Spatiotemporal Variability of Soil Water Content and Its Influencing Factors on a Microscale Slope
Abstract
1. Introduction
2. Materials and Methods
2.1. Overview of the Study Area
2.2. Soil Water Content Monitoring
2.3. Hydrometeorological Data
2.4. Data and Statistical Analysis
3. Result
3.1. Soil Water Content Dynamics
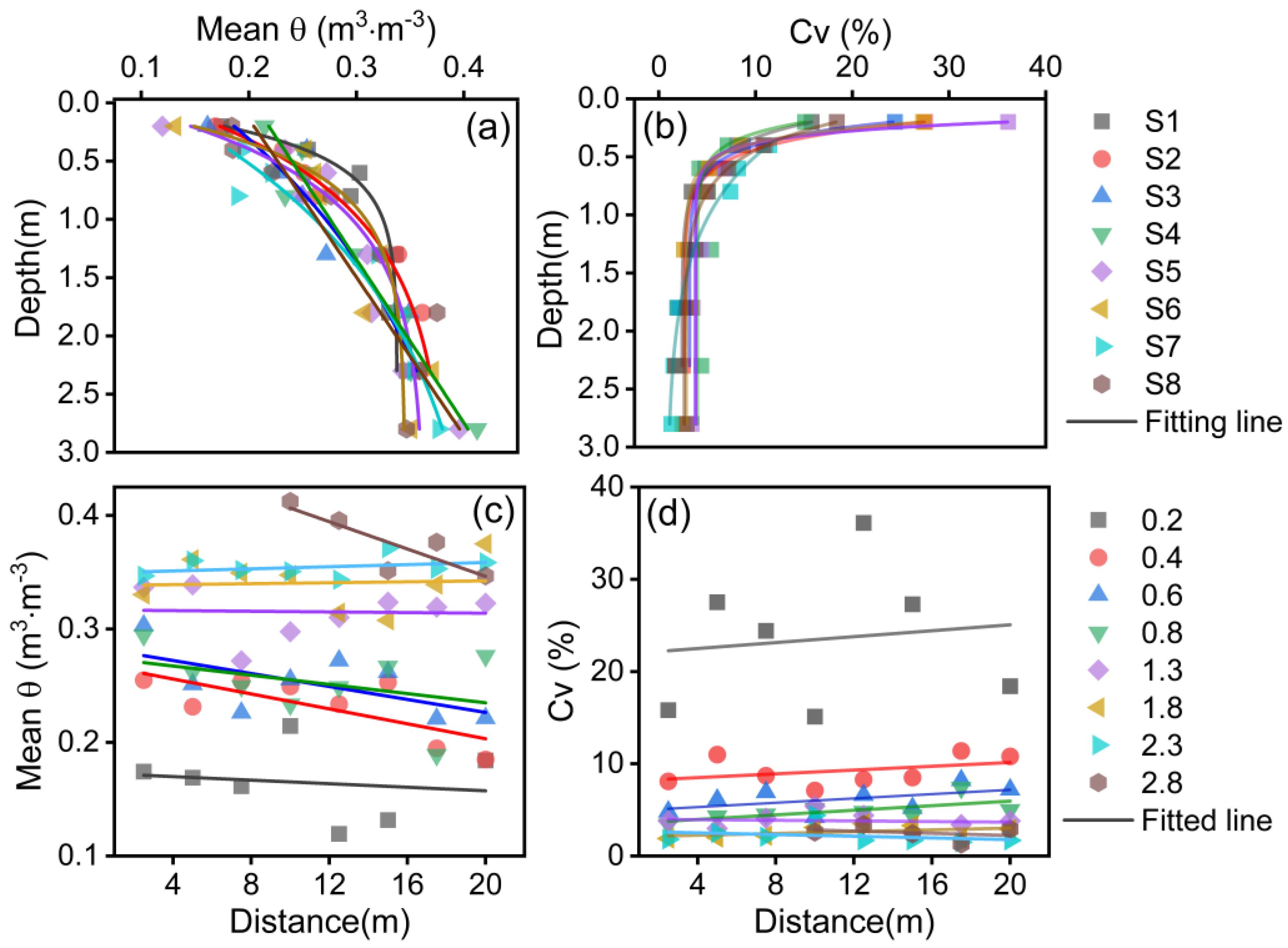
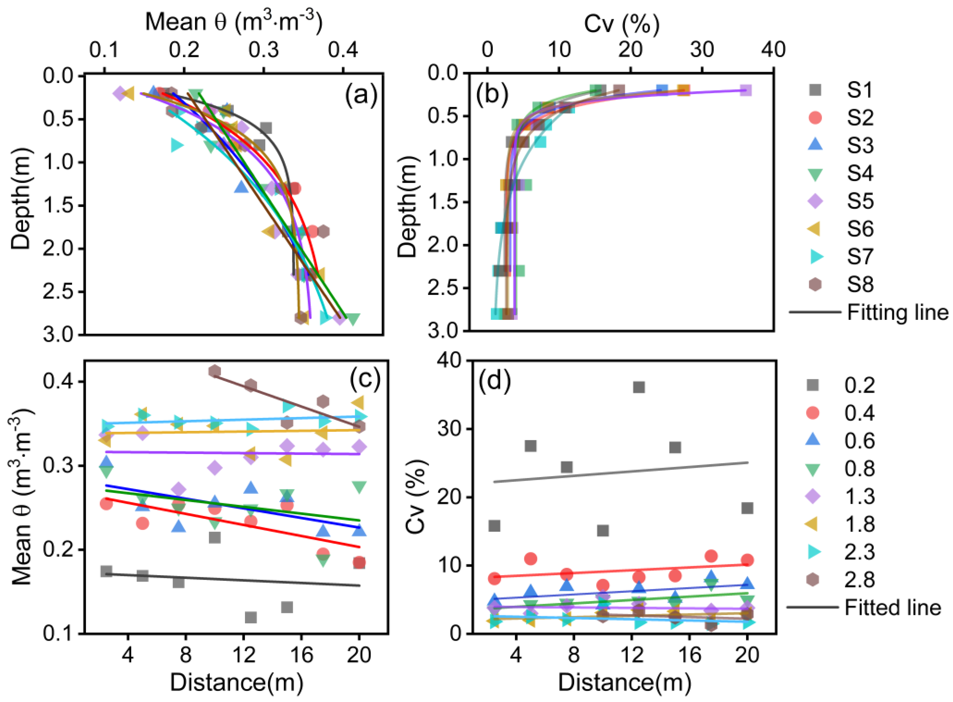
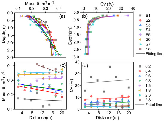
3.2. Descriptive Statistics of Soil Water Content
3.3. Temporal Stability of Soil Water Content
3.4. TS Diurnal Variation of Soil Water Content
4. Discussion
4.1. Soil Water Content Predicted by Representative Locations
4.2. Spatial Distribution Characteristics of Soil Water Content on the Slope
4.3. Temporal Stability Characteristics of Soil Water Content on Slope
4.4. Effects of Depth and Slope Position on the Temporal Stability of Soil Water Content
4.5. Effects of Air Temperature and Hydrometeorological Conditions on the Temporal Stability of Soil Water Content
5. Conclusions
Author Contributions
Funding
Acknowledgments
Conflicts of Interest
References
- McColl, K.A.; Alemohammad, S.H.; Akbar, R.; Konings, A.G.; Yueh, S.; Entekhabi, D. The global distribution and dynamics of surface soil moisture. Nat. Geosci. 2017, 10, 100–104. [Google Scholar] [CrossRef]
- Meng, S.; Xie, X.; Liang, S. Assimilation of soil moisture and streamflow observations to improve flood forecasting with considering runoff routing lags. J. Hydrol. 2017, 550, 568–579. [Google Scholar] [CrossRef]
- Massari, C.; Camici, S.; Ciabatta, L.; Brocca, L. Exploiting Satellite-Based Surface Soil Moisture for Flood Forecasting in the Mediterranean Area: State Update Versus Rainfall Correction. Remote. Sens. 2018, 10, 292. [Google Scholar] [CrossRef]
- Greco, R. Soil water content inverse profiling from single TDR waveforms. J. Hydrol. 2006, 317, 325–339. [Google Scholar] [CrossRef]
- He, H.; Aogu, K.; Li, M.; Xu, J.; Sheng, W.; Jones, S.B.; González-Teruel, J.D.; Robinson, D.A.; Horton, R.; Bristow, K.; et al. A review of time domain reflectometry (TDR) applications in porous media. Adv. Agron. 2021, 168, 83–155. [Google Scholar] [CrossRef]
- Gamage, D.N.V.; Biswas, A.; Strachan, I.B.; Adamchuk, V.I. Soil Water Measurement Using Actively Heated Fiber Optics at Field Scale. Sensors 2018, 18, 1116. [Google Scholar] [CrossRef]
- He, H.; Dyck, M.; Horton, R.; Li, M.; Jin, H.; Si, B. Distributed Temperature Sensing for Soil Physical Measurements and Its Similarity to Heat Pulse Method. Adv. Agron. 2018, 148, 173–230. [Google Scholar] [CrossRef]
- Andreasen, M.; Jensen, K.H.; Bogena, H.; Desilets, D.; Zreda, M.; Looms, M.C. Cosmic Ray Neutron Soil Moisture Estimation Using Physically Based Site-Specific Conversion Functions. Water Resour. Res. 2020, 56, e2019WR026588. [Google Scholar] [CrossRef]
- Bousbih, S.; Zribi, M.; El Hajj, M.; Baghdadi, N.; Lili-Chabaane, Z.; Gao, Q.; Fanise, P. Soil Moisture and Irrigation Mapping in A Semi-Arid Region, Based on the Synergetic Use of Sentinel-1 and Sentinel-2 Data. Remote Sens. 2018, 10, 1953. [Google Scholar] [CrossRef]
- Vereecken, H.; Huisman, J.; Pachepsky, Y.; Montzka, C.; Van Der Kruk, J.; Bogena, H.; Weihermüller, L.; Herbst, M.; Martinez, G.; Vanderborght, J. On the spatio-temporal dynamics of soil moisture at the field scale. J. Hydrol. 2014, 516, 76–96. [Google Scholar] [CrossRef]
- Cho, E.; Choi, M. Regional scale spatio-temporal variability of soil moisture and its relationship with meteorological factors over the Korean peninsula. J. Hydrol. 2014, 516, 317–329. [Google Scholar] [CrossRef]
- Zhu, X.; He, Z.; Du, J.; Chen, L.; Lin, P.; Tian, Q. Soil moisture temporal stability and spatio-temporal variability about a typical subalpine ecosystem in northwestern China. Hydrol. Process. 2020, 34, 2401–2417. [Google Scholar] [CrossRef]
- Wu, D.; Wang, T.; Di, C.; Wang, L.; Chen, X. Investigation of controls on the regional soil moisture spatiotemporal patterns across different climate zones. Sci. Total. Environ. 2020, 726, 138214. [Google Scholar] [CrossRef] [PubMed]
- Brocca, L.; Melone, F.; Moramarco, T.; Morbidelli, R. Spatial-temporal variability of soil moisture and its estimation across scales. Water Resour. Res. 2010, 46. [Google Scholar] [CrossRef]
- Vachaud, G.; De Silans, A.P.; Balabanis, P.; Vauclin, M. Temporal Stability of Spatially Measured Soil Water Probability Density Function. Soil Sci. Soc. Am. J. 1985, 49, 822–828. [Google Scholar] [CrossRef]
- Grayson, R.B.; Western, A.W. Towards areal estimation of soil water content from point measurements: Time and space stability of mean response. J. Hydrol. 1998, 207, 68–82. [Google Scholar] [CrossRef]
- Starks, P.J.; Heathman, G.C.; Jackson, T.J.; Cosh, M.H. Temporal stability of soil moisture profile. J. Hydrol. 2006, 324, 400–411. [Google Scholar] [CrossRef]
- Penna, D.; Brocca, L.; Borga, M.; Fontana, G.D. Soil moisture temporal stability at different depths on two alpine hillslopes during wet and dry periods. J. Hydrol. 2013, 477, 55–71. [Google Scholar] [CrossRef]
- Heathman, G.C.; Cosh, M.H.; Merwade, V.; Han, E. Multi-scale temporal stability analysis of surface and subsurface soil moisture within the Upper Cedar Creek Watershed, Indiana. Catena 2012, 95, 91–103. [Google Scholar] [CrossRef]
- Zhou, X.; Lin, H.; Zhu, Q. Temporal stability of soil moisture spatial variability at two scales and its implication for optimal field monitoring. Hydrol. Earth Syst. Sci. Discuss. 2007, 4, 1185–1214. [Google Scholar]
- Shi, C.; Qu, L.; Zhang, Q.; Li, X. A systematic review on comprehensive sloping farmland utilization based on a perspective of scientometrics analysis. Agric. Water Manag. 2020, 244, 106564. [Google Scholar] [CrossRef]
- Zhang, B.-J.; Zhang, G.-H.; Yang, H.-Y.; Zhu, P.-Z. Temporal variation in soil erosion resistance of steep slopes restored with different vegetation communities on the Chinese Loess Plateau. Catena 2019, 182, 104170. [Google Scholar] [CrossRef]
- Gao, L.; Shao, M.; Peng, X.; She, D. Spatio-temporal variability and temporal stability of water contents distributed within soil profiles at a hillslope scale. Catena 2015, 132, 29–36. [Google Scholar] [CrossRef]
- Gao, L.; Shao, M. Temporal stability of shallow soil water content for three adjacent transects on a hillslope. Agric. Water Manag. 2012, 110, 41–54. [Google Scholar] [CrossRef]
- Hu, W.; Shao, M.A.; Wang, Q.J.; Reichardt, K. Soil water content temporal-spatial variability of the surface layer of a Loess Plateau hillside in China. Sci. Agricola 2008, 65, 277–289. [Google Scholar] [CrossRef]
- Sur, C.; Jung, Y.; Choi, M. Temporal stability and variability of field scale soil moisture on mountainous hillslopes in Northeast Asia. Geoderma 2013, 207, 234–243. [Google Scholar] [CrossRef]
- Gao, L.; Peng, X.; Biswas, A. Temporal instability of soil moisture at a hillslope scale under subtropical hydroclimatic conditions. Catena 2019, 187, 104362. [Google Scholar] [CrossRef]
- Van Pelt, R.; Wierenga, P.J. Temporal Stability of Spatially Measured Soil Matric Potential Probability Density Function. Soil Sci. Soc. Am. J. 2001, 65, 668–677. [Google Scholar] [CrossRef]
- Liao, K.; Lai, X.; Lv, L.; Zhu, Q. Uncertainty in predicting the spatial pattern of soil water temporal stability at the hillslope scale. Soil Res. 2016, 54, 739. [Google Scholar] [CrossRef]
- Guber, A.; Gish, T.; Pachepsky, Y.; van Genuchten, M.; Daughtry, C.; Nicholson, T.; Cady, R. Temporal stability in soil water content patterns across agricultural fields. Catena 2008, 73, 125–133. [Google Scholar] [CrossRef]
- Jacobs, J.M.; Mohanty, B.P.; Hsu, E.-C.; Miller, D. SMEX02: Field scale variability, time stability and similarity of soil moisture. Remote. Sens. Environ. 2004, 92, 436–446. [Google Scholar] [CrossRef]
- Shen, Q.; Gao, G.; Hu, W.; Fu, B. Spatial-temporal variability of soil water content in a cropland-shelterbelt-desert site in an arid inland river basin of Northwest China. J. Hydrol. 2016, 540, 873–885. [Google Scholar] [CrossRef]
- Cosh, M.H.; Jackson, T.J.; Moran, S.; Bindlish, R. Temporal persistence and stability of surface soil moisture in a semi-arid watershed. Remote. Sens. Environ. 2008, 112, 304–313. [Google Scholar] [CrossRef]
- Xu, G.; Zhang, T.; Li, Z.; Li, P.; Cheng, Y.; Cheng, S. Temporal and spatial characteristics of soil water content in diverse soil layers on land terraces of the Loess Plateau, China. Catena 2017, 158, 20–29. [Google Scholar] [CrossRef]
- Wang, Y.; Hu, W.; Zhu, Y.; Shao, M.; Xiao, S.; Zhang, C. Vertical distribution and temporal stability of soil water in 21-m profiles under different land uses on the Loess Plateau in China. J. Hydrol. 2015, 527, 543–554. [Google Scholar] [CrossRef]
- Pan, F.; Peters-Lidard, C.D. On the relationship between mean and variance of soil moisture fields. JAWRA J. Am. Water Resour. Assoc. 2008, 44, 235–242. [Google Scholar] [CrossRef]
- Dari, J.; Morbidelli, R.; Saltalippi, C.; Massari, C.; Brocca, L. Spatial-temporal variability of soil moisture: Addressing the monitoring at the catchment scale. J. Hydrol. 2019, 570, 436–444. [Google Scholar] [CrossRef]
- Brocca, L.; Tullo, T.; Melone, F.; Moramarco, T.; Morbidelli, R. Catchment scale soil moisture spatial–temporal variability. J. Hydrol. 2012, 422–423, 63–75. [Google Scholar] [CrossRef]
- Zhao, Y.; Peth, S.; Wang, X.Y.; Lin, H.; Horn, R. Controls of surface soil moisture spatial patterns and their temporal stability in a semi-arid steppe. Hydrol. Process. 2010, 24, 2507–2519. [Google Scholar] [CrossRef]
- Coleman, M.L.; Niemann, J.D. Controls on topographic dependence and temporal instability in catchment-scale soil moisture patterns. Water Resour. Res. 2013, 49, 1625–1642. [Google Scholar] [CrossRef]
- Gomez-Plaza, A.; Alvarez-Rogel, J.; Albaladejo, J.; Castillo, V.M. Spatial patterns and temporal stability of soil moisture across a range of scales in a semi-arid environment. Hydrol. Process. 2000, 14, 1261–1277. [Google Scholar] [CrossRef]
- Wang, T.; Wedin, D.A.; Franz, T.E.; Hiller, J. Effect of vegetation on the temporal stability of soil moisture in grass-stabilized semi-arid sand dunes. J. Hydrol. 2015, 521, 447–459. [Google Scholar] [CrossRef]
- Brocca, L.; Melone, F.; Moramarco, T.; Morbidelli, R. Soil moisture temporal stability over experimental areas in Central Italy. Geoderma 2009, 148, 364–374. [Google Scholar] [CrossRef]
- Takagi, K.; Lin, H. Changing controls of soil moisture spatial organization in the Shale Hills Catchment. Geoderma 2012, 173–174, 289–302. [Google Scholar] [CrossRef]
- Zhao, Y.; Tang, J.; Graham, C.; Zhu, Q.; Takagi, K.; Lin, H. Hydropedology in the ridge and valley: Soil moisture patterns and preferential flow dynamics in two contrasting landscapes. In Hydropedology: Synergistic Integration of Soil Science and Hydrology; Lin, H., Ed.; Academic Press: Cambridge, MA, USA, 2012; pp. 381–411. [Google Scholar]
- Hu, W.; Shao, M.; Han, F.; Reichardt, K.; Tan, J. Watershed scale temporal stability of soil water content. Geoderma 2010, 158, 181–198. [Google Scholar] [CrossRef]
- Zhu, X.; Shao, M.; Liang, Y. Spatiotemporal characteristics and temporal stability of soil water in an alpine meadow on the northern Tibetan Plateau. Can. J. Soil Sci. 2018, 98, 161–174. [Google Scholar] [CrossRef]
- Peng, X.; Wang, Y.; Heitman, J.; Ochsner, T.; Horton, R.; Ren, T. Measurement of soil-surface heat flux with a multi-needle heat-pulse probe. Eur. J. Soil Sci. 2017, 68, 336–344. [Google Scholar] [CrossRef]
- Xiao, Z.; Lu, S.; Heitman, J.; Horton, R.; Ren, T. Measuring subsurface soil-water evaporation with an improved heat-pulse probe. Soil Sci. Soc. Am. J. 2012, 76, 876–879. [Google Scholar] [CrossRef]
- El Kateb, H.; Zhang, H.; Zhang, P.; Mosandl, R. Soil erosion and surface runoff on different vegetation covers and slope gradients: A field experiment in Southern Shaanxi Province, China. Catena 2013, 105, 1–10. [Google Scholar] [CrossRef]
- Mahmood, R.; Littell, A.; Hubbard, K.G.; You, J. Observed data-based assessment of relationships among soil moisture at various depths, precipitation, and temperature. Appl. Geogr. 2012, 34, 255–264. [Google Scholar] [CrossRef]












| Position | 0.2 m | 0.4 m | 0.6 m | 0.8 m | 1.3 m | 1.8 m | 2.3 m | 2.8 m | ||||||||
|---|---|---|---|---|---|---|---|---|---|---|---|---|---|---|---|---|
| Mean | Cv | Mean | Cv | Mean | Cv | Mean | Cv | Mean | Cv | Mean | Cv | Mean | Cv | Mean | Cv | |
| S1 | 0.17 | 15.8 | 0.25 | 8.1 | 0.3 | 4.8 | 0.29 | 3.4 | 0.34 | 3.8 | 0.33 | 1.9 | 0.35 | 1.8 | - | - |
| S2 | 0.17 | 27.5 | 0.23 | 11 | 0.25 | 6.1 | 0.26 | 4.3 | 0.34 | 3 | 0.36 | 2 | 0.36 | 2.5 | - | - |
| S3 | 0.16 | 24.4 | 0.25 | 8.7 | 0.23 | 6.9 | 0.25 | 4.5 | 0.27 | 4.1 | 0.35 | 2.2 | 0.35 | 2.1 | - | - |
| S4 | 0.21 | 15.1 | 0.25 | 7.1 | 0.26 | 4.2 | 0.23 | 5.1 | 0.3 | 5.4 | 0.35 | 3.1 | 0.35 | 4.4 | 0.41 | 2.6 |
| S5 | 0.12 | 36.1 | 0.23 | 8.3 | 0.27 | 6.6 | 0.25 | 4.8 | 0.31 | 4.4 | 0.31 | 3.5 | 0.34 | 1.7 | 0.4 | 3.4 |
| S6 | 0.13 | 27.3 | 0.25 | 8.5 | 0.26 | 5.2 | 0.27 | 4.4 | 0.32 | 2.6 | 0.31 | 3.3 | 0.37 | 1.7 | 0.35 | 2.4 |
| S7 | - | - | 0.19 | 11.4 | 0.22 | 8.2 | 0.19 | 7.4 | 0.32 | 3.4 | 0.34 | 1.9 | 0.35 | 1.5 | 0.38 | 1.3 |
| S8 | 0.18 | 18.4 | 0.19 | 10.8 | 0.22 | 7.2 | 0.28 | 5 | 0.32 | 3.8 | 0.38 | 2.9 | 0.36 | 1.7 | 0.35 | 2.9 |
Disclaimer/Publisher’s Note: The statements, opinions and data contained in all publications are solely those of the individual author(s) and contributor(s) and not of MDPI and/or the editor(s). MDPI and/or the editor(s) disclaim responsibility for any injury to people or property resulting from any ideas, methods, instructions or products referred to in the content. |
© 2023 by the authors. Licensee MDPI, Basel, Switzerland. This article is an open access article distributed under the terms and conditions of the Creative Commons Attribution (CC BY) license (https://creativecommons.org/licenses/by/4.0/).
Share and Cite
Hu, Y.; Tang, C.; Chen, X.; Zhao, Y.; He, H.; Li, M.; Zhang, J. Spatiotemporal Variability of Soil Water Content and Its Influencing Factors on a Microscale Slope. Agronomy 2023, 13, 2035. https://doi.org/10.3390/agronomy13082035
Hu Y, Tang C, Chen X, Zhao Y, He H, Li M, Zhang J. Spatiotemporal Variability of Soil Water Content and Its Influencing Factors on a Microscale Slope. Agronomy. 2023; 13(8):2035. https://doi.org/10.3390/agronomy13082035
Chicago/Turabian StyleHu, You, Chongjun Tang, Xiaoan Chen, Ying Zhao, Hailong He, Min Li, and Jie Zhang. 2023. "Spatiotemporal Variability of Soil Water Content and Its Influencing Factors on a Microscale Slope" Agronomy 13, no. 8: 2035. https://doi.org/10.3390/agronomy13082035
APA StyleHu, Y., Tang, C., Chen, X., Zhao, Y., He, H., Li, M., & Zhang, J. (2023). Spatiotemporal Variability of Soil Water Content and Its Influencing Factors on a Microscale Slope. Agronomy, 13(8), 2035. https://doi.org/10.3390/agronomy13082035

