- Zhang, J.H.; Liu, J.L.; Zhang, J.B.; Zhao, F.T.; Cheng, Y.N.; Wang, W.P. Effects of nitrogen application rates on translocation of dry matter and utilization of nitrogen in rice and wheat. Acta Agron. Sin. 2010, 36, 1736–1742, (In Chinese with English Abstract). [Google Scholar] [CrossRef]
- Liu, S.J.; Pubu, C.J.; Zhu, Y.Z.; Hao, W.P.; Zhang, G.X.; Han, J. Optimizing nitrogen application depth can improve crop yield and nitrogen uptake—A global meta-analysis. Field Crops Res. 2023, 295, 108895. [Google Scholar] [CrossRef]
- Liu, K.; Zhou, S.Q.; Li, S.Y.; Wang, J.; Wang, W.L.; Zhang, W.Y.; Zhang, H.; Gu, J.F.; Yang, J.C.; Liu, L.J. Differences and mechanisms of post-anthesis dry matter accumulation in rice varieties with different yield levels. Crop Environ. 2022, 1, 262–272. [Google Scholar] [CrossRef]
- Proud, C.; Fukai, S.; Dunn, B.; Dunn, T.; Mitchell, J. Effect of nitrogen management on grain yield of rice grown in a high-yielding environment under flooded and non-flooded conditions. Crop Environ. 2023, 2, 37–45. [Google Scholar] [CrossRef]
- Kichey, T.; Hirel, B.; Heumez, E.; Dubois, F.; Gouis, J.L. In winter wheat (Triticum aestivum L.), post-anthesis nitrogen uptake and remobilisation to the grain correlates with agronomic traits and nitrogen physiological markers. Field Crops Res. 2007, 102, 22–32. [Google Scholar] [CrossRef]
- Yang, L.; Guo, S.; Chen, Q.W.; Chen, F.J.; Yuan, L.X.; Mi, G.H. Use of the stable nitrogen isotope to reveal the source-sink regulation of nitrogen uptake and remobilization during grain-filling phase in Maize. PLoS ONE 2016, 11, e0162201. [Google Scholar] [CrossRef] [PubMed]
- Yoshida, S.; Forno, D.A.; Cock, J.H. Laboratory manual for physiological studies of rice. Int. Rice Res. Inst. 1976, 61–66. [Google Scholar]
- Wang, X.K.; Huang, J.L. Principles and Techniques of Plant Physiology and Biochemistry Experiments; Higher Education Press: Beijing, China, 2015. (In Chinese) [Google Scholar]
- Chang, L.Y.; Zhang, W.Y.; Zhang, Y.P.; Gu, D.X.; Yao, X.F.; Zhu, Y.; Cao, W.X. A simulation model on leaf color dynamic changes in rice. Acta Agron. Sin. 2007, 33, 1108–1115, (In Chinese with English Abstract). [Google Scholar]
- Wang, D.Y.; Xu, C.M.; Ye, C.; Chen, S.; Chu, G.; Zhang, X.F. Low recovery efficiency of basal fertilizer-N in plants does not indicate high basal fertilizer-N loss from split-applied N in transplanted rice. Field Crops Res. 2018, 229, 8–16. [Google Scholar] [CrossRef]
- Chen, Y.L.; Xiao, C.X.; Chen, X.C.; Li, Q.; Zhang, J.; Chen, F.J.; Yuan, L.X.; Mi, G.H. Characterization of the plant traits contributed to high grain yield and high grain nitrogen concentration in maize. Field Crops Res. 2014, 159, 1–9. [Google Scholar] [CrossRef]
- Mu, X.H.; Chen, Q.W.; Chen, F.J.; Yuan, L.X.; Mi, G.H. Dynamic remobilization of leaf nitrogen components in relation to photosynthetic rate during grain-filling in maize. Plant Physiol. Biochem. 2018, 129, 27–34. [Google Scholar] [CrossRef]
- Kong, L.G.; Xie, Y.; Hu, L.; Feng, B.; Li, S.D. Remobilization of vegetative nitrogen to developing grain in wheat (Triticum aestivum L.). Field Crops Res. 2016, 196, 134–144. [Google Scholar] [CrossRef]
- Yu, J.L.; Zhu, Z.K.; Zhang, Z.H.; Rong, X.M.; Liu, Q.; Song, H.X.; Guan, C.Y. Effects of enzymes related to nitrogen reuse on nitrogen redistribution and nitrogen use efficiency in Brassica napus. Agric. Sci. Technol. 2014, 15, 215–218. [Google Scholar]
- Masclaux-Daubresse, C.; Chardon, F. Exploring nitrogen remobilization for seed filling using natural variation in Arabidopsis thaliana. J. Exp. Bot. 2011, 62, 2131–2142. [Google Scholar] [CrossRef]
- Xue, X.X.; Lu, J.W.; Li, X.K.; Ren, T.; Cong, R.H.; Ming, R. Nutritional and physiological characters of rice leaves exposure to potassium deficiency under different nitrogen rates. J. Plant Nutr. Fertil. 2016, 22, 1494–1502, (In Chinese with English Abstract). [Google Scholar]
- Koeslin-Findeklee, F.; Becker, M.A.; van der Graaff, E.; Roitsch, T.; Horst, W.J. Differences between winter oilseed rape (Brassica napus L.) cultivars in nitrogen starvation induced leaf senescence are governed by leaf-inherent rather than root-derived signals. J. Exp. Bot. 2015, 66, 3669–3681. [Google Scholar] [CrossRef]
- Arriola, K.G.; Kim, S.C.; Huisden, C.M.; Adesogan, A.T. Stay-green ranking and maturity of corn hybrids: 1. Effects on dry matter yield, nutritional value, fermentation characteristics, and aerobic stability of silage hybrids in Florida. J. Dairy Sci. 2012, 95, 964–974. [Google Scholar] [CrossRef] [PubMed]
- Waring, E.F.; Perkowski, E.A.; Smith, N.G. Soil nitrogen fertilization reduces relative leaf nitrogen allocation to photosynthesis. J. Exp. Bot. 2023, 74, 5166–5180. [Google Scholar] [CrossRef]
- Zhou, Z.X.; Struik, P.C.; Gu, J.F.; van der Putten, P.E.L.; Wang, Z.Q.; Yin, X.Y.; Yang, J.C. Enhancing leaf photosynthesis from altered chlorophyll content requires optimal partitioning of nitrogen. Crop Environ. 2023, 2, 24–36. [Google Scholar] [CrossRef]
- Yin, X.Y.; Schapendonk, A.; Struik, P.C. Exploring the optimum nitrogen partitioning to predict the acclimation of C3 leaf photosynthesis to varying growth conditions. J. Exp. Bot. 2019, 70, 2435–2447. [Google Scholar] [CrossRef]
- Gous, P.W.; Hasjim, J.; Franckowiak, J.; Fox, G.P.; Gilbert, R.G. Barley genotype expressing “stay-green”-like characteristics maintains starch quality of the grain during water stress condition. J. Cereal Sci. 2013, 58, 414–419. [Google Scholar] [CrossRef]
- Nehe, A.; Misra, S.; Murchie, E.; Chinnathambi, K.; Tyagi, B.S.; Foulkes, M.J. Nitrogen partitioning and remobilization in relation to leaf senescence, grain yield and protein concentration in Indian wheat cultivars. Field Crops Res. 2020, 251, 107778. [Google Scholar] [CrossRef]
- Masclaux-Daubresse, C.; Daniel-Vedele, F.; Dechorgnat, J.; Chardon, F.; Gaufichon, L.; Suzuki, A. Nitrogen uptake, assimilation and remobilization in plants: Challenges for sustainable and productive agriculture. Ann. Bot. 2010, 105, 1141–1157. [Google Scholar] [CrossRef] [PubMed]
- Martin, A.; Belastegui-Macadam, X.; Quillere, L.; Foriot, M.; Valadier, M.H.; Pommel, B.; Andrieu, B.; Donnison, L.; Hirel, B. Nitrogen management and senescence in two maize hybrids differing in the persistence of leaf greenness: Agronomic, physiological and molecular aspects. New Phytol. 2005, 167, 483–492. [Google Scholar] [CrossRef]
- Pommel, B.; Gallais, A.; Coque, M.; Quilleré, L.; Hirel, B.; Prioul, J.L.; Andrieu, B.; Foriot, M. Carbon and nitrogen allocation and grain-filling in three maize hybrids differing in leaf senescence. Eur. J. Agron. 2006, 24, 203–211. [Google Scholar] [CrossRef]
- Guo, S.; Sun, W.Y.; Gu, R.L.; Wang, Z.K.; Chen, F.J.; Zhao, B.Q.; Yuan, L.X.; Mi, G.H. Differences in leaf nitrogen remobilization efficiency and related gene expression during grain-filling stage of two maize hybrids. J. Plant Nutr. Fertil. 2018, 24, 1149–1157, (In Chinese with English abstract). [Google Scholar]
- Liu, Z.; Hu, C.H.; Wang, Y.N.; Sha, Y.; Hao, Z.H.; Chen, F.J.; Yuan, L.X.; Mi, G.H. Nitrogen allocation and remobilization contributing to low-nitrogen tolerance in stay-green maize. Field Crops Res. 2021, 263, 108078. [Google Scholar] [CrossRef]
- Zhou, Q.; Yuan, R.; Zhang, W.Y.; Gu, J.F.; Liu, L.J.; Zhang, H.; Wang, Z.Q.; Yang, J.C. Grain yield, nitrogen use efficiency and physiological performance of indica/japonica hybrid rice in response to various nitrogen rates. J. Integr. Agric. 2023, 22, 63–79. [Google Scholar] [CrossRef]
- Chen, M.X.; Huang, J.L.; Cui, K.H.; Nie, L.X.; Peng, S.B. Genotypic variation in ammonia volatilization rate of rice shoots and its relationship with nitrogen use efficiency. Acta Agron. Sin. 2010, 36, 879–884, (In Chinese with English Abstract). [Google Scholar] [CrossRef]
- Huang, J.L.; Zhou, Y.B.; Peng, S.B.; Buresh, R.J. Nitrogen uptake distribution by rice and its losses from plant tissues during. Plant Nutr. Fertil. Sci. 2004, 10, 579–583, (In Chinese with English Abstract). [Google Scholar]
- Chen, G.; Xu, Y.C.; Shen, Q.R. Effects of N fertilization levels on ammonia volatilization from rice shoot at later growth stages. Chin. J. Appl. Ecol. 2008, 19, 1483–1488, (In Chinese with English Abstract). [Google Scholar]
- Jing, J.Y.; Sun, X.; Yang, Y.; Li, N.; Tian, X.X.; Lv, S.Q.; Wang, L.Q. Ammonia volatilization of winter wheat canopy under different nitrogen rates. J. Agro-Environ. Sci. 2017, 36, 401–408, (In Chinese with English Abstract). [Google Scholar]
- Wu, Y.J.; Yang, T.Z.; Song, Y.Y.; Zhang, X.Q.; Xu, S.X.; Xue, G.; Xing, X.X. Metabolic regulaion of ammonia emission in different senescence phenotypes of Nicotiana tabacum. Biol. Plant. 2016, 60, 190–194. [Google Scholar] [CrossRef]
- Massad, R.S.; Loubet, B.; Tuzet, a.; Cellier, P. Relationship between ammonia stomatal compensation point and nitrogen metabolism in arable crops: Current status of knowledge and potential modelling approaches. Environ. Pollut. 2008, 154, 390–403. [Google Scholar] [CrossRef] [PubMed]





| Cultivar | Treatment | Flag Leaf Chlorophyll Content (mg g−1) | |||
|---|---|---|---|---|---|
| Field Experiment | Hydroponic Experiment | ||||
| At Heading | At Maturity | At Heading | At Maturity | ||
| CY167 | LN | 2.94 ± 0.02 d | 0.82 ± 0.03 e | 3.06 ± 0.09 c | 0.20 ± 0.01 e |
| MN | 3.07 ± 0.10 cd | 1.49 ± 0.05 d | 3.42 ± 0.09 b | 0.41 ± 0.02 d | |
| HN | 3.18 ± 0.15 bcd | 1.53 ± 0.02 cd | 3.45 ± 0.26 b | 1.41 ± 0.04 b | |
| CY927 | LN | 3.31 ± 0.26 bc | 1.57 ± 0.07 c | 3.06 ± 0.09 c | 0.27 ± 0.01 e |
| MN | 3.45 ± 0.18 ab | 2.04 ± 0.05 b | 3.42 ± 0.09 b | 0.66 ± 0.07 c | |
| HN | 3.71 ± 0.24 a | 2.34 ± 0.07 a | 3.89 ± 0.08 a | 2.84 ± 0.13 a | |
| Cultivar | Treatment | T0 (d) | T100 (d) | Rmean (1 × 10−3 d−1) | CIf |
|---|---|---|---|---|---|
| CY167 | LN | 3.7 ± 0.3 e | 36.3 ± 0.3 c | 15.5 ± 0.1 a | 0.35 ± 0.01 e |
| MN | 5.5 ± 0.4 d | 37.5 ± 0.4 b | 11.8 ± 0.1 b | 0.45 ± 0.01 d | |
| HN | 11.2 ± 1.2 b | 38.8 ± 1.2 a | 9.9 ± 0.2 c | 0.59 ± 0.04 b | |
| CY927 | LN | 6.1 ± 0.8 d | 34.0 ± 0.8 d | 12.5 ± 1.1 b | 0.52 ± 0.04 c |
| MN | 8.4 ± 0.3 c | 36.6 ± 0.3 c | 9.4 ± 0.1 c | 0.62 ± 0.01 b | |
| HN | 13.3 ± 0.4 a | 36.8 ± 0.4 bc | 6.3 ± 0.1 d | 0.77 ± 0.01 a |
| Cultivar | Treatment | At Heading | During Grain-filling | At Maturity |
|---|---|---|---|---|
| N Accumulation (mg hill−1) | 15N Uptake (mg hill−1) | N Accumulation (mg hill−1) | ||
| CY167 | LN | 175.78 ± 3.22 c | 12.76 ± 0.17 f | 185.70 ± 3.01 e |
| MN | 278.66 ± 12.83 b | 20.25 ± 1.41 d | 254.71 ± 16.82 d | |
| HN | 498.60 ± 21.14 a | 44.35 ± 0.66 b | 440.72 ± 8.76 b | |
| CY927 | LN | 191.11 ± 14.10 c | 14.47 ± 0.18 e | 189.22 ± 4.57 e |
| MN | 285.94 ± 6.73 b | 23.53 ± 0.91 c | 284.89 ± 9.70 c | |
| HN | 501.79 ± 13.46 a | 47.50 ± 1.35 a | 492.40 ± 13.10 a |
| Position | Cultivar | Treatment | At Heading | During Grain-Filling | At Maturity | N Transport Efficiency (%) | |
|---|---|---|---|---|---|---|---|
| N Accumulation (mg hill−1) | N Transportation (mg hill−1) | 15N Uptake (mg hill−1) | N Accumulation (mg hill−1) | ||||
| Upper leaves | CY167 | LN | 60.04 ± 1.99 c | 46.25 ± 1.74 e | 0.49 ± 0.09 e | 14.28 ± 0.68 e | 77.02 ± 0.85 b |
| MN | 85.58 ± 6.20 b | 67.23 ± 5.43 c | 0.66 ± 0.02 d | 19.01 ± 0.77 d | 78.52 ± 0.65 a | ||
| HN | 142.30 ± 14.22 a | 102.28 ± 11.00 a | 2.45 ± 0.17 b | 42.46 ± 3.44 b | 71.84 ± 1.03 c | ||
| CY927 | LN | 62.68 ± 4.79 c | 44.54 ± 3.75 e | 0.69 ± 0.03 d | 18.83 ± 1.03 d | 71.09 ± 0.58 c | |
| MN | 86.09 ± 3.73 b | 59.60 ± 3.06 d | 1.11 ± 0.03 c | 27.60 ± 0.70c | 69.21 ± 0.64 d | ||
| HN | 140.96 ± 4.98 a | 95.14 ± 3.80 b | 2.66 ± 0.04a | 48.49 ± 1.19 a | 67.48 ± 0.34 e | ||
| Lower leaves | CY167 | LN | 29.64 ± 0.63 c | 17.88 ± 0.68 d | 0.25 ± 0.02 e | 12.01 ± 1.16 d | 60.37 ± 3.19 d |
| MN | 62.60 ± 2.28 b | 45.55 ± 1.60 c | 0.41 ± 0.03 d | 17.46 ± 1.16 c | 72.77 ± 1.27 a | ||
| HN | 128.35 ± 8.39 a | 87.83 ± 6.28 a | 1.44 ± 0.06 a | 41.97 ± 2.16 a | 68.41 ± 0.59 b | ||
| CY927 | LN | 30.92 ± 2.86 c | 19.20 ± 2.17 d | 0.27 ± 0.02 e | 11.99 ± 0.73 d | 62.00 ± 1.49 d | |
| MN | 62.20 ± 4.13 b | 40.94 ± 3.45 c | 0.55 ± 0.01 c | 21.80 ± 0.68 b | 65.77 ± 1.23 bc | ||
| HN | 123.94 ± 6.37 a | 80.89 ± 4.83 b | 1.33 ± 0.04 b | 44.38 ± 1.85 a | 65.25 ± 0.82 c | ||
| Stem | CY167 | LN | 55.43 ± 2.02 d | 27.22 ± 1.37 d | 0.98 ± 0.01 e | 29.19 ± 0.71 d | 49.09 ± 0.80 d |
| MN | 91.08 ± 5.73 c | 60.74 ± 4.59 b | 1.34 ± 0.05 cd | 31.68 ± 1.93 cd | 66.66 ± 1.69 a | ||
| HN | 171.20 ± 4.70 b | 101.57 ± 2.73 a | 5.41 ± 0.34 b | 75.03 ± 6.82 b | 59.38 ± 2.95 b | ||
| CY927 | LN | 67.31 ± 6.23 d | 40.73 ± 4.37 c | 1.16 ± 0.03 de | 27.74 ± 2.12 d | 60.45 ± 1.52 b | |
| MN | 102.86 ± 2.24 c | 67.11 ± 2.63 b | 1.65 ± 0.04 c | 37.39 ± 1.58 c | 65.26 ± 2.82 a | ||
| HN | 186.09 ± 13.22 a | 100.04 ± 8.72 a | 5.96 ± 0.38 a | 92.00 ± 6.22 a | 53.74 ± 2.03 c | ||
| Cultivar | Treatment | At Heading | During Grain-Filling | At Maturity | |
|---|---|---|---|---|---|
| N Accumulation (mg hill−1) | Effective Transported N (mg hill−1) | 15N Accumulation (mg hill−1) | N Accumulation (mg hill−1) | ||
| CY167 | LN | 30.67 ± 0.37 d | 88.51 ± 3.97 d | 11.03 ± 0.23 f | 130.21 ± 3.81 d |
| MN | 39.40 ± 3.35 c | 129.32 ± 16.91 c | 17.84 ± 1.33 d | 186.56 ± 14.49 c | |
| HN | 56.75 ± 2.57 a | 189.46 ± 3.11 b | 35.04 ± 0.17 b | 281.26 ± 2.49 b | |
| CY927 | LN | 30.19 ± 0.48 d | 88.1 ± 2.71 d | 12.35 ± 0.12 e | 130.65 ± 2.21 d |
| MN | 34.79 ± 2.90 cd | 143.06 ± 8.97 c | 20.24 ± 0.84 c | 198.09 ± 9.92 c | |
| HN | 50.80 ± 4.68 b | 219.17 ± 11.55 a | 37.55 ± 1.08 a | 307.53 ± 10.28 a | |
| Cultivar | Treatment | Yield | Dry Matter Accumulation | N Harvest Index (%) | N Grain Production Efficiency | N Dry Matter Production Efficiency |
|---|---|---|---|---|---|---|
| (kg ha−1) | DMA (kg ha−1) | NHI (%) | NGPE (kg grain kg−1) | NDMPE (kg grain kg−1) | ||
| CY167 | LN | 6595.0 ± 303.4 b | 15,396.43 ± 315.75 e | 68.83 ± 1.58 a | 53.36 ± 1.82 a | 112.61 ± 5.69 a |
| MN | 10,616.5 ± 307.5 a | 18,648.21 ± 1075.35 d | 66.70 ± 0.48 ab | 49.89 ± 1.93 ab | 92.52 ± 1.94 c | |
| HN | 10,935.5 ± 488.2 a | 23,952.32 ± 572.96 a | 63.91 ± 0.90 c | 45.06 ± 0.99 c | 88.01 ± 2.13 c | |
| CY927 | LN | 6932.1 ± 196.5 b | 14,745.85 ± 521.40 e | 64.77 ± 2.04 bc | 49.56 ± 0.98 b | 100.34 ± 3.57 b |
| MN | 10,540.9 ± 577.4 a | 20,086.76 ± 373.44 c | 64.66 ± 1.88 bc | 48.78 ± 3.36 b | 92.67 ± 3.77 c | |
| HN | 10,382.8 ± 383.5 a | 22,814.41 ± 210.66 b | 56.35 ± 1.91 d | 39.35 ± 0.58 d | 79.75 ± 4.50 d |
| Cultivar | Treatment | Yield | Dry Matter Accumulation | N Harvest Index | N Grain Production Efficiency | N Dry Matter Production Efficiency |
|---|---|---|---|---|---|---|
| (g hill−1) | (g hill−1) | NHI (%) | NGPE (g grain g−1) | NDMPE (g grain g−1) | ||
| CY167 | LN | 13.55 ± 0.35 c | 25.47 ± 0.47 c | 64.17 ± 1.05 ab | 72.96 ± 2.54 a | 137.19 ± 3.54 a |
| MN | 16.11 ± 0.84 b | 29.25 ± 1.09 b | 66.17 ± 1.53 a | 63.28 ± 1.69 b | 114.99 ± 3.82 b | |
| HN | 18.02 ± 1.36 a | 34.05 ± 1.48 a | 55.88 ± 0.86 c | 40.90 ± 3.46 d | 77.30 ± 4.10 d | |
| CY927 | LN | 12.48 ± 0.15 c | 25.18 ± 0.38 c | 62.52 ± 0.44 b | 65.96 ± 2.07 b | 133.16 ± 4.16 a |
| MN | 14.72 ± 0.38 b | 28.40 ± 0.38 b | 62.40 ± 1.49 b | 51.73 ± 2.93 c | 99.78 ± 4.60 c | |
| HN | 17.67 ± 1.25 a | 35.22 ± 0.81 a | 54.82 ± 0.97 c | 35.87 ± 1.72 e | 71.51 ± 1.28 d |
Disclaimer/Publisher’s Note: The statements, opinions and data contained in all publications are solely those of the individual author(s) and contributor(s) and not of MDPI and/or the editor(s). MDPI and/or the editor(s) disclaim responsibility for any injury to people or property resulting from any ideas, methods, instructions or products referred to in the content. |
© 2024 by the authors. Licensee MDPI, Basel, Switzerland. This article is an open access article distributed under the terms and conditions of the Creative Commons Attribution (CC BY) license (https://creativecommons.org/licenses/by/4.0/).
Share and Cite
Tao, Y.; Xu, Y.; Ye, C.; Zhu, J.; Xiao, D.; Liao, W.; Zhu, Y.; Chu, G.; Xu, C.; Wang, D. Exogenous N Supply on N Transportation and Reuse during the Rice Grain-Filling Stage and Its Relationship with Leaf Color-Changing Parameters. Agronomy 2024, 14, 2321. https://doi.org/10.3390/agronomy14102321
Tao Y, Xu Y, Ye C, Zhu J, Xiao D, Liao W, Zhu Y, Chu G, Xu C, Wang D. Exogenous N Supply on N Transportation and Reuse during the Rice Grain-Filling Stage and Its Relationship with Leaf Color-Changing Parameters. Agronomy. 2024; 14(10):2321. https://doi.org/10.3390/agronomy14102321
Chicago/Turabian StyleTao, Yi, Yanan Xu, Chang Ye, Junlin Zhu, Deshun Xiao, Wenli Liao, Yijun Zhu, Guang Chu, Chunmei Xu, and Danying Wang. 2024. "Exogenous N Supply on N Transportation and Reuse during the Rice Grain-Filling Stage and Its Relationship with Leaf Color-Changing Parameters" Agronomy 14, no. 10: 2321. https://doi.org/10.3390/agronomy14102321
APA StyleTao, Y., Xu, Y., Ye, C., Zhu, J., Xiao, D., Liao, W., Zhu, Y., Chu, G., Xu, C., & Wang, D. (2024). Exogenous N Supply on N Transportation and Reuse during the Rice Grain-Filling Stage and Its Relationship with Leaf Color-Changing Parameters. Agronomy, 14(10), 2321. https://doi.org/10.3390/agronomy14102321
