Assessing the Management of Nitrogen Fertilizer Levels for Yield Values, Photosynthetic Characteristics and Non-Structural Carbohydrates in Rice
Abstract
1. Introduction
2. Materials and Methods
2.1. Field Management
2.2. Experimental Sampling and Measurements
2.2.1. Determination of Starch
2.2.2. Determination of Soluble Sugars
2.2.3. Determination of Rice Yield and Dry Matter
2.2.4. Determination of Photosynthetic Characteristics
2.3. Statistical Analysis
3. Results
3.1. Effects of N Fertilizer Application Frequency and Amount on Rice Yield and Constituent Elements
3.2. The Effect of N Application Frequency and Amount on the SPAD Value of Rice
3.3. The Effect of Nitrogen Fertilizer Application Frequency and Amount on the Pn of Rice
3.4. The Effect of N Application Frequency and Amount on RUE in ZLY819
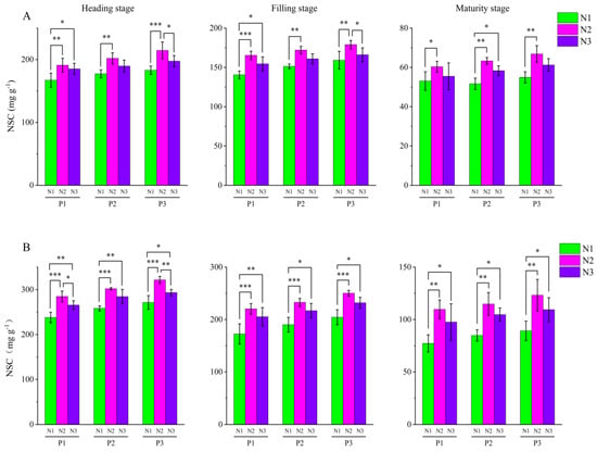
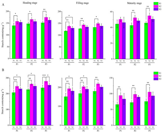
3.5. The Effect of N Application Frequency and Amount on NSCs in ZLY819
3.5.1. Effect of N Management on Soluble Sugars of ZLY819 Stem Sheaths
3.5.2. Effect of N Management on the Starch Content of Stem Sheaths in ZLY819
3.5.3. Effect of Nitrogen Management on NSCs of ZLY819 Stem Sheaths
3.5.4. The Impact of N Management on NSC Accumulation and Transport in the Stem Sheath of ZLY819
3.6. Heat Map of Correlation between Indicators
3.7. Principal Component Analysis (PCA) and Cluster Analysis
4. Discussion
4.1. The Optimal Frequencies and Amount of N Application Have the Potential to Substantially Enhance Grain Yield in the ZLY819
4.2. The Impact of N Application Frequency and Amount on Rice Yield Structure
4.3. Effect of N Application Frequency and Amount on Photosynthesis of ZLY819
4.4. Effect of N Application Frequency and Amount on NSCs of ZLY819
5. Conclusions
Author Contributions
Funding
Data Availability Statement
Conflicts of Interest
References
- Khush, G.S. What it will take to feed 5.0 billion rice consumers in 2030. Plant Mol. Biol. 2005, 59, 1–6. [Google Scholar] [CrossRef] [PubMed]
- Hu, K.M.; Qiu, D.Y.; Shen, X.L.; Li, X.H.; Wang, S.P. Isolation and manipulation of quantitative trait loci for disease resistance in rice using a candidate gene approach. Mol. Plant 2008, 1, 786–793. [Google Scholar] [CrossRef] [PubMed]
- Liu, X.; Wang, H.; Zhou, J.; Hu, F.; Zhu, D.; Chen, Z.; Liu, Y. Effect of N fertilization pattern on rice yield, N use efficiency, and fertilizer–N fate in the Yangtze River Basin, China. PloS ONE 2016, 11, e0166002. [Google Scholar] [CrossRef]
- Wu, K.; Ali, I.; Xie, H.; Ullah, S.; Iqbal1, A.; Wei, S.; He, L.; Huang, Q.; Wu, X.; Cheng, F.; et al. Impact of fertilization with reducing nitrogen and phosphorous application on rice growth, yield, and biomass accumulation (Oryza sativa L.) under a dual cropping system. PeerJ 2021, 9, e11668. [Google Scholar] [CrossRef]
- Yi, J.; Gao, J.P.; Zhang, W.Z.; Zhao, Y.Z.; Xin, W. Delayed timing of tillering fertilizer improved grain yield and nitrogen use efficiency in Japonica rice. Crop Sci. 2020, 60, 1021–1033. [Google Scholar] [CrossRef]
- Ladha, J.K.; Jat, M.L.; Stirling, C.M.; Chakraborty, D.; Pradhan, P.; Krupnik, T.J.; Sapkota, T.B.; Pathak, H.; Rana, D.S.; Tesfaye, K.; et al. Achieving the sustainable development goals in agriculture: The crucial role of nitrogen in cereal-based systems. Adv. Agron. 2020, 16, 39–116. [Google Scholar] [CrossRef]
- Tayefeh, M.; Sadeghi, S.M.; Noorhosseini, S.A.; Bacenetti, J.; Damalas, C.A. Environmental impact of rice production based on nitrogen fertilizer use. Environ. Sci. Pollut. Res. 2018, 25, 15885–15895. [Google Scholar] [CrossRef]
- Zhou, C.; Jia, B.; Wang, S.; Huang, Y.; Wang, Y.; Han, K.; Wang, W. Effects of nitrogen fertilizer applications on photosynthetic production and yield of japonica rice. Int. J. Plant Prod. 2021, 15, 599–613. [Google Scholar] [CrossRef]
- Zhang, W.; Wu, L.; Wu, X.; Ding, Y.; Li, G.; Li, J.; Weng, F.; Liu, Z.; Tang, S.; Ding, C.; et al. Lodging resistance of japonica rice (Oryza sativa L.): Morphological and anatomical traits due to top-dressing nitrogen application rates. Rice 2016, 9, 1–11. [Google Scholar] [CrossRef]
- Mi, W.; Yang, X.; Wu, L.; Ma, Q.; Liu, Y.; Zhang, X. Evaluation of nitrogen fertilizer and cultivation methods for agronomic performance of rice. Agron. J. 2016, 108, 1907–1916. [Google Scholar] [CrossRef]
- Jiang, Z.; Zhong, Y.; Yang, J.; Wu, Y.; Li, H.; Zheng, L. Effect of nitrogen fertilizer rates on carbon footprint and ecosystem service of carbon sequestration in rice production. Sci. Total Environ. 2019, 670, 210–217. [Google Scholar] [CrossRef] [PubMed]
- Kaysar, M.S.; Sarker, U.K.; Monira, S.; Hossain, M.A.; Somaddar, U.; Saha, G.; Hossain, S.F.; Mokarroma, N.; Chaki, A.K.; Bhuiya, M.S.U.; et al. Optimum nitrogen application acclimatizes root morpho-physiological traits and yield potential in rice under subtropical conditions. Life 2022, 12, 2051. [Google Scholar] [CrossRef] [PubMed]
- Xu, C.M.; Zhou, C.N.; Zheng, G.S.; Wang, D.Y.; Zhao, F.; Zhu, X.D.; Zhang, X.F. Effects of nitrogen fertilizer application and densities on non-structural carbohydrates accumulation distribution and quality of super late rice tianyouhua zhan. J. Agric. Sci. Technol. 2010, 12, 86–91. [Google Scholar]
- Pan, J.F. Effects of Nitrogen Treatments on Characteristics of Accumulation and Translocation of Nonstructural Carbohydrates in Stems and Their Genetic Basis; Huazhong Agricultural University: Wuhan, China, 2010. [Google Scholar]
- Deng, F.; Wang, L.; Mei, X.F.; Li, S.X.; Pu, S.L.; Ren, W.J. Polyaspartate urea and nitrogen management affect nonstructural carbohydrates and yield of rice. Crop Sci. 2016, 56, 3272–3285. [Google Scholar] [CrossRef]
- Zhou, S.; Liu, K.; Zhuo, X.; Wang, W.; Zhang, W.; Zhang, H.; Gu, J.; Yang, J.; Liu, L. Optimizing nitrogen regime improves dry matter and nitrogen accumulation during grain filling to increase rice yield. Agronomy 2023, 13, 1983. [Google Scholar] [CrossRef]
- Li, G.; Hu, Q.; Shi, Y.; Cui, K.; Nie, L.; Huang, J.; Peng, S. Low nitrogen application enhances starch-metabolizing enzyme activity and improves accumulation and translocation of non-structural carbohydrates in rice stems. Front. Plant Sci. 2018, 9, 1128. [Google Scholar] [CrossRef]
- Ding, J.; Li, F.; Xu, D.; Wu, P.; Zhu, M.; Li, C.; Zhu, X.; Chen, Y.; Guo, W. Tillage and nitrogen managements increased wheat yield through promoting vigor growth and production of tillers. Agron. J. 2021, 113, 1640–1652. [Google Scholar] [CrossRef]
- Zhou, W.; Yan, F.; Chen, Y.; Ren, W. Optimized nitrogen application increases rice yield by improving the quality of tillers. Plant Prod. Sci. 2022, 25, 311–319. [Google Scholar] [CrossRef]
- Zhao, C.; Liu, G.; Chen, Y.; Jiang, Y.; Shi, Y.; Zhao, L.; Liao, P.; Wang, W.; Xu, K.; Dai, Q.; et al. Excessive Nitrogen Application Leads to Lower Rice Yield and Grain Quality by Inhibiting the Grain Filling of Inferior Grains. Agriculture 2022, 12, 962. [Google Scholar] [CrossRef]
- Cong, X.H.; Shi, F.Z.; Ruan, X.M.; Luo, Y.X.; Ma, T.C.; Luo, Z.X. Effects of nitrogen fertilizer application rate on nitrogen use efficiency and grain yield and quality of different rice varieties. J. Appl. Ecol. 2017, 28, 1219–1226. [Google Scholar] [CrossRef]
- Guo, X.; Jiang, H.; Lan, Y.; Wang, H.; Xu, L.; Yin, D.; Zheng, G.; Lv, Y. Optimization of nitrogen fertilizer management for improving rice grain yield and nutrient accumulation and mobilization in saline-alkaline soils. Crop Sci. 2020, 60, 2621–2632. [Google Scholar] [CrossRef]
- Zou, J.; Xu, H.; Lan, C.; Qin, B.; Li, J.; Nyimbo, W.J.; Lin, H.; Pang, Z.; Fallah, N.; Guo, C.; et al. Regulation of photoassimilate transportation and nitrogen uptake to decrease greenhouse gas emissions in ratooning rice with higher economic return by optimized nitrogen supplies. Field Crops Res. 2024, 312, 109385. [Google Scholar] [CrossRef]
- Yu, A.H.; Long, J. Keeping the rice bowl firmly in your own hands. Guang Ming Daily, 22 March 2021; p. 005. [Google Scholar]
- Xu, C.J.; Chen, W.J.; Chen, K.S.; Zhang, S.L. A Simple Method for Determining the Content of Starch-Iodine Colorimety. Biotechnology 1998, 2, 41–43. [Google Scholar]
- Zhong, Y.; Wang, X.P.; Yang, J.P.; Zhao, X.; Ye, X.Y. Exploring a suitable nitrogen fertilizer rate to reduce greenhouse gas emissions and ensure rice yields in paddy fields. Sci. Total Environ. 2016, 565, 420–426. [Google Scholar] [CrossRef] [PubMed]
- Azarpour, E.; Moraditochaee, M.; Bozorgi, H.R. Effect of nitrogen fertilizer management on growth analysis of rice cultivars. Int. J. Biosci. 2014, 4, 35–47. [Google Scholar]
- Peng, J.F.; Liu, T.T.; Xu, G.L.; Feng, Y.H.; Wang, X.K.; Li, J.; Luo, Q.X.; Somsana, P.; Han, Z.L.; Lu, W. Response of leaf photosynthetic characteristics, photosynthetic nitrogen utilization efficiency, and yield to different nitrogen application rates in super hybrid rice. Chin. Rice 2021, 27, 30–36. [Google Scholar] [CrossRef]
- Ma, S.; Wang, G.; Su, S.; Lu, J.W.; Ren, T.; Cong, R.H.; Lu, Z.F.; Zhang, Y.Y.; Liao, S.P.; Li, X.K. Effects of optimized nitrogen fertilizer management on the yield, nitrogen uptake, and ammonia volatilization of direct-seeded rice. J. Sci. Food Agric. 2023, 103, 4553–4561. [Google Scholar] [CrossRef] [PubMed]
- He, X.E.; Zhu, H.J.; Shi, A.L.; Wang, X.H. Optimizing nitrogen fertilizer management enhances rice yield, dry matter, and nitrogen use efficiency. Agronomy. 2024, 14, 919. [Google Scholar] [CrossRef]
- Zhang, H.C.; Wu, G.C.; Dai, Q.G.; Huo, Z.Y.; Xu, K.; Gao, H.; Wei, H.Y.; Lu, X.T.; Wan, L.J.; Huang, Y.Z. Accurate backward migration of rice nitrogen fertilizer and its mechanism. Journal of Crops 2011, 37, 1837–1851. [Google Scholar]
- Mahajan, G.; Chauhan, B.S.; Gill, M.S. Optimal nitrogen fertilization timing and rate in dry-seeded rice in Northwest India. Agron. J. 2011, 103, 1676–1682. [Google Scholar] [CrossRef]
- Sun, Z.G.; Wang, B.X.; Yang, B.; Xu, B.; Xing, Y.G.; Bello, B.K.; Xu, D.Y. The effect of nitrogen application rate on nitrogen utilization efficiency and agronomic traits of different rice varieties. Jiangxi Agric. J. 2019, 31, 23–28. [Google Scholar]
- Wu, H.; Xiang, J.; Zhang, Y.; Zhang, Y.K.; Peng, S.B.; Chen, H.Z.; Zhu, D.F. Effects of post-anthesis nitrogen uptake and translocation on photosynthetic production and rice yield. Sci Rep. 2018, 8, 12891. [Google Scholar] [CrossRef] [PubMed]
- Bao, Y.; Huang, L.; Li, Y.; Wang, M.M.; Liang, Z.W. How different nitrogen application rates affect yield composition and nitrogen uptake of rice (oryza sativa l.) in a saline-sodic paddy field. Pol. J. Environ. Stud. 2019, 28, 553–564. [Google Scholar] [CrossRef] [PubMed]
- Deng, F.; Wang, L.; Ren, W.J.; Mei, X.F.; Li, S.X. Optimized nitrogen managements and polyaspartic acid urea improved dry matter production and yield of indica hybrid rice. Soil Tillage Res. 2015, 145, 1–9. [Google Scholar] [CrossRef]
- Xu, M.; Wang, H.P.; Yin, G.D.; Zhou, P.N.; Zhang, Y.J.; Su, Z.F.; Xu, N.X. The effect of panicle fertilizer application period on rice yield and population quality. Jiangsu Agric. Res. 2000, 02, 36–40. [Google Scholar]
- Lu, J.; Shan, L.; Gao, J. Mobilization and distribution of carbon assimilates of wheat under water deficits. Acta Agric. Nucleatae Sin. 2002, 16, 228–231. [Google Scholar]
- Zhang, J.H.; Li, J.L.; Zhang, J.B.; Zhao, F.T.; Cheng, Y.N.; Wang, W.P. Effects of nitrogen application rates on translocation of dry matter and nitrogen utilization in rice and wheat. Acta Agron. Sin. 2010, 36, 1736–1742. [Google Scholar] [CrossRef]
- Abdalla basyouni Abou-khalifa, A.; Misra, A.N.; Salem, A.E.A.K. Effect of leaf cutting on physiological traits and yield of two rice cultivars. Afr. J. Plant Sci. 2008, 2, 147–150. [Google Scholar]
- Deng, F.; Wang, L.; Liu, L.; Liu, D.Y.; Ren, W.J.; Yang, W.Y. Effect of cultivation methods on dry matter production and yield of rice under different ecological conditions. J. Crop Sci. 2012, 38, 1930–1942. [Google Scholar] [CrossRef]
- He, J.; Cui, Y.L.; Zhang, D.P.; Zheng, C.J.; Wang, J.Z.; Shi, W.D. Characteristics of dry matter accumulation and distribution in rice under different water fertilizer coupling conditions. J. Irrig. Drain. 2010, 5, 1–5. [Google Scholar]
- Xiong, Q.; Tang, G.; Zhong, L.; He, H.; Chen, X. Response to nitrogen deficiency and compensation on physiological characteristics, yield formation, and nitrogen utilization of rice. Front. Plant Sci. 2018, 9, 1075. [Google Scholar] [CrossRef] [PubMed]
- Hou, W.; Tränkner, M.; Lu, J.; Yan, J.; Huang, S.; Ren, T.; Cong, R.; Li, X. Interactive effects of nitrogen and potassium on photosynthesis and photosynthetic nitrogen allocation of rice leaves. BMC Plant Biol. 2019, 19, 1–13. [Google Scholar] [CrossRef] [PubMed]
- Yang, J.; Zhang, J. Approach and mechanism in enhancing the remobilization of assimilates and grain-filling in rice and wheat. Chin. Sci. Bull. 2018, 63, 2932–2943. [Google Scholar] [CrossRef]
- Gu, X.; Bai, W.; Li, J.; Kong, D.; Liu, J.; Wang, Y. Spatio-temporal changes and their relationship in water resources and agricultural disasters across China. Hydrol. Sci. J. 2019, 64, 490–505. [Google Scholar] [CrossRef]







| Developmental Stage | 1 Day before Transplanting | 7 Days after Transplanting | First Bract Differentiation Period | Beginning of the Spike | |
|---|---|---|---|---|---|
| Treatment | 2020 | 18th April | 26th April | 19th May | 9th June |
| 2021 | 20th April | 28th April | 21st May | 11th June | |
| P1N1 | 45 | 45 | 0 | 0 | |
| P1N2 | 75 | 75 | 0 | 0 | |
| P1N3 | 105 | 105 | 0 | 0 | |
| P2N1 | 36 | 27 | 27 | 0 | |
| P2N2 | 60 | 45 | 45 | 0 | |
| P2N3 | 84 | 63 | 63 | 0 | |
| P3N1 | 36 | 27 | 18 | 9 | |
| P3N2 | 60 | 45 | 30 | 15 | |
| P3N3 | 84 | 63 | 42 | 21 | |
| Source of Variation | Freedom df | Grain Yield | Panicles ha−1 (×104) | Number of Grains per Spike | Grain-Setting Rate (%) | 1000-Grain Weight (g) |
|---|---|---|---|---|---|---|
| Y | 1 | 42.34 ** | 32.39 ** | 111.49 ** | 13.69 ** | 13.93 ** |
| P | 2 | 45.85 ** | 9.97 ** | 9.22 ** | 26.28 ** | NS |
| N | 2 | 48.37 ** | 175.24 ** | 172.98 ** | 711.46 ** | 10.23 ** |
| Y × P | 2 | 4.63 * | NS | NS | NS | NS |
| Y × N | 2 | NS | NS | 10.10 ** | 7.20 ** | NS |
| N × P | 4 | NS | NS | NS | NS | NS |
| Y × P × N | 4 | NS | NS | NS | NS | NS |
| Year | Treatment | Panicles ha−1 (×104) | Number of Grains per Spike | Grain-Setting Rate (%) | 1000-Grain Weight (g) |
|---|---|---|---|---|---|
| 2020 | P1N1 | 264.13 ± 9.00 d | 105.02 ± 0.92 e | 82.58 ± 0.01 b | 25.57 ± 0.09 a |
| P1N2 | 313.16 ± 6.25 c | 114.12 ± 1.15 c | 77.13 ± 0.01 d | 25.32 ± 0.10 abc | |
| P1N3 | 334.17 ± 11.36 ab | 113.01 ± 0.15 c | 70.61 ± 0.00 f | 25.06 ± 0.17 c | |
| P2N1 | 274.14 ± 12.13 d | 107.16 ± 0.99 de | 83.05 ± 0.01 b | 25.33 ± 0.12 abc | |
| P2N2 | 319.16 ± 13.53 bc | 117.10 ± 2.46 ab | 78.25 ± 0.00 cd | 25.38 ± 0.24 ab | |
| P2N3 | 340.17 ± 11.36 a | 114.37 ± 2.49 bc | 71.43 ± 0.01 ef | 25.29 ± 0.06 bc | |
| P3N1 | 282.14 ± 9.00 d | 107.96 ± 1.49 d | 84.82 ± 0.00 a | 25.48 ± 0.13 ab | |
| P3N2 | 334.17 ± 12.13 ab | 118.76 ± 1.74 a | 79.12 ± 0.01 c | 25.56 ± 0.21 ab | |
| P3N3 | 346.17 ± 11.36 a | 115.26 ± 2.12 bc | 72.12 ± 0.01 e | 25.35 ± 0.22 ab | |
| average | P1 | 273.47 | 106.71 | 83.48 | 25.46 |
| P2 | 322.16 | 116.66 | 78.17 | 25.42 | |
| P3 | 340.17 | 114.21 | 71.39 | 25.23 | |
| N1 | 303.82 | 110.72 | 76.77 | 25.32 | |
| N2 | 311.16 | 112.88 | 77.58 | 25.33 | |
| N3 | 320.83 | 113.99 | 78.69 | 25.47 | |
| 2021 | P1N1 | 289.14 ± 9.17 e | 106.75 ± 2.48 c | 81.96 ± 0.00 bc | 25.55 ± 0.13 abc |
| P1N2 | 327.16 ± 7.94 c | 122.68 ± 1.18 a | 78.24 ± 0.01 d | 25.65 ± 0.08 a | |
| P1N3 | 350.18 ± 9.17 a | 121.91 ± 2.48 a | 71.37 ± 0.00 f | 25.32 ± 0.13 d | |
| P2N1 | 298.15 ± 7.55 de | 109.60 ± 3.35 bc | 83.09 ± 0.02 ab | 25.41 ± 0.13 bcd | |
| P2N2 | 331.17 ± 6.25 bc | 124.20 ± 2.03 a | 80.29 ± 0.01 c | 25.59 ± 0.12 ab | |
| P2N3 | 346.17 ± 10.54 a | 123.57 ± 2.90 a | 72.44 ± 0.01 ef | 25.56 ± 0.18 abc | |
| P3N1 | 306.15 ± 7.94 d | 111.50 ± 1.59 b | 83.94 ± 0.01 a | 25.52 ± 0.14 bcd | |
| P3N2 | 344.17 ± 9.65 ab | 124.51 ± 2.58 a | 81.80 ± 0.01 bc | 25.71 ± 0.04 a | |
| P3N3 | 351.18 ± 10.82 a | 123.42 ± 1.88 a | 73.25 ± 0.00 e | 25.37 ± 0.13 cd | |
| average | P1 | 297.82 | 109.28 | 83.00 | 25.49 |
| P2 | 334.17 | 123.80 | 80.11 | 25.65 | |
| P3 | 349.17 | 122.97 | 72.35 | 25.42 | |
| N1 | 322.16 | 117.11 | 77.19 | 25.51 | |
| N2 | 325.16 | 119.12 | 78.61 | 25.52 | |
| N3 | 333.83 | 119.81 | 79.66 | 25.53 |
| Treatment | PAR (MJ m−2) Photosynthetically Active Radiation | RUE (g MJ−1) Radiation Use Efficiency | |||
|---|---|---|---|---|---|
| 2020 | 2021 | 2020 | 2021 | ||
| P1 | N1 | 717.87 ± 47.81 c | 544.45 ± 20.52 b | 1.11 ± 0.03 ab | 1.63 ± 0.12 a |
| N2 | 819.42 ± 33.26 ab | 566.33 ± 7.66 ab | 1.22 ± 0.05 a | 1.67 ± 0.06 a | |
| N3 | 800.70 ± 17.92 ab | 565.50 ± 9.38 ab | 1.23 ± 0.04 a | 1.71 ± 0.12 a | |
| P2 | N1 | 757.20 ± 36.30 bc | 547.70 ± 21.22 ab | 1.19 ± 0.04 a | 1.64 ± 0.02 a |
| N2 | 842.58 ± 24.08 a | 583.37 ± 20.18 ab | 1.24 ± 0.09 a | 1.72 ± 0.08 a | |
| N3 | 814.97 ± 14.23 ab | 605.18 ± 12.89 a | 1.20 ± 0.01 a | 1.70 ± 0.05 a | |
| P3 | N1 | 758.67 ± 30.79 bc | 565.11 ± 10.36 ab | 1.21 ± 0.04 a | 1.65 ± 0.07 a |
| N2 | 856.48 ± 14.79 a | 590.68 ± 8.30 ab | 1.26 ± 0.08 a | 1.75 ± 0.05 a | |
| N3 | 835.42 ± 6.40 ab | 604.06 ± 26.62 a | 1.25 ± 0.08 a | 1.73 ± 0.01 a | |
| F value | Y | 1303.04 ** | 696.59 ** | ||
| P | 9.59 ** | NS | |||
| N | 39.26 ** | 6.28 ** | |||
| Y × P | NS | NS | |||
| Y × N | 9.36 ** | NS | |||
| P × N | NS | NS | |||
| Y × P × N | NS | NS | |||
| Year | Treatment | NSC Accumulation during Heading Stage (kg ha−1) | NSC Accumulation during Maturity Stage (kg ha−1) | Output (kg ha−1) | Transport Rate (%) | Contribution Rate to Grains (%) |
|---|---|---|---|---|---|---|
| 2020 | P1N1 | 543.44 ± 37.60 e | 128.79 ± 14.36 f | 414.66 ± 4.71 e | 76.15 ± 2.29 ab | 6.45 ± 1.00 c |
| P1N2 | 754.99 ± 62.64 bcd | 169.25 ± 19.37 bcd | 585.74 ± 4.38 bc | 77.62 ± 0.59 ab | 7.60 ± 1.13 ab | |
| P1N3 | 734.72 ± 21.88 cd | 160.27 ± 16.76 de | 574.45 ± 1.52 bcd | 78.21 ± 1.66 ab | 7.58 ± 0.13 ab | |
| P2N1 | 629.48 ± 16.97 de | 134.29 ± 5.47 ef | 495.19 ± 2.20 de | 78.64 ± 0.79 ab | 6.86 ± 0.66 bc | |
| P2N2 | 832.08 ± 45.74 ab | 177.47 ± 9.50 ab | 654.61 ± 4.88 ab | 78.62 ± 1.03 ab | 7.87 ± 0.87 ab | |
| P2N3 | 750.58 ± 48.73 bcd | 162.50 ± 14.45 bcd | 588.08 ± 3.95 bc | 78.35 ± 1.02 ab | 7.63 ± 1.02 ab | |
| P3N1 | 653.93 ± 91.69 cde | 140.11 ± 16.20 cde | 513.81 ± 7.62 cd | 78.52 ± 0.4 ab | 7.00 ± 1.54 bc | |
| P3N2 | 909.16 ± 75.23 a | 185.31 ± 19.46 a | 723.85 ± 7.85 a | 79.52 ± 1.28 a | 8.41 ± 0.83 a | |
| P3N3 | 765.25 ± 51.03 bc | 158.05 ± 3.31 bc | 607.20 ± 4.93 b | 79.30 ± 0.80 a | 7.37 ± 1.57 abc | |
| 2021 | P1N1 | 781.10 ± 45.47 f | 201.72 ± 23.11 f | 579.37 ± 2.29 e | 74.23 ± 1.49 a | 7.14 ± 0.27 cd |
| P1N2 | 1076.67 ± 19.38 c | 301.75 ± 26.15 abc | 774.92 ± 3.53 bcd | 71.96 ± 2.60 a | 8.40 ± 0.37 abc | |
| P1N3 | 1048.27 ± 41.27 cd | 302.22 ± 56.82 bcd | 746.05 ± 7.20 cd | 71.13 ± 5.72 a | 8.26 ± 0.73 abc | |
| P2N1 | 790.28 ± 31.77 de | 213.35 ± 9.85 de | 576.93 ± 2.38 e | 73.00 ± 0.63 a | 6.53 ± 0.35 de | |
| P2N2 | 1152.75 ± 82.83 b | 342.31 ± 34.42 ab | 810.43 ± 6.50 bc | 70.30 ± 2.21 a | 8.48 ± 0.48 abc | |
| P2N3 | 1105.28 ± 102.21 cde | 276.98 ± 14.37 cde | 828.30 ± 11.65 abc | 74.72 ± 3.66 a | 8.14 ± 1.25 abc | |
| P3N1 | 926.44 ± 45.43 e | 233.67 ± 17.98 ef | 692.77 ± 6.33 d | 74.67 ± 3.23 a | 7.72 ± 1.00 bcd | |
| P3N2 | 1273.94 ± 34.38 a | 346.83 ± 25.23 a | 927.11 ± 5.93 a | 72.73 ± 2.70 a | 9.20 ± 0.59 a | |
| P3N3 | 1211.85 ± 42.52 b | 342.48 ± 40.44 abc | 869.38 ± 7.64 ab | 71.66 ± 4.17 a | 8.87 ± 1.15 ab | |
| F value | Y | 427.37 ** | 379.36 ** | 131.60 ** | 58.47 ** | 10.73 ** |
| P | 26.73 ** | 4.63 * | 15.91 ** | NS | NS | |
| N | 126.56 ** | 51.95 ** | 58.26 ** | NS | 16.41 ** | |
| Y × P | NS | NS | NS | NS | NS | |
| Y × N | 8.81 ** | 12.14 ** | NS | NS | NS | |
| P × N | NS | NS | NS | NS | NS | |
| Y × P × N | NS | NS | NS | NS | NS |
Disclaimer/Publisher’s Note: The statements, opinions and data contained in all publications are solely those of the individual author(s) and contributor(s) and not of MDPI and/or the editor(s). MDPI and/or the editor(s) disclaim responsibility for any injury to people or property resulting from any ideas, methods, instructions or products referred to in the content. |
© 2024 by the authors. Licensee MDPI, Basel, Switzerland. This article is an open access article distributed under the terms and conditions of the Creative Commons Attribution (CC BY) license (https://creativecommons.org/licenses/by/4.0/).
Share and Cite
He, X.; Zhu, H.; Shi, A.; Tan, W.; Wang, X. Assessing the Management of Nitrogen Fertilizer Levels for Yield Values, Photosynthetic Characteristics and Non-Structural Carbohydrates in Rice. Agronomy 2024, 14, 1983. https://doi.org/10.3390/agronomy14091983
He X, Zhu H, Shi A, Tan W, Wang X. Assessing the Management of Nitrogen Fertilizer Levels for Yield Values, Photosynthetic Characteristics and Non-Structural Carbohydrates in Rice. Agronomy. 2024; 14(9):1983. https://doi.org/10.3390/agronomy14091983
Chicago/Turabian StyleHe, Xiaoe, Haijun Zhu, Ailong Shi, Weijian Tan, and Xuehua Wang. 2024. "Assessing the Management of Nitrogen Fertilizer Levels for Yield Values, Photosynthetic Characteristics and Non-Structural Carbohydrates in Rice" Agronomy 14, no. 9: 1983. https://doi.org/10.3390/agronomy14091983
APA StyleHe, X., Zhu, H., Shi, A., Tan, W., & Wang, X. (2024). Assessing the Management of Nitrogen Fertilizer Levels for Yield Values, Photosynthetic Characteristics and Non-Structural Carbohydrates in Rice. Agronomy, 14(9), 1983. https://doi.org/10.3390/agronomy14091983

