Abstract
Oilseed crops require several micronutrients to support their physiological functions and reproductive phases. A deficiency of these nutrients can significantly reduce the yield and oil quality of oilseed crops. Soil application of micronutrients can reduce their deficiency and improve plant growth, yield, and oil quality. Oilseed rape (Brassica napus L.) is an important oilseed crop that produces oil with low levels of saturated fat and high levels of beneficial omega-3 fatty acids, which renders it a widely used cooking oil. However, the yield and oil quality of oilseed rape are significantly affected by the deficiency of boron (B) and zinc (Zn). This two-year field study determined the influence of sole and combined soil application of B and Zn on the physiological attributes of plants, seed and oil yields, and oil quality under semiarid climatic conditions. Nine different B and Z combinations, i.e., B0 + Zn0 (control), B0 + Zn8, B0 + Zn10, B1 + Zn0, B1 + Zn8, B1 + Zn10, B2 + Zn0, B2 + Zn8, and B2 + Zn10 (kg ha−1), were included in the study. Sole and combined application of B and Zn significantly altered physiological attributes, seed and oil yields, and oil quality. The highest values for plant height, number of siliques per plant, number of seeds per silique, 1000-seed weight, seed and oil yields, oil quality (higher stearic acid, palmitic acid, oleic acid, linoleic acid, linolenic acid, and lower erucic acid), and physiological traits (protein concentration, soluble sugar concentration, chlorophyll concentration, photosynthesis and transpiration rates, and stomatal conductance) were recorded with the combined application of 2 + 8 kg ha−1 B and Zn, respectively, during both years of this study. The lowest values of yield- and oil-quality-related traits and physiological attributes were recorded for the control treatment. A dose-dependent improvement was recorded in B and Zn contents in leaves, and the highest values were recorded with the combined soil application of 2 + 10 kg ha−1 B + Zn, respectively. It can be concluded that 2 + 8 kg ha−1 B + Zn should be applied to oilseed rape for higher seed and oil yields and better oil quality under semiarid climatic conditions.
1. Introduction
Oilseeds, alongside sugar and cereal crops, are essential components in ensuring a well-balanced and nutritious diet for humans. Vegetable oil is a significant source of essential fatty acids and vitamin E, which are vital for the proper physiological functioning of the human body [1,2]. The production of edible oil is of utmost importance in fulfilling the domestic demand and industrial requirements of a country. Additionally, it holds promising potential to emerge as a significant contributor to employment opportunities [3]. Pakistan is currently importing 2.917 million tons of edible oil, with a total value of PKR 574.199 billion (USD 3.419 billion) annually. Edible oil production in Pakistan during 2020–2021 was 0.374 million metric tons. The anticipated total yield of edible oil extracted from various crops was 3.291 million metric tons [3]. Due to a significant shortage of edible oil in Pakistan, it is imperative for the government to augment the cultivation of oilseed crops to address the edible oil shortage issue [3].
Oilseed rape (Brassica napus L.) is an important oilseed crop on a global scale [4]. It is positioned in third place following soybean and palm oil in terms of area under cultivation and holds fifth position in terms of oil production [5]. Oilseed rape oil exhibits superior nutritional properties due to its lower content of erucic acid and saturated fats, which are present in concentrations of 2% and 6%, respectively [6]. The seeds typically contain approximately 40–45% oil [7], with 6–14% linolenic acid and 50–66% oleic acid [8]. The oil has the required profile of saturated fatty acids (7%), higher unsaturated fatty acid contents, i.e., oleic acid (~61%) and linoleic acids (8%) [9], and lower erucic acid, glucosinolates, and cholesterol. Therefore, this oil is considered safe for human consumption [10,11]. It is cultivated on 2418 thousand hectares in Pakistan, which produce 2256 thousand tons of seeds and 374 thousand tons of oil [3]. It is an inexpensive oil that helps individuals recover from malnutrition and improves their health, making it ideal for populations residing in developing nations [12]. Climate extremes, such as heat and drought stress [13,14,15], soil salinity [16], limited light availability [17], and waterlogging [18], are the major constraints significantly reducing the yield and oil quality of oilseed rape.
Insufficient availability of nutrients, particularly micronutrients, is another significant constraint in oilseed rape production [19]. Micronutrients play a crucial role during the vegetative and reproductive growth of plants [20]. High-yielding cultivars produce low yields despite NPK application, which can be attributed to the insufficient utilization of micronutrients [21]. The optimal yield potential of high-yielding cultivars can be realized through the application of micronutrients in conjunction with macronutrients [22]. Chaudry et al. [23] reported that the application of micronutrients, specifically zinc (Zn) and boron (B), significantly increased wheat yield compared to the control group, whether applied individually or in combination, while Mandal et al. [24] indicated a significant correlation between the application of fertilizer and the physiological growth process.
Zinc is a vital micronutrient required for the growth and development of crop plants. It is a constituent of carbonic anhydrase and elicits aldolase, both of which are imperative for carbon metabolism [25]. Additionally, it is a constituent of diverse biomolecules, including lipids and proteins, and functions as a cofactor for auxins, thereby exerting a significant influence on nucleic acid degradation [26]. Zinc is an essential constituent of numerous enzymes and is compulsory for their activation. Consequently, Zn deficiency limits carbohydrate digestion, induces injuries to the pollen tube, and reduces yield [27]. The primary cause of Zn deficiency in crops is the reduced solubility of Zn in soils, which is somewhat more significant than the reduction in the overall amount of Zn [28]. The efficacy of Zn application in improving crop yield and quality has been reported in earlier studies [29]. Soil application of Zn to oilseed rape has been found to increase branching, the number of pods, and seed production [30]. A significant proportion (80% of rainfed area) of Pakistani soils exhibits Zn deficiency due to higher soil pH levels [31]. Zinc deficiency in the topsoil significantly hampers agricultural productivity. The decrease in Zn levels in plants induces the generation of reactive oxygen species (ROS) within plant tissues, which disrupts the integrity of cell membranes and impedes the normal functioning of cells [32].
Boron is another essential micronutrient and necessary for the growth of crop plants. However, it can be observed that B levels are rapidly decreasing in Yermosols or Aridisols [33]. Boron deficiency is the second most important micronutrient constraint in crop production after zinc [34]. Boron is an important component for various biological processes in plants, including but not limited to the growth and development of pollen tubes, the maintenance of membrane integrity, seed production, and pollination [35]. The primary roles of B include the breakdown of nucleic acids, carbohydrates, proteins, indole acetic acid, and phenol, which are involved in the synthesis of plant cell walls and the maintenance of membrane integrity [36]. Additionally, B plays a key role in cellular division and the control of carbohydrate and protein metabolism, and these processes influence the reproductive phase and development of seeds [37]. Boron deficiency in soil leads to the erratic growth of seedlings and reduced photosynthesis [38]. Furthermore, B deficiency limits root elongation and deforms flowers and fruits due to inadequate cell division in the meristematic region. Conversely, a sufficient B supply improves root development [39]. Nevertheless, an excess or deficiency of B impedes physiological and morphological functions in plants [40].
Zinc is a crucial micronutrient for human beings and plays a significant role in various biological processes, including protein, lipid, and nucleic acid metabolism and gene transcription. Zinc plays important roles in reproduction, immune response, and wound healing [41]. Therefore, Zn must be included in the diet for these processes. Boron is important for the promotion of bone health, the facilitation of hormonal equilibrium, and the provision of defense against oxidative damage and inflammation in both plant and animal organisms [42]. Although B is not essential for human health, its deficiency could negatively affect these processes. An enhancement in these micronutrient levels in daily dietary intake is particularly important in rural areas of developing nations, where populations are already at risk of micronutrient deficiencies [43]. Hence, the introduction of fortified foods with micronutrients is necessary for these areas [44]. Enhancing the bioavailability of micronutrients in crucial food grains through biofortification could be a promising strategy to cope with micronutrient deficiency. The integration of micronutrient-efficient cultivars and appropriate agronomic techniques presents a promising opportunity to enhance the yield and quality of arable crops [45,46]. Nonetheless, the implementation of agronomic strategies is comparatively more rapid and dependable in contrast to genetic biofortification [21,47]. The implementation of biofortification techniques in oilseed crops, specifically targeting the incorporation of nutritionally significant elements such as B and Zn, has emerged as a promising strategy to address the issue of micronutrient deficiency in developing nations [48]. Agronomic biofortification of micronutrients can be achieved through three primary approaches, i.e., seed priming, foliar, and soil application. These methods are characterized by their rapid nutrient delivery, economic feasibility, and ease of implementation [21,47]. Soil application of micronutrients is a widely employed agronomic technique to enhance both the yield and nutritional quality of food crops [33,49]. Nevertheless, the excessive application of micronutrients can lead to crop toxicity by disrupting the equilibrium between soil solution and adsorption sites [50,51]. Usman and Mohamed [52] observed that the application of Zn, either alone or in combination with B elevated Zn levels in plants. An increased Zn concentration leads to higher flowering and a reduction in fruit drop [53].
High-yielding cultivars of oilseed rape have been introduced in Pakistan to improve the production of edible oil in the country. However, there is a significant gap between the potential yield of these cultivars and the actual yield. Numerous studies have investigated the impact of B and Zn on crop yields, either individually or in combination. However, the potential synergistic or antagonistic effects of soil-applied B and Zn (either alone or in combination) on the growth and yield of oilseed rape have never been studied. Additionally, the underlying physiological mechanisms have not been explored in the semiarid environments characterized by calcareous soils. Hence, the current study investigated the impacts of soil-applied B and Zn (alone or in combination) on the growth, physiological, and biochemical attributes; seed and oil yields; and oil quality of oilseed rape. It was hypothesized that the growth, physiological, and biochemical attributes; seed and oil yields; and oil quality of oilseed rape would be significantly altered by the soil application of B and Zn. It was further hypothesized that the combined application of B and Zn would improve the growth, physiological, and biochemical attributes; seed and oil yields; and oil quality of oilseed rape compared to their individual application. The results of this study would help to improve the seed and oil yields and oil quality of oilseed rape in semiarid environments characterized by calcareous soils.
2. Materials and Methods
2.1. Experimental Site
The experiment was carried out at the Agronomic Farm, University of Sargodha, Pakistan (32.08° N, 72.67° E, 193 m asl), for two consecutive seasons, i.e., 2020–2021 and 2021–2022. The experimental site is characterized by a subtropical semiarid climate, with an average annual precipitation of 400 mm. The average minimum temperature observed during the coldest month is 14.3 °C, whereas the average minimum temperature during the warmest month is 39.2 °C. Physicochemical analysis of the experimental soil was conducted for two consecutive years, and the results are presented in Table 1. The experimental soil had a higher soil pH and was deficient in boron and zinc, both of which limit the growth and productivity of oilseed rape.
Table 1.
Physiochemical properties of experimental soil during 2020–2021 and 2021–2022.
2.2. Experimental Details and Crop Husbandry
Experimental field was irrigated prior to seedbed preparation, and fine seedbed was prepared once soil reached an appropriate moisture level for tillage practices. Two with moldboard plough, followed by two cultivations utilizing a narrow tine cultivator were performed. Finally, two plankings were conducted to prepare the fine seedbed. The seeds of oilseed rape cultivar ‘G 97’ were procured from a local market, treated with fungicide ((thiophenate methyl) 2.5 g per kg seed), and sown using a manual drill at a depth of 2 cm by keeping seed rate at 2.5 kg ha−1. The rows and plants were maintained at 0.45 m and 0.1 m distances, respectively. Sowing was conducted during the final week of October each year. Thinning was carried out at the 2 to 4 true leaf stage, approximately 3 to 4 weeks after sowing for maintaining plant-to-plant distance. Nine different combinations of B and Zn, i.e., B0 + Zn0 (control), B0 + Zn8, B0 + Zn10, B1 + Zn0, B1 + Zn8, B1 + Zn10, B2 + Zn0, B2 + Zn8, and B2 + Zn10 (kg ha−1), were included in this study.
The experiment was conducted according to randomized complete block design with four replications, and a net plot size of 4 m × 2.25 m. The first irrigation was applied 30 days after sowing. Subsequent irrigations were applied at flowering, silique formation, and seed formation. Tensiometer (Model RM 627) was utilized to maintain plant available soil moisture at 70% during the study.
Granular zinc sulfate (33%) and boric acid (17.5%) were used as sources of Zn and B, respectively. The calculated amounts of B and Zn according to the treatments were applied at the time of sowing. Nitrogen (N), phosphorus (P), and potassium (K) were applied at a rate of 23, 23, and 12 kg ha−1, respectively, utilizing urea, diammonium phosphate, and sulfate of potash as the sources. The entire amount of K and P and one-third N were applied during crop sowing. The remaining N was applied in three splits at flowering, silique development, and seed formation.
Weeding was carried out twice to manage the weed species. Manual weeding was conducted twice within a period of 2 to 5 weeks after sowing, prior to the closure of the crop canopy. All cultural and management practices were consistently implemented in accordance with the crop requirements across all plots. The siliques were manually detached from the plants at maturity and subsequently threshed in mid-April.
2.3. Data Collection
Plant height, yield, and yield-related traits; B and Zn contents in leaves; seed and oil yields; oil quality traits; and physiological and biochemical traits were recorded according to standard procedures described below.
2.4. Plant Height and Yield-Related Traits
The heights of ten mature randomly selected plants in each treatment were measured using a meter rod. Yield components, i.e., number of siliques per plant, number of seeds per silique, and 1000-seed weight, were recorded at maturity. The siliques were manually separated from the plants, counted, and subsequently subjected to manual threshing to record number of seeds per silique. The weight of 1000 seeds was measured using an analytical balance (Model Number HC2204). The seed yield was measured by harvesting and threshing all plants in each experimental yield. The seeds obtained from each plot after threshing were weighed on electronic balance (PL 3200+ L Japan), and the weight per plot was subsequently converted into tons per hectare using unitary method.
2.5. B and Zn Contents in Leaves
The leaves were collected, rinsed with distilled water, and dried in an oven at 65 °C for 48 h to determine B and Zn concentrations. The leaves were ground using an electric grinder. Boron was determined by converting the leaves into ash, utilizing a muffle furnace operating at 550 °C for 6 h. The resulting ash was treated with 0.36 N H2SO4. Azomethine-H method facilitated the determination of B concentration on a spectrophotometer at 420 nm [63]. Leaf powder (0.5 g) was digested in a mixture of HNO3 and HClO4 with a ratio of 2:1 for 6 h to determine Zn contents [64]. The distilled water was used to bring the volume of the mixture to 25 mL. The concentration of Zn was recorded by utilizing atomic absorption spectroscopy (AA-6300, Shimadzu, Japan).
2.6. Estimation of Oil Yield and Oil Quality Traits
The seeds were oven-dried at 45 °C for 24 h and ground to powder. Oil extraction was conducted using 3.5 g seed powder. The excess fat was removed from the samples by using Soxhlet apparatus maintained at 60 °C for 8 h. Each specimen required 180 g petroleum ether solution. Afterward, seed specimens were subjected to a thermal treatment of 50 °C for 24 h to extract the oil. Oil yield was computed through the multiplication of the seed yield by the oil content. The fatty acid composition, encompassing palmitic acid (C16:0), stearic acid (C18:0), oleic acid (C18:1), linolenic acid (C18:3), linoleic acid (C18:2), and erucic acid (C22:1), was determined by using gas chromatography of methyl esters [65].
2.7. Determination of Protein and Soluble Sugar Contents
Leaf soluble protein and total soluble sugars (TSSs) were quantified by using fresh leaf extract (0.1 g) in potassium phosphate buffer (50 mM and a pH value of 7.5). The extract was centrifuged at 15,500 rpm (25,155 relative centrifugal force (RCF) or g force) for 15 min at 4 °C after filtering through four layers of cheese cloth. Supernatant was collected and kept at 4 °C. Bradford [66] protein dye-binding technique was used to determine the amount of leaf soluble protein using bovine serum albumin as the reference protein. TSSs were analyzed in a Cecil CE 2021 spectrophotometer using an anthrone reagent [67].
2.8. Estimation of Chlorophyll Contents, Photosynthesis, Transpiration Rate, and Stomatal Conductance
Chlorophyll contents were determined from the fully flourishing third younger leaf by using chlorophyll meter (Model, SPAD-502: Konica Minolta Sensing: Inc., Osaka, Japan) [68]. Four young leaves were randomly chosen 30 days after sowing and sequentially placed in an infrared gas analyzer (IRGA). Stomatal conductance, photosynthesis, and transpiration rates were measured between 11:00 and 12:00 a.m. The IRGA chamber was programmed to take readings under the conditions specified by Zekri [69] and Moya et al. [70]. The conditions were 403.3 mmol m−2 S−1 molar flow rate, 99.90 KPa atmospheric pressure, 6.0 to 8.9 millibar vapor pressure, 1711 mol m−2 S−1 photosynthetically active radiation, leaf temperature of 28.40 to 32.40 °C, ambient temperature of 22.40 to 27.90 °C, and ambient CO2 concentration of 352 mol mol−1 [71].
2.9. Antioxidant Enzymes
2.9.1. Extraction
The enzyme extraction procedure was conducted at 4 °C using 200 mg leaf samples. The samples were homogenized in a pre-chilled mortar and pestle using 3 mL of ice-cold 50 mM sodium phosphate buffer (pH 7.0), 0.1 mM EDTA, and 1% w/v polyvinyl pyrrolidone (PVP). The mixture was centrifuged at 15,000 rpm (25,155 RCF or g force) for 20 min at 4 °C. The supernatant was utilized as a raw enzyme extract. The enzyme assays were conducted under ambient conditions, and the enzymatic activity was quantified using a spectrophotometer.
2.9.2. Peroxidase (POD) Activity
A procedure reported by Ullah et al. [72] was slightly modified to determine peroxidase (POD) activity. The 1 mL reaction mixture contained 40 mM phosphate buffer, 15 mM guaiacol, and 5 mM H2O2 (pH 6.8). After the reaction mixture settled, reaction was initiated by adding H2O2, and the increase in absorbance at 470 nm was measured for 1 min. The POD activity was measured in accordance with its 25 mM−1 cm−1 extinction coefficient.
2.9.3. Superoxide Dismutase (SOD) Activity
The SOD activity was determined by inhibiting the photochemical reduction of nitroblue tetrazolium (NBT) [73]. A superoxide-generating system of 14.3 mM methionine, 82.5 mM NBT, and 2.2 mM riboflavin was added to the reaction mixture (3 mL) of 50 mM phosphate buffer (pH 7.8) and 0.1 mM EDTA. The reaction was initiated by adding 100 cc of unprocessed enzyme. The free-radical-induced NBT reduction was tested in a reaction medium containing all the components except the enzyme. Six 15W fluorescent bulbs were used as the light source, and the tubes were kept there for 30 min. Turning off the light halted the reaction. The entire mixture of reactants was incubated in the dark as a dark blank, along with 100 mL of enzyme extract. The reduction in NBT was evaluated by monitoring the shift in absorbance at 560 nm. To calculate enzyme units, measurements from the dark blank were used. One unit of SOD was defined as the quantity of the enzyme that resulted in a 50% inhibition of NBT reduction under the test conditions. The unit of measurement for enzyme activity was mg−1 protein.
2.10. Data Analysis
The collected data of all the recorded traits were analyzed by using one-way analysis of variance (ANOVA). The normality was tested by Shapiro–Wilk normality test, which indicated a normal distribution. Therefore, statistical analysis was performed on original data. The differences among years were analyzed by t-test, which were significant. Therefore, data from each year were analyzed, presented, and interpreted separately. SAS software (Version 9.1; SAS Institute, Cary, NC, USA) was used for statistical analysis. Least significant difference post hoc test at 95% probability was used to separate treatment means where ANOVA denoted significant differences [74]. SigmaPlot was used for the graphical presentation of the data (SigmaPlot 2008).
3. Results
3.1. Growth, Yield, and Boron and Zinc Contents
Growth, yield, yield-related attributes, and B and Zn contents in leaves were significantly (p < 0.05) affected by sole and combined application of B and Zn during 2020–2021 and 2021–2022 (Table 2 and Table 3). Taller plants (10 and 13% during 2020–2021 and 2021–2022, respectively) were recorded with B2 + Zn8 treatment compared to control treatments (Table 2). Nevertheless, B1 + Zn8, B1 + Zn10, and B2 + Zn0 treatments were on par with B2 + Zn8 during first year. The lowest plant height was noted for the control treatment during both years of this study (Table 2).
Table 2.
The impact of soil-applied boron and zinc on plant height, number of siliques per plant, number of seeds per silique, and 1000-seed weight of oilseed rape grown under field conditions during 2020–2021 and 2021–2022.
Table 3.
The impact of soil-applied boron and zinc on seed yield and boron and zinc contents in leaves of oilseed rape grown under field conditions during 2020–2021 and 2021–2022.
Soil application of B2 + Zn8 improved the number of siliques per plant by 25 and 29% during 2020–2021 and 2021–2022, respectively, compared to the control treatment. The B0 + Zn8 treatment followed B2 + Zn8 for the number of siliques per plant, while the control treatment resulted in the lowest number of siliques per plant during both years. The highest and lowest number of seeds per silique were recorded for the B2 + Zn8 and control treatments, respectively. The B2 + Zn8 treatment improved the number of seeds per silique by 38% and 52% compared to the control during 2020–2021 and 2021–2022, respectively (Table 2). Similarly, B1 + Zn10 followed B2 + Zn8 for the number of seeds per silique during both years. The highest and lowest 1000-seed weight and grain yields were observed for the B2 + Zn8 and control treatments, respectively, during both years of this study. Soil application of B2 + Zn8 improved 1000-seed weight by 20% and 27% during 2020–2021 and 2021–2022, respectively, compared to the control treatment (Table 2). The seed yield of plants fertilized with B2 + Zn8 was improved by 37% and 27% during 2020–2021 and 2021–2022, respectively, compared to the control (Table 3).
The B and Zn contents in the leaves were linearly increased with their application doses. The highest and lowest B and Zn contents in the leaves were noted for the B2 + Zn10 and control treatments, respectively, during both years (Table 3). Soil application of B2 + Zn8 resulted in the second-highest values for B and Zn contents in leaves during both years of this study (Table 3).
3.2. Oil Yield and Quality
Combined and sole application of B and Zn significantly improved oil yield and quality during both years of study (Table 4 and Table 5). The highest and lowest values for oil yield, stearic acid, palmitic acid, and oleic acid were recorded for the B2 + Zn8 and control treatments, respectively, during both years of the study (Table 4).
Table 4.
The impact of soil-applied boron and zinc on oil yield, stearic acid, palmitic acid, and oleic acid in the oil of oilseed rape grown under field conditions during 2020–2021 and 2021–2022.
Table 5.
The impact of soil-applied boron and zinc on linoleic acid, linolenic acid, and erucic acid contents in the oil of oilseed rape crop grown under field conditions during 2020–2021 and 2021–2022.
Soil application of B2 + Zn8 resulted in the highest (54% and 53% higher than control treatment during 2020–2021 and 2021–2022, respectively) oil yield during both years (Table 4). Similarly, stearic acid was improved by 31% and 30%, palmitic acid by 22% and 21%, oleic acid by 33% and 34%, linoleic acid by 26% and 24%, and linolenic acid by 38% and 40% with soil-applied B2 + Zn8 during 2020–2021 and 2021–2022, respectively, compared to the control treatment (Table 5). The B2 + Zn10 and B2 + Zn0 treatments followed B2 + Zn8 for linoleic acid and linolenic acid during both years of this study. However, erucic acid was significantly (p ≤ 0.05) reduced by 62% and 63% with the application of B2 + Zn8 during 2020–2021 and 2021–2022, respectively (Table 5).
3.3. Physiological Parameters
Sole and combined application of B and Zn significantly altered protein, soluble sugar, and chlorophyll concentrations. Protein, soluble sugar, and chlorophyll concentrations in leaves were significantly increased under the combined application of B and Zn. The highest values of these traits were recorded with the application of B2 + Zn8 during both study years, while the control treatment resulted in the lowest values (Table 6).
Table 6.
The impact of soil-applied boron and zinc on protein concentration, soluble sugar concentration, chlorophyll concentration, and photosynthesis rate of oilseed rape grown under field conditions during 2020–2021 and 2021–2022.
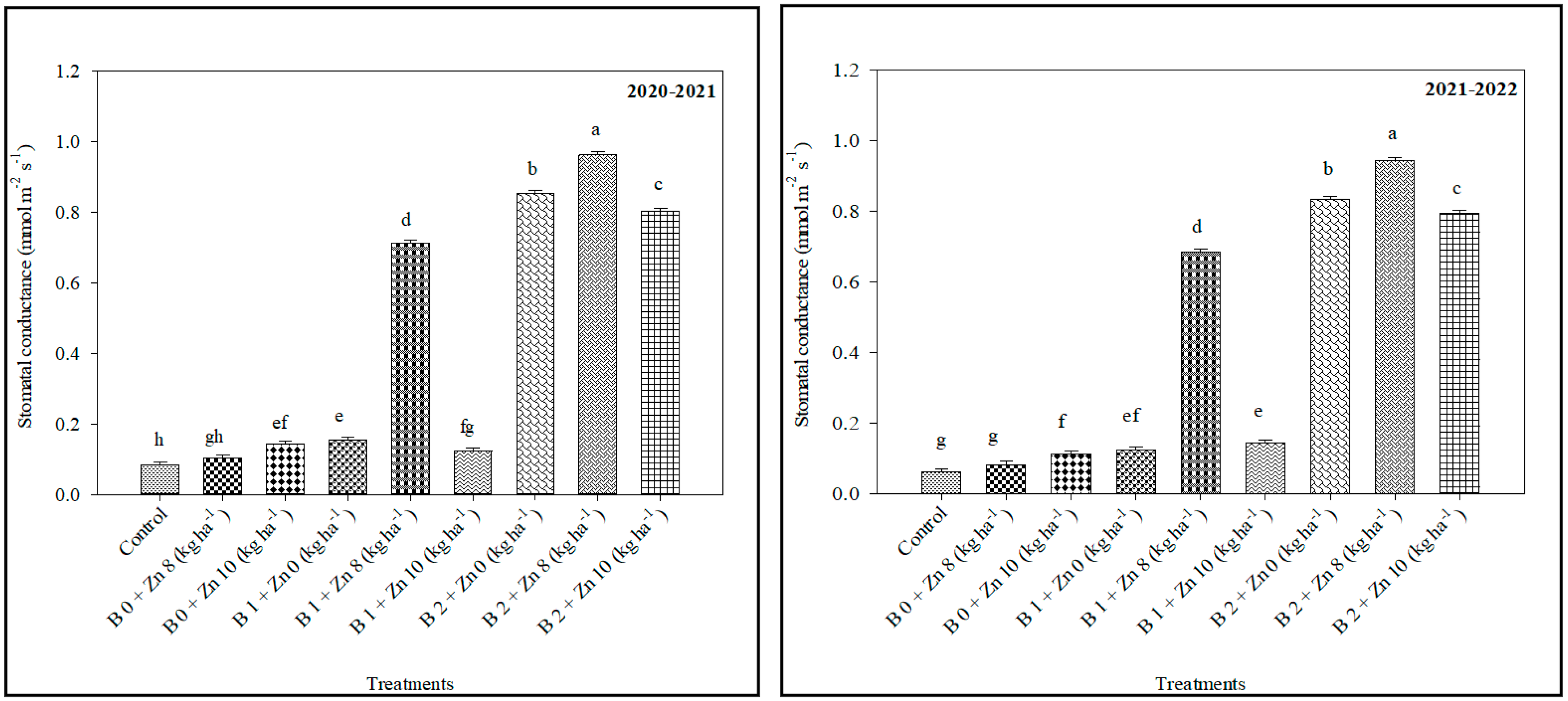
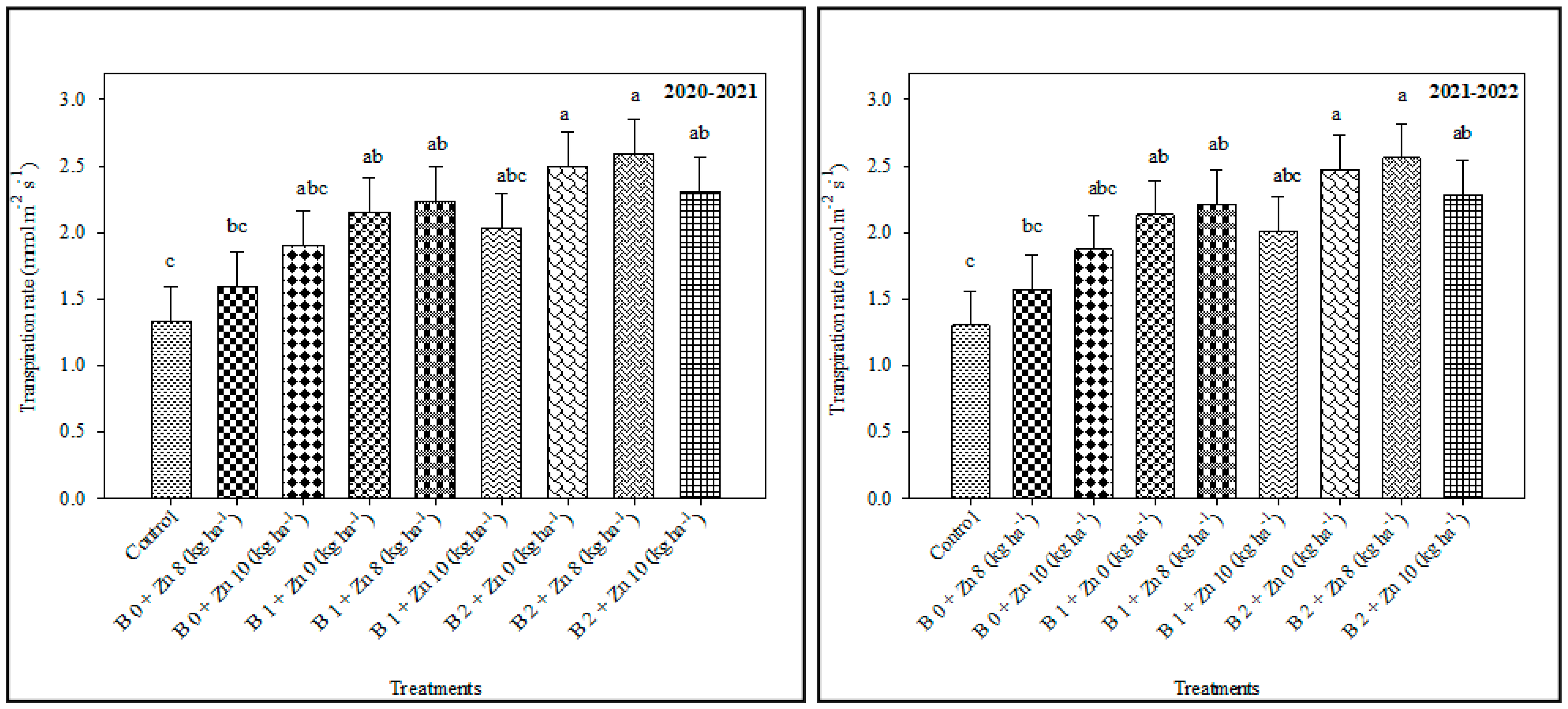
Soil applied B at 2 kg ha−1 alone or in combination with Zn significantly improved the photosynthesis rate. The highest increase in the photosynthesis rate was noted with B2 + Zn8 during both years compared to the control treatment (Table 6). Stomatal conductance and transpiration rate were significantly improved by 91% and 93% and 48% and 49% with B2 + Zn8 compared to the control during 2020–2021 and 2021–2022, respectively (Figure 1 and Figure 2).
Figure 1.
The influence of sole and combined application of boron and zinc on stomatal conductance of oilseed rape plants grown under field conditions during 2020–2021 and 2021–2022. The error bars are standard errors of the means (n = 4). Different letters on the bars indicate significant differences among treatment means (p ≤ 0.05).
Figure 2.
The influence of sole and combined application of boron and zinc on transpiration rate of oilseed rape plants grown under field conditions during 2020–2021 and 2021–2022. The error bars are standard errors of the means (n = 4). Different letters on the bars indicate significant differences among treatment means (p ≤ 0.05).
3.4. Antioxidant Enzyme Activities
Boron and zinc deficiency caused significant oxidative stress in plants, leading to higher activities of POD and SOD enzymes (Figure 3 and Figure 4). The highest and lowest activities of POD and SOD were noted with the control and B2 + Zn8 treatments, respectively. The activities of both enzymes were decreased with an increasing concentration of B and Zn, indicating that plants did not experience oxidative stress when both nutrients were available in sufficient amounts.
Figure 3.
The influence of sole and combined application of boron and zinc on the activity of POD enzyme in oilseed rape plants grown under field conditions during 2020–2021 and 2021–2022. The error bars are standard errors of the means (n = 4). Different letters on the bars indicate significant differences among treatment means (p ≤ 0.05).
Figure 4.
The influence of sole and combined application of boron and zinc on the activity of SOD enzyme in oilseed rape plants grown under field conditions during 2020–2021 and 2021–2022. The error bars are standard errors of the means (n = 4). Different letters on the bars indicate significant differences among treatment means (p ≤ 0.05).
4. Discussion
Micronutrients are required in low amounts by plants, and their deficiencies exert significant negative impacts on the growth, yield, and quality of the produce. Sole and combined application of B and Zn significantly affected growth, seed yield, yield attributes, B and Zn contents in leaves, and oil yield and quality, as well as the physiological and antioxidant characteristics of oilseed rape, as hypothesized. Similarly, the combined application of B and Zn resulted in higher improvements in these traits compared to their individual application. The highest improvements in all traits were recorded with the B2 + Zn8 treatment during both years of this study. Overall, the combined application of B and Zn significantly increased the yield and yield-related attributes of oilseed rape in the current study. This could be attributed to the higher synthesis of assimilates, their improved mobility to potential sinks, and enhanced efficiency in pollination and seed development. Kanwal et al. [75] reported that optimum B and Zn application to the root zone caused a significant and consistent increase in the yield and yield-related traits of oilseed rape. Our results are in agreement with Aref [76] and Rehman et al. [33] who reported that the synergistic impact of these two micronutrients improved plant height, seed yield, and yield characteristics under low B and Zn availability in the soil. Plants uptake the required amount of B if B and Zn are supplemented in B-deficient soils, which improves plant development [77]. Additionally, the soil application of B and Zn resulted in a higher photosynthetic rate and chlorophyll content, ultimately leading to an increase in dry matter and subsequent growth and production [33,78]. Boron plays a crucial role in the synthesis of chlorophyll molecules required for photosynthesis. Sufficient B concentration in the current study probably facilitated the synthesis of chlorophyll, thereby resulting in enhanced leaf pigmentation and vitality in the current study. Zinc is involved in the activation of enzymes that are essential for the process of chlorophyll synthesis. The higher chlorophyll and photosynthesis under the B2 + Zn8 treatment are thought to be the result of enzyme activation, which resulted in better chlorophyll synthesis and subsequently improved photosynthesis.
The application of optimum B and Zn doses significantly improves the growth and yield of crop plants [79]. B and Zn application has been found to have a significant impact on the translocation of photoassimilates from the source (i.e., leaves) to other plant parts and the promotion of pollen tube elongation, ultimately resulting in an increased number of siliques [80,81]. Rehman et al. [49] and Potarzycki and Grzebisz [82] reported that B + Zn application improved the number of siliques per plant due to the higher number of flowers, the appropriate development of pollen and the pollen tube, pollination, and seed formation. It is well described that the application of B and Zn increases the number of seeds per silique and 1000-seed weight [33,83]. Several research studies have reported that the combined application of B and Zn can enhance seed production by increasing yield characteristics [33,84]. The deficiency of these nutrients impedes the development of the petiole and peduncle cells, resulting in diminished growth, seed yield, and yield characteristics [85]. Furthermore, a lower plant height at varying B + Zn concentrations may indicate a sensitive differentiation between deficiency and toxicity, thereby impeding the growth and yield characteristics of the plant without any apparent symptoms [86]. The reduction in plant growth, seed yield, and yield traits observed in the control group or low/higher doses of B + Zn can be attributed to a decrease in enzymatic reactions that regulate cell division and elongation. Conversely, excessive levels of B + Zn can lead to an imbalance of various enzymes, ultimately resulting in a reduction in plant height, seed yield, and yield traits [80]. The application of B2 + Zn10 resulted in enhanced uptake of both B and Zn by the leaves, indicating a synergistic relationship between these nutrients. However, the higher/excessive consumption of B and Zn reduced the growth and yield characteristics.
The observed enhancement in the yield and quality of oil under B2 + Zn8 may be attributed to the participation of micronutrients in the synthesis of elevated levels of fatty acid compounds [87,88]. The combined application of B and Zn may have contributed to the increase in oil content in seeds through the potential impact on the protein content of leaves. Therefore, the optimal utilization of B and Zn has the potential to enhance the seed oil content [29,89]. The combined application of B and Zn resulted in a significant improvement in the yield and quality of oil in the current study. These findings suggest that a synergistic relationship exists between B and Zn [90]. Although B and Zn are crucial for the growth and development of oilseed rape, their application does not directly affect the fatty acid composition of oilseed crops. These micronutrients play a crucial role in facilitating diverse enzymatic processes that are integral to photosynthesis. The increased photosynthetic activity has the potential to result in the elevated production of carbon precursors that can be utilized for the synthesis of fatty acids. The improved fatty acid profile of the oilseed rape oil in the current study can be linked to improved photosynthesis and, subsequently, the production of carbon precursors, which are utilized by plants for the synthesis of fatty acids.
The highest protein concentration, soluble sugar concentration, chlorophyll concentration, photosynthesis rate, stomatal conductance, and transpiration rate were recorded under the B2 + Zn8 treatment during both years. Zinc plays a crucial role in the structural composition and catalytic mechanisms of proteins and enzymes, thereby significantly contributing to plant development and exhibiting a favorable impact on growth. Consequently, Zn deficiency in plants may result in a reduction in protein and soluble sugar concentration in grains and lower amino acids in plant parts [91]. Higher protein concentration and soluble sugar concentration observed under B2 + Zn8 could impede the mobility of antioxidant enzymes, which causes oxidative destruction to protein and soluble sugar [32]. Photosynthesis in plants involves the absorption of light to produce organic compounds. The application of B2 alone increased leaf area, potentially leading to an improvement in the production of indole acetic acid. This hormone promotes chlorophyll concentration and the photosynthetic rate, which might be attributed to the higher photosynthesis rate in the current study [92]. Boron plays a crucial role in the maintenance of structural integrity, particularly in relation to the vascular tissues responsible for the transportation of water. The regulation of B levels has the potential to impact stomatal conductance and the intra-plant movement of water. Sufficient zinc concentrations have the capacity to regulate stomatal conductance and effectively manage transpiration. The optimum Zn and B supply in the current study improved the protein concentration, soluble sugar concentration, chlorophyll concentration, photosynthesis rate, stomatal conductance, and transpiration rate in the current study by improvements in these processes.
Zinc efficiently improves chlorophyll concentration through enzyme activation, photosynthesis rate, and the movement of photosynthate to seeds [93]. Our results corroborate the findings of Aref [76], who found that the synergistic effect of B and Zn increases chlorophyll contents and the photosynthesis rate. In the current experiment, B and Zn application improved chlorophyll contents and the photosynthesis rate, while higher rates of B + Zn reduced chlorophyll concentration, which might be attributed to the toxicity of these nutrients. Similar outcomes were obtained by Akta et al. [94] who concluded that an increase in B and Zn contents decreased the chlorophyll contents in leaves. Lower stomatal conductance and transpiration rates were recorded in Zn- and B-deficient plants during both years in the current study, which might be attributed to the destruction of the vascular bundle [95]. An impairment of the xylem vessels decreases the movement of water from the roots to the leaves, thereby impacting the stomatal conductance and transpiration rate. On the other hand, phloem impairment can impede the transportation of essential nutrients and sugars, thereby exerting an indirect influence on stomatal conductance and photosynthetic processes. Reduced transpiration rate and stomatal conductance under B and Zn deficiency in the current study are due to these processes. Pinho et al. [96] also concluded that a linear relationship persists among stomatal conductance and transpiration rates and micronutrient availability. Han et al. [97] stated that B application (2 kg ha−1) increased stomatal conductance and reduced intercellular CO2 absorption. Enhancements in physiological characteristics may lead to better crop growth due to the initiation of various physiological processes that result in increased seed production and improved oil quality [28,98,99]. However, B and Zn deficiencies cause yellowing of the foliage and necrosis [100].
In present study, peroxidase (POD) and superoxide dismutase (SOD) activity was lower under B2 + Zn8, indicating that there was low oxidative stress in this treatment. Antioxidant enzymes play an active role in reducing the detrimental effects of ROS species on photosynthesis and photorespiration. The highest POD and SOD activities were recorded for the control treatments, indicating that deficiency of B and Zn caused oxidative stress in plants. Nevertheless, B and Zn application lowered oxidative stress, as evidenced by the reduced activities of these enzymes.
5. Conclusions
It can be concluded that the combined application of B and Zn (2 and 8 kg ha−1, respectively) in soil could be successfully used to improve the yield, yield-related attributes, and oil quality of oilseed rape. Significantly higher oil yield and quality were recorded under the B2 + Zn8 treatment. The combined application of B and Zn (2 and 8 kg ha−1, respectively) significantly improved the physiological characteristics and activities of antioxidant enzymes. Therefore, successful enhancements in the yield, yield-related characteristics, and oil quality of oilseed rape can be achieved through the combined application of B and Zn at rates of 2 and 8 kg ha−1, respectively, under semiarid climatic conditions.
Author Contributions
Conceptualization, M.E.S., M.A.N., S.F., A.G., S.M., M.S.A., M.S.E. and M.A.A.A.; data curation, A.J.; formal analysis, R.Q., A.G., S.M., M.S.E. and M.A.A.A.; funding acquisition, A.G., S.M., M.S.A. and M.S.E.; investigation, A.J.; methodology, M.E.S., R.Q. and H.M.R.J.; project administration, M.A.N.; resources, M.S.A.; software, R.Q., A.J. and H.M.R.J.; supervision, M.E.S.; validation, H.M.R.J.; visualization, R.Q., A.J., S.F. and M.S.E.; writing—original draft, M.E.S.; writing—review and editing, R.Q., M.A.N., S.F., A.G., S.M., M.S.A., M.S.E. and M.A.A.A. All authors have read and agreed to the published version of the manuscript.
Funding
The APC was funded by the University of Life Sciences in Lublin, from a subsidy granted by the Minister of Education and Science of Poland. The authors extend their appreciation to the Researchers Supporting Project (number: RSP2023R173), King Saud University, Riyadh, Saudi Arabia.
Data Availability Statement
All data are provided within the manuscript.
Acknowledgments
The authors would like to acknowledge the Department of Agronomy, the College of Agriculture, the University of Sargodha, for funding to conduct this study. The authors extend their appreciation to the Researchers Supporting Project (number: RSP2023R173), King Saud University, Riyadh, Saudi Arabia.
Conflicts of Interest
The authors declare no conflict of interest.
References
- de Oliveira Neto, S.S.; Zeffa, D.M.; Freiria, G.H.; Zoz, T.; da Silva, C.J.; Zanotto, M.D.; Sobrinho, R.L.; Alamri, S.A.; Okla, M.K.; AbdElgawad, H. Adaptability and Stability of Safflower Genotypes for Oil Production. Plants 2022, 11, 708. [Google Scholar] [CrossRef] [PubMed]
- Hussain, M.; Ul-Allah, S.; Farooq, S. Sesame (Sesamum indicum L.). In Neglected and Underutilized Crops; Elsevier: Amsterdam, The Netherlands, 2023; pp. 733–755. [Google Scholar]
- GOP. Economic Survey of Pakistan; Economic Advisory Wing: Islamabad, Pakistan, 2021. [Google Scholar]
- Singh, V.; Pandey, S.; Synrem, G. Line x Tester Analysis for Seed Yield and Its Components in Toria (Brassica campestris L. Var. Toria). J. Pharmacogn. Phytochem 2022, 11, 393–398. [Google Scholar]
- FAO. FAOSTAT 2023. Available online: www.faostat.fao.org (accessed on 11 January 2023).
- Gunstone, F.D. Vegetable Oils in Food Technology; Gunstone, F.D., Ed.; Wiley: Hoboken, NJ, USA, 2011; ISBN 9781444332681. [Google Scholar]
- Barth, C.A. Rapeseed for Human Nutrition–Present Knowledge and Future Options. In Proceedings of the 12th International Rapeseed Congress, Wuhan, China, 26–30 March 2007; pp. 3–5. [Google Scholar]
- Ghazani, S.M.; Marangoni, A.G. Minor Components in Canola Oil and Effects of Refining on These Constituents: A Review. J. Am. Oil Chem. Soc. 2013, 90, 923–932. [Google Scholar] [CrossRef]
- Li, X.; Yu, X.; Yang, H.; Wang, J.; Li, Z.; Bai, C.; Wang, J.; Wang, B.; Zhou, G.; Kuai, J. Physiological Response Mechanism of Oilseed Rape to Abiotic Stress and the Stress-Resistant Cultivation Regulation. In Sustainable Crop Productivity and Quality Under Climate Change; Elsevier: Amsterdam, The Netherlands, 2022; pp. 207–234. [Google Scholar]
- Molazem, D.; Azimi, J.; Dideban, T. Measuring the Yield and Its Components, in the Canola in Different Planting Date and Plant Density of the West Guilan. Int. J. Agric. Crop Sci. 2013, 6, 869–872. [Google Scholar]
- Wynne, K.; Neely, C.B.; Adams, C.; Kimura, E.; DeLaune, P.B.; Hathcoat, D.; Gerrish, B. Testing Row Spacing and Planting Rate for Fall-planted Spring Canola in the Southern United States. Agron. J. 2020, 112, 1952–1962. [Google Scholar] [CrossRef]
- Dirwai, T.L.; Senzanje, A.; Mabhaudhi, T. Calibration and Evaluation of the FAO AquaCrop Model for Canola (Brassica napus) under Varied Moistube Irrigation Regimes. Agriculture 2021, 11, 410. [Google Scholar] [CrossRef]
- Weymann, W.; Böttcher, U.; Sieling, K.; Kage, H. Effects of Weather Conditions during Different Growth Phases on Yield Formation of Winter Oilseed Rape. Field Crop. Res. 2015, 173, 41–48. [Google Scholar] [CrossRef]
- Moradi Aghdam, A.; Sayfzadeh, S.; Shirani Rad, A.H.; Valadabadi, S.A.; Zakerin, H.R. The Assessment of Water Stress and Delay Cropping on Quantitative and Qualitative Traits of Rapeseed Genotypes. Ind. Crops Prod. 2019, 131, 160–165. [Google Scholar] [CrossRef]
- Gan, Y.; Angadi, S.V.; Cutforth, H.; Potts, D.; Angadi, V.V.; McDonald, C.L. Canola and Mustard Response to Short Periods of Temperature and Water Stress at Different Developmental Stages. Can. J. Plant Sci. 2004, 84, 697–704. [Google Scholar] [CrossRef]
- Ebrahimian, E.; Bybordi, A.; Seyyedi, S.M. How Nitrogen and Zinc Levels Affect Seed Yield, Quality, and Nutrient Uptake of Canola Irrigated with Saline and Ultra-Saline Water. Commun. Soil Sci. Plant Anal. 2017, 48, 345–355. [Google Scholar] [CrossRef]
- Procko, C.; Crenshaw, C.M.; Ljung, K.; Noel, J.P.; Chory, J. Cotyledon-Generated Auxin Is Required for Shade-Induced Hypocotyl Growth in Brassica rapa. Plant Physiol. 2014, 165, 1285–1301. [Google Scholar] [CrossRef]
- Kadioglu, H.; Hatterman-Valenti, H.; Jia, X.; Chu, X.; Aslan, H.; Simsek, H. Groundwater Table Effects on the Yield, Growth, and Water Use of Canola (Brassica napus L.) Plant. Water 2019, 11, 1730. [Google Scholar] [CrossRef]
- Borie, F.; Rubio, R.; Rouanet, J.L.; Morales, A.; Borie, G.; Rojas, C. Effects of Tillage Systems on Soil Characteristics, Glomalin and Mycorrhizal Propagules in a Chilean Ultisol. Soil Tillage Res. 2006, 88, 253–261. [Google Scholar] [CrossRef]
- Stevenson, F.J. Organic Matter-Micronutrient Reactions in Soil. In Micronutrients in Agriculture; Soil Science Society of America, Inc.: Madison, WI, USA, 2018; pp. 145–186. ISBN 9780891188780. [Google Scholar]
- Rehman, A.; Farooq, M.; Ozturk, L.; Asif, M.; Siddique, K.H.M. Zinc Nutrition in Wheat-Based Cropping Systems. Plant Soil 2018, 422, 283–315. [Google Scholar] [CrossRef]
- Nataraja, T.H.; Halepyati, A.S.; Pujari, B.T.; Desai, B.K. Influence of Phosphorus Levels and Micronutrients on Physiological Parameters of Wheat (Triticum durum Dcsf.). Karnataka J. Agric. Sci. 2006, 19, 685–687. [Google Scholar]
- Chaudry, E.H.; Timmer, V.; Javed, A.S.; Siddique, M.T. Wheat Response to Micronutrients in Rainfed Areas of Punjab. Soil Environ. 2007, 26, 97–101. [Google Scholar]
- Mandal, A.; Patra, A.; Singh, D.; Swarup, A.; Ebhinmasto, R. Effect of Long-Term Application of Manure and Fertilizer on Biological and Biochemical Activities in Soil during Crop Development Stages. Bioresour. Technol. 2007, 98, 3585–3592. [Google Scholar] [CrossRef]
- Tsonev, T.; Cebola Lidon, F.J. Zinc in Plants-an Overview. Emir. J. Food Agric. 2012, 24, 322–333. [Google Scholar]
- Umair Hassan, M.; Aamer, M.; Umer Chattha, M.; Haiying, T.; Shahzad, B.; Barbanti, L.; Nawaz, M.; Rasheed, A.; Afzal, A.; Liu, Y.; et al. The Critical Role of Zinc in Plants Facing the Drought Stress. Agriculture 2020, 10, 396. [Google Scholar] [CrossRef]
- Tang, L.; Hamid, Y.; Liu, D.; Shohag, M.J.I.; Zehra, A.; He, Z.; Feng, Y.; Yang, X. Foliar Application of Zinc and Selenium Alleviates Cadmium and Lead Toxicity of Water Spinach—Bioavailability/Cytotoxicity Study with Human Cell Lines. Environ. Int. 2020, 145, 106122. [Google Scholar] [CrossRef]
- Cakmak, I. Enrichment of Cereal Grains with Zinc: Agronomic or Genetic Biofortification? Plant Soil 2008, 302, 1–17. [Google Scholar] [CrossRef]
- Shoja, T.; Majidian, M.; Rabiee, M. Effects of Zinc, Boron and Sulfur on Grain Yield, Activity of Some Antioxidant Enzymes and Fatty Acid Composition of Rapeseed (Brassica napus L.). Acta Agric. Slov. 2018, 111, 73–84. [Google Scholar] [CrossRef][Green Version]
- Afsahi, K.; Nazari, M.; Omidi, H.; Shekari, F.; Bostani, A.A. The Effects of Different Methods of Zinc Application on Canola Seed Yield and Oil Content. J. Plant Nutr. 2020, 43, 1070–1079. [Google Scholar] [CrossRef]
- Rafique, E.; Rashid, A.; Ryan, J.; Bhatti, A.U. Zinc Deficiency in Rainfed Wheat in Pakistan: Magnitude, Spatial Variability, Management, and Plant Analysis Diagnostic Norms. Commun. Soil Sci. Plant Anal. 2006, 37, 181–197. [Google Scholar] [CrossRef]
- Cakmak, I. Tansley Review No. 111 Possible Roles of Zinc in Protecting Plant Cells from Damage by Reactive Oxygen Species. New Phytol. 2000, 146, 185–205. [Google Scholar] [CrossRef]
- Rehman, A.u.; Wang, X.; Hussain, A.; Qamar, R.; Khalofah, A.; Hussain, M. Boron Application in Yermosols Improves Grain Yield and Quality of Chickpea (Cicer arietinum L.). J. King Saud Univ. Sci. 2022, 34, 101768. [Google Scholar] [CrossRef]
- Ahmad, W.; Zia, M.H.; Malhi, S.S.; Niaz, A.; Ullah, S. Boron Deficiency in Soils and Crops: A Review. Crop Plant 2012, 2012, 65–97. [Google Scholar]
- Oosterhuis, D.M.; Zhao, D. Effect of Boron Deficiency on the Growth and Carbohydrate Metabolism of Cotton. In Plant Nutrition; Springer: Berlin/Heidelberg, Germany, 2001; pp. 166–167. [Google Scholar]
- Goldbach, H.E.; Yu, Q.; Wingender, R.; Schulz, M.; Wimmer, M.; Findeklee, P.; Baluška, F. Rapid Response Reactions of Roots to Boron Deprivation. J. Plant Nutr. Soil Sci. 2001, 164, 173–181. [Google Scholar] [CrossRef]
- Miwa, K.; Fujiwara, T. Boron Transport in Plants: Co-Ordinated Regulation of Transporters. Ann. Bot. 2010, 105, 1103–1108. [Google Scholar] [CrossRef]
- Rashid, A.; Ryan, J. Micronutrient Constraints to Crop Production in Soils with Mediterranean-Type Characteristics: A Review. J. Plant Nutr. 2004, 27, 959–975. [Google Scholar] [CrossRef]
- Gupta, U.; Solanki, H. Impact of Boron Deficiency on Plant Growth. Int. J. Bioassays 2013, 2, 1048–1050. [Google Scholar]
- Kastori, R.; Maksimovic, I.; Kraljevic-Balalic, M.; Kobiljski, B. Physiological and Genetic Basis of Plant Tolerance to Excess Boron. Zb. Matice Prir. Nauk. 2008, 114, 41–51. [Google Scholar] [CrossRef]
- McClung, J.P. Iron, Zinc, and Physical Performance. Biol. Trace Element Res. 2019, 188, 135–139. [Google Scholar] [CrossRef]
- Pizzorno, L. Nothing Boring about Boron. Integr. Med. 2015, 14, 35. [Google Scholar]
- Welch, R.M.; Graham, R.D. Breeding for Micronutrients in Staple Food Crops from a Human Nutrition Perspective. J. Exp. Bot. 2004, 55, 353–364. [Google Scholar] [CrossRef]
- Zoveda, F.; Garcia, S.; Pandey, S.; Thomas, G.; Soto, D.; Bianchi, G.; Steinfeld, H.; Faures, J.M.; Griffin, J.; Lipper, L.; et al. Building a Common Vision for Sustainable Food and Agriculture: Principles and Approaches; Food and Agriculture Organization of the United Nations: Rome, Italy, 2014; Available online: https://www.fao.org/3/i3940e/i3940e.pdf (accessed on 10 June 2023).
- Alloway, B.J. Soil Factors Associated with Zinc Deficiency in Crops and Humans. Environ. Geochem. Health 2009, 31, 537–548. [Google Scholar] [CrossRef]
- Khoshgoftarmanesh, A.H.; Schulin, R.; Chaney, R.L.; Daneshbakhsh, B.; Afyuni, M. Micronutrient-Efficient Genotypes for Crop Yield and Nutritional Quality in Sustainable Agriculture. A Review. Agron. Sustain. Dev. 2010, 30, 83–107. [Google Scholar] [CrossRef]
- Rehman, A.; Farooq, M.; Naveed, M.; Nawaz, A.; Shahzad, B. Seed Priming of Zn with Endophytic Bacteria Improves the Productivity and Grain Biofortification of Bread Wheat. Eur. J. Agron. 2018, 94, 98–107. [Google Scholar] [CrossRef]
- Ngozi, U.F. The Role of Biofortification in the Reduction of Micronutrient Food Insecurity in Developing Countries. Afr. J. Biotechnol. 2013, 12, 5559–5566. [Google Scholar]
- Atique-ur-Rehman; Ali, U.I.; Qamar, R.; Rehman, A.; Hussain, M.; Javeed, H.M.R.; Ahmad, S. Boron Foliage Application Mediates Growth, Oil Yield and Quality of Sunflower in Yermosols of Southern Punjab. Int. J. Agric. Biol. 2019, 21, 209–214. [Google Scholar] [CrossRef]
- Alloway, B.J. Micronutrient Deficiencies in Global Crop Production; Springer Science & Business Media: Berlin/Heidelberg, Germany, 2008; ISBN 1402068603. [Google Scholar]
- He, D.-H.; Lin, Z.-X.; Zhang, X.-L.; Nie, Y.-C.; Guo, X.-P.; Feng, C.-D.; Stewart, J.M. Mapping QTLs of Traits Contributing to Yield and Analysis of Genetic Effects in Tetraploid Cotton. Euphytica 2005, 144, 141–149. [Google Scholar] [CrossRef]
- Usman, A.R.A.; Mohamed, H.M. Effect of Microbial Inoculation and EDTA on the Uptake and Translocation of Heavy Metal by Corn and Sunflower. Chemosphere 2009, 76, 893–899. [Google Scholar] [CrossRef]
- Mousavi, S.R.; Galavi, M.; Ahmadvand, G. Effect of Zinc and Manganese Foliar Application on Yield, Quality and Enrichment on Potato (Solanum tuberosum L.). Asian J. Plant Sci. 2007, 6, 1256–1260. [Google Scholar] [CrossRef]
- Bouyoucos, G.J. A Recalibration of the Hydrometer Method for Making Mechanical Analysis of Soils 1. Agron. J. 1951, 43, 434–438. [Google Scholar] [CrossRef]
- U.S. Government Printing Office. Salinity Laboratory Staff Diagnosis and Improvement of Saline and Alkali Soils, USDA Handbook 60; U.S. Government Printing Office: Washington, DC, USA, 1954.
- Dellavalle, N.B. Determination of Soil-Paste PH and Conductivity of Saturation Extract. In Handbook on Reference Methods for Soil Analysis; Soil Plant Analysis Council Inc.: Athens, Greece, 1992; pp. 40–43. [Google Scholar]
- Walkley, A.; Black, I.A. An Examination of the Degtjareff Method for Determining Soil Organic Matter, and a Proposed Modification of the Chromic Acid Titration Method. Soil Sci. 1934, 37, 29–38. [Google Scholar] [CrossRef]
- Campbell, W.R.; Hanna, M.I. The Determination of Nitrogen by Modified Kjeldahl Methods. J. Biol. Chem. 1937, 119, 1–7. [Google Scholar] [CrossRef]
- Olsen, S.R. Estimation of Available Phosphorus in Soils by Extraction with Sodium Bicarbonate; US Department of Agriculture: Washington, DC, USA, 1954.
- Knudsen, D.; Peterson, G.A.; Pratt, P.F. Lithium, Sodium, and Potassium. Methods Soil Anal. Part 2 Chem. Microbiol. Prop. 1983, 9, 225–246. [Google Scholar]
- Johnson, G.V.; Fixen, P.E. Testing Soils for Sulfur, Boron, Molybdenum, and Chlorine. In Soil Testing and Plant Analysis, 3rd ed.; Soil Science Society of America: Madison, WI, USA, 1990; pp. 265–273. [Google Scholar]
- Lindsay, W.L.; Martens, D.C. Testing Soils for Copper, Iron, Manganese, and Zinc. Soil Test. Plant Anal. 1990, 3, 229–264. [Google Scholar]
- Bingham, F.T. Boron. Methods Soil Anal. Part 2 Chem. Microbiol. Prop. 1983, 9, 431–447. [Google Scholar]
- Allen, S.E.; Grimshaw, H.M.; Rowland, A.P. Chemical Analysis. Methods in Plant Ecology; Moore, P.D., Chapman, S.B., Eds.; Blackwell: London, UK, 1986. [Google Scholar]
- Metcalfe, L.D.; Schmitz, A.A.; Pelka, J.R. Rapid Preparation of Fatty Acid Esters from Lipids for Gas Chromatographic Analysis. Anal. Chem. 1966, 38, 514–515. [Google Scholar] [CrossRef]
- Bradford, M.M. A Rapid and Sensitive Method for the Quantitation of Microgram Quantities of Protein Utilizing the Principle of Protein-Dye Binding. Anal. Biochem. 1976, 72, 248–254. [Google Scholar] [CrossRef] [PubMed]
- Yemm, E.W.; Willis, A.J. The Estimation of Carbohydrates in Plant Extracts by Anthrone. Biochem. J. 1954, 57, 508–514. [Google Scholar] [CrossRef]
- Khan, W.; Prithiviraj, B.; Smith, D.L. Photosynthetic Responses of Corn and Soybean to Foliar Application of Salicylates. J. Plant Physiol. 2003, 160, 485–492. [Google Scholar] [CrossRef]
- Zekri, M. Effects of NaCl on Growth and Physiology of Sour Orange and Cleopatra Mandarin Seedlings. Sci. Hortic. 1991, 47, 305–315. [Google Scholar] [CrossRef]
- Moya, J.L. Chloride Absorption in Salt-Sensitive Carrizo Citrange and Salt-Tolerant Cleopatra Mandarin Citrus Rootstocks Is Linked to Water Use. J. Exp. Bot. 2003, 54, 825–833. [Google Scholar] [CrossRef]
- Azhar, N.; Hussain, B.; Ashraf, M.Y.; Abbasi, K.Y. Water Stress Mediated Changes in Growth, Physiology and Secondary Metabolites of Desi Ajwain (Trachyspermum ammi L.). Pak. J. Bot. 2011, 43, 15–19. [Google Scholar]
- Ullah, N.; Haq, I.U.; Safdar, N.; Mirza, B. Physiological and Biochemical Mechanisms of Allelopathy Mediated by the Allelochemical Extracts of Phytolacca latbenia (Moq.) H. Walter. Toxicol. Ind. Health 2015, 31, 931–937. [Google Scholar] [CrossRef] [PubMed]
- Beyer, W.F.; Fridovich, I. Assaying for Superoxide Dismutase Activity: Some Large Consequences of Minor Changes in Conditions. Anal. Biochem. 1987, 161, 559–566. [Google Scholar] [CrossRef]
- Steel, R.G.D.; Torrie, J.H.; Dickey, D. Principles and Procedure of Statistics. A Biometrical Approach, 3rd ed.; McGraw HillBookCo. Inc.: New York, NY, USA, 1997; pp. 352–358. [Google Scholar]
- Kanwal, S.; Rahmatullah; Maqsood, M.A.; Bakhat, H.F.S.G. Zinc Requirement of Maize Hybrids and Indigenous Varieties on Udic Haplustalf. J. Plant Nutr. 2009, 32, 470–478. [Google Scholar] [CrossRef]
- Aref, F. Influence of Zinc and Boron Interaction on Residual Available Iron and Manganese in the Soil after Corn Harvest. Am. Eurasian J. Agric. Environ. Sci. 2010, 8, 767–772. [Google Scholar]
- Shaaban, M.M.; El-Fouly, M.M.; Abdel, A.-W.A. Zinc-Boron Relationship in Wheat Plants Grown under Low or High Levels of Calcium Carbonate in the Soil. Pak. J. Biol. Sci. 2004, 7, 633–639. [Google Scholar] [CrossRef]
- Tariq, A.; Anjum, S.A.; Randhawa, M.A.; Ullah, E.; Naeem, M.; Qamar, R.; Ashraf, U.; Nadeem, M. Influence of Zinc Nutrition on Growth and Yield Behaviour of Maize (Zea mays L.) Hybrids. Am. J. Plant Sci. 2014, 05, 2646–2654. [Google Scholar] [CrossRef]
- Beckie, H.J.; Francis, A.; Hall, L.M. The Biology of Canadian Weeds. 27. Avena fatua L. (Updated). Can. J. Plant Sci. 2012, 92, 1329–1357. [Google Scholar] [CrossRef]
- Silva, C.A.T.; Cagol, A.; Silva, T.R.B.; Nobrega, L.H.P. Boron Application before Sowing of Sunflower Hybrid. J. Food Agric. Environ. 2011, 9, 580–583. [Google Scholar]
- Shrestha, A.; Pradhan, S.; Shrestha, J.; Subedi, M. Role of Seed Priming in Improving Seed Germination and Seedling Growth of Maize (Zea mays L.) under Rain Fed Condition. J. Agric. Nat. Resour. 2019, 2, 265–273. [Google Scholar] [CrossRef]
- Potarzycki, J.; Grzebisz, W. Effect of Zinc Foliar Application on Grain Yield of Maize and Its Yielding Compone. Plant Soil Environ. 2009, 55, 519–527. [Google Scholar] [CrossRef]
- Morshedi, A.; Naghibi, H. Effects of Foliar Application of CU and ZN on Yield and Quality of Canola Seed (Brassica napus L.). J. Agric. 2004, 11, 15–22. [Google Scholar]
- Yang, M.; Shi, L.; Xu, F.-S.; Lu, J.-W.; Wang, Y.-H. Effects of B, Mo, Zn, and Their Interactions on Seed Yield of Rapeseed (Brassica napus L.). Pedosphere 2009, 19, 53–59. [Google Scholar] [CrossRef]
- De Oliveira, R.H.; Dias Milanez, C.R.; Moraes-Dallaqua, M.A.; Rosolem, C.A. Boron Deficiency Inhibits Petiole and Peduncle Cell Development and Reduces Growth of Cotton. J. Plant Nutr. 2006, 29, 2035–2048. [Google Scholar] [CrossRef]
- Fontes, R.L.F.; Medeiros, J.F.; Neves, J.C.L.; Carvalho, O.S.; Medeiros, J.C. Growth of Brazilian Cotton Cultivars in Response to Soil Applied Boron. J. Plant Nutr. 2008, 31, 902–918. [Google Scholar] [CrossRef]
- Bellaloui, N.; Hu, Y.; Mengistu, A.; Kassem, M.A.; Abel, C.A. Effects of Foliar Boron Application on Seed Composition, Cell Wall Boron, and Seed Δ15N and Δ13C Isotopes in Water-Stressed Soybean Plants. Front. Plant Sci. 2013, 4, 270. [Google Scholar] [CrossRef]
- Sher, A.; Sattar, A.; Qayyum, A.; Ijaz, M.; Nawaz, A.; Manaf, A.; Hussain, M. Optimizing the NPK Application in White Mustard (Sinapis alba L.) under an Arid Climate in Punjab, Pakistan. J. Plant Nutr. 2019, 42, 1556–1565. [Google Scholar] [CrossRef]
- Kalantar Ahmadi, A.; Shoushi Dezfouli, A.A. Effects of Foliar Application of Micronutrients on Seed Yield and Oil Quality of Canola (Brassica napus L. Cv. Hyola401) under Drought Stress Conditions. Iran. Soc. Crops Plant Breed. Sci. 2019, 21, 237–253. [Google Scholar] [CrossRef]
- Bellaloui, N.; Hanks, J.E.; Fisher, D.K.; Mengistu, A. Soybean Seed Composition Is Influenced by Within-Field Variability in Soil Nutrients. Crop Manag. 2009, 8, 1–12. [Google Scholar] [CrossRef]
- McGrath, S.P.; Zhao, F.J. Sulphur Uptake, Yield Responses and the Interactions between Nitrogen and Sulphur in Winter Oilseed Rape (Brassica napus). J. Agric. Sci. 1996, 126, 53–62. [Google Scholar] [CrossRef]
- Zhou, T.; Hua, Y.; Huang, Y.; Ding, G.; Shi, L.; Xu, F. Physiological and Transcriptional Analyses Reveal Differential Phytohormone Responses to Boron Deficiency in Brassica napus Genotypes. Front. Plant Sci. 2016, 7, 221. [Google Scholar] [CrossRef]
- Wang, N.; Daun, J. Effects of Variety and Crude Protein Content on Nutrients and Anti-Nutrients in Lentils (Lens culinaris). Food Chem. 2006, 95, 493–502. [Google Scholar] [CrossRef]
- Akta, L.Y.; Gemici, M.; Türkyalmaz, B.; Güven, A. The Effects of High Boron Concentration on Growing and Protein Metabolism in Wheat. JA Natoila Eagean Agric. Res. 2004, 14, 88–99. [Google Scholar]
- Li, Y.; Hou, L.; Song, B.; Yang, L.; Li, L. Effects of Increased Nitrogen and Phosphorus Deposition on Offspring Performance of Two Dominant Species in a Temperate Steppe Ecosystem. Sci. Rep. 2017, 7, 40951. [Google Scholar] [CrossRef]
- Pinho, L.G.R.; Campostrini, E.; Monnerat, P.H.; Netto, A.T.; Pires, A.A.; Marciano, C.R.; Soares, Y.J.B. Boron Deficiency Affects Gas Exchange and Photochemical Efficiency (JPI Test Parameters) in Green Dwarf Coconut. J. Plant Nutr. 2010, 33, 439–451. [Google Scholar] [CrossRef]
- Han, S.; Chen, L.-S.; Jiang, H.-X.; Smith, B.R.; Yang, L.-T.; Xie, C.-Y. Boron Deficiency Decreases Growth and Photosynthesis, and Increases Starch and Hexoses in Leaves of Citrus Seedlings. J. Plant Physiol. 2008, 165, 1331–1341. [Google Scholar] [CrossRef]
- Khan, M.B.; Farooq, M.; Hussain, M.; Shahnawaz; Shabir, G. Foliar Application of Micronutrients Improves the Wheat Yield and Net Economic Return. Int. J. Agric. Biol. 2010, 12, 953–956. [Google Scholar]
- Marschner, P. Marschner’s Mineral Nutrition of Higher Plants, 3rd ed.; Academic Press: Cambridge, MA, USA, 2011; ISBN 9780123849052. [Google Scholar]
- Monreal, C.M.; DeRosa, M.; Mallubhotla, S.C.; Bindraban, P.S.; Dimkpa, C. The Application of Nanotechnology for Micronutrients in Soil-Plant Systems (VFRC Report 2015/3). VFRC Rep. 2015, 3, 44. [Google Scholar]
Disclaimer/Publisher’s Note: The statements, opinions and data contained in all publications are solely those of the individual author(s) and contributor(s) and not of MDPI and/or the editor(s). MDPI and/or the editor(s) disclaim responsibility for any injury to people or property resulting from any ideas, methods, instructions or products referred to in the content. |
© 2023 by the authors. Licensee MDPI, Basel, Switzerland. This article is an open access article distributed under the terms and conditions of the Creative Commons Attribution (CC BY) license (https://creativecommons.org/licenses/by/4.0/).



