Interactions between Sudangrass Lines Selected for Differing Nitrate Expression and Sorghum Aphid
Abstract
1. Introduction
2. Materials and Methods
2.1. Nitrate Selections in ‘Piper’ Sudangrass
2.2. Aphid Culture
2.3. Effect of Sorghum Aphid on Sudangrass Lines’ Fitness
2.4. Effect of Sorghum Aphid on Sudangrass Nitrate Concentration
2.5. Sorghum Aphid Demographics on Grasses Lines
2.6. Statistical Analysis
3. Results
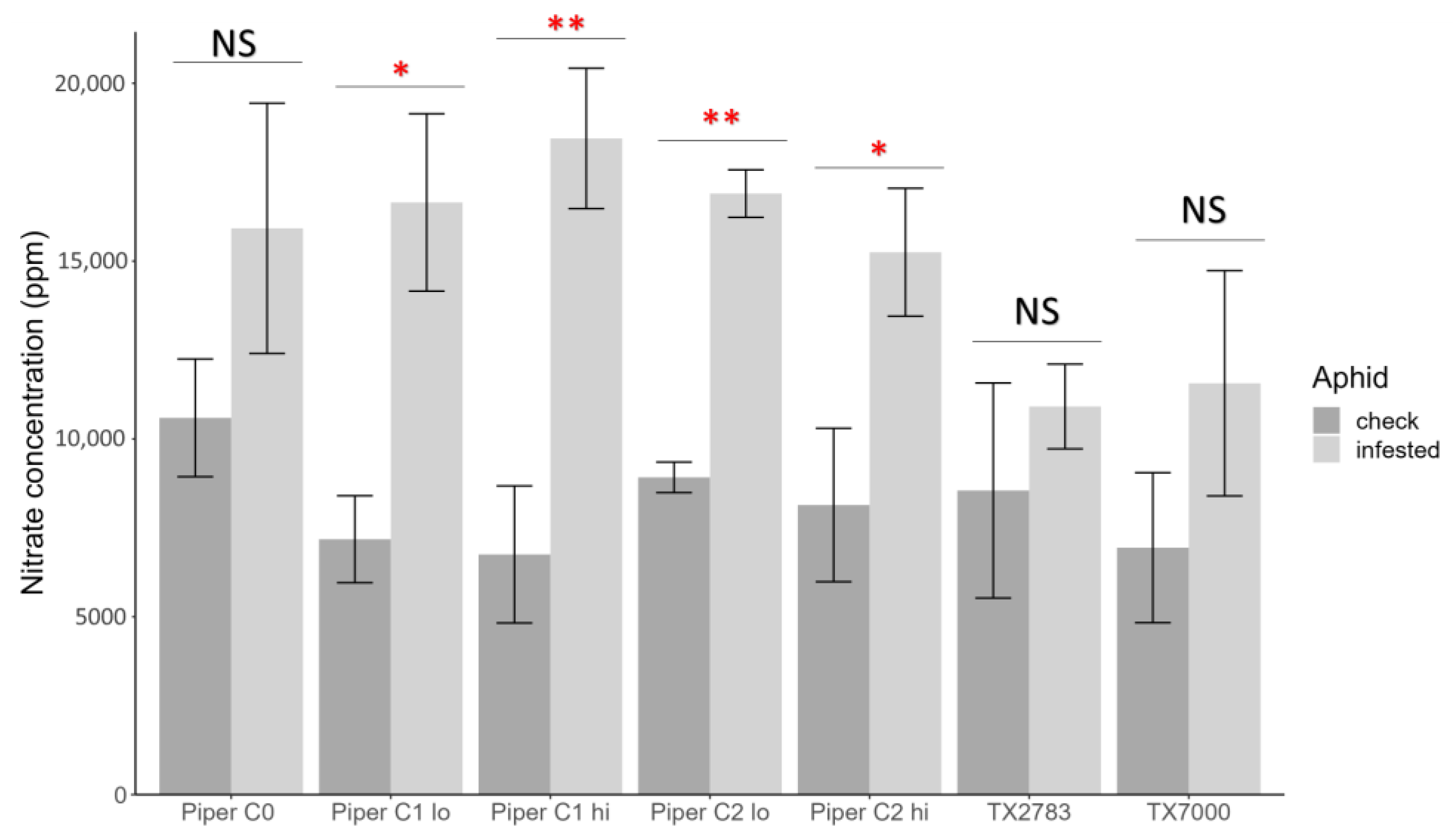
3.1. Effect of Sorghum Aphid on Sudangrass Physiology and Nitrate Concentration
3.2. Demographics of Sorghum Aphid on Grass Lines
4. Discussion
5. Conclusions
Author Contributions
Funding
Data Availability Statement
Acknowledgments
Conflicts of Interest
References
- Tallman, S. Agronomy Technical Note; United States Department of Agriculture: Washington, DC, USA, 2022.
- Harris-Shultz, K.R.; Armstrong, J.S.; Caballero, M.; Hoback, W.W.; Knoll, J.E. Insect feeding on sorghum bicolor pollen and Hymenoptera attraction to aphid-produced honeydew. Insects 2022, 13, 1152. [Google Scholar] [CrossRef] [PubMed]
- USDA-NRCS. Plants Poisonous to Livestock in Montana and Wyoming; Technical Note; United States Department of Agriculture: Washington, DC, USA, 2020.
- Hixon, D.L. Management of high nitrate forages. In Proceedings of the Range Beef Cow Symposium, Fort Collins, CO, USA, 3–5 December 1991; p. 254. [Google Scholar]
- Ozmen, O.; Mor, F.; Sahinduran, S.; Unsal, A. Pathological and toxicological investigations of chronic nitrate poisoning in cattle. Toxicol. Environ. Chem. 2005, 87, 99–106. [Google Scholar] [CrossRef]
- Simoes, J.G.; Olinda, R.G.; Maia, L.A.; Carvalho, F.K.L.; Dantas, A.F.M.; Galiza, G.J.N.; Medeiros, R.M.T.; Riet-Correa, F. Clinical and toxicological findings in nitrate and nitrite poisoning in cattle in Northeastern Brazil. Pesqui. Vet. Bras. 2022, 42, e07038. [Google Scholar] [CrossRef]
- Wilson, A.C.C.; Sternberg, L.D.S.L.; Hurley, K.B. Aphids alter host-plant nitrogen isotope fractionation. Proc. Natl. Acad. Sci. USA 2011, 108, 10220–10224. [Google Scholar] [CrossRef]
- Wilson, B.E.; Reay-Jones, F.P.F.; Lama, L.; Mulcahy, M.; Reagan, T.E.; Davis, J.A.; Yang, Y.; Wilson, L.T. Influence of sorghum cultivar, nitrogen fertilization, and insecticides on infestations of the sugarcane aphid (Hemiptera: Aphididae) in the Southern United States. J. Econ. Entomol. 2020, 113, 1850–1857. [Google Scholar] [CrossRef]
- Armstrong, J.S.; Rooney, W.L.; Peterson, G.C.; Villenueva, R.T.; Brewer, M.J.; Sekula-Ortiz, D. Sugarcane aphid (Hemiptera: Aphididae): Host range and sorghum resistance including cross-resistance from greenbug sources. J. Econ. Entomol. 2015, 108, 576–582. [Google Scholar] [CrossRef]
- Bowling, R.D.; Brewer, M.J.; Kerns, D.L.; Gordy, J.; Seiter, N.; Elliott, N.E.; Buntin, G.D.; Way, M.O.; Royer, T.A.; Biles, S. Sugarcane aphid (Hemiptera: Aphididae): A new pest on sorghum in North America. J. Integr. Pest Manag. 2016, 7, 12. [Google Scholar] [CrossRef]
- Awmack, C.S.; Leather, S.R. Host plant quality and fecundity in herbivorous insects. Annu. Rev. Entomol. 2002, 47, 817–844. [Google Scholar] [CrossRef] [PubMed]
- Sandström, J.; Telang, A.; Moran, N.A. Nutritional enhancement of host plants by aphids—A comparison of three aphid species on grasses. J. Insect Physiol. 2000, 46, 33–40. [Google Scholar] [CrossRef]
- Smith, D.C.; Ahlgren, H.L.; Sund, J.M.; Hogg, P.G.; Goodloe, H.F. Registration of Piper Sudangrass 1 (Reg. No. 115). Crop Sci. 1973, 13, 584. [Google Scholar] [CrossRef]
- Zhang, H.; Redmon, L.; Fuhrman, J.K.; Springer, T. Quick nitrate test for hybrid sudangrass and pearlmillet hays. Commun. Soil Sci. Plant Anal. 1999, 30, 1573–1582. [Google Scholar] [CrossRef][Green Version]
- Nibouche, S.; Costet, L.; Holt, J.R.; Jacobson, A.; Pekarcik, A.; Sadeyen, J.; Scott Armstrong, J.; Peterson, G.C.; McLaren, N.; Medina, R.F. Invasion of sorghum in the Americas by a new sugarcane aphid (Melanaphis sacchari) superclone. PLoS ONE 2018, 13, e0196124. [Google Scholar] [CrossRef] [PubMed]
- Paudyal, S.; Armstrong, J.; Harris-Shultz, K.; Wang, H.; Giles, K.; Rott, P.; Payton, M. Evidence of host plant specialization among the U.S. sugarcane aphid (Hemiptera: Aphididae) genotypes. Trends Entomol. 2019, 15, 47–58. [Google Scholar]
- Nibouche, S.; Costet, L.; Medina, R.F.; Holt, J.R.; Sadeyen, J.; Zoogones, A.-S.; Brown, P.; Blackman, R.L. Morphometric and molecular discrimination of the sugarcane aphid, Melanaphis sacchari, (Zehntner, 1897) and the sorghum aphid Melanaphis sorghi (Theobald, 1904). PLoS ONE 2021, 16, e0241881. [Google Scholar] [CrossRef] [PubMed]
- Paudyal, S.; Armstrong, J.S.; Giles, K.L.; Hoback, W.; Aiken, R.; Payton, M.E. Differential responses of sorghum genotypes to sugarcane aphid feeding. Planta 2020, 252, 1–9. [Google Scholar] [CrossRef] [PubMed]
- Carey, C.; Hoback, W.; Armstrong, J.S.; Zarrabi, A. The effects of light-emitting diode and conventional lighting on sorghum physiology and sugarcane aphid interaction. Fla. Entomol. 2022, 105, 145–154. [Google Scholar] [CrossRef]
- Wood, C.W.; Tracy, P.W.; Reeves, D.W.; Edmisten, K.L. Determination of cotton nitrogen status with a handheld chlorophyll meter. J. Plant Nutr. 1992, 15, 1435–1448. [Google Scholar] [CrossRef]
- Gavlak, R.; Horneck, D.; Miller, R.O.; Kotuby-Amacher, J. Soil, Plant and Water Reference Methods for the Western Region; WCC-103 Publication: Fort Collins, CO, USA, 2003. [Google Scholar]
- Carey, C.; Armstrong, J.S.; Hayes, C.; Hoback, W.W.; Zarrabi, A. Evaluation of A3 cytoplasmic male sterile forage sorghum lines for resistance to sugarcane aphid. Planta 2022, 255, 38. [Google Scholar] [CrossRef]
- Paudyal, S.; Armstrong, J.S.; Giles, K.L.; Payton, M.E.; Opit, G.P.; Limaje, A. Categories of resistance to sugarcane aphid (Hemiptera: Aphididae) among sorghum genotypes. J. Econ. Entomol. 2019, 112, 1932–1940. [Google Scholar] [CrossRef]
- Wyatt, I.J.; White, P.F. Simple estimation of intrinsic increase rates for aphids and tetranychid mites. J. Appl. Ecol. 1977, 14, 757. [Google Scholar] [CrossRef]
- Shimizu, G.D.; Marubayashi, R.Y.P.; Goncalves, L.S.A. Experimental Statistics and Graphics for Agricultural Sciences. 2022. Available online: https://github.com/cran/AgroR (accessed on 16 June 2024).
- Wickham, H. Programming with Ggplot2. In ggplot2; Springer: Berlin/Heidelberg, Germany, 2016; pp. 241–253. [Google Scholar]
- Shapiro, S.S.; Wilk, M.B. An analysis of variance test for normality (complete samples). Biometrika 1965, 52, 591–611. [Google Scholar] [CrossRef]
- Burr, I.W.; Foster, L.A. A Test for Equality of Variances; University of Purdue: West Lafayette, IN, USA, 1972. [Google Scholar]
- Brewer, M.J.; Peairs, F.B.; Elliott, N.C. Invasive Cereal aphids of North America: Ecology and pest management. Annu. Rev. Entomol. 2019, 64, 73–93. [Google Scholar] [CrossRef] [PubMed]
- Uyi, O.; Lahiri, S.; Ni, X.; Buntin, D.; Jacobson, A.; Reay-Jones, F.P.F.; Punnuri, S.; Huseth, A.S.; Toews, M.D. Host plant resistance, foliar insecticide application and natural enemies play a role in the management of Melanaphis sorghi (Hemiptera: Aphididae) in grain sorghum. Front. Plant Sci. 2022, 13, 1006225. [Google Scholar] [CrossRef]
- Douglas, A.E. Phloem-sap feeding by animals: Problems and solutions. J. Exp. Bot. 2006, 57, 747–754. [Google Scholar] [CrossRef] [PubMed]
- Sandström, J.; Moran, N. How nutritionally imbalanced is phloem sap for aphids? Entomol. Exp. Appl. 1999, 91, 203–210. [Google Scholar] [CrossRef]
- Strickland, G.; Richards, C.; Zhang, H.; Step, D.L. Nitrate Toxicity in Livestock; Oklahoma State University: Stillwater, OK, USA, 1996; pp. 1–8. [Google Scholar]
- Borrell, A.; Van Oosterom, E.; George-Jaeggli, B.; Rodriguez, D.; Eyre, J.; Jordan, D.J.; Mace, E.; Singh, V.; Vadez, V.; Bell, M.; et al. Sorghum. In Crop Physiology Case Histories for Major Crops; Academic Press: Cambridge, MA, USA, 2021; ISBN 9780128191941. [Google Scholar]
- Harms, C.L.; Tucker, B.B. Influence of nitrogen fertilization and other factors on yield, prussic acid, nitrate, and total nitrogen concentrations of Sudangarss cultivars. Agron. J. 1973, 65, 21–26. [Google Scholar] [CrossRef]
- Laptina, Y.A.; Gichenkova, O.G.; Kulikova, N.A.; Karpova, T.L. Growth stimulators and mineral fertilizers influence on Sudan grass growth, development and productivity. In Advances in Science for Agriculture “Achievements of Science for the Agro-Industrial Complex”, Proceedings of the IOP Conference Series: Earth and Environmental Science, Nemchinovka, Russia, 19–20 November 2020; IOP Publishing: Bristol, UK, 2021; Volume 843. [Google Scholar] [CrossRef]
- Najmaldin, S.S.Y.; Ali, G.S. Effect of seed rate and nitrogen fertilizer on forage yield of Sudangrass (Sorghum sudanense “Piper” Stapf) in Central Sudan. Int. J. Innov. Res. Adv. Stud. 2019, 6, 4–9. [Google Scholar]
- Knowles, T.C.; Ottman, M.J. Sudangrass Hay Production in the Irrigated Deserts of Arizona and California; College of Agriculture and Life Sciences, University of Arizona: Tucson, AZ, USA, 1997. [Google Scholar]
- Sunaga, Y.; Harada, H.; Hatanaka, T. Varietal differences in nitrate nitrogen concentration of Sudangrass (Sorghum sudanense (Piper) stapf). Grassl. Sci. 2005, 51, 169–177. [Google Scholar] [CrossRef]
- Limaje, A.; Hayes, C.; Armstrong, J.S.; Hoback, W.; Zarrabi, A.; Paudyal, S.; Burke, J. Antibiosis and tolerance discovered in USDA-ARS sorghums resistant to the sugarcane aphid (Hemiptera: Aphididae). J. Entomol. Sci. 2018, 53, 230–241. [Google Scholar] [CrossRef]
- Undersander, D.; Combs, D.; Shaver, R.; Schaefer, D.; Thomas, D. Nitrate Poisoning in Cattle, Sheep and Goats; University of Wisconsin-Madison: Madison, WI, USA, 2016; Volume 1. [Google Scholar]
- Armstrong, J.S.; Hoback, W.W.; Springer, T.L. Host suitability for the sugarcane aphid Melanaphis sacchari (Hemiptera: Aphididae) on sorghum, sorghum-sudangrass, millets and other forage grass species. Trends Entomol. 2021, 17, 1–11. [Google Scholar]
- Zander, A. Adapting Grain Sorghum Management Considerations for Oklahoma in the Presence of Production Challenges. Master’s Thesis, Oklahoma State University, Stillwater, OK, USA, 2019. [Google Scholar]
- Zander, A.; Lofton, J.; Harris, C.; Kezar, S. Grain sorghum production: Influence of planting date, hybrid selection, and insecticide application. Agrosyst. Geosci. Environ. 2021, 4, e20162. [Google Scholar] [CrossRef]
- Gordy, J.W.; Seiter, N.J.; Kerns, D.L.; Reay-Jones, F.P.F.; Bowling, R.D.; Way, M.O.; Brewer, M.J. Field assessment of aphid doubling time and yield of sorghum susceptible and partially resistant to sugarcane aphid (Hemiptera: Aphididae). J. Econ. Entomol. 2021, 114, 2076–2087. [Google Scholar] [CrossRef] [PubMed]

| Chlorophyll Content 1 (%) | Chlorophyll Content 2 (%) | Photosynthetic Rate 1 (mol H2O m−2·s−1) | Photosynthetic Rate 2 (mol H2O m−2·s−1) | Condutance 1 (mol H2O m−2·s−1) | Condutance 2 (mol H2O m−2·s−1) | ||||
|---|---|---|---|---|---|---|---|---|---|
| Grass Lines | - | Check | Infested | - | Check | Infested | - | Check | Infested |
| Piper C0 | 40.92 ± 1.95 | 42.98 ± 1.82 | 40.99 ± 3.22 | 40.92 ± 1.95 | 11.61 ± 0.83 | 3.28 ± 1.63 | 0.047 ± 0.004 | 0.023 ± 0.003 | 0.014 ± 0.004 |
| Piper C1 lo | 35.27 ± 3.11 | 41.73 ± 2.36 | 37.59 ± 4.25 | 35.27 ± 3.11 | 8.35 ± 2.00 | 3.30 ± 1.17 | 0.046 ± 0.005 | 0.021 ± 0.003 | 0.012 ± 0.001 |
| Piper C1 hi | 38.65 ± 1.08 | 43.15 ± 1.29 | 35.93 ± 6.00 | 38.65 ± 1.08 | 13.92 ± 1.90 | 6.16 ± 3.24 | 0.042 ± 0.003 | 0.026 ± 0.002 | 0.018 ± 0.006 |
| Piper C2 lo | 35.78 ± 1.69 | 39.21 ± 2.19 | 33.93 ± 5.33 | 35.78 ± 1.69 | 13.08 ± 3.17 | 1.11 ± 0.54 | 0.048 ± 0.003 | 0.027 ± 0.005 | 0.010 ± 0.002 |
| Piper C2 hi | 38.42 ± 2.05 | 44.54 ± 1.51 | 37.06 ± 5.97 | 38.42 ± 2.05 | 10.83 ± 1.07 | 4.61 ± 2.30 | 0.043 ± 0.002 | 0.021 ± 0.001 | 0.015 ± 0.004 |
| TX2783 | 35.64 ± 1.35 | 40.63 ± 0.26 | 39.76 ± 1.04 | 35.64 ± 1.35 | 9.11 ± 2.99 | 2.60 ± 1.39 | 0.047 ± 0.003 | 0.021 ± 0.002 | 0.013 ± 0.003 |
| TX7000 | 37.29 ± 1.48 | 42.14 ± 2.13 | 40.44 ± 1.16 | 37.29 ± 1.48 | 8.65 ± 3.95 | 3.94 ± 3.29 | 0.043 ± 0.002 | 0.018 ± 0.005 | 0.013 ± 0.006 |
| F 3 | 1.10 | 0.57; 5.49; 0.33 | 1.29 | 0.83; 35.17; 0.59 | 0.43 | 0.63; 18.70; 0.50 | |||
| p 3 | 0.39 | 0.78; 0.02; 0.91 | 0.25 | 0.55; >0.001; 0.16 | 1.01 | 0.70; >0.001; 0.80 | |||
| DFresidues | 39 | 39 | 39 | 39 | 39 | 39 | |||
| Grass Lines | Longevity | Fertility | Pre-Reproductive Period (d) | R0 | Md | Rm | |
|---|---|---|---|---|---|---|---|
| Piper C0 | 28.08 ± 0.29 b | 97.00 ± 1.90 b | 6.08 ± 0.08 b | 23.00 ± 0.30 b | 28.17 ± 1.08 b | 0.49 ± 0.01 b | |
| Piper C1 lo | 25.67 ± 0.28 c | 83.25 ± 1.24 c | 6.00 ± 0.00 b | 20.67 ± 0.28 c | 28.08 ± 0.91 b | 0.49 ± 0.01 b | |
| Piper C1 hi | 20.67 ± 0.19 d | 29.00 ± 0.71 e | 8.00 ± 0.00 a | 13.67 ± 0.19 e | 22.67 ± 0.72 c | 0.33 ± 0.00 d | |
| Piper C2 lo | 20.42 ± 0.61 d | 41.08 ± 1.42 d | 6.00 ± 0.00 b | 15.42 ± 0.61 d | 21.67 ± 0.63 c | 0.45 ± 0.01 c | |
| Piper C2 hi | 20.92 ± 0.23 d | 31.33 ± 0.57 e | 8.00 ± 0.00 a | 13.92 ± 0.23 de | 24.17 ± 0.24 bc | 0.34 ± 0.00 d | |
| TX2783 | 18.00 ± 0.35 e | 25.17 ± 1.48 e | 8.00 ± 0.00 a | 11.00 ± 0.35 f | 21.25 ± 1.12 c | 0.32 ±0.01 d | |
| TX7000 | 33.75 ± 0.49 a | 149.92 ± 3.27 a | 6.00 ±0.00 b | 28.75 ± 0.49 a | 37.58 ± 1.56 a | 0.54 ± 0.01 a | |
| Statistics | F | 223.82 | 819.64 | 1129.00 | 291.45 | 34.70 | 294.08 |
| p | <0.001 | <0.001 | <0.001 | <0.001 | <0.001 | <0.001 | |
| DFresidues | 66 | 66 | 66 | 66 | 66 | 66 | |
Disclaimer/Publisher’s Note: The statements, opinions and data contained in all publications are solely those of the individual author(s) and contributor(s) and not of MDPI and/or the editor(s). MDPI and/or the editor(s) disclaim responsibility for any injury to people or property resulting from any ideas, methods, instructions or products referred to in the content. |
© 2024 by the authors. Licensee MDPI, Basel, Switzerland. This article is an open access article distributed under the terms and conditions of the Creative Commons Attribution (CC BY) license (https://creativecommons.org/licenses/by/4.0/).
Share and Cite
Hayashida, R.; Carey, C.; Springer, T.; Knighten, B.; Armstrong, J.S.; Hoback, W.W. Interactions between Sudangrass Lines Selected for Differing Nitrate Expression and Sorghum Aphid. Agronomy 2024, 14, 2250. https://doi.org/10.3390/agronomy14102250
Hayashida R, Carey C, Springer T, Knighten B, Armstrong JS, Hoback WW. Interactions between Sudangrass Lines Selected for Differing Nitrate Expression and Sorghum Aphid. Agronomy. 2024; 14(10):2250. https://doi.org/10.3390/agronomy14102250
Chicago/Turabian StyleHayashida, Rafael, Camille Carey, Tim Springer, Bailey Knighten, J. Scott Armstrong, and W. Wyatt Hoback. 2024. "Interactions between Sudangrass Lines Selected for Differing Nitrate Expression and Sorghum Aphid" Agronomy 14, no. 10: 2250. https://doi.org/10.3390/agronomy14102250
APA StyleHayashida, R., Carey, C., Springer, T., Knighten, B., Armstrong, J. S., & Hoback, W. W. (2024). Interactions between Sudangrass Lines Selected for Differing Nitrate Expression and Sorghum Aphid. Agronomy, 14(10), 2250. https://doi.org/10.3390/agronomy14102250

