Next Article in Journal
Evaluating the Efficacy of an Extract for UV Defense and Mitigation of Oxidative Stress, Transitioning from Biomass to Bioprotection
Previous Article in Journal
Long-Term Effects of Nitrogen and Tillage on Yields and Nitrogen Use Efficiency in Irrigated Corn
 
 
Font Type:
Arial Georgia Verdana
Font Size:
Aa Aa Aa
Line Spacing:
Column Width:
Background:
Article

Potato E3 Ubiquitin Ligase StXERICO1 Positively Regulates Drought Resistance by Enhancing ABA Accumulation in Potato and Tobacco and Interacts with the miRNA Novel-miR1730-3p and Proteins StUBC and StTLP

1
School of Life Sciences, Yunnan Normal University, Southwest United Graduate School, Key Laboratory of Potato Biology of Yunnan Province, Engineering Research Center of Sustainable Development and Utilization of Biomass Energy, Ministry of Education, Key Laboratory of Biomass Energy and Environmental Biotechnology of Yunnan Province, Kunming 650500, China
2
Xinjiang Key Laboratory of Special Species Conservation and Regulatory Biology, Key Laboratory of Plant Stress Biology in Arid Land, School of Life Sciences, Xinjiang Normal University, Urumqi 830054, China
3
Yunnan Key Laboratory of Potato Biology, Joint Academy of Potato Science, Yunnan Normal University, Kunming 650500, China
*
Author to whom correspondence should be addressed.
Agronomy 2024, 14(10), 2305; https://doi.org/10.3390/agronomy14102305
Submission received: 19 September 2024 / Revised: 2 October 2024 / Accepted: 4 October 2024 / Published: 7 October 2024
(This article belongs to the Section Plant-Crop Biology and Biochemistry)

Abstract

Potato (Solanum tuberosum L.) is sensitive to drought, which severely impacts tuber yield and quality. In this study, we characterized a XERICO gene, encoding a RING-H2 type E3 ubiquitin ligase, StXERICO1, from a diploid potato, investigated its role in enhancing drought resistance and ABA accumulation, and identified its interaction with the miRNA novel-miR1730-3p, as well as its protein interactions with StUBC and StTLP. StXERICO1, with a complete Open Reading Frame (ORF) of 459 bp encoding 152 amino acids, was highly responsive to drought, ABA treatment, and abiotic stresses in potato plants. Overexpression of the StXERICO1 significantly enhanced drought resistance and ABA accumulation in transgenic potato and tobacco plants and exhibited greater sensitivity to ABA treatment, which was associated with the upregulation of expression of ABA biosynthetic genes NCED and CYP707A. Furthermore, our results revealed that StXERICO1 and its encoding protein interacted with miRNAs and other proteins. 5′ RLM-RACE (cDNA terminal rapid amplification) experiment showed that the miRNA novel-miR1730-3p targets 5′ UTR region of the StXERICO1 gene. Dual luciferase assay and virus-based miRNA silencing experiment showed that the novel-miR1730-3p negatively regulates StXERICO1 expression. Moreover, yeast two-hybrid assay indicated that StXERICO1 interacts with StUBC (an E2 ubiquitin ligase) and StTLP (a Tubby-like protein), suggesting that StXERICO1 might function on ABA homeostasis at the post-translational level. These findings elucidate the molecular mechanisms by which StXERICO1, a RING-H2 type E3 ubiquitin ligase, enhances drought resistance through increased ABA accumulation, how its expression is regulated by miRNA, and how it exerts its function through interactions with other proteins. The results also provide a potential candidate gene for subsequent precision molecular breeding aimed at improving crop drought resistance.

1. Introduction

Extreme weather is one of the primary factors limiting global crop yields. Between 1964 and 2007, global droughts and high-temperature events led to a 9–10% reduction in cereal production [1]. Due to extreme drought conditions, which have now changed to a compound of dry-hot conditions, there is a possibility that maize yield reductions may increase from 7% to 31% in the future [2]. Potato (Solanum tuberosum L.), ranking as the third most consumed crop globally following rice and wheat, is considered drought-sensitive and susceptible to yield loss due to drought stress. Assessing the future climate change impacts on potato production in Prince Edward Island, Canada, reveals that by the 2070s, potato yields are expected to decline by 48% to 60%, with even more significant drops of 63% to 80% projected by the 2090s [3].
Protein ubiquitination, a post-translational modification, plays a crucial role in regulating protein function and stability in eukaryotic cellular activities [4,5]. This modification also plays key roles in plant growth, development, and both biotic and abiotic stress responses and adaptation by regulating the abundance, activity, or subcellular localizations of various regulatory polypeptides and enzymes. The process of protein ubiquitination involves the sequential actions of ubiquitin-activating (E1), ubiquitin-conjugating (E2), and ubiquitin ligase (E3) enzymes. Importantly, diverse E3 ligases are involved in these regulatory pathways, mediating phytohormone and light signaling or other pathways [6,7]. In particular, RING (Really Interesting New Gene) E3 ligases are considered key regulatory components involved in plant responses to abiotic stresses [8]. The distinction between the two canonical RING domain proteins, RING-HC (C3HC4) and RING-H2 (C3H2C3), is based on the presence of His and Cys at the fifth metal ligand position, respectively [9]. The RING-H2 gene family is the most abundant type of RING-type E3 ubiquitin ligases, with a total of 241 members reported in Arabidopsis, 249 in Populus, and 292 in flax [10,11,12].
MicroRNAs (miRNAs) are non-coding RNAs that are widespread in eukaryotes, typically 20 to 24 nucleotides in length. In plants, miRNAs primarily regulate gene expression negatively by cleaving mRNA or inhibiting translation, participating in the regulation of various biological processes such as plant morphogenesis, cell differentiation, tissue formation, metabolism, growth and development, hormones, signal transduction, and response to various stresses [13,14,15]. Research has shown that drought stress can stimulate the production of multiple miRNAs in plants and alter their expression. These miRNAs participate in forming a complex gene regulatory network to cope with and adapt to drought stress by interacting with specific target genes. Therefore, miRNAs play a crucial role in the plant’s response to drought stress [16,17].
XERICO (Greek for ‘drought tolerant’), a RING-type E3 ubiquitin ligase gene, encodes a small protein with 162 amino acids that can regulate abscisic acid (ABA) levels and promote drought tolerance when overexpressed in Arabidopsis thaliana [18]. There were two RING-H2 genes, ZmXERICO1 and ZmXERICO2, in maize (Zea mays), and the overexpression of these genes conferred improved drought tolerance in both Arabidopsis and maize [19]. A RING-H2 zinc finger from P. trichocarpa is identified as the closest homolog of Arabidopsis XERICO, and overexpression of PtXERICO confers an enhanced drought stress tolerance in Arabidopsis and poplars [20]. CBF4/DREB1D represses XERICO to attenuate ABA, osmotic, and drought stress responses in Arabidopsis [21]. However, there is no evidence yet regarding whether and which miRNAs are involved in the regulation of XERICO gene expression.
Based on our previous RNA-seq results in potato plants during drought-rehydration cycles [22], we found that a potato XERICO gene was highly responsive to drought stress and exhibited differential expression under drought and re-drought treatments compared to the control and rehydration treatments. In this study, we cloned and characterized StXERICO1 from a diploid potato and analyzed its expression pattern using RNA-seq and qRT-PCR. We also investigated the effects of overexpression and CRISPR/Cas9-induced mutation on drought resistance, ABA accumulation, and the potential underlying mechanisms in both potato and tobacco plants. Through 5′ RLM-RACE, dual luciferase assay, and virus-based microRNA silencing experiments, we verified that StXERICO1 is a target molecule of novel-miR1730-3p. In addition, a yeast two-hybrid assay revealed that StXERICO1 protein interacts with StUBC (an E2 ubiquitin ligase) and StTLP (a Tubby-like protein). These findings provide insights into the molecular mechanisms of StXERICO1 in enhancing drought resistance and ABA accumulation, as well as its regulation by miRNAs and protein interactions. The results also identify StXERICO1 as a potential candidate gene for future molecular breeding aimed at improving crop drought resistance.

2. Materials and Methods

2.1. Plant Materials and Growth Conditions

The diploid clones CIP 703541 of Solanum tuberosum group Phureja and CIP706205 (Solanum ajanhuiri Juz. & Bukasov, Jancko Sisu Yari) of Solanum tuberosum group Ajanhuiri from the International Potato Center (CIP), along with Nicotiana benthamiana and Nicotiana tabacum cv. Xanthi from the Research Section of Stress Biology of Plants, Yunnan Normal University, were used in this study. The plants were grown on soil in a growth chamber or on solid Murashige and Skoog (MS) medium (pH 5.8) containing 3% (w/v) sucrose in a growth room at 24 ± 1 °C under 16-h light/8-h dark cycles.

2.2. Cloning and Sequence Analysis of StXERICO1 Gene

The full-length StXERICO1 cDNA was cloned from the cDNA of Solanum tuberosum CIP706205. The amplified fragment was ligated into a cloning vector using the pBM16A Toposmart Cloning Kit (Biomed, Beijing, China) and sequenced at Sangon Biotech to ensure accuracy. The StXERICO1 gene was translated into an amino acid sequence using DNAMAN version 9.0 software. Using online tools Protparam (https://web.expasy.org/protparam/, accessed on 31 March 2022), we analyzed the physical and chemical properties of the StXERICO1 protein. The homology of the StXERICO1 protein was analyzed using BLASTP in the National Center for Biotechnology Information (NCBI) database (https://blast.ncbi.nlm.nih.gov/Blast.cgi, accessed on 31 March 2022). Multiple sequence alignment and phylogenetic analysis were performed using both DNAMAN version 9.0 software and MEGA version 7.0 software. The neighbor-joining (NJ) method was used to construct the phylogenetic tree with 1000 bootstrap replicates, and default parameters were applied for the remaining settings. All primers used in this assay were listed in Supplementary Table S1.

2.3. RNA Extraction and Gene Expression Patterns Analysis

The potato variety CIP706205 (Solanum ajanhuiri Juz. & Bukasov, Jancko Sisu Yari) was used as the experimental material. After rooting in tissue culture, the plantlets were transplanted into pots containing a mixed substrate and grown for one month. Drought stress was induced by withholding irrigation, following the method described by Chen et al. [22]. When the leaves began to curl after a week of restricted watering, they were collected as samples for mild drought. Once the leaves became fully curled and wilted, they were collected as samples for severe drought. The potato plants were then re-watered. After one day of recovery, the curled leaves fully unfolded and were collected as samples for rehydration. The potato plants were subsequently subjected to a second dehydration treatment. When the same phenotypes reappeared, the leaves were collected as samples for mild re-drought and severe re-drought, respectively. The leaves from normally watered plants were collected as the control.
Total miRNA and RNA were extracted from samples under different treatments using the DP504 miRcute miRNA extraction kit (Tiangen, Beijing, China) and the DP441 RNAprep Pure Plant Kit (Tiangen, Beijing, China), respectively. First-strand cDNA was synthesized using the KR221 miRcute miRNA cDNA First-Strand Synthesis Kit (Tiangen, Beijing, China) and the RR407A Prime Script RT reagent Kit (TaKaRa, Beijing, China). Three biological replicates were used for each treatment. Real-time quantitative reverse transcription polymerase chain reaction (qRT-PCR) analysis was conducted using TB Green® Premix Ex Taq TM Π (TaKaRa, Beijing, China) on a LightCycler 960 (Roche Diagnostics, Basel, Switzerland). Three technical replicates were performed for each biological replicate. U6 and StEF1a were used as internal controls to normalize the expression of miRNA and mRNA, respectively. The relative gene expression level was determined using the 2−ΔΔCt method.
The transcriptome dataset of StXERICO1 from our research was downloaded from Spud DB (https://spuddb.uga.edu/, accessed on 1 August 2022) and from the National Center for Biotechnology Information Sequence Read Archive (SRA) database (accession numbers: PRJNA661171). The expression patterns of StXERICO1 were analyzed across different tissues, various abiotic stresses, and different hormone treatments. Data processing was conducted using Excel. FPKM was used to analyze expression pattern data from different tissues, while Log2FoldChange was applied to expression profile data under abiotic stress and hormone treatments. The processed data were visualized using TBtools software (v1.120).

2.4. Vector Construction for Overexpression and Knockout of StXERICO1 in Transgenic Plants

The coding sequence of the StXERICO1 gene was amplified using a high-fidelity polymerase and then inserted downstream of the 35S promoter in the PEZR_(K)-LN plant expression vector using In-Fusion cloning techniques. Agrobacterium strain EHA105 was used to transform both potato (CIP 703541) and tobacco (Nicotiana tabacum cv. Xanthi). Potato was transformed using the stem transformation-regeneration method [23]. The regenerated plants were initially screened for growth on a selective medium supplemented with 50 mg·L⁻1 kanamycin. Due to the phenomenon of chromosome doubling in the potato stem transformation-regeneration method, the chromosome ploidy of the regenerated positive lines was detected using flow cytometry. Genomic DNA was extracted from each regenerated diploid plant for PCR amplification to confirm the presence of StXERICO1, while total RNA was isolated for expression analysis of StXERICO1 using qRT-PCR. After verification, the lines were used in all subsequent experiments. Tobacco was transformed using the leaf disk transformation-regeneration method. Following regeneration and DNA/RNA validation, the T0 transgenic tobacco plants were self-crossed, and the resulting T1 seeds were used for all subsequent experiments.
The knockout of StXERICO1 in potato was achieved using CRISPR/Cas9-mediated genome editing technology, as described in our recent publication [24]. In brief, the knockout vector targeting StXERICO1 was constructed. The coding sequence of StXERICO1 was analyzed using the CRISPR-P tool 2.0 online website (http://cbi.hzau.edu.cn/cgi-bin/CRISPR2/CRISPR, accessed on 2 March 2023), and a 20 nt single-guide RNA sequence was selected. The primer was annealed, diluted 10-fold, and then ligated onto the CRISPR/Cas9 knockout vector using the Bsa I restriction enzyme. Subsequently, the constructed vector was introduced into Agrobacterium strain EHA105 for the transformation of potato via the stem transformation-regeneration method [23]. Following this, the diploid lines were identified using flow cytometry. Genomic DNA was extracted from each regenerated diploid plant for PCR amplification. PCR amplicons were then cloned into the pBM16A vector (Biomed, Beijing, China), and 10 clones were sequenced to confirm the types of mutations at the target sites.

2.5. Assessment of Drought Resistance and ABA Content in Soil-Grown Transgenic Tobacco and Potato Plants under Drought Stress

Transgenic and wild-type (WT) potato plants were planted into pots containing a mixed substrate and grown for at least a month. Drought stress was applied by withholding irrigation. When the leaves of the plants were fully curled and wilted after approximately 16–17 days of drought treatment, the plants were re-watered.
Approximately 150 mg of each tissue sample was collected, flash-frozen in liquid nitrogen, finely ground to a powder, and stored at −80 °C until analysis. The extraction, purification, and quantification of ABA were performed following the method [25]. The supernatants were transferred to glass vials and were analyzed by HPLC-MS/MS (LCMS-8040, Shimadzu). Measurements were conducted using an LC-20AD liquid chromatography system (Shimadzu). Three replicated leaf samples were analyzed for each plant type.

2.6. Assessment of Growth in Transgenic Potato Plants under ABA Treatment and Normal Conditions

Thirty-day-old transgenic and wild-type (WT) potato plants grown in tissue culture were used for ABA treatment. Apical buds of similar length were placed on solid Murashige and Skoog (MS) medium (pH 5.8) containing 15 µM and 20 µM ABA, respectively. After two weeks, the longest root of each of the three plants from each line was measured and photographed. In addition, we measured and photographed the shoot height and root length of transgenic lines and wild-type potato plantlets.

2.7. Prediction and Experimental Verification of Cleavage Site of StXERICO1 by miRNAs

The miRNA cleavage site of the StXERICO1 gene was predicted using the bioinformatics website psRNATarget (https://www.zhaolab.org/psRNATarget/, accessed on 31 March 2023). The predicted miRNA cleavage site was experimentally confirmed through a 5′ RLM-RACE assay using the FirstChoice® RLM-RACE Kit (Thermo Scientific, Waltham, MA, USA). Specific primer sequences for the 5′ RLM-RACE were designed using Geneious software (version 9.02) as Supplementary Table S1. After nested PCR amplification, the PCR product was gel-purified, ligated with the pBM16A vector, and 10 clones were sequenced. Geneious V9.02 software was used to verify the availability of sequencing peak map results, followed by sequence alignment to determine the cleavage site and efficiency on the StXERICO1 transcript by novel-miR1730-3p.

2.8. Dual Luciferase Assay in N. benthamiana Leaves

In this study, the sequence pairing StXERICO1 with novel-miR1730-3p was integrated into the pGreenII0800-LUC (LUC) vector to obtain the StXERICO1-LUC recombinant plasmid. Subsequently, mutations were introduced to the target gene sequence sites while maintaining the amino acid sequence unchanged, forming multiple mismatch bases. This modified construct was fused with the LUC vector and named mXERICO1-LUC. A novel-miR1730-3p precursor sequence was cloned from the CIP706205 genome using a Plant Genomic DNA Extraction Kit (Tiangen, Beijing, China). The novel-miR1730-3p precursor sequence was then constructed into the PEZR_(K)-LC vector and named LC-Pre-miR1730-3p. The constructed plasmid was transformed into A. tumefaciens (GV3101, pSoup-P19). Positive clones were selected and cultured overnight at 28 °C with shaking at 200 rpm. The bacteria were then suspended in MMA solution (10 mM MES, 10 mM MgCl₂, 0.2 mM acetosyringone, pH 5.8) until the OD600 concentration reached approximately 0.7–0.8 and were co-transformed into N. benthamiana leaves. Samples were taken from the N. benthamiana leaves infected with A. tumefaciens, and the activity of LUC (Firefly luciferases) and REN (Renilla luciferases) was determined using the Dual Luciferase Reporter Gene Assay Kit (Beyotime Biotechnology, Shanghai, China). Each experiment included three independent biological replicates.

2.9. Construction Virus-Induced Silencing Vector and Virus-Based MicroRNA Silencing

STTM_novel-miR1730-3p was amplified with three primers. After PCR amplification, the PCR product was gel-purified and ligated into the pTRV2 vector using the In-Fusion technique. This ligation was performed with the ClonExpress II One Step Cloning Kit (Vazyme, Nanjing, China).
TRV2-GFP, TRV2-PDS, TRV2-STTM_novel-miR1730-3p, and TRV1 vectors were transformed into A. tumefaciens (GV3101, pSoup-P19). Positive clones were selected and incubated overnight at 28 °C with shaking at 200 rpm. The bacteria were suspended in MMA solution (10 mM MES, 10 mM MgCl₂, 0.2 mM acetosyringone, pH 5.8) until the OD600 concentration reached approximately 0.7–0.8. Co-cultivation of TRV2-GFP, TRV2-PDS, TRV2-STTM_novel-miR1730-3p, and TRV1 was performed separately. The stem sections of S. phureja tissue culture plantlets (CIP 703541), cultured for 3 weeks, were soaked in the resuspension of the corresponding combination after the roots were trimmed with sterile scissors and then transplanted into the soil 15 min later. Ten stem sections per combination were planted in a temperature-controlled and moisture-controlled incubator. After 3 weeks, the newly sprouted leaves were harvested for RNA and miRNA extraction, which were then converted into cDNA for qRT-PCR to assess the silencing efficiency of silenced plants. Three biological replicates and three corresponding technical replicates were used for each qRT-PCR.

2.10. Yeast Two-Hybrid (Y2H) Assay

The protein translated by StXERICO1 was submitted to the STRING online software (Version: 11.0) for predicting interacting proteins, selecting Arabidopsis thaliana as the reference organism. High-scoring interactions were identified with StUBC and StTLP proteins. To verify whether StXERICO1 interacts with StUBC and StTLP, we constructed the pGBKT7-StXERICO1 decoy vector, as well as the StUBC-AD and StTLP-AD prey vectors. The pGBKT7-StXERICO1 plasmid was transferred into Y2H Competent cells, while the StUBC-AD and StTLP-AD plasmids were transferred into Y187 Competent cells. The toxicity and self-activation activity of the pGBKT7-StXERICO1 decoy vector were verified on SD/-Trp and SD/-Trp-His-Ade-X-α-gal solid yeast medium. Subsequently, pGBKT7-StXERICO1, StUBC-AD, and StTLP-AD were co-cultured to produce hybrid offspring. They were inoculated on SD/-Trp-Leu double-dropout solid medium and SD/-Trp-Leu-Ade-His-X-α-gal quadruple-dropout solid yeast medium, respectively, and their growth was observed at 29 °C.

2.11. Statistical Analysis

Statistical analyses were performed using SPSS Statistics 20 (SPSS Inc., Chicago, IL, USA). The data were subjected to one-way analysis of variance (ANOVA) and are presented as means ± standard deviation, based on a minimum of three replicates. Mean comparisons were conducted using Duncan’s test, with statistical significance defined as a p-value less than 0.05.

3. Results

3.1. Characterization and Spatial-Temporal Expression Analysis of StXERICO1 in Potato Plants

After carefully analyzing transcriptome data of diploid potato plants during drought–rehydration cycles [22], we found that a potato XERICO gene was highly responsive to drought stress. Based on the publicly available potato genome models [26] and our transcriptome data, this gene was cloned and named StXERICO1.
StXERICO1 contained a complete Open Reading Frame (ORF) 459 bp encoding 152 amino acids, which includes an N-terminal transmembrane (TM) domain and a RING finger domain located at the C-terminus (Figure 1A). Blast analysis revealed that the protein encoded by the StXERICO1 gene shares 100% amino acid sequence identity with KAH0706774.1 in the NCBI database. Physicochemical properties and phosphorylation site analysis showed that the relative molecular weight of the StXERICO1 protein is 17.232 kDa, with a theoretical isoelectric pI of 5.03. The protein contains eleven Ser sites, three Thr sites, and one Tyr site, which may significantly impact its function. Phylogenetic analysis of the eight XERICO homologs demonstrated that monocotyledonous and dicotyledonous plants cluster into distinct branches, reflecting evolutionary conservation and clear divergence between these groups (Figure 1B). StXERICO1 is highly homologous within the Solanaceae family, showing 95.39% similarity to the XERICO protein in pepper. In contrast, the similarity between the potato XERICO protein and maize XERICO protein is only 34.60% (Figure 1C).
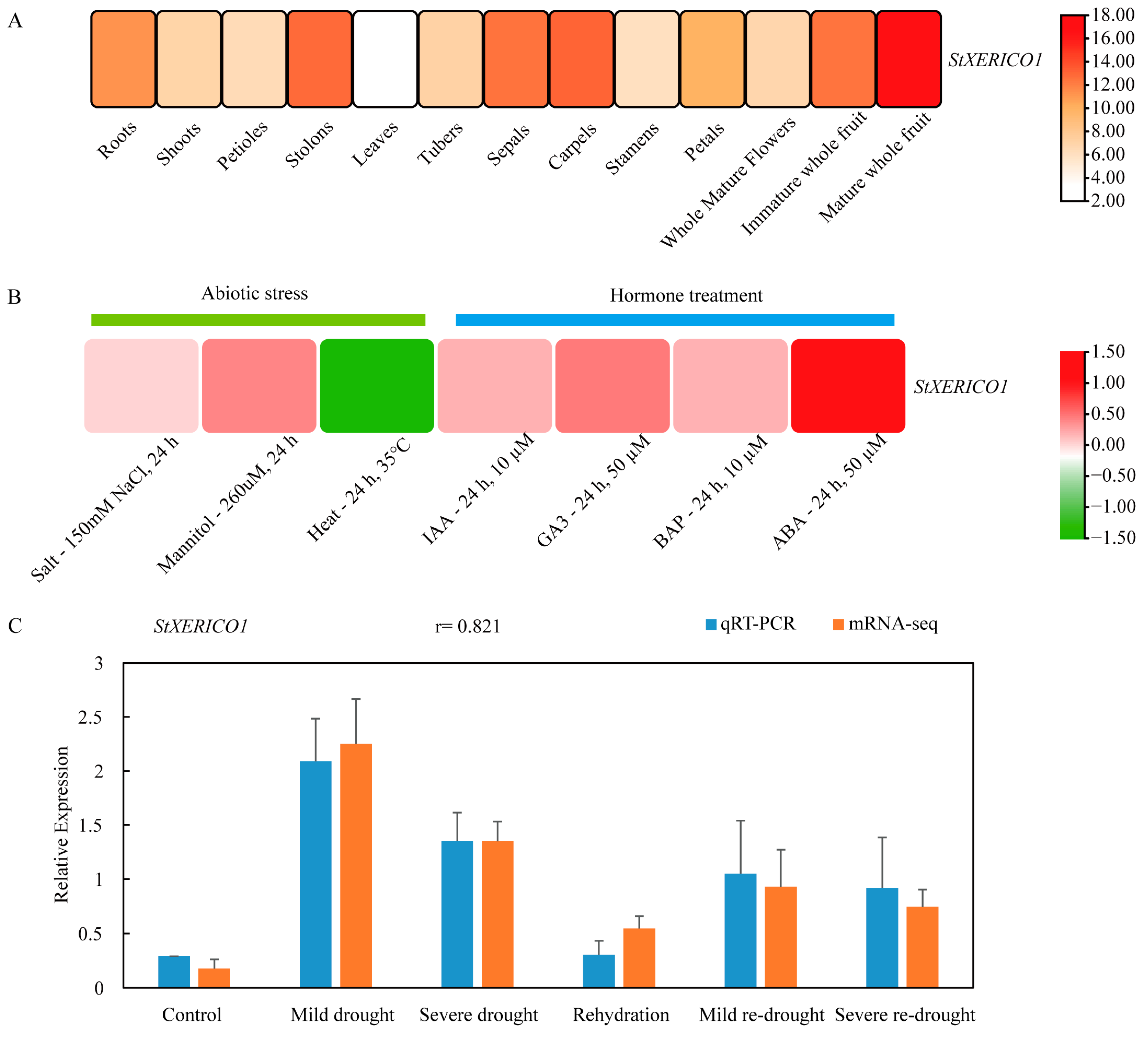
The StXERICO1 gene exhibited varied expression across different organs of the potato plant, with higher expression levels observed in mature whole fruits, sepals, carpels, and stolons and the lowest levels in leaves (Figure 2A). StXERICO1 expression was strongly induced by abiotic stresses and hormone treatments (Figure 2B). Specifically, after 24 h of mannitol treatment, StXERICO1 expression increased by 30.88% compared to the control. In contrast, after 24 h at 35 °C, expression decreased to 1.46 times that of the control. Following 24 h of treatment with 50 µM GA3 and 50 µM ABA, StXERICO1 expression increased by 0.46 times and 1.08 times, respectively (Figure 2B).
Notably, StXERICO1 expression was highly responsive to drought stress, as demonstrated by our RNA-seq and qRT-PCR results. As shown in Figure 2C, StXERICO1 expression exhibited rhythmic changes during cycles of drought, hydration, and re-drought. According to the qRT-PCR results, mild drought and re-drought induced significant increases in StXERICO1 expression levels, with a 3.6-fold and 2.9-fold increase, respectively, compared to the corresponding control and the rehydration treatment. In contrast, rehydration after drought treatment significantly decreased the expression level, and severe drought and re-drought also led to a slight decline in StXERICO1 expression. This suggests that StXERICO1 can rapidly respond to drought stress. The RNA-seq and qRT-PCR results exhibited a similar trend, with a correlation coefficient of 0.821 (Figure 2C).

3.2. Effects of Overexpression and Knockout of StXERICO1 on Growth, Drought Resistance, and ABA Content in Potato Plants

To elucidate the function of the StXERICO1 gene, overexpression and knockout experiments were conducted in diploid potato. In the overexpression experiment, a total of 138 regenerated plantlets were obtained, from which 28 diploid plantlets exhibiting overexpression were identified through flow cytometry analysis and PCR verification (Figure 3A). Subsequently, the StXERICO1 overexpression levels in 10 of these diploid lines were analyzed by qRT-PCR. As shown in Figure 3B, StXERICO1 expression levels in the 10 transgenic lines were overall significantly higher than those in the WT (wild type) and empty vector controls, indicating that overexpression of StXERICO1 greatly enhanced its expression level in transgenic potato plants. From these lines, we selected three that represented relatively high, medium, and low expression levels, labeled 5#, 34#, and 87#, respectively. The StXERICO1 expression levels in these lines were 90-, 40-, and 20-fold higher than those in the WT and empty vector controls, respectively, for further experimentation.
To further explore the function of StXERICO1, we attempted to produce null mutants by targeting an editing site on the exon of StXERICO1 using CRISPR-Cas9-mediated genome editing. A single-target knockout vector was constructed as shown in Figure 4A, using our previously described method [24]. After co-culture with Agrobacterium tumefaciens containing the knockout vector, 22 regenerated plantlets were obtained. Flow cytometry analysis revealed that only three diploid genome-editing lines, KO-48#, KO-29#, and KO-6#, were successfully created. Sequencing of the target gene fragment indicated that one homozygous diploid mutant line, KO-48#, was finally obtained with a 1-nucleotide insertion (Figure 4B), which was used for subsequent experiments.
Phenotypic observations of these transgenically modified potato plants showed that StXERICO1 overexpression inhibited shoot and root growth to some extent, which generally correlated with the overexpression levels of StXERICO1. For example, lines 5# and 34#, which exhibited higher overexpression levels (Figure 3), also showed greater growth inhibition in shoots and roots. Conversely, line 87#, which had lower overexpression levels, demonstrated no significant growth inhibition (Figure 5). On the other hand, the mutant line, KO-48#, which contains a 1-nucleotide insertion (Figure 4), promoted shoot and root growth in the mutant plantlets to some extent compared to the WT control (Figure 5).
To test the responses of these transgenically modified potato lines to ABA sensitivity, terminal shoots from potato plants of the same age were cut to equal lengths and transplanted into MS medium without ABA and with 15 or 20 µM ABA, respectively. After two weeks of culture, the growth phenotype was observed, and the length of regenerated roots was measured. As shown in Figure 6, after two weeks of treatment with 15 µM ABA, both the transgenic lines and WT exhibited decreased root growth; notably, the OE-5# line showed almost no rooting. Following two weeks of 20 µM ABA treatment, it was evident that the WT could still root to some extent, while the three overexpression lines showed almost no root development (Figure 6, the WT control shows a root length of 0.99 cm). On the other hand, the rooting performance of the knockout line KO-48# was similar to those of the wild type (WT) when grown in an MS medium supplemented with 15 or 20 µM ABA (Figure 6).
To evaluate the drought resistance of these genetically modified potato lines, the plants cultured on solid MS medium were transplanted in nutrient soil and grown in an incubator for 34 days with regular watering. Watering was then discontinued to observe the drought resistance phenotypes. As shown in Figure 7A, after 17 days of drought treatment, the plants of both WT and the knockout line KO-48# exhibited severe wilt, and some even died. In contrast, the three StXERICO1 overexpression lines showed less wilt and demonstrated significantly better drought resistance. After uniformly rehydrating the drought-treated plants, the surviving plants returned to normal growth to some extent. However, the lower leaves of both the wild type and the knockout line could not fully recover, and some exhibited necrosis. The results clearly showed that overexpression of StXERICO1 in potato plants significantly enhanced their drought resistance. In addition, the knockout line KO-48#, with a 1-nucleotide insertion, did not significantly alter its drought resistance compared to the WT control in this experiment (Figure 7A).
Given that StXERICO1 overexpression can promote drought tolerance by regulating abscisic acid (ABA) levels in plants [27], we measured the endogenous ABA content of the overexpressed and wild-type lines. The results indicated that, following drought treatment, the endogenous ABA contents in the three overexpression lines were significantly higher than in the wild-type line (Figure 7B). In fact, ABA content was positively correlated with the levels of StXERICO1 overexpression in the selected lines 5#, 34#, and 87#, which represented relatively high, medium, and low overexpression levels, respectively (Figure 3 and Figure 7B).

3.3. Effects of Overexpression of StXERICO1 on Drought Resistance and ABA Content in Tobacco Plants

To further understand the function of the potato StXERICO1 gene in cross-species, a StXERICO1 overexpression experiment was conducted in tobacco by leaf disk genetic transformation mediated by Agrobacterium. A total of four regenerated plantlets and T0 seeds were screened and obtained. Subsequently, we selected three StXERICO1 overexpression lines labeled X1, X2, and X3, respectively. The StXERICO1 expression levels in these lines were 569-, 169-, and 261-fold higher than those in the WT controls, respectively, for further experimentation (Figure 8C). Their growth phenotypes are shown in Figure 8B.
To further evaluate the effect of StXERICO1 on drought resistance in transgenic tobacco lines, the wild type (WT) and T1 tobacco seeds overexpressing StXERICO1 were sown in soil and grown in an incubator for one month with regular watering. Watering was then discontinued to observe the drought resistance phenotypes. As shown in Figure 9, after 16 days of drought treatment, the plants of both WT and transgenic lines exhibited severe leaf wilting. After uniformly rehydrating the drought-treated plants, most transgenic lines showed leaf recovery, whereas the wild-type tobacco did not recover significantly. Upon seven days of rehydration, the leaf growth of transgenic lines was notably superior to that observed after 2 days of rehydration, while the leaves of wild-type tobacco still exhibited limited recovery. The data indicate that the overexpression of the StXERICO1 gene confers higher drought resistance compared to WT (Figure 9).
In this study, three transgenic tobacco lines with high expression of StXERICO1 were identified (Figure 8C). NCED, a key gene in the ABA synthesis pathway, and CYP707A, a key gene in ABA metabolism, were analyzed using qRT-PCR. The results showed that the expressions of NtNCED and NtCYP707A increased in these three transgenic lines, overexpressing StXERICO1 to some extent (Figure 10A,B). In addition, the content of endogenous ABA in the transgenic lines X1 and X2 was also significantly increased (Figure 10C), indicating that the overexpression of potato StXERICO1 gene increased the endogenous ABA content in the transgenic tobacco lines.

3.4. Analysis of StXERICO1 Interactions with miRNAs and Confirmation of StXERICO1 as a Target of the Novel-miR1730-3p

Using the bioinformatics website psRNATarget and integrating our whole transcriptome sequencing data (including miRNAome data), we predicted that a total of 75 miRNAs could potentially target StXERICO1, as illustrated in Table S2.
To further verify the direct interaction between StXERICO1 and a specific miRNA, we selected novel-miR1730-3p from our miRNAome data, which is highly responsive to drought and abundant, to study their interaction using 5′ RLM-RACE. The results indicated that the transcript of StXERICO1 was cleaved between the 7th and 8th bases of the 5′ UTR by novel-miR1730-3p, and this cleavage occurred at this location in nine out of the ten selected clones (Figure 11).
To further assess the direct interaction between StXERICO1 and novel-miR1730-3p, two effector vectors and two reporter vectors were constructed (Figure 12). The inhibitory effect of the novel-miR1730-3p on StXERICO1 expression was validated using a dual luciferase assay. The results from the dual luciferase assay showed that co-expression of StXERICO1 with novel-miR1730-3p significantly decreased the relative LUC/REN value. However, this inhibitory effect was diminished when mStXERICO1 (mutant StXERICO1) was co-expressed with novel-miR1730-3p (Figure 12C), indicating that novel-miR1730-3p decreased the expression level of StXERICO1.
To confirm that novel-miR1730-3p indeed negatively regulated the expression of StXERICO1 in potato, a novel-miR1730-3p gene silencing vector was constructed using virus-based microRNA silencing technology (Figure 13A,B). As shown in Figure 13C, the novel-miR1730-3p gene-silenced potato plants (TRV_STTM1730) were successfully obtained. Compared with the TRV control, StXERICO1 expression was significantly up-regulated in the novel-miR1730-3p-silenced plants (TRV_STTM1730) when novel-miR1730-3p expression was inhibited in the novel-miR1730-3p-silenced plants (Figure 13D). These experiments conclusively demonstrated that novel-miR1730-3p can target and cleave StXERICO1 transcripts, thereby inhibiting their accumulation in potato plants.

3.5. Analysis of the Interaction between StXERICO1 Protein and StUBC and StTLP Proteins

Using the STRING Online software (version: 11.0), which is designed to predict protein interactions, we screened two high-scoring interactions involving StUBC and StTLP proteins. StUBC (accession number Soltu.DM.03G022950.1) is annotated as an E2 ubiquitin ligase, while StTLP (accession number Soltu.DM.09G022900.1) is characterized as a Tubby-like protein [26]. The results from the yeast two-hybrid assay showed that the pGBKT7-StXERICO1 grew colonies on SD/-Trp media, indicating that the pGBKT7-StXERICO1 prey vector did not exhibit toxicity (Figure 14A). The pGBKT7-StXERICO1 construct did not yield colonies on SD/-Trp/-His/-Ade triple-deficient media with X-α-gal, indicating that pGBKT7-StXERICO1 did not exhibit self-activating activity (Figure 14B). The positive control (pGADT7-T+pGBKT7-53) and experimental groups (pGBKT7-StXERICO1+pGADT7-StUBC, pGBKT7-StXERICO1+ pGADT7-StTLP) grew colonies on both two- and four-deficient media with X-α-gal, and the colonies turned blue on four-deficient media coated with X-α-gal. In contrast, the negative control (pGADT7-T+pGBKT7-lam) group formed colonies on two-deficient media but did not grow colonies on all four-deficient media (Figure 14C,D), suggesting an interaction between the StXERICO1-StUBC and StXERICO1-StTLP modules.

4. Discussion

As a drought-sensitive crop, drought resistance in potato is a crucial trait that enables them to survive and thrive under conditions of water scarcity. Various genetic and molecular pathways have been identified to contribute to this complex trait [27,28,29]. XERICO, first identified in Arabidopsis thaliana, encodes an E3 ubiquitin ligase and has emerged as a significant player in the regulation of drought tolerance, which plays a pivotal role in abscisic acid (ABA) biosynthesis and signaling [18,19,20,21]. ABA is a key phytohormone involved in the regulation of plant responses to abiotic stress, particularly drought [30]. Overexpression of XERICO has been shown to confer drought tolerance and increase ABA accumulation in Arabidopsis and other plant species [19,20,25]. XERICO-mediated accumulation of ABA leads to the activation of ABA-responsive transcription factors, which in turn induce the expression of a variety of stress-responsive genes. These genes encode proteins involved in osmoprotection, detoxification, and cellular protection, which are crucial for plant survival under drought conditions [18,19,20,21,25].
In this study, we cloned the StXERICO1 gene from potato, which has an open reading frame of 459 bp encoding 152 amino acids. The protein it encodes features a structure composed of α-helices and random curls, and it shows sequence similarity to XERICO proteins from other species, all of which contain conserved TM and RING domains (Figure 1A). Phylogenetic analysis revealed that StXERICO1 shares a high degree of similarity with plants from the Solanaceae family as well as monocotyledonous and dicotyledonous plants, but they are grouped into separate branches, demonstrating evolutionary conservation and distinct divergence between the different plant species (Figure 1B,C). This is the first reported sequence of this gene in the potato CIP706205 (Solanum ajanhuiri Juz. & Bukasov, Jancko Sisu Yari).
Genes induced by exogenous ABA treatment are recognized for their involvement in ABA-dependent stress response pathways [31]. StXERICO1 was upregulated by ABA treatment (Figure 2B), and its expression responded to the drought-rewatering cycle, suggesting its role as a drought-responsive gene. This finding has not been previously reported in earlier studies, either through analysis or experimentation. Specifically, it exhibited an increased expression during drought and decreased expression during rehydration (Figure 2C), a pattern not previously reported. Drought-responsive genes help plants better adapt to drought conditions and enhance their drought resistance [25]. Therefore, StXERICO1 may play a role in improving drought resistance in potato plants.
As shown in Figure 7A and Figure 9, overexpression of the StXERICO1 gene clearly alleviated drought-induced wilting and plants’ injury, allowing better recovery upon re-watering. This indicates that overexpression of the StXERICO1 gene indeed enhanced drought resistance in transgenic potato and tobacco plants (Figure 7A and Figure 9). Furthermore, the transgenic potato and tobacco plants overexpressed StXERICO1 demonstrated significantly higher ABA content than their corresponding controls under both watering or drought stress conditions (Figure 7B and Figure 10C), indicating overexpression of the StXERICO1 gene indeed induced ABA accumulation. In addition, the measurement of shoot and root length in transgenic potato lines treated with different concentrations of ABA revealed that overexpressed StXERICO1 potato lines exhibited greater sensitivity to ABA treatment. These results suggest a significant regulatory role for StXERICO1 in modulating plant responses to ABA. In our present experiment, however, knockout of StXERICO1 with a 1-nucleotide insertion mutation via CRISPR-Cas9-mediated genome editing (line KO-48#) did not result in a noticeable decline in drought resistance or reduced sensitivity to ABA treatment in these transgenic potato plants (Figure 7A and Figure 6), as predicted in our previous experimental design. This may be due to the presence of one more XERICO gene in potato, as occurred in maize [19], where gene redundancy provides a protective mechanism against the malfunction of one XERICO gene. The detailed mechanism awaits further investigation.
NCED and CYP707A are the key genes in the ABA synthesis pathway [32]. Our results showed that overexpression of StXERICO1 significantly enhanced the expression levels of NtNCED and NtCYP707A in transgenic tobacco plants (Figure 10A,B), which may explain the observed increase in ABA content in the transgenic potato and tobacco plants. These findings further indicate that overexpression of the StXERICO1 gene enhances drought resistance in potato and tobacco plants by regulating the expression of ABA biosynthetic genes and increasing endogenous ABA content.
MicroRNAs, typically ranging from 20 to 24 nucleotides in length, carry out their functions primarily through complementary binding to specific target sites. This interaction can result in either the degradation of the target mRNA or the repression of translation [33]. While it is well known that miRNAs interact with numerous genes involved in plant stress response and adaptation, little is known about the interaction between the XERICO gene and miRNAs. The virus-based microRNA silencing (VBMS) system has been developed and widely applied for various plant species [34,35]. Unlike other studies [36,37,38], we developed a protocol employing tobacco rattle virus (TRV)-based VBMS vectors to silence endogenous miRNAs in potato. Through 5′ RLM RACE (cDNA terminal rapid amplification), a dual luciferase assay, and virus-based microRNA silencing experiments, we confirmed that novel-miR1730-3p targets the 5′ UTR region of the StXERICO1 gene, resulting in negative regulation of its expression (Figure 11, Figure 12 and Figure 13), which means a new method for regulating the expression of the XERICO gene.
Ubiquitin-mediated protein degradation plays a key regulatory role in plant growth and development and is associated with plant hormone signaling [5]. StUBC has been identified as an E2 ubiquitin ligase [26]. Our yeast two-hybrid assay results clearly demonstrated an interaction between StXERICO1 and StUBC (Figure 14), suggesting that StXERICO1, functioning as an E3 ubiquitin ligase, requires combination with StUBC to perform its role.
In addition, StTLP is characterized as a Tubby-like protein, with 96% sequence similarity to AtTLP9 (At3g06380) [39]. The knockout mutant of AtTLP9 showed insensitivity to ABA, while transgenic plants overexpressing AtTLP9 exhibited heightened ABA sensitivity, indicating the involvement of AtTLP9 in ABA signaling pathways [39]. Our results demonstrated a clear interaction between StXERICO1 and StTLP (Figure 14), suggesting that StXERICO1 may be involved in the ABA signal transduction-dependent pathway. Potato StXERICO1 may also play a role in ABA homeostasis at the post-translational level, possibly through interaction with StTLP via ubiquitin/proteasome-dependent substrate-specific degradation, as reported in Arabidopsis thaliana [27]. The present validation results indicate the conservation of StXERICO1 function across different species, as its functionality in Arabidopsis thaliana is also confirmed in potato. This finding is significant for understanding the mechanistic role of this gene in plant biology and provides valuable references for molecular studies in related species.
In brief, the role of StXERICO1 in regulating drought resistance in potato is summarized in Figure 15.

5. Conclusions

The present study characterized a XERICO gene, StXERICO1, from a diploid potato, investigated its role in enhancing drought resistance and ABA accumulation, and identified its interaction with the miRNA novel-miR1730-3p, as well as its protein interactions with StUBC and StTLP. The expression of StXERICO1 was highly responsive to drought, ABA treatment, and abiotic stresses in potato plants. Overexpression of the StXERICO1 gene significantly enhanced drought resistance, increased ABA accumulation in transgenic potato and tobacco plants, and exhibited greater sensitivity to ABA treatment. This was associated with the upregulation of expression of ABA biosynthetic genes NCED and CYP707A. Furthermore, the results revealed that StXERICO1 and its encoding protein interacted with miRNAs and other proteins. The miRNA novel-miR1730-3p targets the 5′ UTR region of the StXERICO1 gene and negatively regulates StXERICO1 expression. Additionally, StXERICO1 protein also interacts with StUBC and StTLP, suggesting that StXERICO1 might function on ABA homeostasis at the post-translational level. These findings elucidate the molecular mechanisms by which StXERICO1, a RING-H2 type E3 ubiquitin ligase, enhances drought resistance through increased ABA accumulation, how its expression is regulated by the miRNA, and how it exerts its function through interactions with other proteins. The results also provide a potential candidate gene for subsequent precision molecular breeding aimed at improving crop drought resistance. By integrating XERICO into a molecular breeding program focused on developing resistant crop varieties, it may be possible to enhance abscisic acid (ABA) biosynthesis and improve overall crop stress tolerance mechanisms. This could lead to crops capable of maintaining yield stability in water-limited environments, thereby contributing to global food security.

Supplementary Materials

The following supporting information can be downloaded at: https://www.mdpi.com/article/10.3390/agronomy14102305/s1, Table S1: All primer sequences used in this study. Table S2 List the miRNA targets of StXERICO1.

Author Contributions

Conceptualization, M.G.; formal analysis, J.Y. and Y.C.; funding acquisition, M.G. and C.L.; investigation, J.Y.; methodology, J.Y., Y.C. and L.W.; resources, M.G.; supervision, M.G. and C.L.; validation, J.Y.; writing—original draft preparation, J.Y., C.L. and M.G.; writing—review and editing J.Y., L.W., Y.C. and M.G. All authors have read and agreed to the published version of the manuscript.

Funding

This work was financially supported by the National Natural Science Foundation of China (No. 32260459) and the open research program (No. YNPKF202202) of Yunnan Key Laboratory of Potato Biology, Yunnan Normal University.

Data Availability Statement

Data are contained within the article.

Acknowledgments

We thank Yunnan Key Laboratory of Potato Biology, Yunnan Normal University for providing the gene knockout experimental protocol.

Conflicts of Interest

The authors declare no conflicts of interest.

References

  1. Lesk, C.; Rowhani, P.; Ramankutty, N. Influence of extreme weather disasters on global crop production. Nature 2016, 529, 84–87. [Google Scholar] [CrossRef] [PubMed]
  2. Feng, S.; Hao, Z.C.; Zhang, X.; Hao, F.H. Probabilistic evaluation of the impact of compound dry-hot events on global maize yields. Sci. Total Environ. 2019, 689, 1228–1234. [Google Scholar] [CrossRef] [PubMed]
  3. Adekanmbi, T.; Wang, X.Q.; Basheer, S.; Nawaz, R.A.; Pang, T.Z.; Hu, Y.L.; Liu, S.Q. Assessing future climate change impacts on potato yields-A case study for Prince Edward Island, Canada. Foods 2023, 12, 1176. [Google Scholar] [CrossRef]
  4. McNeilly, D.; Schofield, A.; Stone, S.L. Degradation of the stress-responsive enzyme formate dehydrogenase by the RING-type E3 ligase Keep on Going and the ubiquitin 26S proteasome system. Plant Mol. Biol. 2018, 96, 265–278. [Google Scholar] [CrossRef] [PubMed]
  5. Sharma, S.; Prasad, A.; Sharma, N.; Prasad, M. Role of ubiquitination enzymes in abiotic environmental interactions with plants. Int. J. Biol. Macromol. 2021, 181, 494–507. [Google Scholar] [CrossRef]
  6. Shu, K.; Yang, W. E3 ubiquitin ligases: Ubiquitous actors in plant development and abiotic stress responses. Plant Cell Physiol. 2017, 58, 1461–1476. [Google Scholar] [CrossRef]
  7. Kelley, D.R. E3 ubiquitin ligases: Key regulators of hormone signaling in plants. Mol. Cell Proteom. 2018, 17, 1047–1054. [Google Scholar] [CrossRef]
  8. Cho, S.K.; Ryu, M.Y.; Kim, J.H.; Hong, J.S.; Oh, T.R.; Kim, W.T.; Yang, S.W. RING E3 ligases: Key regulatory elements are involved in abiotic stress responses in plants. BMB Rep. 2017, 50, 393–400. [Google Scholar] [CrossRef]
  9. Lim, S.D.; Yim, W.C.; Moon, J.C.; Kim, D.S.; Lee, B.M.; Jang, C.S. A gene family encoding RING finger proteins in rice: Their expansion, expression diversity, and co-expressed genes. Plant Mol. Biol. 2010, 72, 369–380. [Google Scholar] [CrossRef]
  10. Stone, S.L.; Hauksdóttir, H.; Troy, A.; Herschleb, J.; Kraft, E.; Callis, J. Functional analysis of the RING-type ubiquitin ligase family of Arabidopsis. Plant Physiol. 2005, 137, 13–30. [Google Scholar] [CrossRef]
  11. Tong, G.; Shen, H.M.; Cao, S.Q.; Xu, W.J.; Ma, X.J.; Cheng, Y.X. Identification of RING-H2 gene candidates related to wood formation in poplar. Forests 2019, 10, 698. [Google Scholar] [CrossRef]
  12. Meng, X.W.; Liu, J.; Zhao, M.D. Genome-wide identification of RING finger genes in flax (Linum usitatissimum) and analyses of their evolution. PeerJ 2021, 9, e12491. [Google Scholar] [CrossRef] [PubMed]
  13. Basso, M.F.; Ferreira, P.C.G.; Kobayashi, A.K.; Harmon, F.G.; Nepomuceno, A.L.; Molinari, H.B.C.; Grossi-de-Sa, M.F. MicroRNAs and new biotechnological tools for its modulation and improving stress tolerance in plants. Plant Biotechnol. J. 2019, 17, 1482–1500. [Google Scholar] [CrossRef] [PubMed]
  14. Zhou, X.R.; Khare, T.; Kumar, V. Recent trends and advances in identification and functional characterization of plant miRNAs. Acta Physiol. Plant 2020, 42, 25. [Google Scholar] [CrossRef]
  15. Zhang, S.S.; Wu, Y.Q.; Huang, X.; Wu, W.L.; Lyu, L.; Li, W.L. Research progress about microRNAs involved in plant secondary metabolism. Int. J. Biol. Macromol. 2022, 216, 820–829. [Google Scholar] [CrossRef]
  16. Sun, X.; Lin, L.; Sui, N. Regulation mechanism of microRNA in plant response to abiotic stress and breeding. Mol. Biol. Rep. 2019, 46, 1447–1457. [Google Scholar] [CrossRef]
  17. Pervaiz, T.; Amjid, M.W.; El-kereamy, A.; Niu, S.H.; Wu, H.X. MicroRNA and cDNA-microarray as potential targets against abiotic stress response in plants: Advances and prospects. Agronomy 2021, 12, 11. [Google Scholar] [CrossRef]
  18. Ko, J.H.; Yang, S.H.; Han, K.H. Upregulation of an Arabidopsis RING-H2 gene, XERICO, confers drought tolerance through increased abscisic acid biosynthesis. Plant J. 2006, 47, 343–355. [Google Scholar] [CrossRef]
  19. Brugière, N.; Zhang, W.J.; Xu, Q.Z.; Scolaro, E.J.; Lu, C.; Kahsay, R.Y.; Kise, R.; Trecker, L.; Williams, R.W.; Hakimi, S.; et al. Overexpression of RING domain E3 ligase ZmXerico1 confers drought tolerance through regulation of aba homeostasis. Plant Physiol. 2017, 175, 1350–1369. [Google Scholar] [CrossRef]
  20. Kim, M.H.; Cho, J.S.; Park, E.J.; Lee, H.; Choi, Y.I.; Bae, E.K.; Han, K.H.; Ko, J.H. Overexpression of a poplar RING-H2 zinc finger, Ptxerico, confers enhanced drought tolerance via reduced water loss and ion leakage in Populus. Int. J. Mol. Sci. 2020, 21, 9454. [Google Scholar] [CrossRef]
  21. Vonapartis, E.; Mohamed, D.; Li, J.R.; Pan, W.Q.; Wu, J.; Gazzarrini, S. CBF4/DREB1D represses XERICO to attenuate ABA, osmotic and drought stress responses in Arabidopsis. Plant J. 2022, 110, 961–977. [Google Scholar] [CrossRef] [PubMed]
  22. Chen, Y.K.; Li, C.H.; Yi, J.; Yang, Y.; Lei, C.X.; Gong, M. Transcriptome response to drought, rehydration and re-dehydration in potato. Int. J. Mol. Sci. 2020, 21, 159. [Google Scholar] [CrossRef] [PubMed]
  23. Lei, C.X.; Ye, M.W.; Li, C.H.; Gong, M. H2O2 participates in the induction and formation of potato tubers by activating tuberization-related signal transduction pathways. Agronomy 2023, 13, 1398. [Google Scholar] [CrossRef]
  24. Ye, M.W.; Yao, M.F.; Li, C.H.; Gong, M. Salt and osmotic stress can improve the editing efficiency of CRISPR/Cas9- mediated genome editing system in potato. PeerJ 2023, 11, e15771. [Google Scholar] [CrossRef]
  25. Zeng, D.E.; Hou, P.; Xiao, F.M.; Liu, Y.S. Overexpression of Arabidopsis XERICO gene confers enhanced drought and salt stress tolerance in rice (Oryza Sativa L.). J. Plant Biochem. Biotechnol. 2015, 24, 56–64. [Google Scholar] [CrossRef]
  26. Pham, G.M.; Hamilton, J.P.; Wood, J.C.; Burke, J.T.; Zhao, H.; Vaillancourt, B.; Ou, S.; Jiang, J.; Buell, C.R. Construction of a chromosome-scale long-read reference genome assembly for potato. GigaScience 2020, 9, giaa100. [Google Scholar] [CrossRef]
  27. Zhang, H.; Sun, X.P.; Dai, M.Q. Improving crop drought resistance with plant growth regulators and rhizobacteria: Mechanisms, applications, and perspectives. Plant Commun. 2021, 3, 100228. [Google Scholar] [CrossRef]
  28. Bouaziz, D.; Pirrello, J.; Charfeddine, M.; Hammami, A.; Jbir, R.; Dhieb, A.; Bouzayen, M.; Gargouri-Bouzid, R. Overexpression of StDREB1 transcription factor increases tolerance to salt in transgenic potato plants. Mol. Biotechnol. 2013, 54, 803–817. [Google Scholar] [CrossRef] [PubMed]
  29. Lehretz, G.G.; Sonnewald, S.; Lugassi, N.; Granot, D.; Sonnewald, U. Future-Proofing potato for drought and heat tolerance by overexpression of Hexokinase and SP6A. Front. Plant Sci. 2021, 11, 614534. [Google Scholar] [CrossRef]
  30. Zhu, J.K. Abiotic Stress Signaling and Responses in Plants. Cell 2016, 167, 313–324. [Google Scholar] [CrossRef]
  31. Yang, W.; Liu, X.D.; Chi, X.J.; Wu, C.A.; Li, Y.Z.; Song, L.L.; Liu, X.M.; Wang, Y.F.; Wang, F.W.; Zhang, C.; et al. Dwarf apple MbDREB1 enhances plant tolerance to low temperature, drought, and salt stress via both ABA-dependent and ABA-independent pathways. Planta 2011, 233, 219–229. [Google Scholar] [CrossRef] [PubMed]
  32. Ji, K.; Kai, W.; Zhao, B.; Sun, Y.; Yuan, B.; Dai, S.; Li, Q.; Chen, P.; Wang, Y.; Pei, Y.; et al. SlNCED1 and SlCYP707A2: Key genes involved in ABA metabolism during tomato fruit ripening. J. Exp. Bot. 2014, 65, 5243–5255. [Google Scholar] [CrossRef] [PubMed]
  33. Hao, D.H.; Gong, M. The progress of miRNA action mechanism. Genom. Appl. Biol. 2020, 39, 3647–3657. [Google Scholar] [CrossRef]
  34. Tang, Y.; Wang, F.; Zhao, J.P.; Xie, K.; Hong, Y.G.; Liu, Y.L. Virus-based microRNA expression for gene functional analysis in plants. Plant Physiol. 2010, 153, 632–641. [Google Scholar] [CrossRef]
  35. Fang, L.; Wei, X.Y.; Liu, L.Z.; Zhou, L.X.; Tian, Y.P.; Geng, C.; Li, X.D. A tobacco ringspot virus-based vector system for gene and microRNA function studies in cucurbits. Plant Physiol. 2021, 187, 1835. [Google Scholar] [CrossRef]
  36. Jiang, L.L.; Du, Z.H.; Zhang, G.Z.; Wang, T.; Jin, G.H. Advances in RNA-Silencing-Related resistance against viruses in potato. Genes 2022, 13, 731. [Google Scholar] [CrossRef]
  37. Luo, H.Y.; Yang, J.W.; Liu, S.Y.; Li, S.G.; Si, H.J.; Zhang, N. Control of plant height and lateral root development via Stu-miR156 regulation of SPL9 transcription factor in potato. Plants 2024, 13, 723. [Google Scholar] [CrossRef]
  38. Yang, J.W.; Zhang, N.; Bai, J.P.; Duan, X.Q.; Zhang, L.H.; Liu, S.Y.; Tang, X.; Jin, X.; Li, S.G.; Si, H.J. Stu-miR827-targeted StWRKY48 transcription factor negatively regulates drought tolerance of potato by increasing leaf stomatal density. Int. J. Mol. Sci. 2022, 23, 14805. [Google Scholar] [CrossRef]
  39. Lai, C.P.; Lee, C.L.; Chen, P.H.; Wu, S.H.; Yang, C.C.; Shaw, J.F. Molecular analyses of the Arabidopsis TUBBY-like protein gene family. Plant Physiol. 2004, 134, 1586–1597. [Google Scholar] [CrossRef]
Figure 1. StXERICO1, a RING-H2 type E3 ubiquitin ligase, from Solanum tuberosum L. (A) Structure of the StXERICO1 protein showing the transmembrane domain (TM) and RING domain. (B) Phylogenetic tree of StXERICO1 from different plant species. The unrooted neighbor-joining phylogenetic tree based on StXERICO1 homologs was created using MEGA7.0. (C) The amino acid sequences of StXERICO1 and different plant species were aligned using ClustalW. The RING finger domain is highlighted by a black box, with the positions of cysteine (C) and histidine (H) indicated by black arrowheads. Identical amino acids are represented in red, while similar amino acids are shown in blue.
Figure 1. StXERICO1, a RING-H2 type E3 ubiquitin ligase, from Solanum tuberosum L. (A) Structure of the StXERICO1 protein showing the transmembrane domain (TM) and RING domain. (B) Phylogenetic tree of StXERICO1 from different plant species. The unrooted neighbor-joining phylogenetic tree based on StXERICO1 homologs was created using MEGA7.0. (C) The amino acid sequences of StXERICO1 and different plant species were aligned using ClustalW. The RING finger domain is highlighted by a black box, with the positions of cysteine (C) and histidine (H) indicated by black arrowheads. Identical amino acids are represented in red, while similar amino acids are shown in blue.
Agronomy 14 02305 g001
Figure 2. Expression patterns of StXERICO1 in various organs of potato plants and its response to different treatments. (A) StXERICO1 expression patterns across various organs of the potato plant. (B) Differential expression of StXERICO1 in response to different treatments in potato plants. (C) Expression analysis of StXERICO1 by qRT-PCR (blue) and RNA-seq (orange). The Pearson’s correlation coefficient (r) is indicated in the upper middle corner. All expression values were normalized by dividing the means of the six treatments.
Figure 2. Expression patterns of StXERICO1 in various organs of potato plants and its response to different treatments. (A) StXERICO1 expression patterns across various organs of the potato plant. (B) Differential expression of StXERICO1 in response to different treatments in potato plants. (C) Expression analysis of StXERICO1 by qRT-PCR (blue) and RNA-seq (orange). The Pearson’s correlation coefficient (r) is indicated in the upper middle corner. All expression values were normalized by dividing the means of the six treatments.
Agronomy 14 02305 g002
Figure 3. PCR verification (A) and qRT-PCR analyses (B) of StXERICO1 between WT, empty vector, and transgenic potato lines. Each bar indicates the mean ± SD from three biological replicates. Different letters indicate statistically significant differences (p ≤ 0.05). CK+: template is positive plasmid, CK: template is WT, Water: template is water. The numbers represent different transgenic potato lines.
Figure 3. PCR verification (A) and qRT-PCR analyses (B) of StXERICO1 between WT, empty vector, and transgenic potato lines. Each bar indicates the mean ± SD from three biological replicates. Different letters indicate statistically significant differences (p ≤ 0.05). CK+: template is positive plasmid, CK: template is WT, Water: template is water. The numbers represent different transgenic potato lines.
Agronomy 14 02305 g003
Figure 4. The schematic diagram of StXERICO1 mutation patterns. (A) The schematic diagram of StXERICO1 with target sites. gRNA sequences and PAM are marked. (B) The mutation pattern of StXERICO1 in transgenic line. i1 bp means insertion of 1 bp. The insertion is shown in red capital letter T.
Figure 4. The schematic diagram of StXERICO1 mutation patterns. (A) The schematic diagram of StXERICO1 with target sites. gRNA sequences and PAM are marked. (B) The mutation pattern of StXERICO1 in transgenic line. i1 bp means insertion of 1 bp. The insertion is shown in red capital letter T.
Agronomy 14 02305 g004
Figure 5. Effects of overexpression and knockout of StXERICO1 on shoot and root growth in potato plantlets. (A) Phenotypic observation of transgenic lines and wild-type potato plantlets. (B) Measurement of shoot height and root length in potato plantlets. Representative pictures were taken after 2 weeks of tissue culture. Scale bar, 1 cm. Different letters indicate statistically significant differences (p ≤ 0.05).
Figure 5. Effects of overexpression and knockout of StXERICO1 on shoot and root growth in potato plantlets. (A) Phenotypic observation of transgenic lines and wild-type potato plantlets. (B) Measurement of shoot height and root length in potato plantlets. Representative pictures were taken after 2 weeks of tissue culture. Scale bar, 1 cm. Different letters indicate statistically significant differences (p ≤ 0.05).
Agronomy 14 02305 g005
Figure 6. Overexpression of StXERICO1 confers hypersensitivity to ABA treatment in transgenic lines of potato. (A) Effects of ABA treatment on the root growth of WT and transgenic lines. Representative pictures were taken two weeks after terminal shoots were grown in MS medium supplemented with 15 µM ABA, and 20 µM ABA, respectively. Scale bar, 1 cm. (B) Measurement of root length in potato plantlets. Each bar indicates the mean ± SD from three biological replicates. Different letters indicate statistically significant differences (p ≤ 0.05).
Figure 6. Overexpression of StXERICO1 confers hypersensitivity to ABA treatment in transgenic lines of potato. (A) Effects of ABA treatment on the root growth of WT and transgenic lines. Representative pictures were taken two weeks after terminal shoots were grown in MS medium supplemented with 15 µM ABA, and 20 µM ABA, respectively. Scale bar, 1 cm. (B) Measurement of root length in potato plantlets. Each bar indicates the mean ± SD from three biological replicates. Different letters indicate statistically significant differences (p ≤ 0.05).
Agronomy 14 02305 g006
Figure 7. Overexpression of StXERICO1 enhances drought resistance and endogenous ABA level in transgenic potato plants. (A) Wild-type and transgenic potato lines planted for 34 days in nutrient soil were subjected to drought stress for 17 days followed by rehydration. Representative pictures were taken at 17 days without watering, as well as 2 days after re-watering. (B) Accumulation of ABA between WT and three transgenic lines. Each bar indicates the mean ± SD from three biological replicates. Different letters indicate statistically significant differences (p ≤ 0.05).
Figure 7. Overexpression of StXERICO1 enhances drought resistance and endogenous ABA level in transgenic potato plants. (A) Wild-type and transgenic potato lines planted for 34 days in nutrient soil were subjected to drought stress for 17 days followed by rehydration. Representative pictures were taken at 17 days without watering, as well as 2 days after re-watering. (B) Accumulation of ABA between WT and three transgenic lines. Each bar indicates the mean ± SD from three biological replicates. Different letters indicate statistically significant differences (p ≤ 0.05).
Agronomy 14 02305 g007
Figure 8. PCR verification (A), growth phenotype observation (B) and qRT-PCR analysis of XERICO1 mRNA levels (C) in WT and three independent T1 transgenic tobacco lines. Each bar indicates the mean ± SD from three biological replicates. Different letters indicate statistically significant differences (p ≤ 0.05).
Figure 8. PCR verification (A), growth phenotype observation (B) and qRT-PCR analysis of XERICO1 mRNA levels (C) in WT and three independent T1 transgenic tobacco lines. Each bar indicates the mean ± SD from three biological replicates. Different letters indicate statistically significant differences (p ≤ 0.05).
Agronomy 14 02305 g008
Figure 9. Phenotypic analysis of drought resistance in tobacco plants overexpressing StXERICO1. Wild-type and transgenic tobacco plants were subjected to drought stress for 16 days, followed by a 7-day rehydration period. Representative photographs were taken at the start of the drought stress (day 0, control), at the end of the stress period (day 16), and then 2 and 7 days after re-watering.
Figure 9. Phenotypic analysis of drought resistance in tobacco plants overexpressing StXERICO1. Wild-type and transgenic tobacco plants were subjected to drought stress for 16 days, followed by a 7-day rehydration period. Representative photographs were taken at the start of the drought stress (day 0, control), at the end of the stress period (day 16), and then 2 and 7 days after re-watering.
Agronomy 14 02305 g009
Figure 10. qRT-PCR analysis of NtNCED (A), and NtCYP707A (B) expression levels, along with the determination of endogenous ABA content (C) in the WT and three transgenic tobacco lines overexpressing StXERICO1. Each bar represents the mean ± SD from three biological replicates. Different letters indicate statistically significant differences (p ≤ 0.05).
Figure 10. qRT-PCR analysis of NtNCED (A), and NtCYP707A (B) expression levels, along with the determination of endogenous ABA content (C) in the WT and three transgenic tobacco lines overexpressing StXERICO1. Each bar represents the mean ± SD from three biological replicates. Different letters indicate statistically significant differences (p ≤ 0.05).
Agronomy 14 02305 g010
Figure 11. Validation of StXERICO1 as a target for novel-miR1730-3p using 5′-RLM-RACE. (A) Agarose gel image of 5′ RACE product. (B) Sequencing result of the PCR product. (C) The targeted StXERICO1 section and the miRNA sequence. The gene’s coding region is represented in black, while the UTR region is in yellow. The putative cleavage site is indicated by a dark pink symbol. The vertical arrowheads denote the 5′ ends of the cleaved product, accompanied by the number of clones analyzed for StXERICO1.
Figure 11. Validation of StXERICO1 as a target for novel-miR1730-3p using 5′-RLM-RACE. (A) Agarose gel image of 5′ RACE product. (B) Sequencing result of the PCR product. (C) The targeted StXERICO1 section and the miRNA sequence. The gene’s coding region is represented in black, while the UTR region is in yellow. The putative cleavage site is indicated by a dark pink symbol. The vertical arrowheads denote the 5′ ends of the cleaved product, accompanied by the number of clones analyzed for StXERICO1.
Agronomy 14 02305 g011
Figure 12. Novel-miR1730-3p inhibited the accumulation of StXERICO1 transcript. (A) Schematic representation of gene constructs: Effector vectors are Empty-LC or LC-Pre-m1730-3p, and reporter vectors are StXERICO1-LUC or mStXERICO1-LUC. (B) Schematic representation of StXERICO1 and mStXERICO1. Although the amino acid sequence remains unchanged; mutations were introduced into the novel-miR1730-3p-StXERICO1 matching sequence, resulting in mStXERICO1. Two points represent perfectly matched base pairs, while red indicates mutant bases. (C) Dual luciferase reporter assay. Each bar indicates the mean ± SD of three biological replicates. Different letters indicate statistically significant differences (p ≤ 0.05).
Figure 12. Novel-miR1730-3p inhibited the accumulation of StXERICO1 transcript. (A) Schematic representation of gene constructs: Effector vectors are Empty-LC or LC-Pre-m1730-3p, and reporter vectors are StXERICO1-LUC or mStXERICO1-LUC. (B) Schematic representation of StXERICO1 and mStXERICO1. Although the amino acid sequence remains unchanged; mutations were introduced into the novel-miR1730-3p-StXERICO1 matching sequence, resulting in mStXERICO1. Two points represent perfectly matched base pairs, while red indicates mutant bases. (C) Dual luciferase reporter assay. Each bar indicates the mean ± SD of three biological replicates. Different letters indicate statistically significant differences (p ≤ 0.05).
Agronomy 14 02305 g012
Figure 13. Virus-based silencing of novel-miR1730-3p using the STTM approach in potato. (A) Diagrammatic representation of novel-miR1730-3p structure. (B) Diagrammatic representation of STTM vector. (C) Diagrammatic representation of sampling timeline. The TRV PDS plants served as a positive control, which was sampled when leaf lesions appeared. The TRV control plants served as a negative control. The TRV_STTM1730 plants were novel-miR1730-3p-silenced plants. Representative images were taken 20 days after planting. (D) Detection of silencing efficiency of novel-miR1730-3p and its target StXERICO1. Each bar indicates the mean ± SD of three biological replicates. Different letters indicate statistically significant differences (p ≤ 0.05).
Figure 13. Virus-based silencing of novel-miR1730-3p using the STTM approach in potato. (A) Diagrammatic representation of novel-miR1730-3p structure. (B) Diagrammatic representation of STTM vector. (C) Diagrammatic representation of sampling timeline. The TRV PDS plants served as a positive control, which was sampled when leaf lesions appeared. The TRV control plants served as a negative control. The TRV_STTM1730 plants were novel-miR1730-3p-silenced plants. Representative images were taken 20 days after planting. (D) Detection of silencing efficiency of novel-miR1730-3p and its target StXERICO1. Each bar indicates the mean ± SD of three biological replicates. Different letters indicate statistically significant differences (p ≤ 0.05).
Agronomy 14 02305 g013
Figure 14. StXERICO1 interacts in vivo with StUBC and StTLP in yeast. (A) Toxicity validation of the pGBKT7-StXERICO1 prey vector. (B) Validation of self-activation for the pGBKT7-StXERICO1 prey vector. (C,D) Validation of StXERICO1-StBUC and StXERICO1-StTLP interaction. Positive control: pGADT7-T+pGBKT7-53, negative control: pGADT7-T+pGBKT7-Lam.
Figure 14. StXERICO1 interacts in vivo with StUBC and StTLP in yeast. (A) Toxicity validation of the pGBKT7-StXERICO1 prey vector. (B) Validation of self-activation for the pGBKT7-StXERICO1 prey vector. (C,D) Validation of StXERICO1-StBUC and StXERICO1-StTLP interaction. Positive control: pGADT7-T+pGBKT7-53, negative control: pGADT7-T+pGBKT7-Lam.
Agronomy 14 02305 g014
Figure 15. Molecular mechanism of the StXERICO1 gene in enhancing drought resistance in potato.
Figure 15. Molecular mechanism of the StXERICO1 gene in enhancing drought resistance in potato.
Agronomy 14 02305 g015
Disclaimer/Publisher’s Note: The statements, opinions and data contained in all publications are solely those of the individual author(s) and contributor(s) and not of MDPI and/or the editor(s). MDPI and/or the editor(s) disclaim responsibility for any injury to people or property resulting from any ideas, methods, instructions or products referred to in the content.

Share and Cite

MDPI and ACS Style

Yi, J.; Wang, L.; Chen, Y.; Li, C.; Gong, M. Potato E3 Ubiquitin Ligase StXERICO1 Positively Regulates Drought Resistance by Enhancing ABA Accumulation in Potato and Tobacco and Interacts with the miRNA Novel-miR1730-3p and Proteins StUBC and StTLP. Agronomy 2024, 14, 2305. https://doi.org/10.3390/agronomy14102305

AMA Style

Yi J, Wang L, Chen Y, Li C, Gong M. Potato E3 Ubiquitin Ligase StXERICO1 Positively Regulates Drought Resistance by Enhancing ABA Accumulation in Potato and Tobacco and Interacts with the miRNA Novel-miR1730-3p and Proteins StUBC and StTLP. Agronomy. 2024; 14(10):2305. https://doi.org/10.3390/agronomy14102305

Chicago/Turabian Style

Yi, Jing, Lai Wang, Yongkun Chen, Canhui Li, and Ming Gong. 2024. "Potato E3 Ubiquitin Ligase StXERICO1 Positively Regulates Drought Resistance by Enhancing ABA Accumulation in Potato and Tobacco and Interacts with the miRNA Novel-miR1730-3p and Proteins StUBC and StTLP" Agronomy 14, no. 10: 2305. https://doi.org/10.3390/agronomy14102305

APA Style

Yi, J., Wang, L., Chen, Y., Li, C., & Gong, M. (2024). Potato E3 Ubiquitin Ligase StXERICO1 Positively Regulates Drought Resistance by Enhancing ABA Accumulation in Potato and Tobacco and Interacts with the miRNA Novel-miR1730-3p and Proteins StUBC and StTLP. Agronomy, 14(10), 2305. https://doi.org/10.3390/agronomy14102305

Note that from the first issue of 2016, this journal uses article numbers instead of page numbers. See further details here.

Article Metrics

Back to TopTop