QTL Mapping for Seed Quality Traits under Multiple Environments in Soybean (Glycine max L.)
Abstract
:1. Introduction
2. Materials and Methods
2.1. Plant Materials
2.2. Methods for the Determination of Quality Traits
2.2.1. Determination of Protein and Oil Content
2.2.2. Determination of Fatty Acid Content
2.3. Phenotypic Statistical Analyses
2.4. QTL Mapping
2.5. QTL Clusters Identification
2.6. Candidate Gene Prediction
3. Results
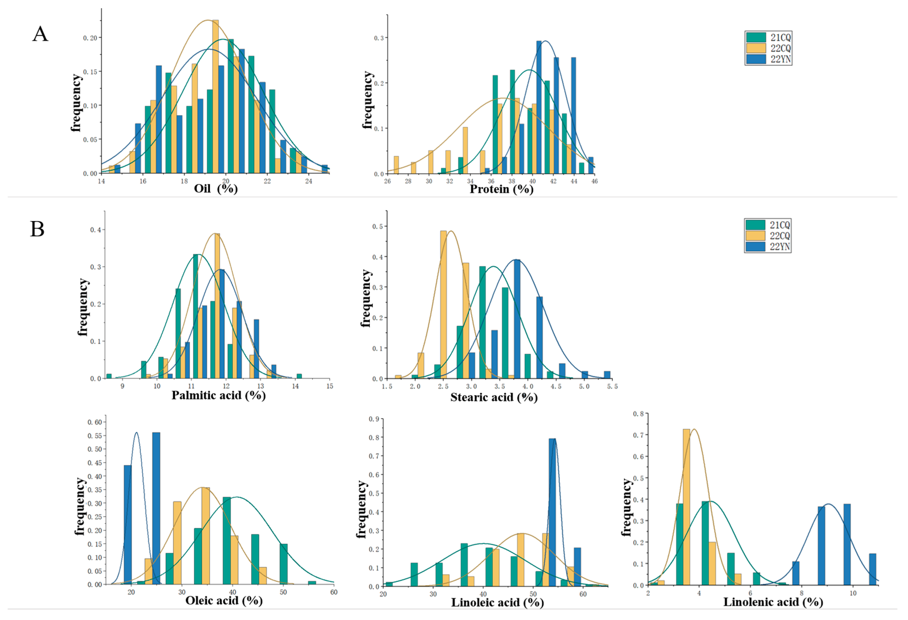
3.1. Trait Phenotype Analysis
3.2. QTL Identified for Seed Quality Traits
3.3. Identification and Analysis of QTL Clusters
3.4. Candidate Gene Prediction within Stable QTL Clusters
4. Discussion
Author Contributions
Funding
Data Availability Statement
Conflicts of Interest
References
- Wang, Z.; Tian, Z. Genomics progress will facilitate molecular breeding in soybean. Sci. China Life Sci. 2015, 58, 813–815. [Google Scholar] [CrossRef] [PubMed]
- Sun, L.; Wang, F.; Weng, Z.; Xu, Z.; Xiong, L.; Song, H.; Fang, Y.; Tang, X.; Zhao, T.; Shen, X. Establishment of a Predictive Model to Identify Suitable Soybean Genotypes for Oil Processing. J. Food Compos. Anal. 2022, 106, 104285. [Google Scholar] [CrossRef]
- Kim, I.-S.; Kim, C.-H.; Yang, W.-S. Physiologically Active Molecules and Functional Properties of Soybeans in Human Health—A Current Perspective. Int. J. Mol. Sci. 2021, 22, 4054. [Google Scholar] [CrossRef] [PubMed]
- Singh, P.; Kumar, R.; Sabapathy, S.N.; Bawa, A.S. Functional and edible uses of soy protein products. Compr. Rev. Food Sci. Food Saf. 2008, 7, 14–28. [Google Scholar] [CrossRef]
- Ham, J.O.; Chapman, K.M.; Essex-Sorlie, D.; Bakhit, R.M.; Prabhudesai, M.; Winter, L.; Potter, S.M. Endocrinological response to soy protein and fiber in mildly hypercholesterolemic men. Nutr. Res. 1993, 13, 873–884. [Google Scholar] [CrossRef]
- Erdman, J.W. Soy Protein and Cardiovascular Disease: A Statement for Healthcare Professionals From the Nutrition Committee of the AHA. Circulation 2000, 102, 2555–2559. [Google Scholar] [CrossRef]
- Hultberg, B.; Andersson, A.; Sterner, G. Plasma homocysteine in renal failure. Clin. Nephrol. 1993, 40, 230–235. [Google Scholar] [CrossRef]
- Hammond, E.G.; Fehr, W.R. Oil Quality Improvement in Soybeans-Glycine max (L.) Merr. Eur. J. Lipid Sci. Technol. 1975, 77, 3. [Google Scholar] [CrossRef]
- Panthee, D.R.; Pantalone, V.R.; Saxton, A.M. Modifier QTL for fatty acid composition in soybean oil. Euphytica 2006, 152, 67–73. [Google Scholar] [CrossRef]
- Wilson, R.F.; Burton, J.W.; Brim, C.A. Progress in the Selection for Altered Fatty Acid Composition in Soybeans1. Crop Sci. 1981, 21, 788–791. [Google Scholar] [CrossRef]
- Hartwig, E.E.; Hinson, K. Association between chemical composition of seed and seed yield of soybeans. Crop Sci. 1971, 12, 829–830. [Google Scholar] [CrossRef]
- Patil, G.; Mian, R.; Vuong, T.; Pantalone, V.; Song, Q.; Chen, P.; Shannon, G.J.; Carter, T.C.; Nguyen, H.T. Molecular mapping and genomics of soybean seed protein: A review and perspective for the future. Theor. Appl. Genet. 2017, 130, 1975–1991. [Google Scholar] [CrossRef] [PubMed]
- Apuya, N.; Frazier, B.L.; Keim, P.; Roth, E.J.; Lark, K.G. Restriction fragment length polymorphisms as genetic markers in soybean, Glycine max (L.) merrill. Theor. Appl. Genet. 1988, 75, 889–901. [Google Scholar] [CrossRef]
- Diers, B.W.; Keim, P.; Fehr, W.R.; Shoemaker, R.C. RFLP analysis of soybean seed protein and oil content. Theor. Appl. Genet. 1992, 83, 608–612. [Google Scholar] [CrossRef]
- Orf, J.H.; Chase, K.; Adler, F.R.; Mansur, L.M.; Lark, K.G. Genetics of Soybean Agronomic Traits. Crop Sci. 1999, 39, 1652–1657. [Google Scholar] [CrossRef]
- Jun, T.H.; Van, K.; Kim, M.Y.; Lee, S.H.; Walker, D.R. Association analysis using SSR markers to find QTL for seed protein content in soybean. Euphytica 2007, 162, 179–191. [Google Scholar] [CrossRef]
- Han, Y.; Teng, W.; Wang, Y.; Zhao, X.; Wu, L.; Li, D.; Li, W. Unconditional and conditional QTL underlying the genetic interrelationships between soybean seed isoflavone, and protein or oil contents. Plant Breed. 2015, 134, 300–309. [Google Scholar] [CrossRef]
- Yao, Y.; You, Q.; Duan, G.; Ren, J.; Chu, S.; Zhao, J.; Jiao, Y. Quantitative trait loci analysis of seed oil content and composition of wild and cultivated soybean. BMC Plant Biol. 2020, 20, 51. [Google Scholar] [CrossRef]
- Bing, L.; Jingyu, P.; Yueying, W.; Hu, Q.; Huang, W.; Yuan, Z.; Tang, X.; Cao, D.; Xue, Y.; Luan, X.; et al. Identification of an important QTL for seed oil content in soybean. Mol. Breed. 2023, 43, 43. [Google Scholar] [CrossRef]
- Yao, D.; Zhao, Q.Z.; Li, T.T.; Wang, J.X.; Wang, L.X.; Liu, Y.X.; Hao, W.Y.; Liu, H.J. Genetic Analysis and Quantitative Trait Locus Mapping using the Major Gene Plus Polygene Model for Soybean [Glycine max (L.) Merr.] Main Quality Trait. Legume Res. 2023, 46, 18–24. [Google Scholar] [CrossRef]
- Jiang, A.; Liu, J.; Gao, W.; Ma, R.; Tan, P.; Liu, F.; Zhang, J. Construction of a genetic map and QTL mapping of seed size traits in soybean. Front. Genet. 2023, 14, 1248315. [Google Scholar] [CrossRef] [PubMed]
- Kim, K.S.; Diers, B.W.; Hyten, D.L.; Rouf, M.M.A.; Shannon, J.G.; Nelson, R.L. Identification of positive yield QTL alleles from exotic soybean germplasm in two backcross populations. Theor. Appl. Genet. 2012, 125, 1353–1369. [Google Scholar] [CrossRef] [PubMed]
- Pereira, G.D.S.; Gemenet, D.C.; Mollinari, M.; Olukolu, B.A.; Wood, J.C.; Diaz, F.; Mosquera, V.; Gruneberg, W.J.; Khan, A.; Buell, C.R.; et al. Multiple QTL mapping in autopolyploids: A random-effect model approach with application in a hexaploid sweetpotato full-Sib population. Genet 2020, 215, 579–595. [Google Scholar] [CrossRef]
- Manly, K.F.; Olson, J.M. Overview of QTL mapping software and introduction to map manager QT. Mamm. Genome 1999, 10, 327–334. [Google Scholar] [CrossRef] [PubMed]
- Voorrips, R.E. MapChart: Software for the Graphical Presentation of Linkage Maps and QTLs. J. Hered. 2002, 93, 77–78. [Google Scholar] [CrossRef] [PubMed]
- Wang, H.; Jia, J.; Cai, Z.; Duan, M.; Jiang, Z.; Xia, Q.; Ma, Q.; Lian, T.; Nian, H. Identification of quantitative trait loci (QTLs) and candidate genes of seed iron and zinc content in soybean [Glycine max (L.) merr.]. BMC Genom. 2022, 23, 146. [Google Scholar] [CrossRef]
- Primomo, V.S.; Falk, D.E.; Ablett, G.R.; Tanner, J.W.; Rajcan, I. Genotype × environment interactions, stability, and agronomic performance of soybean with altered fatty acid profiles. Crop Sci. 2002, 42, 37–44. [Google Scholar] [CrossRef]
- Li, X.; Shao, Z.; Tian, R.; Zhang, H.; Du, H.; Kong, Y.; Li, W.L.; Zhang, C. Mining QTLs and candidate genes for seed protein and oil contents across multiple environments and backgrounds in soybean. Mol. Breed. 2019, 39, 139–154. [Google Scholar] [CrossRef]
- Li, Y.; Reif, J.C.; Ma, Y.; Hong, H.; Liu, Z.; Chang, R.; Qiu, L. Targeted association mapping demonstrating the complex molecular genetics of fatty acid formation in soybean. BMC Genom. 2015, 16, 841. [Google Scholar] [CrossRef]
- Seo, J.H.; Kim, K.S.; Ko, J.M.; Choi, M.S.; Kang, B.K.; Kwon, S.W.; Jun, T.H. Quantitative trait locus analysis for soybean (Glycine max) seed protein and oil concentrations using selected breeding populations. Plant Breed. 2018, 138, 95–104. [Google Scholar] [CrossRef]
- Whiting, R.M.; Torabi, S.; Lukens, L.; Eskandari, M. Genomic regions associated with important seed quality traits in food-grade soybeans. BMC Plant Biol. 2020, 20, 485. [Google Scholar] [CrossRef] [PubMed]
- Priolli, R.H.G.; Campos, J.B.; Stabellini, N.S.; Pinheiro, J.B.; Vello, N.A. Association mapping of oil content and fatty acid components in soybean. Euphytica 2014, 203, 83–96. [Google Scholar] [CrossRef]
- Blaskovic, S.; Adibekian, A.; Blanc, M.; van der Goot, G.F. Mechanistic effects of protein palmitoylation and the cellular consequences thereof. Chem. Phys. Lipids 2014, 180, 44–52. [Google Scholar] [CrossRef] [PubMed]
- Yurchenko, O.P.; Weselake, R.J. Involvement of low molecular mass soluble acyl-CoA-binding protein in seed oil biosynthesis. New Biotechnol. 2011, 28, 97–109. [Google Scholar] [CrossRef]
- Weeda, S.M.; Kumar, G.N.M.; Knowles, N.R. Correlative changes in proteases and protease inhibitors during mobilization of protein from potato (Solanum tuberosum L.) seed tubers. Funct. Plant Biol. 2010, 37, 32–42. [Google Scholar] [CrossRef]
- Luo, M.J.; Lu, B.S.; Shi, Y.X.; Zhao, Y.X.; Liu, J.L.; Zhang, C.Y. Genetic basis of the oil biosynthesis in ultra-high-oil maize grains with an oil content exceeding 20%. Front. Plant Sci. 2023, 14, 1168216. [Google Scholar] [CrossRef]
- Abdul, W.; Aliyu, S.R.; Lin, L.; Sekete, M.; Chen, X.; Otieno, F.J.; Yang, T.; Lin, Y.H.; Norvienyeku, J.; Wang, Z.H. Family-four aldehyde dehydrogenases play an indispensable role in the pathogenesis of Magnaporthe oryzae. Front. Plant Sci. 2018, 9, 980. [Google Scholar] [CrossRef]
- Moin, M.; Saha, A.; Bakshi, A.; Madhav, M.S.; Kirti, P.B. Constitutive expression of ribosomal protein L6 modulates salt tolerance in rice transgenic plants. Gene 2021, 789, 145670. [Google Scholar] [CrossRef]






| Trait (%) | Env. | Parent | Population | ||||||||
|---|---|---|---|---|---|---|---|---|---|---|---|
| CJC2 | JY166 | Min | Max | Mean | SD | Variance | CV (%) | Skewness | Kurtosis | ||
| Oil | 21CQ | 18.95 | 22.01 | 16.85 | 23.43 | 20.00 | 2.01 | 4.03 | 10.00 | −0.09 | −1.17 |
| 22CQ | 19.43 | 22.12 | 14.98 | 23.81 | 19.10 | 1.85 | 3.42 | 9.70 | 0.16 | −0.17 | |
| 22YN | 18.55 | 21.56 | 14.84 | 24.70 | 19.19 | 2.28 | 5.20 | 11.90 | 0.06 | −0.78 | |
| Protein | 21CQ | 42.98 | 37.90 | 32.44 | 44.15 | 38.31 | 2.78 | 7.75 | 7.30 | 0.29 | 0.64 |
| 22CQ | 43.10 | 37.30 | 26.69 | 43.93 | 37.15 | 4.34 | 18.84 | 11.70 | −0.59 | −0.38 | |
| 22YN | 42.08 | 39.20 | 35.48 | 45.25 | 41.24 | 1.92 | 3.70 | 4.70 | −0.26 | −0.08 | |
| Palmitic acid | 21CQ | 11.67 | 10.23 | 8.98 | 14.48 | 11.21 | 0.74 | 0.55 | 6.60 | 0.51 | 4.05 |
| 22CQ | 11.32 | 10.40 | 9.82 | 13.37 | 11.70 | 0.63 | 0.40 | 5.40 | −0.34 | 0.76 | |
| 22YN | 11.62 | 10.78 | 10.40 | 13.17 | 11.83 | 0.64 | 0.41 | 5.40 | 0.06 | −0.65 | |
| Stearic acid | 21CQ | 4.09 | 2.98 | 2.20 | 4.40 | 3.39 | 0.43 | 0.19 | 12.80 | −0.17 | 0.09 |
| 22CQ | 3.27 | 2.79 | 2.07 | 3.66 | 2.64 | 0.27 | 0.07 | 10.10 | 0.84 | 2.10 | |
| 22YN | 4.31 | 3.35 | 2.88 | 5.39 | 3.79 | 0.48 | 0.23 | 12.70 | 0.76 | 1.44 | |
| Oleic acid | 21CQ | 32.56 | 30.98 | 23.16 | 55.32 | 40.80 | 7.04 | 49.58 | 17.30 | −0.08 | −0.47 |
| 22CQ | 33.26 | 31.38 | 22.10 | 46.58 | 34.09 | 5.60 | 31.35 | 16.40 | 0.30 | −0.42 | |
| 22YN | 21.49 | 19.87 | 17.64 | 24.51 | 21.03 | 1.52 | 2.31 | 7.20 | 0.12 | −0.56 | |
| Linoleic acid | 21CQ | 49.56 | 52.30 | 43.33 | 60.01 | 50.07 | 8.35 | 69.74 | 20.80 | 0.04 | −0.55 |
| 22CQ | 48.97 | 51.97 | 42.11 | 62.06 | 49.72 | 6.50 | 42.22 | 13.60 | −0.38 | −0.24 | |
| 22YN | 53.16 | 55.23 | 52.08 | 57.21 | 54.31 | 1.08 | 1.17 | 2.00 | 0.24 | 0.16 | |
| Linolenic acid | 21CQ | 4.71 | 3.34 | 2.93 | 7.52 | 4.43 | 0.94 | 0.88 | 21.20 | 0.90 | 0.74 |
| 22CQ | 4.68 | 3.45 | 2.92 | 5.55 | 3.80 | 0.55 | 0.30 | 14.40 | 1.25 | 1.44 | |
| 22YN | 9.42 | 8.23 | 7.49 | 10.63 | 9.04 | 0.81 | 0.66 | 9.00 | 0.02 | −0.99 | |
| Trait | Item | SS | df | MS | F-Value |
|---|---|---|---|---|---|
| Oil | Gen. | 18.87 | 185 | 18.87 | 2.14 ** |
| Env. | 279.47 | 2 | 279.47 | 29.41 ** | |
| Protein | Gen. | 6.35 | 185 | 6.35 | 3.21 ** |
| Env. | 0.09 | 2 | 0.09 | 0.03 | |
| Palmitic acid | Gen. | 0.63 | 185 | 0.63 | 3.27 ** |
| Env. | 0.43 | 2 | 0.43 | 1.27 ** | |
| Stearic acid | Gen. | 0.24 | 185 | 0.24 | 0.59 |
| Env. | 26.78 | 2 | 26.78 | 207.94 ** | |
| Oleic acid | Gen. | 23.30 | 185 | 23.30 | 0.46 |
| Env. | 3521.84 | 2 | 3521.84 | 267.75 ** | |
| Linoleic acid | Gen. | 29.10 | 185 | 29.10 | 1.34 ** |
| Env. | 907.73 | 2 | 907.73 | 53.60 ** | |
| Linolenic acid | Gen. | 0.75 | 185 | 0.75 | 0.11 |
| Env. | 557.50 | 2 | 557.50 | 1398.83 ** |
| QTL | Env. a | Chr. | Nearest Maker | Interval (cm) | LOD | PVE (%) b | Additive | Dominance |
|---|---|---|---|---|---|---|---|---|
| qOIL01.1 | 22CQ | 1 | SWU01110 | 94.90–98.90 | 8.04 | 18.4 | 0.64 | 1.38 |
| 22YN | 1 | SWU01110 | 94.90–98.90 | 5.55 | 14.4 | −0.93 | 0.65 | |
| qOIL02.1 | 22YN | 2 | GMES008 | 0.59–4.59 | 7.08 | 18.0 | 0.46 | 1.95 |
| qOIL03.1 | 22YN | 3 | SWU03115 | 80.89–86.59 | 4.55 | 12.0 | −0.92 | 0.57 |
| qOIL04.1 | 22YN | 4 | SWU04121 | 64.13–66.44 | 4.40 | 11.6 | −0.42 | 1.65 |
| qOIL05.1 | 22YN | 5 | satt211 | 152.69–155.32 | 5.71 | 14.8 | −2.01 | −0.54 |
| qOIL06.1 | 22YN | 6 | SWU06046 | 25.73–30.08 | 7.50 | 19.0 | −1.08 | 0.94 |
| qOIL07.1 | 22YN | 7 | SWU07049 | 79.47–87.73 | 7.57 | 19.2 | −1.47 | −0.52 |
| qOIL08.1 | 22YN | 8 | SWU08015 | 123.74–126.85 | 6.68 | 17.1 | −1.25 | 0.06 |
| qOIL09.1 | 22CQ | 9 | GMES054 | 98.02–109.02 | 4.40 | 10.5 | −0.24 | −1.28 |
| qOIL11.1 | 22YN | 11 | SWU11125 | 85.35–101.51 | 4.83 | 12.7 | −1.19 | 0.76 |
| qOIL12.1 | 22CQ | 12 | satt279 | 1.00–2.21 | 4.15 | 10.0 | 0.69 | −0.63 |
| 22YN | 12 | satt279 | 1.00–3.21 | 5.13 | 13.4 | 1.06 | 0.67 | |
| qOIL13.1 | 22YN | 13 | sat298 | 0–11.74 | 4.57 | 12.0 | −0.98 | 0.66 |
| qOIL15.1 | 22YN | 15 | satt720 | 16.00–32.72 | 4.47 | 11.8 | −0.83 | 0.80 |
| qOIL16.1 | 22CQ | 16 | satt215 | 45.39–49.31 | 4.33 | 10.4 | 0.35 | −1.13 |
| qPRO01.1 | 22CQ | 1 | SWU01118 | 117.14–124.18 | 7.77 | 20.5 | 2.08 | 2.07 |
| qPRO02.1 | 21CQ | 2 | SWU02134 | 34.65–41.64 | 6.24 | 25.0 | 0.05 | −4.47 |
| qPRO03.1 | 22YN | 3 | SWU03105 | 59.59–74.89 | 6.36 | 16.4 | 0.99 | 0.41 |
| qPRO06.1 | 22CQ | 6 | sat402 | 86.84–100.86 | 4.74 | 13.1 | 2.06 | −1.91 |
| qPRO07.1 | 22CQ | 7 | SWU07046 | 60.77–66.77 | 4.64 | 12.8 | 1.68 | 1.15 |
| qPRO14.1 | 22CQ | 14 | CSSR023 | 46.81–50.43 | 9.28 | 24.0 | 3.99 | 5.21 |
| qPRO16.1 | 22YN | 16 | GMES098 | 58.09–59.25 | 4.18 | 11.1 | 0.85 | 0.14 |
| qPRO17.1 | 22CQ | 17 | satt256 | 13.27–19.39 | 6.82 | 18.2 | −0.15 | −3.89 |
| qPRO20.1 | 22CQ | 20 | sat268 | 56.14–71.47 | 4.33 | 12.0 | 2.12 | 0.23 |
| qPA01.1 | 22YN | 1 | SWU01103 | 58.72–69.88 | 8.12 | 20.4 | −0.30 | 0.49 |
| qPA02.1 | 22YN | 2 | SWU02124 | 23.43–29.52 | 8.60 | 21.5 | 0.40 | 0.41 |
| qPA03.1 | 22YN | 3 | SWU03115 | 80.89–86.59 | 8.30 | 20.8 | −0.32 | 0.25 |
| qPA06.1 | 22CQ | 6 | SWU06047 | 36.08–37.36 | 5.02 | 11.7 | −0.08 | −0.45 |
| 22YN | 6 | SWU06046 | 25.73–37.36 | 7.74 | 19.5 | −0.29 | 0.31 | |
| qPA07.1 | 22YN | 7 | SWU07048 | 77.60–82.73 | 7.84 | 19.8 | −0.35 | 0.14 |
| qPA08.1 | 22CQ | 8 | SWU08055 | 57.06–63.59 | 6.74 | 15.4 | 0.47 | 0.36 |
| qPA08.2 | 22YN | 8 | sat406 | 132.85–139.09 | 5.03 | 13.2 | 0.01 | 0.54 |
| qPA09.1 | 22YN | 9 | SWU09056 | 23.98–29.01 | 5.01 | 13.1 | −0.10 | −0.52 |
| qPA10.1 | 22YN | 10 | SWU10020 | 0–13.82 | 4.54 | 12.0 | 0.25 | 0.16 |
| qPA10.2 | 22CQ | 10 | SWU10053 | 17.82–24.99 | 5.18 | 12.0 | −0.37 | 0.24 |
| qPA11.1 | 22YN | 11 | GMES069 | 13–21.47 | 5.88 | 15.2 | 0.32 | 0.10 |
| qPA11.2 | 22CQ | 11 | SSR062 | 28.47–42.37 | 4.69 | 11.0 | −0.13 | 0.37 |
| qPA12.1 | 22YN | 12 | SWU12028 | 13.81–31.91 | 7.89 | 19.9 | 0.36 | 0.07 |
| qPA12.2 | 22YN | 12 | sat206 | 53.79–65.34 | 7.03 | 17.9 | 0.41 | 0.17 |
| qPA14.1 | 22YN | 14 | SWU14006 | 3.31–6.38 | 5.22 | 13.6 | 0.15 | 0.42 |
| qPA16.1 | 22YN | 16 | CSSR010 | 48.31–53.35 | 4.90 | 12.8 | 0.28 | 0.07 |
| qPA18.1 | 22CQ | 18 | GMES114 | 211.53–217.37 | 7.55 | 17.0 | 0.41 | 0.37 |
| qPA19.1 | 21CQ | 19 | sat340 | 12.45–21.78 | 5.32 | 12.7 | 0.29 | 0.29 |
| 22CQ | 19 | sat340 | 12.45–21.78 | 4.63 | 10.8 | 0.34 | 0.42 | |
| qPA20.1 | 22YN | 20 | satt239 | 14.38–27.26 | 5.31 | 13.8 | 0.33 | −0.08 |
| qPA20.2 | 22CQ | 20 | CSSR041 | 30.26–44.70 | 5.70 | 13.2 | 0.34 | 0.23 |
| qSA01.1 | 22CQ | 1 | satt198 | 133.48–139.37 | 6.64 | 15.2 | −0.14 | 0.05 |
| qSA02.1 | 22CQ | 2 | SWU02038 | 27.01–32.19 | 4.98 | 11.6 | −0.07 | 0.19 |
| qSA03.1 | 22CQ | 3 | SWU03115 | 75.89–87.59 | 7.75 | 17.5 | −0.15 | 0.03 |
| qSA04.1 | 22CQ | 4 | GMES017 | 6.89–9.81 | 5.88 | 13.5 | −0.11 | 0.16 |
| qSA05.1 | 22CQ | 5 | sat171 | 101.42–108.77 | 5.92 | 13.6 | −0.08 | 0.13 |
| qSA05.2 | 21CQ | 5 | SWU05120 | 149.69–159.90 | 7.95 | 18.4 | −0.28 | −0.21 |
| qSA06.1 | 22CQ | 6 | SWU06049 | 37.36–47.51 | 6.37 | 14.6 | −0.15 | 0.03 |
| qSA07.1 | 22CQ | 7 | SWU07038 | 42.64–49.10 | 7.03 | 16.0 | −0.12 | 0.02 |
| qSA08.1 | 22CQ | 8 | CSSR054 | 30.72–40.15 | 6.49 | 14.8 | −0.13 | 0.00 |
| qSA10.1 | 21CQ | 10 | sat190 | 0–4.00 | 4.42 | 10.7 | −0.13 | −0.34 |
| qSA11.1 | 21CQ | 11 | SWU11128 | 91.66–100.83 | 6.10 | 14.5 | −0.22 | 0.30 |
| qSA12.1 | 22YN | 12 | satt293 | 39.07–54.79 | 4.50 | 11.9 | −0.29 | −0.34 |
| qSA13.1 | 22YN | 13 | satt145 | 37.00–43.56 | 5.67 | 14.7 | −0.18 | −0.27 |
| qSA13.2 | 21CQ | 13 | sat417 | 106.37–121.52 | 5.78 | 13.7 | −0.17 | −0.32 |
| 22CQ | 13 | GMES088 | 106.37–121.52 | 5.02 | 11.7 | −0.07 | 0.13 | |
| qSA14.1 | 21CQ | 14 | GMES090 | 33.87–39.81 | 6.65 | 15.7 | −0.26 | −0.16 |
| 22CQ | 14 | GMES090 | 33.87–39.81 | 8.24 | 18.5 | −0.15 | 0.06 | |
| 22YN | 14 | SSR058 | 31.29–39.19 | 4.09 | 10.8 | −0.21 | −0.11 | |
| qSA16.1 | 21CQ | 16 | satt285 | 0–8.31 | 7.50 | 17.5 | −0.11 | −0.40 |
| qSA17.1 | 21CQ | 17 | satt543 | 41.79–52.73 | 4.61 | 11.1 | −0.19 | 0.28 |
| qSA18.1 | 22YN | 18 | sat094 | 146.61–147.76 | 4.42 | 11.7 | −0.21 | −0.13 |
| qSA19.1 | 22YN | 19 | GMES118 | 52.76–56.89 | 5.00 | 13.1 | 0.15 | −0.24 |
| qSA20.1 | 22YN | 20 | sat105 | 20.98–35.26 | 4.87 | 12.8 | −0.28 | −0.32 |
| qOA01.1 | 22YN | 1 | SWU01114 | 114.86–116.14 | 4.33 | 11.5 | 0.38 | 1.04 |
| qOA02.1 | 22CQ | 2 | SWU02136 | 45.64–51.63 | 8.24 | 18.5 | −2.92 | 0.07 |
| qOA06.1 | 22YN | 6 | CSSR071 | 186.36–189.72 | 5.77 | 15.0 | 0.78 | 0.05 |
| qOA07.1 | 22YN | 7 | satt175 | 106.52–110.87 | 4.20 | 11.1 | 0.68 | −0.48 |
| qOA08.1 | 22YN | 8 | CSSR054 | 31.72–39.15 | 5.32 | 13.9 | 0.73 | −0.11 |
| qOA09.1 | 21CQ | 9 | satt417 | 28.01–44.11 | 4.50 | 10.6 | −0.68 | 3.57 |
| qOA11.1 | 22CQ | 11 | SSR062 | 26.47–36.60 | 5.74 | 13.2 | −1.19 | 3.62 |
| qOA13.1 | 22YN | 13 | satt335 | 80.03–92.83 | 6.17 | 15.9 | 0.93 | 0.30 |
| qOA14.1 | 22YN | 14 | SSR019 | 16.10–19.70 | 4.07 | 10.8 | 0.55 | −0.35 |
| qOA16.1 | 22CQ | 16 | sat165 | 31.31–46.39 | 4.88 | 11.4 | −1.96 | 3.18 |
| qOA18.1 | 22CQ | 18 | GMES114 | 213.53–217.37 | 6.51 | 14.9 | 3.11 | 0.03 |
| qLA02.1 | 22CQ | 2 | SWU02136 | 45.64–52.40 | 7.49 | 16.9 | 3.22 | −0.30 |
| qLA03.1 | 22CQ | 3 | SWU03105 | 63.59–65.89 | 4.03 | 9.5 | 2.35 | −1.83 |
| qLA06.1 | 22YN | 6 | satt202 | 177.43–189.72 | 5.59 | 14.5 | −0.55 | 0.07 |
| qLA07.1 | 22YN | 7 | CSSR018 | 6.90–8.74 | 5.99 | 15.5 | −0.32 | 0.69 |
| qLA08.1 | 22YN | 8 | CSSR054 | 33.72–42.15 | 4.42 | 11.7 | −0.47 | −0.09 |
| qLA09.1 | 22CQ | 9 | satt417 | 35.32–44.11 | 4.77 | 11.1 | 0.89 | −4.22 |
| qLA11.1 | 21CQ | 11 | satt583 | 35.60–43.37 | 4.07 | 9.9 | 4.43 | −2.05 |
| 22CQ | 11 | SSR062 | 26.47–37.60 | 6.20 | 14.2 | 1.43 | −4.37 | |
| qLA13.1 | 22YN | 13 | sat120 | 46.45–57.22 | 8.26 | 20.7 | −0.74 | −0.20 |
| qLA16.1 | 22CQ | 16 | sat165 | 31.31–45.39 | 4.92 | 11.5 | 2.09 | −3.89 |
| qLA18.1 | 22CQ | 18 | GMES114 | 213.53–217.37 | 6.51 | 14.9 | −3.70 | −0.38 |
| qLNA01.1 | 22YN | 1 | SWU01114 | 113.86–116.14 | 6.85 | 17.5 | 0.08 | −0.70 |
| qLNA02.1 | 22CQ | 2 | SWU02115 | 14.44–14.51 | 4.03 | 9.5 | −0.18 | −0.21 |
| 22YN | 2 | SWU02115 | 13.11–15.51 | 5.42 | 14.1 | −0.15 | −0.58 | |
| qLNA03.1 | 22CQ | 3 | satt549 | 100.08–100.90 | 4.38 | 10.3 | 0.13 | 0.46 |
| qLNA05.1 | 22YN | 5 | CSSR011 | 43.73–48.94 | 5.27 | 13.8 | 0.13 | −0.84 |
| qLNA07.1 | 22YN | 7 | SWU07049 | 81.47–86.73 | 5.22 | 13.6 | 0.37 | 0.35 |
| qLNA10.1 | 22CQ | 10 | GMES063 | 11.00–11.60 | 4.20 | 9.9 | 0.01 | 0.37 |
| qLNA17.1 | 22CQ | 17 | satt672 | 2.00–6.85 | 5.33 | 12.4 | −0.23 | 0.11 |
| qLNA18.1 | 22CQ | 18 | satt501 | 142.54–143.40 | 5.38 | 12.5 | 0.01 | 0.46 |
| Clusters | Chr. | Interval | Position (bp) | QTLs | PVE (%) |
|---|---|---|---|---|---|
| Loci01.1 | 1 | SWU01109-SWU01123 | 44466210–48412121 | qPro01.1 qOA01.1 qLNA01.1 | 17.5–20.5 |
| Loci02.1 | 2 | SWU02139-satt703 | 41717826–42580900 | qOA02.1 qLA02.1 | 16.9–18.5 |
| Loci03.1 | 3 | SWU03105-satt549 | 2786413–37342918 | qOIL03.1 qPA03.1 qSA03.1 | 12.0–20.8 |
| Loci05.1 | 5 | SWU05127-SWU05120 | 40080446–41448032 | qOIL05.1 qSA05.2 | 14.8–18.4 |
| Loci06.1 | 6 | SWU06046-sat213 | 8505693–11903768 | qOIL06.1 qPA06.1 qSA06.1 | 14.6–19.5 |
| Loci06.2 | 6 | satt708-GMES032 | 40461921–47934390 | qOA06.1 qLA06.1 | 14.5–15.0 |
| Loci07.1 | 7 | SWU07047-SWU07049 | 8992988–9382826 | qOIL07.1 qPA07.1 qLNA07.1 | 13.6–19.2 |
| Loci08.1 | 8 | satt233-satt424 | 10633908–17232172 | qSA08.1 qOA08.1 qLA08.1 | 11.7–14.8 |
| Loci09.1 | 9 | satt544-sat281 | 11261508–16046181 | qPA09.1 qOA09.1 qLA09.1 | 10.6–13.1 |
| Loci10.1 | 10 | SWU10024-SWU10053 | 3532259–7394838 | qPA10.1 qSA10.1 | 10.7–12.0 |
| Loci11.1 | 11 | GMES069-sat348 | 12781503–26865200 | qPA11.2 qOA11.1 qLA11.1 | 11.0–14.2 |
| Loci11.2 | 11 | SWU11123-SSR057 | 29910416–31543053 | qOIL11.1 qSA11.1 | 12.7–14.5 |
| Loci12.1 | 12 | satt302-sat218 | 35082852–37556872 | qPA12.2 qSA12.1 | 11.9–17.9 |
| Loci16.1 | 16 | sat165-sat366 | 27158682–30404834 | qOIL16.1 qPA16.1 qOA16.1 qLA16.1 | 11.1–17.5 |
| Loci18.1 | 18 | GMES107-GMES114 | 51907621–54872565 | qPA18.1 qOA18.1 qLA18.1 | 14.9–17.0 |
| Loci20.1 | 20 | SWU20050-satt270 | 23513366–35362794 | qPA20.1 qSA20.1 | 12.8–13.8 |
| GO ID | Gene | Gene Functional Annotation |
|---|---|---|
| GO:0005576 | Glyma.01g130100 | Tryp_alpha_amyl |
| GO:0005576 | Glyma.01g130200 | Tryp_alpha_amyl |
| GO:0005576 | Glyma.01g132500 | Tryp_alpha_amyl |
| GO:0005576 | Glyma.01g132600 | Tryp_alpha_amyl |
| GO:0005829 | Glyma.01g131400 | SapB_1; SapB_2 |
| GO:0005886 | Glyma.01g136000 | Motile_Sperm |
| GO:0005794 | Glyma.01g142300 | DHHC (Aspartate-histidine-histidine-cysteine) |
| GO:0016020 | Glyma.06g109500 | Oxysterol-binding protein; PH domain |
| GO:0016020 | Glyma.06g124000 | Glycolipid transfer protein (GLTP) |
| GO:0005886 | Glyma.06g131200 | Ankyrin repeat; Acyl CoA binding protein |
| GO:0016020 | Glyma.06g111400 | emp24/gp25L/p24 family/GOLD |
| GO:0016020 | Glyma.06g114300 | Aldehyde dehydrogenase family |
| GO:0016020 | Glyma.06g114700 | Thioredoxin |
| GO:0005794 | Glyma.06g114800 | Thioredoxin |
| GO:0005576 | Glyma.06g115100 | Peptidase dimerisation domain; Peptidase family M20/M25/M40 |
| GO:0005783 | Glyma.06g116700 | Keratinocyte-associated protein 2 |
| GO:0005634 | Glyma.06g118500 | Chalcone and stilbene synthases, C-terminal domain |
| GO:0005634 | Glyma.06g118600 | Chalcone and stilbene synthases, N-terminal domain |
| GO:0016020 | Glyma.06g122200 | Sugar efflux transporter for intercellular exchange |
| GO:0016020 | Glyma.06g123200 | EamA-like transporter family |
| GO:0016020 | Glyma.06g123300 | EamA-like transporter family |
| GO:0016020 | Glyma.06g133300 | Cytochrome b5-like Heme/Steroid binding domain |
| GO:0005840 | Glyma.06g138400 | Ribosomal protein L6 |
| GO:0005840 | Glyma.06g138600 | Ribosomal protein L6 |
| GO:0005840 | Glyma.06g138700 | Ribosomal protein L6 |
| GO:0005840 | Glyma.06g140900 | Ribosomal protein L16p/L10e |
| GO:0005840 | Glyma.06g144400 | Ribosomal protein S26e |
| GO:0005840 | Glyma.11g158500 | Ribosomal protein S19e |
| GO:0005783 | Glyma.11g160100 | Sybindin-like family |
| GO:0005886 | Glyma.11g174100 | Domain of unknown function (DUF3474); Fatty acid desaturase |
| GO:0006629 | Glyma.11g190400 | Lecithin:cholesterol acyltransferase |
| GO:0005576 | Glyma.11g190600 | GDSL-like Lipase/Acylhydrolase |
Disclaimer/Publisher’s Note: The statements, opinions and data contained in all publications are solely those of the individual author(s) and contributor(s) and not of MDPI and/or the editor(s). MDPI and/or the editor(s) disclaim responsibility for any injury to people or property resulting from any ideas, methods, instructions or products referred to in the content. |
© 2023 by the authors. Licensee MDPI, Basel, Switzerland. This article is an open access article distributed under the terms and conditions of the Creative Commons Attribution (CC BY) license (https://creativecommons.org/licenses/by/4.0/).
Share and Cite
Liu, J.; Jiang, A.; Ma, R.; Gao, W.; Tan, P.; Li, X.; Du, C.; Zhang, J.; Zhang, X.; Zhang, L.; et al. QTL Mapping for Seed Quality Traits under Multiple Environments in Soybean (Glycine max L.). Agronomy 2023, 13, 2382. https://doi.org/10.3390/agronomy13092382
Liu J, Jiang A, Ma R, Gao W, Tan P, Li X, Du C, Zhang J, Zhang X, Zhang L, et al. QTL Mapping for Seed Quality Traits under Multiple Environments in Soybean (Glycine max L.). Agronomy. 2023; 13(9):2382. https://doi.org/10.3390/agronomy13092382
Chicago/Turabian StyleLiu, Jiaqi, Aohua Jiang, Ronghan Ma, Weiran Gao, Pingting Tan, Xi Li, Chengzhang Du, Jijun Zhang, Xiaochun Zhang, Li Zhang, and et al. 2023. "QTL Mapping for Seed Quality Traits under Multiple Environments in Soybean (Glycine max L.)" Agronomy 13, no. 9: 2382. https://doi.org/10.3390/agronomy13092382
APA StyleLiu, J., Jiang, A., Ma, R., Gao, W., Tan, P., Li, X., Du, C., Zhang, J., Zhang, X., Zhang, L., Fang, X., Yi, Z., & Zhang, J. (2023). QTL Mapping for Seed Quality Traits under Multiple Environments in Soybean (Glycine max L.). Agronomy, 13(9), 2382. https://doi.org/10.3390/agronomy13092382

