Optimizing Fertilizer Management Practices in Summer Maize Fields in the Yellow River Basin
Abstract
:1. Introduction
2. Materials and Methods
2.1. Overview and Soil Characteristics of the Study Area
2.2. Experimental Design
2.3. Measurement Items and Methods
2.3.1. Soil Nitrogen Determination
2.3.2. Maize Yield
2.3.3. Nitrogen Use Efficiency and Nitrogen Leaching
2.4. NSGA-II
2.5. HYDRUS Models
2.5.1. Water and Nitrogen Transport Equations
2.5.2. Root System Water Uptake Equation
2.5.3. Crop Transpiration Rate
2.5.4. Initial and Boundary Conditions
2.5.5. Parameter Selection
3. Results
3.1. Model Validation
3.2. Effect of Different Irrigation and Fertilizer Treatments on Maize Yield, NE, and NL
3.2.1. Effect of Different Irrigation and Fertilizer Treatments on Maize Yield
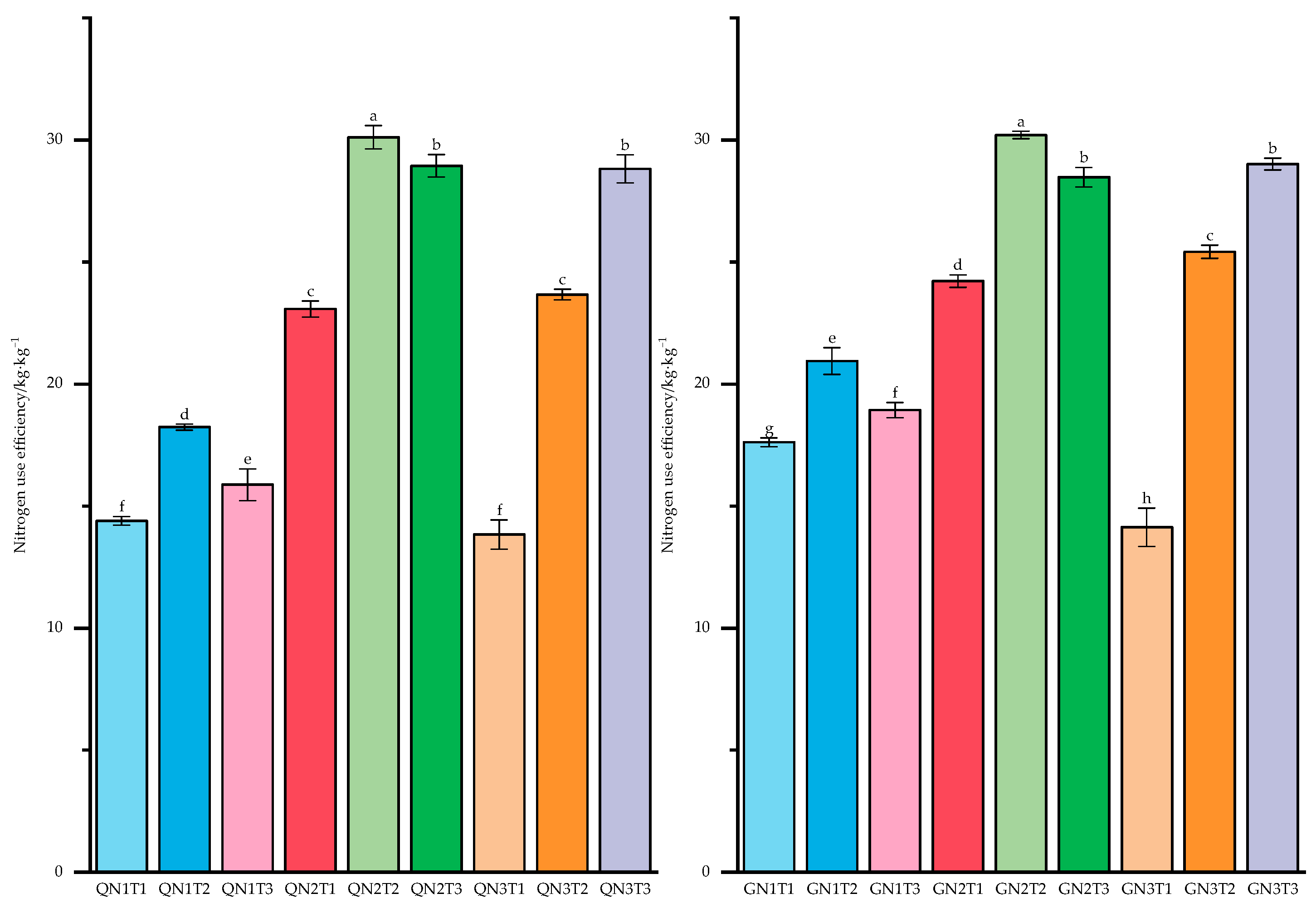
3.2.2. Effect of Different Irrigation and Fertilizer Control Methods on NE
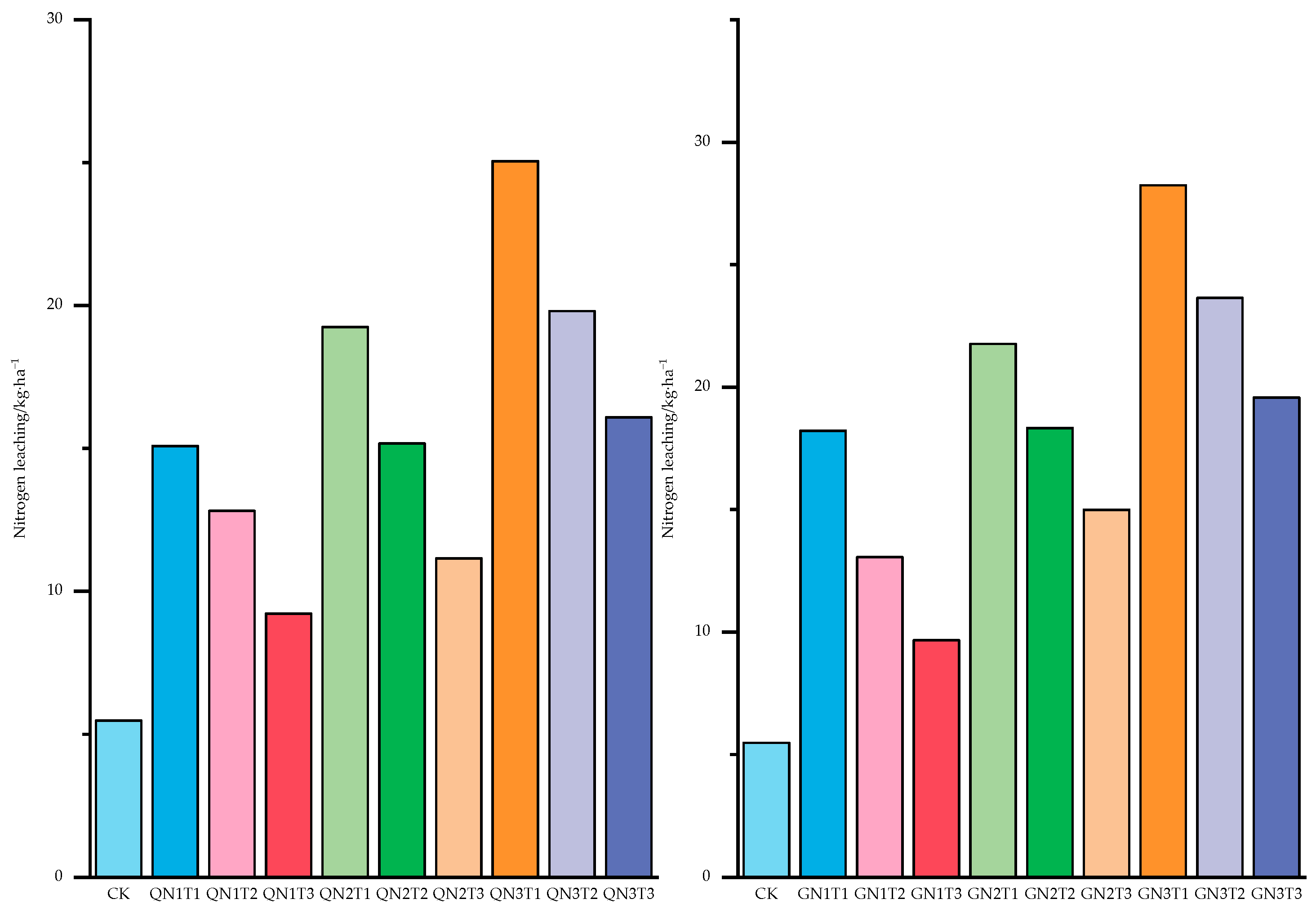
3.2.3. Effect of Different Irrigation and Fertilizer Control Methods on NL
3.3. Genetic Algorithm-Based Optimization of Yield, NE, and NL Combinations
4. Discussion
5. Conclusions
- (1)
- The rate optimized HYDRUS model demonstrates enhanced capabilities in simulating soil water solute movement, thus qualifying the HYDRUS model for NL simulations.
- (2)
- The irrigation method, fertilizer application frequency, and fertilizer rate significantly impact yield, NE, and NL. However, the combined effects of these three factors were found to be insignificant for yield and NL, and significant for NE. Notably, the increment in the fertilizer application frequency significantly diminishes NL.
- (3)
- A multi-objective optimization model, encompassing summer maize yield, NE, and NL, was developed and solved using a genetic algorithm. This approach yielded the optimal irrigation method and fertilizer control combination for the GN2T2 treatment. At this optimal point, the summer maize yield was 14,077 kg/ha, NE was 30.21 kg·kg−1, and NL was 17.64 kg/ha.
Author Contributions
Funding
Data Availability Statement
Conflicts of Interest
References
- Ma, Y. Accelerating the modernization of irrigation districts and the application of water-saving technologies to promote ecological protection and high-quality development in the Yellow River basin–An interview with Kang Shaozhong, academician of the Chinese Academy of Engineering. China Water Resour. 2021, 33, 4–7. [Google Scholar]
- Xu, R.; Shi, J.; Hao, D.; Ding, Y.; Gao, J. Research on Temporal and Spatial Differentiation and Impact Paths of Agricultural Grey Water Footprints in the Yellow River Basin. Water 2022, 14, 2759. [Google Scholar] [CrossRef]
- Qing, Y.; Zhao, B.; Wen, C. The Coupling and Coordination of Agricultural Carbon Emissions Efficiency and Economic Growth in the Yellow River Basin, China. Sustainability 2023, 15, 971. [Google Scholar] [CrossRef]
- Souza, E.J.D.; Cunha, F.F.D.; Magalhães, F.F.; Silva, T.R.D.; Santos, O.F.D. Effect of irrigation and nitrogen fertilization on agronomic traits of sweet corn. Pesqui. Agropecuária Trop. 2015, 45, 282–290. [Google Scholar] [CrossRef]
- Liu, C.-A.; Zhou, L.-M.; Feng, Q.; Li, X.; Pan, C.-C.; Wang, L.; Chen, J.-L.; Li, X.-G.; Jia, Y.; Siddique, K.H.; et al. Effects of water management with plastic film in a semi-arid agricultural system on available soil carbon fractions. Eur. J. Soil Biol. 2013, 57, 9–12. [Google Scholar] [CrossRef]
- Davidson, E.A. The contribution of manure and fertilizer nitrogen to atmospheric nitrous oxide since 1860. Nat. Geosci. 2009, 2, 659–662. [Google Scholar] [CrossRef]
- Morell, F.; Lampurlanés, J.; Álvaro-Fuentes, J.; Cantero-Martínez, C. Yield and water use efficiency of barley in a semiarid Mediterranean agroecosystem: Long-term effects of tillage and N fertilization. Soil Tillage Res. 2011, 117, 76–84. [Google Scholar] [CrossRef]
- Reay, D.S.; Davidson, E.A.; Smith, K.A.; Smith, P.; Melillo, J.M.; Dentener, F.; Crutzen, P.J. Global agriculture and nitrous oxide emissions. Nat. Clim. Chang. 2012, 2, 410–416. [Google Scholar] [CrossRef]
- Zhou, J.; Gu, B.; Schlesinger, W.H.; Ju, X. Significant accumulation of nitrate in Chinese semi-humid croplands. Sci. Rep. 2016, 6, 25088. [Google Scholar] [CrossRef]
- Lu, J.; Hu, T.; Zhang, B.; Wang, L.; Yang, S.; Fan, J.; Yan, S.; Zhang, F. Nitrogen fertilizer management effects on soil nitrate leaching, grain yield and economic benefit of summer maize in Northwest China. Agric. Water Manag. 2021, 247, 106739. [Google Scholar] [CrossRef]
- Piazzoli, D.; Sapucay, M.J.L.D.C.; Prando, A.M.; Oliveira Júnior, J.A.D.; Zucareli, C. Plant density and nitrogen topdressing of high-altitude main-season corn. Semina Ciências Agrárias 2021, 42, 2651–2668. [Google Scholar] [CrossRef]
- Jia, X.; Shao, L.; Liu, P.; Zhao, B.; Gu, L.; Dong, S.; Bing, S.H.; Zhang, J.; Zhao, B. Effect of different nitrogen and irrigation treatments on yield and nitrate leaching of summer maize (Zea mays L.) under lysimeter conditions. Agric. Water Manag. 2014, 137, 92–103. [Google Scholar] [CrossRef]
- Pan, J.; Meng, Q.; Chen, R.; Cui, Z.; Chen, X. In-Season Nitrogen Management to Increase Grain Yields in Maize Production. Agron. J. 2017, 109, 2063–2071. [Google Scholar] [CrossRef]
- Han, K.; Yang, Y.; Zhou, C.; Shangguan, Y.; Zhang, L.; Li, N.; Wang, L. Management of Furrow Irrigation and Nitrogen Application on Summer Maize. Agron. J. 2014, 106, 1402–1410. [Google Scholar] [CrossRef]
- Xu, Z.; Shi, H.B.; Li, X.Y.; Zhou, H.; Fu, X.J.; Li, Z.Z. Response of Maize Yield to Irrigation and Nitrogen Rate in Different Salinization Farmlands. Trans. Chin. Soc. Agric. Mach. 2019, 50, 334–343. [Google Scholar]
- Zhao, W.; Zhang, M.; Li, J.; Li, Y. Effects of urea concentration on summer maize growth and yield with sprinkler fertigation. Trans. Chin. Soc. Agric. Eng. 2020, 36, 98–105. [Google Scholar]
- Fuentes, L.F.G.; de Souza, L.C.F.; Serra, A.P.; Rech, J.; Vitorino, A.C.T. Corn agronomic traits and recovery of nitrogen from fertilizer during crop season and off-season. Pesqui Agropecu Bras 2018, 53, 1158–1166. [Google Scholar] [CrossRef]
- Nie, K.; Nie, W.; Bai, Q. Numerical simulation and influence factors analysis for infiltration characteristics of nitrate nitrogen under furrow irrigation with fertilizer solution. Trans. Chin. Soc. Agric. Eng. 2019, 35, 128–139. [Google Scholar]
- Bai, J.; Ye, X.; Zhi, Y.; Gao, H.; Huang, L.; Xiao, R.; Shao, H. Nitrate-Nitrogen Transport in Horizontal Soil Columns of the Yellow River Delta Wetland, China. CLEAN—Soil Air Water 2012, 40, 1106–1110. [Google Scholar] [CrossRef]
- Fronczyk, J.; Sieczka, A.; Lech, M.; Radziemska, M.; Lechowicz, Z. Transport of Nitrogen Compounds through Subsoils in Agricultural Areas: Column Tests. Pol. J. Environ. Stud. 2016, 25, 1505–1514. [Google Scholar] [CrossRef]
- Pan, W.; Huang, Q.; Xu, Z.; Pang, G. Experimental investigation and simulation of nitrogen transport in a subsurface infiltration system under saturated and unsaturated conditions. J. Contam. Hydrol. 2020, 231, 103621. [Google Scholar] [CrossRef] [PubMed]
- Ali, A.; Bennett, J.M.; Biggs, A.A.; Marchuk, A.; Ghahramani, A. Assessing the hydraulic reduction performance of HYDRUS-1D for application of alkaline irrigation in variably-saturated soils: Validation of pH driven hydraulic reduction scaling factors. Agric. Water Manag. 2021, 256, 107101. [Google Scholar] [CrossRef]
- Mekala, C.; Nambi, I.M. Understanding the hydrologic control of N cycle: Effect of water filled pore space on heterotrophic nitrification, denitrification and dissimilatory nitrate reduction to ammonium mechanisms in unsaturated soils. J. Contam. Hydrol. 2017, 202, 11–22. [Google Scholar] [CrossRef]
- Martin del Campo, M.A.; Esteller, M.V.; Morell, I.; Expósito, J.L.; Bandenay, G.L.; Morales-Casique, E. Effect of organic matter and hydrogel application on nitrate leaching in a turfgrass crop: A simulation study using HYDRUS. J. Soils Sediments 2021, 21, 1190–1205. [Google Scholar] [CrossRef]
- Lu, C.; Zhang, B.; Gao, D. Effects of nitrogen application rate and topdressing stage on dry matter accumulation and nitrogen utilization of summer maize under drip irrigation. Agric. Res. Arid. Areas 2023, 41, 122–129. [Google Scholar]
- Wang, J.D.; Zhang, Y.Q.; Sui, J.; Zhao, Y.F.; Ma, F.S. Effect of Straw Mulching and Fertilizing on the Growth and Yield of Maize under Surface Drip Irrigation. J. Irrig. Drain. 2016, 35, 1–6. [Google Scholar]
- Xiao, Q.; Li, L.; Li, H. Effects of Modified Urea Topdressing on Nitrogen Volatilization and Leaching in Winter Wheat and Summer Maize. J. Soil Water Conserv. 2020, 34, 270–279. [Google Scholar]
- Ding, D.; Yong, B.; Chen, J. Restoration Effect of Fertilizers Topdressing on Growth and Yield of Flooded Maize. J. Irrig. Drain. 2019, 38, 37–43. [Google Scholar]
- Zhang, F.C.; Yan, F.L.; Fan, X.K.; Li, G.D.; Liu, X.; Lu, J.S.; Wang, Y.; Ma, W.Q. Effects of irrigation and fertilization levels on grain yield and water-fertilizer use efficiency of drip-fertigation spring maize in Ningxia. Trans. Chin. Soc. Agric. Eng. 2018, 34, 111–120. [Google Scholar]
- Zhang, Z.X.; Liu, M.; Qi, Z. Effect of Water Nitrogen Dosage on Nitrogen Absorption and Transformation of Maize under Sprinkler Irrigation Condition. Trans. Chin. Soc. Agric. Mach. 2019, 50, 299–308. [Google Scholar]
- Cambouris, A.N.; Nolin, M.C.; Laverdière, M.R.; Snowdon, E.; Zebarth, B.J.; Burton, D.L.; Goyer, C.; Rochette, P.; Dowbenko, R.; Moulin, A.P.; et al. Apparent fertilizer nitrogen recovery and residual soil nitrate under continuous potato cropping: Effect of N fertilization rate and timing. Can. J. Soil Sci. 2008, 88, 813–825. [Google Scholar] [CrossRef]
- Lei, Y.J. MATLAB Genetic Algorithm Toolbox and Applications; Xi’an University of Electronic Science and Technology Press: Xi’an, China, 2005; pp. 30–33. [Google Scholar]
- Schaap, M.G.; van Genuchten, M.T. A Modified Mualem–van Genuchten Formulation for Improved Description of the Hydraulic Conductivity Near Saturation. Vadose Zone J. 2006, 5, 27–34. [Google Scholar] [CrossRef]
- Feddes, R.A.; Kowalik, P.J.; Zaradny, H. Simulation of Field Water Use and Crop Yield. In Simulation of Plant Growth and Crop Production; Simulation Monographs, Pudoc: Wageningen, The Netherlands, 1978. [Google Scholar]
- Monteith, J.L. Principles of environmental physics. Plant Growth Regul. 1991, 10, 177–178. [Google Scholar] [CrossRef]
- Clément, C.-C.; Cambouris, A.N.; Ziadi, N.; Zebarth, B.J.; Karam, A. Potato Yield Response and Seasonal Nitrate Leaching as Influenced by Nitrogen Management. Agronomy 2021, 11, 2055. [Google Scholar] [CrossRef]
- Latifah, O.; Ahmed, O.H.; Majid, N.M.A. Enhancing Nitrogen Availability, Ammonium Adsorption-Desorption, and Soil pH Buffering Capacity using Composted Paddy Husk. Eurasian Soil Sci. 2017, 50, 1483–1493. [Google Scholar] [CrossRef]
- Hammad, H.M.; Ahmad, A.; Wajid, A.; Akhter, J.A.V.A.I.D. Maize response to time and rate of nitrogen application. Pak. J. Bot. 2011, 43, 1935–1942. [Google Scholar]
- Drulis, P.; Kriaučiūnienė, Z.; Liakas, V. The Influence of Different Nitrogen Fertilizer Rates, Urease Inhibitors and Biological Preparations on Maize Grain Yield and Yield Structure Elements. Agronomy 2022, 12, 741. [Google Scholar] [CrossRef]
- Vitousek, P.M.; Naylor, R.; Crews, T.; David, M.B.; Drinkwater, L.E.; Holland, E.; Johnes, P.J.; Katzenberger, J.; Martinelli, L.A.; Matson, P.A.; et al. Nutrient Imbalances in Agricultural Development. Science 2009, 324, 1519–1520. [Google Scholar] [CrossRef]
- Sanchezperez, J.M.; Antiguedad, I.; Arrate, I.; Garcialinares, C.; Morell, I. The influence of nitrate leaching through unsaturated soil on groundwater pollution in an agricultural area of the Basque country: A case study. Sci. Total. Environ. 2003, 317, 173–187. [Google Scholar] [CrossRef]
- Zhuang, M.H.; Lam, S.K.; Zhang, J.; Li, H.; Shan, N.; Yuan, Y.L.; Wang, L.G. Effect of full substituting compound fertilizer with different organic manure on reactive nitrogen losses and crop productivity in intensive vegetable production system of China. J. Environ. Manag. 2019, 243, 381–384. [Google Scholar] [CrossRef]
- Yang, S.H.; Peng, S.Z.; Xu, J.Z.; He, Y.P.; Wang, Y.J. Effects of water saving irrigation and controlled release nitrogen fertilizer managements on nitrogen losses from paddy fields. Paddy Water Environ. 2015, 13, 71–80. [Google Scholar] [CrossRef]
- Liu, M.; Song, F.; Yin, Z.; Chen, P.; Zhang, Z.; Qi, Z.; Wang, B.; Zheng, E. Effects of Reduced Nitrogen Fertilizer Rates on Its Fate in Maize Fields in Mollisols in Northeast China: A 15N Tracing Study. Agronomy 2022, 12, 3030. [Google Scholar] [CrossRef]
- Zhang, W.F.; Yang, S.Q.; Liu, P.; Lou, S.; Sun, D.Q. Effects of stover mulching combined with N application on N use efficiency and yield of summer maize in Hetao Irrigated District. Trans. Chin. Soc. Agric. Eng. 2020, 36, 71–79. [Google Scholar]







| Soil Depth (cm) | Soil Type | Characteristic Parameters of the Soil | Particle Size Composition (%) | |||||
|---|---|---|---|---|---|---|---|---|
| Dry Bulk Weight of the Soil (g·cm−3) | Soil Field Capacity (%) | Soil Organic Matter (%) | Average Content of Total Nitrogen (%) | <0.002 | 0.02–0.002 | 2–0.02 | ||
| 0–20 | Loam | 1.44 | 33 | 0.85 | 0.04 | 7 | 42 | 51 |
| 20–40 | Chalky loam | 1.45 | 34 | 0.84 | 0.03 | 5 | 42 | 53 |
| 40–60 | Chalky loam | 1.46 | 31 | 0.83 | 0.03 | 4 | 42 | 54 |
| 60–80 | Silt loam | 1.49 | 31 | 0.67 | 0.04 | 4 | 41 | 55 |
| 80–100 | Silt loam | 1.48 | 30 | 0.51 | 0.02 | 1 | 22 | 77 |
| Treatment | Irrigation Method | Lower Limit of Soil Water Control | Amount of Nitrogen Applied (kg/ha) | Number of Topdressing (Times) | Amount and Period of Fertilization (kg/ha) | |||
|---|---|---|---|---|---|---|---|---|
| Base Fertilizer | Jointing Period | Flowering Period | Heading Date | |||||
| GN1T1 | Wide furrow irrigation | 70%θfield | 120 | 1 | 55 | 65 | / | / |
| GN1T2 | 2 | 32.5 | 32.5 | / | ||||
| GN1T3 | 3 | 21.66 | 21.66 | 21.66 | ||||
| GN2T1 | 220 | 1 | 165 | / | / | |||
| GN2T2 | 2 | 82.5 | 82.5 | / | ||||
| GN2T3 | 3 | 55 | 55 | 55 | ||||
| GN3T1 | 320 | 1 | 265 | / | / | |||
| GN3T2 | 2 | 132.5 | 132.5 | / | ||||
| GN3T3 | 3 | 88.33 | 88.33 | 88.33 | ||||
| QN1T1 | Border irrigation | 70%θfield | 120 | 1 | 55 | 65 | / | / |
| QN1T2 | 2 | 32.5 | 32.5 | / | ||||
| QN1T3 | 3 | 21.66 | 21.66 | 21.66 | ||||
| QN2T1 | 220 | 1 | 165 | / | / | |||
| QN2T2 | 2 | 82.5 | 82.5 | / | ||||
| QN2T3 | 3 | 55 | 55 | 55 | ||||
| QN3T1 | 320 | 1 | 265 | / | / | |||
| QN3T2 | 2 | 132.5 | 132.5 | / | ||||
| QN3T3 | 3 | 88.33 | 88.33 | 88.33 | ||||
| Soil Depth (cm) | θr (cm3·cm−3) | θs (cm3·cm−3) | α (cm−1) | n | Ks (cm·day−1) | DL | DT | R2 | |
|---|---|---|---|---|---|---|---|---|---|
| Optimized value | 0–20 | 0.03 | 0.3886 | 0.0152 | 1.3435 | 32.4 | 8.76 | 0.431 | 0.98 |
| 20–40 | 0.3827 | 0.0147 | 1.2535 | 24.8 | 9.54 | 0.465 | 0.97 | ||
| 40–60 | 0.3856 | 0.0153 | 1.4219 | 31.7 | 11.2 | 0.542 | 0.94 | ||
| 60–80 | 0.3826 | 0.0159 | 1.4023 | 32.4 | 10.8 | 0.524 | 0.93 | ||
| 80–100 | 0.3789 | 0.0158 | 1.4258 | 28.6 | 9.5 | 0.476 | 0.94 |
| Treatment | Classification | MAE | RMSE | R2 |
|---|---|---|---|---|
| GN2T1 | Water content | 0.00948 | 0.0103 | 0.8511 |
| Ammonium nitrogen | 0.00047 | 0.0006 | 0.7891 | |
| Nitrate nitrogen | 0.0022 | 0.0029 | 0.801 | |
| GN2T2 | Water content | 0.0019 | 0.0029 | 0.8794 |
| Ammonium nitrogen | 0.00076 | 0.001 | 0.776 | |
| Nitrate nitrogen | 0.002 | 0.0027 | 0.8044 | |
| GN2T3 | Water content | 0.011 | 0.0017 | 0.8091 |
| Ammonium nitrogen | 0.0008 | 0.0012 | 0.7898 | |
| Nitrate nitrogen | 0.0021 | 0.0029 | 0.8054 | |
| QN2T1 | Water content | 0.011 | 0.0145 | 0.0867 |
| Ammonium nitrogen | 0.00049 | 0.0007 | 0.741 | |
| Nitrate nitrogen | 0.0013 | 0.0017 | 0.77 | |
| QN2T2 | Water content | 0.0121 | 0.0151 | 0.8271 |
| Ammonium nitrogen | 0.0018 | 0.0027 | 0.7644 | |
| Nitrate nitrogen | 0.00138 | 0.0015 | 0.8007 | |
| QN2T3 | Water content | 0.014 | 0.0185 | 0.8099 |
| Ammonium nitrogen | 0.0003 | 0.0005 | 0.7663 | |
| Nitrate nitrogen | 0.0009 | 0.0012 | 0.7866 |
| Each Single Factor and Its Coupling | Significance Test F-Value | ||
|---|---|---|---|
| Yield | NE | NL | |
| Fertilizer application frequency | 359.483 ** | 1723.456 ** | 238.235 ** |
| Fertilizer rate | 917.995 ** | 2585.332 ** | 418.891 ** |
| Irrigation method | 34.324 ** | 144.326 ** | 114.644 ** |
| Irrigation method × fertilizer application frequency | 4.234 * | 3.864 * | 8.002 ** |
| Irrigation method × fertilizer rate | 0.134 | 50.821 ** | 66.01 ** |
| Fertilizer application frequency × fertilizer rate | 93.553 ** | 426.736 ** | 64.398 ** |
| Irrigation method × fertilizer application frequency × fertilizer rate | 0.386 | 4.352 * | 1.253 |
Disclaimer/Publisher’s Note: The statements, opinions and data contained in all publications are solely those of the individual author(s) and contributor(s) and not of MDPI and/or the editor(s). MDPI and/or the editor(s) disclaim responsibility for any injury to people or property resulting from any ideas, methods, instructions or products referred to in the content. |
© 2023 by the authors. Licensee MDPI, Basel, Switzerland. This article is an open access article distributed under the terms and conditions of the Creative Commons Attribution (CC BY) license (https://creativecommons.org/licenses/by/4.0/).
Share and Cite
Gao, S.; Liu, T.; Wang, S.; Li, Y.; Ding, J.; Liu, Y.; Wang, D.; Li, H. Optimizing Fertilizer Management Practices in Summer Maize Fields in the Yellow River Basin. Agronomy 2023, 13, 2236. https://doi.org/10.3390/agronomy13092236
Gao S, Liu T, Wang S, Li Y, Ding J, Liu Y, Wang D, Li H. Optimizing Fertilizer Management Practices in Summer Maize Fields in the Yellow River Basin. Agronomy. 2023; 13(9):2236. https://doi.org/10.3390/agronomy13092236
Chicago/Turabian StyleGao, Shikai, Tengfei Liu, Shunsheng Wang, Yuan Li, Jiale Ding, Yulong Liu, Diru Wang, and Hao Li. 2023. "Optimizing Fertilizer Management Practices in Summer Maize Fields in the Yellow River Basin" Agronomy 13, no. 9: 2236. https://doi.org/10.3390/agronomy13092236
APA StyleGao, S., Liu, T., Wang, S., Li, Y., Ding, J., Liu, Y., Wang, D., & Li, H. (2023). Optimizing Fertilizer Management Practices in Summer Maize Fields in the Yellow River Basin. Agronomy, 13(9), 2236. https://doi.org/10.3390/agronomy13092236
