Long-Term Effects of Nitrogen and Tillage on Yields and Nitrogen Use Efficiency in Irrigated Corn
Abstract
1. Introduction
2. Materials and Methods
2.1. Site and Management Information
2.2. Statistical Analysis
3. Results
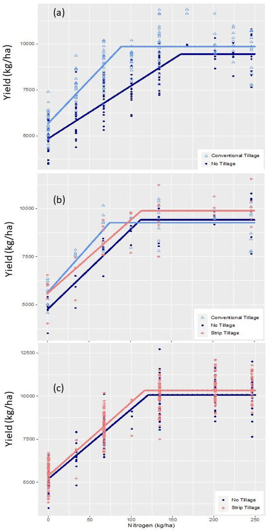
3.1. Effect of Long-Term Tillage on Grain Yield
3.2. Effect of Long-Term Tillage on Crop Residue
3.3. Effect of Long-Term Tillage on Grain N Uptake
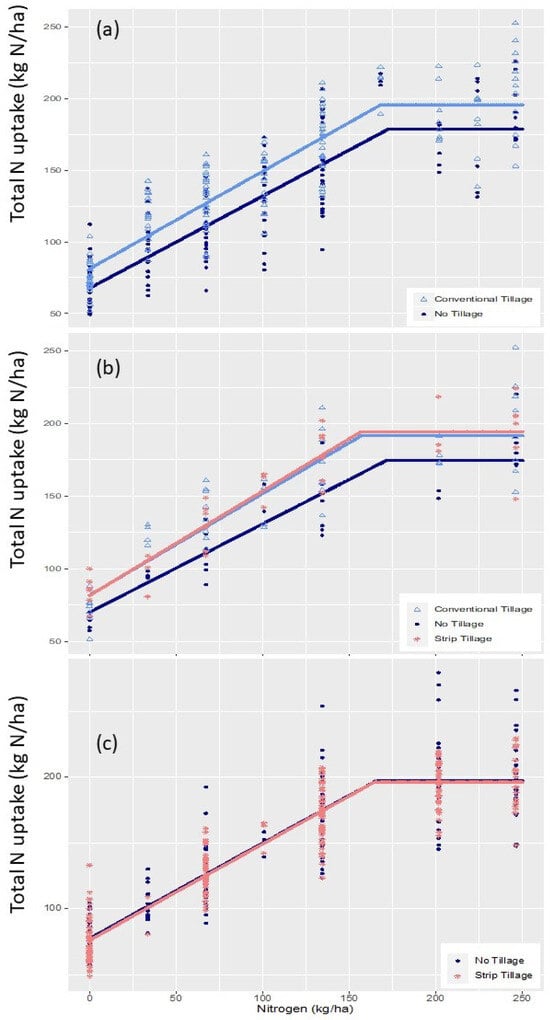
3.4. Effect of Long-Term Tillage on Total N Uptake
3.5. Effect of Long-Term Tillage on Crop Residue N Uptake
4. Discussion
4.1. CT Had Higher ANUE than NT and ST
4.2. Improvement of NT Performance with Time with Respect to Other Tillage Systems
4.3. ANUECR for NT Increased with Time with Respect to Other Tillage Systems
4.4. The Year by Year Confidence Interval Analyses Are in Sync with the Linear-Plus-Plateau Model Analyses
4.5. Need for Long-Term Research
5. Conclusions
Supplementary Materials
Author Contributions
Funding
Data Availability Statement
Conflicts of Interest
References
- Delgado, J.A.; Halvorson, A.D.; D’Adamo, R.; Stewart, C.E.; Floyd, B.; Del Grosso, S. Long-term nitrogen balance of an irrigated no-till soil-corn system. Nutr. Cycl. Agroecosyst. 2023, 126, 229–243. [Google Scholar] [CrossRef]
- Fu, X.; Wang, J.; Sainju, U.M.; Liu, W. Soil nitrogen fractions under long-term crop rotations in the loess plateau of China. Soil Tillage Res. 2019, 186, 42–51. [Google Scholar] [CrossRef]
- Yang, S.-M.; Malhi, S.S.; Li, F.-M.; Suo, D.-R.; Xu, M.-G.; Wang, P.; Xiao, G.-J.; Jia, Y.; Guo, T.-W.; Wang, J.-G. Long-term effects of manure and fertilization on soil organic matter and quality parameters of a calcareous soil in NW China. J. Plant Nutr. Soil Sci. 2007, 170, 234–243. [Google Scholar] [CrossRef]
- Iragavarapu, T.K.; Randall, G.W. Yield and nitrogen uptake of monocropped maize from a long-term tillage experiment on a poorly drained soil. Soil Tillage Res. 1995, 34, 145–156. [Google Scholar] [CrossRef]
- Kitur, B.K.; Smith, M.S.; Blevins, R.L.; Frye, W.W. Fate of N-depleted ammonium nitrate applied to no tillage and conventional tillage corn. Agron. J. 1984, 76, 240–242. [Google Scholar] [CrossRef]
- Meisinger, J.J.; Bandel, V.A.; Stanford, G.; Legg, J.O. Nitrogen utilization of corn under minimal tillage and moldboard plow tillage. I. Four-year results using labeled N fertilizer on an Atlantic Coastal Plain Soil. Agron. J. 1985, 77, 602–611. [Google Scholar] [CrossRef]
- Canisares, L.P.; Grove, J.; Miguez, F.; Poffenbarger, H. Long-term no-till increases soil nitrogen mineralization but does not affect optimal corn nitrogen fertilization practices relative to inversion tillage. Soil Tillage Res. 2021, 213, 105080. [Google Scholar] [CrossRef]
- Jantalia, C.P.; Halvorson, A.D. Nitrogen fertilizer effects on irrigated conventional tillage corn yields and soil carbon and nitrogen pools. Agron. J. 2011, 103, 871–878. [Google Scholar] [CrossRef]
- Pittelkow, C.M.; Linquist, B.A.; Lundy, M.E.; Liang, X.; van Groenigen, K.J.; Lee, J.; van Gestel, N.; Six, J.; Venterea, R.T.; van Kessel, C. When does no-till yield more? A global meta-analysis. Field Crops Res. 2015, 183, 156–168. [Google Scholar] [CrossRef]
- Ogle, S.M.; Swan, A.; Paustian, K. No-till management impacts on crop productivity, carbon input and soil carbon sequestration. Agric. Ecosyst. Environ. 2012, 149, 37–49. [Google Scholar] [CrossRef]
- Sindelar, A.J.; Schmer, M.R.; Jin, V.L.; Wienhold, B.J.; Varvel, G.E. Long-term corn and soybean response to crop rotation and tillage. Agron. J. 2015, 107, 2241–2252. [Google Scholar] [CrossRef]
- Gagnon, B.; Ravelojaona, N.; St. Luce, M.; Ziadi, N. Agronomic and economic performance of 26-year corn–soybean rotation affected by tillage and fertilization in eastern Canada. Agron. J. 2022, 114, 1447–1460. [Google Scholar] [CrossRef]
- Van den Putte, A.; Govers, G.; Diels, J.; Langhans, C.; Clymans, W.; Vanuytrecht, E.; Merckx, R.; Raes, D. Soil functioning and conservation tillage in the Belgian loam belt. Soil Tillage Res. 2012, 122, 1–11. [Google Scholar] [CrossRef]
- Toliver, D.K.; Larson, J.A.; Roberts, R.K.; English, B.C.; De La Torre Ugarte, D.G.; West, T.O. Effects of no-till on yields as influenced by crop and environmental factors. Agron. J. 2012, 104, 530–541. [Google Scholar] [CrossRef]
- Rusinamhodzi, L.; Corbeels, M.; van Wijk, M.; Rufinio, M.C.; Nyamangara, J.; Giller, K.E. A meta-analysis of long-term effects of conservation agriculture practices on maize yields under rain-fed conditions. Agron. Sustain. Dev. 2011, 31, 657–673. [Google Scholar] [CrossRef]
- Zhang, S.; Chen, X.; Jia, S.; Liang, A.; Zhang, X.; Yang, X.; Wei, S.; Sun, B.; Huang, D.; Zhou, G. The potential mechanism of long-term conservation tillage effects on maize yield in the black soil of Northeast China. Soil Tillage Res. 2015, 154, 84–90. [Google Scholar] [CrossRef]
- Govaerts, B.; Sayre, K.D.; Deckers, J. Stable high yields with zero tillage and permanent bed planting. Field Crops Res. 2005, 94, 33–42. [Google Scholar] [CrossRef]
- He, J.; Li, H.W.; Rasaily, R.G.; Wang, Q.J.; Cai, G.H.; Su, Y.B.; Qiao, X.D.; Liu, L.J. Soil properties and crop yields after 11 years of no tillage farming in wheat–maize cropping system in North China Plain. Soil Tillage Res. 2011, 113, 48–54. [Google Scholar] [CrossRef]
- Verhulst, N.; Nelissen, V.; Jespers, N.; Haven, H.; Sayre, K.D.; Raes, D.; Deckers, J.; Govaerts, B. Soil water content, maize yield and its stability as affected by tillage and crop residue management in rainfed semi-arid highlands. Plant Soil 2011, 344, 73–85. [Google Scholar] [CrossRef]
- Cullum, R.F. Influence of tillage on maize yield in soil with shallow fragipan. Soil Tillage Res. 2012, 119, 1–6. [Google Scholar] [CrossRef]
- Chen, Y.; Liu, S.; Li, H.; Li, X.F.; Song, C.Y.; Cruse, R.M.; Zhang, X.Y. Effects of conservation tillage on corn and soybean yield in the humid continental climate region of Northeast China. Soil Tillage Res. 2011, 115, 56–61. [Google Scholar] [CrossRef]
- Griffith, D.R.; Kladivko, E.J.; Mannering, J.V.; West, T.D.; Parsons, S.D. Long-term tillage and rotation effects on corn growth and yield on high and low organic matter, poorly drained soils. Agron. J. 1988, 80, 599–605. [Google Scholar] [CrossRef]
- Potter, K.N.; Morrison, J.E.; Torbert, H.A. Tillage intensity effects on corn and grain sorghum growth and productivity on a Vertisol. J. Prod. Agric. 1996, 9, 385–390. [Google Scholar] [CrossRef]
- Wilhelm, W.W.; Wortmann, C.S. Tillage and rotation interactions for corn and soybean grain yield as affected by precipitation and air temperature. Agron. J. 2004, 96, 425–432. [Google Scholar] [CrossRef]
- Sims, A.L.; Schepers, J.S.; Olson, R.A.; Power, J.F. Irrigated corn yield and nitrogen accumulation response in a comparison of no-till and conventional till: Tillage and surface-residue variables. Agron. J. 1998, 90, 630–637. [Google Scholar] [CrossRef]
- Dick, W.A.; McCoy, E.L.; Edwards, W.M.; Lal, R. Continuous application of no-tillage to Ohio soils. Agron. J. 1991, 83, 65–73. [Google Scholar] [CrossRef]





| GPT $ | Compartment | Model | ||||
|---|---|---|---|---|---|---|
| NT 2001–2007 | Harvested Grain | LPPM ¶ | 28.5 b *** | 4866 b *** | 161 a *** | 9445 b *** |
| CT 2001–2007 | Harvested Grain | LPPM ¶ | 47.1 a *** | 5694 a *** | 88 b *** | 9852 a *** |
| NT 2001–2007 | Crop Residue Biomass | LPPM ¶ | 18.0 n.s. | 6163 n.s. | 168 n.s. | 9187 n.s. |
| CT 2001–2007 | Crop Residue Biomass | LPPM ¶ | 16.4 n.s. | 6093 n.s. | 168 n.s. | 8845 n.s. |
| NT 2001–2007 | Harvested Grain N | LPPM ¶ | 0.43 b * | 43 b *** | 169 * a | 115 b *** |
| CT 2001–2007 | Harvested Grain N | LPPM ¶ | 0.49 a * | 57 a *** | 150 * b | 130 a *** |
| NT 2001–2007 | Aboveground Biomass N | LPPM ¶ | 0.64 n.s. | 68 b *** | 173 n.s. | 179 b *** |
| CT 2001–2007 | Aboveground Biomass N | LPPM ¶ | 0.68 n.s. | 81 a *** | 168 n.s. | 196 a *** |
| NT 2001–2007 | Crop Residue Biomass N | LPPM ¶ | 0.22 n.s. | 25 n.s. | 181 n.s. | 64 n.s. |
| CT 2001–2007 | Crop Residue Biomass N | LPPM ¶ | 0.23 n.s. | 23 n.s. | 184 n.s. | 64 n.s. |
| NT 2006–2007 | Harvested Grain | LPPM ¶ | 41.5 n.s. | 4762 b ** | 112 a *** | 9410 b ** |
| CT 2006–2007 | Harvested Grain | LPPM ¶ | 48.4 n.s. | 5643 a ** | 75 b *** | 9270 c ** |
| ST 2006–2007 | Harvested Grain | LPPM ¶ | 38.0 n.s. | 5593 a ** | 113 a *** | 9898 a ** |
| NT 2006–2007 | Crop Residue Biomass | LPPM ¶ | 15.9 n.s. | 6101 n.s. | 242 a ** | 9944 a ** |
| CT 2006–2007 | Crop Residue Biomass | LPPM ¶ | 16.6 n.s. | 5659 n.s. | 172 ab ** | 8500 ab ** |
| ST 2006–2007 | Crop Residue Biomass | LPPM ¶ | 17.4 n.s. | 6300 n.s. | 113 b ** | 8256 b ** |
| NT 2006–2007 | Harvested Grain N | LPPM ¶ | 0.60 n.s. | 37 b *** | 101 b ** | 98 c *** |
| CT 2006–2007 | Harvested Grain N | LPPM ¶ | 0.61 n.s. | 56 a *** | 114 b * | 125 b *** |
| ST 2006–2007 | Harvested Grain N | LPPM ¶ | 0.52 n.s. | 57 a *** | 151 a ** | 136 a *** |
| NT 2006–2007 | Aboveground Biomass N | LPPM ¶ | 0.61 n.s. | 70 b * | 172 n.s. | 175 b * |
| CT 2006–2007 | Aboveground Biomass N | LPPM ¶ | 0.70 n.s. | 82 b | 157 n.s. | 192 ab |
| ST 2006–2007 | Aboveground Biomass N | LPPM ¶ | 0.72 n.s. | 82 a * | 157 n.s. | 195 a * |
| NT 2006–2007 | Crop Residue Biomass N | LR ¥ | 0.20 a *** | 27 a | 246 n.s. | 76 a *** |
| CT 2006–2007 | Crop Residue Biomass N | LR ¥ | 0.19 a * | 23 a | 246 n.s. | 69 a * |
| ST 2006–2007 | Crop Residue Biomass N | LR ¥ | 0.14 b *** | 28 a | 246 n.s. | 62 b *** |
| NT 2006–2017 | Harvested Grain | LPPM ¶ | 40.3 n.s. | 5216 n.s. | 121 n.s. | 10,067 n.s. |
| ST 2006–2017 | Harvested Grain | LPPM ¶ | 42.4 n.s. | 5405 n.s. | 116 n.s. | 10,328 n.s. |
| NT 2006–2017 | Crop Residue Biomass | LPPM ¶ | 33.3 n.s. | 7514 a *** | 82 n.s. | 10,233 a *** |
| ST 2006–2017 | Crop Residue Biomass | LPPM ¶ | 37.5 n.s. | 6161 b *** | 86 n.s. | 9379 b *** |
| NT 2006–2017 | Harvested Grain N | LPPM ¶ | 0.49 n.s. | 46 n.s. | 156 n.s. | 123 n.s. |
| ST 2006–2017 | Harvested Grain N | LPPM ¶ | 0.52 n.s. | 48 n.s. | 159 n.s. | 131 n.s. |
| NT 2006–2017 | Aboveground Biomass N | LPPM ¶ | 0.72 n.s. | 78 n.s. | 165 n.s. | 197 n.s. |
| ST 2006–2017 | Aboveground Biomass N | LPPM ¶ | 0.73 n.s. | 76 n.s. | 165 n.s. | 196 n.s. |
| NT 2006–2017 | Crop Residue Biomass N | LPPM ¶ | 0.23 n.s. | 32 a * | 186 a | 74 a * |
| ST 2006–2017 | Crop Residue Biomass N | LPPM ¶ | 0.21 n.s. | 28 b | 180 a | 65 b |
| Parameter Estimate | Grain Response | Biomass Response | Grain N Uptake | Total Aboveground N Uptake | Crop Residue N Uptake |
|---|---|---|---|---|---|
| Intercept | 14.367 *** | 1.052 | 18.219 *** | 8.099 *** | 1.554 |
| Slope | 10.328 *** | 1.236 | 3.379 * | 1.609 | 1.074 |
| N at Plateau | 17.176 *** | 1.019 | 3.645 * | 1.171 | 1.016 |
| Parameter Estimates | Compartment | NT vs. CT | NT vs. ST | CT vs. ST |
|---|---|---|---|---|
| Intercept | Harvested grain | 5.892 ** | 4.438 ** | 1.015 |
| Slope | Harvested grain | 1.809 | 1.206 | 2.588 |
| N at Plateau | Harvested grain | 6.555 *** | 1.005 | 5.274 ** |
| Intercept | Biomass | 1.929 | 1.286 | 2.503 |
| Slope | Biomass | 1.018 | 1.075 | 1.011 |
| N at Plateau | Biomass | 2.498 | 7.653 *** | 2.176 |
| Intercept | Grain N uptake | 7.550 *** | 8.360 *** | 1.054 |
| Slope | Grain N uptake | 1.001 | 1.691 | 1.899 |
| N at Plateau | Grain N uptake | 1.716 | 5.206 ** | 3.556 * |
| Intercept | Total N uptake | 2.678 | 2.927 * | 1.001 |
| Slope | Total N uptake | 1.687 | 2.185 | 1.030 |
| N at Plateau | Total N uptake | 1.404 | 1.520 | 1.000 |
| Parameter Estimate | Grain Response | Biomass Response | Grain N Uptake | Total Aboveground N Uptake | Crop Residue N Uptake |
|---|---|---|---|---|---|
| Intercept | 2.144 | 12.984 *** | 2.093 | 1.102 | 2.821 * |
| Slope | 1.331 | 1.239 | 1.404 | 1.001 | 1.245 |
| N at Plateau | 1.256 | 1.104 | 1.104 | 1.005 | 1.063 |
| Parameter Estimates | NT vs. CT | NT vs. ST | CT vs. ST |
|---|---|---|---|
| Intercept | 1.572 | 0.110 | 1.997 |
| Slope | 0.074 | 7.491 *** | 3.593 * |
Disclaimer/Publisher’s Note: The statements, opinions and data contained in all publications are solely those of the individual author(s) and contributor(s) and not of MDPI and/or the editor(s). MDPI and/or the editor(s) disclaim responsibility for any injury to people or property resulting from any ideas, methods, instructions or products referred to in the content. |
© 2024 by the authors. Licensee MDPI, Basel, Switzerland. This article is an open access article distributed under the terms and conditions of the Creative Commons Attribution (CC BY) license (https://creativecommons.org/licenses/by/4.0/).
Share and Cite
Delgado, J.A.; D’Adamo, R.E.; Villacis, A.H.; Halvorson, A.D.; Stewart, C.E.; Floyd, B.A.; Del Grosso, S.J.; Manter, D.K.; Alwang, J. Long-Term Effects of Nitrogen and Tillage on Yields and Nitrogen Use Efficiency in Irrigated Corn. Agronomy 2024, 14, 2304. https://doi.org/10.3390/agronomy14102304
Delgado JA, D’Adamo RE, Villacis AH, Halvorson AD, Stewart CE, Floyd BA, Del Grosso SJ, Manter DK, Alwang J. Long-Term Effects of Nitrogen and Tillage on Yields and Nitrogen Use Efficiency in Irrigated Corn. Agronomy. 2024; 14(10):2304. https://doi.org/10.3390/agronomy14102304
Chicago/Turabian StyleDelgado, Jorge A., Robert E. D’Adamo, Alexis H. Villacis, Ardell D. Halvorson, Catherine E. Stewart, Bradley A. Floyd, Stephen J. Del Grosso, Daniel K. Manter, and Jeffrey Alwang. 2024. "Long-Term Effects of Nitrogen and Tillage on Yields and Nitrogen Use Efficiency in Irrigated Corn" Agronomy 14, no. 10: 2304. https://doi.org/10.3390/agronomy14102304
APA StyleDelgado, J. A., D’Adamo, R. E., Villacis, A. H., Halvorson, A. D., Stewart, C. E., Floyd, B. A., Del Grosso, S. J., Manter, D. K., & Alwang, J. (2024). Long-Term Effects of Nitrogen and Tillage on Yields and Nitrogen Use Efficiency in Irrigated Corn. Agronomy, 14(10), 2304. https://doi.org/10.3390/agronomy14102304

