Micronutrient Fertiliser Reinforcement by Fulvate–Lignosulfonate Coating Improves Physiological Responses in Tomato
Abstract
1. Introduction
2. Materials and Methods
2.1. Experimental Design and Fertiliser Treatments
2.2. Soil Fertility Characterisation
2.3. Growth Analysis
2.4. Gas Exchange Analysis
2.5. Leaf Greenness and Effective Quantum Yield of Photosystem II
2.6. Leaf Nutrient Contents
2.7. Statistical Analysis
3. Results
3.1. Impact of Different Fertilisers on Plant Growth and Development
3.2. Gas Exchange, Leaf Greenness and ΦPSII
3.3. Foliar Content of Macro- and Micronutrients
3.4. Principal Component Analysis (PCA)
4. Discussion
5. Conclusions
Author Contributions
Funding
Data Availability Statement
Acknowledgments
Conflicts of Interest
References
- Collins, E.J.; Bowyer, C.; Tsouza, A.; Chopra, M. Tomatoes: An Extensive Review of the Associated Health Impacts of Tomatoes and Factors That Can Affect Their Cultivation. Biology 2022, 11, 239. [Google Scholar] [CrossRef] [PubMed]
- Quinet, M.; Angosto, T.; Yuste-Lisbona, F.J.; Blanchard-Gros, R.; Bigot, S.; Martinez, J.P.; Lutts, S. Tomato Fruit Development and Metabolism. Front. Plant Sci. 2019, 10, 1554. [Google Scholar] [CrossRef] [PubMed]
- Imran, M.; Ghorat, F.; Ul-Haq, I.; Ur-Rehman, H.; Aslam, F.; Heydari, M.; Shariati, M.A.; Okuskhanova, E.; Yessimbekov, Z.; Thiruvengadam, M.; et al. Lycopene as a Natural Antioxidant Used to Prevent Human Health Disorders. Antioxidants 2020, 9, 706. [Google Scholar] [CrossRef] [PubMed]
- FAOSTAT. Available online: http://www.fao.org/faostat/en/#data/QC (accessed on 6 February 2023).
- Maroto-Borrego, J.V. Horticultura Herbácea Especial, 5th ed.; Mundi-Prensa: Madrid, Spain, 2002; pp. 1–704. [Google Scholar]
- Official Chamber of Commerce, Industry, Services and Navigation of Spain. Available online: http://aduanas.camaras.org (accessed on 5 February 2023).
- Roberts, D.; Mattoo, A. Sustainable Crop Production Systems and Human Nutrition. Front. Sustain. Food Syst. 2019, 3, 72. [Google Scholar] [CrossRef]
- Katyal, J.C.; Randhawa, N.S. Micronutrients. FAO Fertil. Plant Nutr. Bull. 1983, 7, 1–82. [Google Scholar]
- Alam, S.M.; Raza, S. Micronutrient fertilizers. J. Biol. Sci. 2001, 4, 1446–1450. [Google Scholar] [CrossRef][Green Version]
- Cakmak, I.; Brown, P.; Colmenero-Flores, J.M.; Husted, S.; Kutman, B.Y.; Nikolic, M.; Rengel, Z.; Schmidt, S.B.; Zhao, F.-J. Chapter 7—Micronutrients. In Marschner’s Mineral Nutrition of Plants, 4th ed.; Rengel, Z., Cakmak, I., White, P.J., Eds.; Academic Press: San Diego, CA, USA, 2023; pp. 283–385. [Google Scholar] [CrossRef]
- Andresen, E.; Peiter, E.; Küpper, H. Trace metal metabolism in plants. J. Exp. Bot. 2018, 69, 909–954. [Google Scholar] [CrossRef]
- Mikula, K.; Izydorczyk, G.; Skrzypczak, D.; Mironiuk, M.; Moustakas, K.; Witek-Krowiak, A.; Chojnacka, K. Controlled release micronutrient fertilizers for precision agriculture—A review. Sci. Total Environ. 2020, 712, 136365. [Google Scholar] [CrossRef]
- Mandal, S.; Gupta, S.K.; Ghorai, M.; Patil, M.T.; Biswas, P.; Kumar, M.; Gopalakrishnan, A.V.; Mohture, V.M.; Rahman, M.H.; Prasanth, D.A.; et al. Plant nutrient dynamics: A growing appreciation for the roles of micronutrients. Plant Growth Regul. 2023, 100, 435–452. [Google Scholar] [CrossRef]
- Zucco, M.A.; Walters, S.A.; Chong, S.-K.; Klubek, B.P.; Masabni, J.G. Effect of soil type and vermicompost applications on tomato growth. Int. J. Recycl. Org. Waste Agric. 2015, 4, 135–141. [Google Scholar] [CrossRef]
- Canellas, L.; Olivares, F.; Aguiar, N.; Jones, D.; Nebbioso, A.; Mazzei, P.; Piccolo, A. Humic and fulvic acids as biostimulants in horticulture. Sci. Hortic-Amst. 2015, 196, 15–27. [Google Scholar] [CrossRef]
- Kumar, D.; Singh, A.P. Efficacy of Potassium Humate and Chemical Fertilizers on Yield and Nutrient Availability Patterns in Soil at Different Growth Stages of Rice. Commun. Soil Sci. Plant Anal. 2017, 48, 245–261. [Google Scholar] [CrossRef]
- Rahi, A.A.; Anjum, M.A.; Iqbal Mirza, J.; Ahmad Ali, S.; Marfo, T.D.; Fahad, S.; Danish, S.; Datta, R. Yield Enhancement and Better Micronutrients Uptake in Tomato Fruit through Potassium Humate Combined with Micronutrients Mixture. Agriculture 2021, 11, 357. [Google Scholar] [CrossRef]
- Piccolo, A. The supramolecular structure of humic substances: A novel understanding of humus chemistry and implications in soil science. Adv. Agron. 2002, 75, 57–134. [Google Scholar] [CrossRef]
- Lulakis, M.D.; Petsas, S.I. Effect of humic substances from vine-canes mature compost on tomato seedling growth. Bioresour. Technol. 1995, 54, 179–182. [Google Scholar] [CrossRef]
- Olk, D.C.; Bloom, P.R.; Perdue, E.M.; McKnight, D.M.; Chen, Y.; Farenhorst, A.; Senesi, N.; Chin, Y.P.; Schmitt-Kopplin, P.; Hertkorn, N.; et al. Environmental and Agricultural Relevance of Humic Fractions Extracted by Alkali from Soils and Natural Waters. J. Environ. Qual. 2019, 48, 217–232. [Google Scholar] [CrossRef]
- Nardi, S.; Ertani, A.; Francioso, O. Soil–root cross-talking: The role of humic substances. J. Plant Nutr. Soil Sci. 2017, 180, 5–13. [Google Scholar] [CrossRef]
- Trevisan, S.; Francioso, O.; Quaggiotti, S.; Nardi, S. Humic substances biological activity at the plant-soil interface: From environmental aspects to molecular factors. Plant Signal. Behav. 2010, 5, 635–643. [Google Scholar] [CrossRef]
- Montoya, M.; Castellano-Hinojosa, A.; Vallejo, A.; Álvarez, J.M.; Bedmar, E.J.; Recio, J.; Guardia, G. Zinc fertilizers influence greenhouse gas emissions and nitrifying and denitrifying communities in a non-irrigated arable cropland. Geoderma 2018, 325, 208–217. [Google Scholar] [CrossRef]
- Pertuit, A.J.; Dudley, J.B.; Toler, J.E. Leonardite and Fertilizer Levels Influence Tomato Seedling Growth. HortScience 2001, 36, 913–915. [Google Scholar] [CrossRef]
- Allison, F.E. Soil Organic Matter and Its Role in Crop Production, 1st ed.; Elsevier Company: Amsterdam, The Netherlands, 1973; pp. 1–634. [Google Scholar]
- Lima, A.A.; Alvarenga, M.A.R.; Rodrigues, L.; de Carvalho, J.G. Leaf nutrient content and yield of tomato grown in different substrates and doses of humic acids. Hortic. Bras. 2011, 29, 63–69. [Google Scholar] [CrossRef][Green Version]
- Suh, H.Y.; Yoo, K.S.; Suh, S.G. Effect of foliar application of fulvic acid on plant growth and fruit quality of tomato (Lycopersicon esculentum L.). Hortic. Environ. Biotechnol. 2014, 55, 455–461. [Google Scholar] [CrossRef]
- Li, W.; Wang, J.; Xu, D.; Zhang, S. Study on adsorption and desorption of urea in lignosulfonate with molecular simulations. Comput. Theor. Chem. 2014, 1033, 60–66. [Google Scholar] [CrossRef]
- Zhou, H.; Yang, D.; Qiu, X.; Wu, X.; Li, Y. A novel and efficient polymerization of lignosulfonates by horseradish peroxidase/H2O2 incubation. Appl. Microbiol. Biotechnol. 2013, 97, 10309–10320. [Google Scholar] [CrossRef] [PubMed]
- Mimini, V.; Kabrelian, V.; Fackler, K.; Hettegger, H.; Potthast, A.; Rosenau, T. Lignin-based foams as insulation materials: A review. Holzforschung 2019, 73, 117–130. [Google Scholar] [CrossRef]
- Ertani, A.; Francioso, O.; Tugnoli, V.; Righi, V.; Nardi, S. Effect of commercial lignosulfonate-humate on Zea mays L. metabolism. J. Agric. Food Chem. 2011, 59, 11940–11948. [Google Scholar] [CrossRef]
- Abbasi, P.A.; Soltani, N.; Cuppels, D.A.; Lazarovits, G. Reduction of bacterial spot disease severity on tomato and pepper plants with foliar applications of ammonium lignosulfonate and potassium phosphate. Plant Dis. 2002, 86, 1232–1236. [Google Scholar] [CrossRef]
- Savy, D.; Cozzolino, V. Novel fertilising products from lignin and its derivatives to enhance plant development and increase the sustainability of crop production. J. Clean. Prod. 2022, 366, 132832. [Google Scholar] [CrossRef]
- Docquier, S.; Kevers, C.; Lambé, P.; Gaspar, T.; Dommes, J. Beneficial use of lignosulfonates in in vitro plant cultures: Stimulation of growth, of multiplication and of rooting. Plant Cell Tissue Organ Cult. 2007, 90, 285–291. [Google Scholar] [CrossRef]
- Wurzer, G.K.; Hettegger, H.; Bischof, R.H.; Fackler, K.; Potthast, A.; Rosenau, T. Agricultural utilization of lignosulfonates. Holzforschung 2022, 76, 155–168. [Google Scholar] [CrossRef]
- Carrasco, J.; Kovács, K.; Czech, V.; Fodor, F.; Lucena, J.J.; Vértes, A.; Hernández-Apaolaza, L. Influence of pH, iron source, and Fe/ligand ratio on iron speciation in lignosulfonate complexes studied using Mössbauer spectroscopy. Implications on their fertilizer properties. J. Agric. Food Chem. 2012, 60, 3331–3340. [Google Scholar] [CrossRef]
- Hernández-Apaolaza, L.; Martín-Ortiz, D.; Gárate, A. Response of wheat seedlings to Mn-lignosulfonate adhered to granular NPK. J. Plant Nutr. Soil Sci. 2016, 179, 113–119. [Google Scholar] [CrossRef]
- Martín-Ortiz, D.; Hernández-Apaolaza, L.; Gárate, A. Efficiency of a NPK fertilizer with adhered zinc lignosulfonate as a zinc source for maize (Zea mays L.). J. Agric. Food Chem. 2009, 57, 9071–9078. [Google Scholar] [CrossRef] [PubMed]
- Novillo, J.; Obrador, A.; López-Valdivia, L.M.; Alvarez, J.M. Mobility and distribution of zinc forms in columns of an acid, a neutral, and a calcareous soil treated with three organic zinc complexes under laboratory conditions. Aust. J. Soil Res. 2002, 40, 791–803. [Google Scholar] [CrossRef]
- López-Rayo, S.; Nadal, P.; Lucena, J.J. Reactivity and effectiveness of traditional and novel ligands for multi-micronutrient fertilization in a calcareous soil. Front. Plant Sci. 2015, 6, 752. [Google Scholar] [CrossRef] [PubMed]
- O’Connell, S. Grafted Tomato Performance in Organic Production Systems: Nutrient Uptake, Plant Growth, and Fruit Yield. Master’s Thesis, Science-North Carolina State University, Raleigh, NC, USA, 9 December 2008. [Google Scholar]
- Plank, C.O. Plant Analysis Handbook for Georgia; Cooperative Extension Service, University of Georgia College of Agriculture: Athens, GA, USA, 1989; pp. 1–63. [Google Scholar]
- Zuluaga, M.Y.A.; Cardarelli, M.; Rouphael, Y.; Cesco, S.; Pii, Y.; Colla, G. Iron nutrition in agriculture: From synthetic chelates to biochelates. Sci. Hortic. 2023, 312, 111833. [Google Scholar] [CrossRef]
- Gupta, U.C.; Gupta, S.C. Future Trends and Requirements in Micronutrient Research. Commun. Soil Sci. Plant Anal. 2005, 36, 33–45. [Google Scholar] [CrossRef]
- Cerdán, M.; Sánchez-Sánchez, A.; Jordá, J.D.; Juárez, M.; Sánchez-Andreu, J. Effect of commercial amino acids on iron nutrition of tomato plants grown under lime-induced iron deficiency. J. Plant Nutr. Soil Sci. 2013, 176, 859–866. [Google Scholar] [CrossRef]
- Ambak, K.; Bakar, Z.A.; Tadano, T. Effect of liming and micronutrient application on the growth and occurrence of sterility in maize and tomato plants in a Malaysian deep peat soil. Soil Sci. Plant Nutr. 1991, 37, 689–698. [Google Scholar] [CrossRef]
- Yakhin, O.I.; Lubyanov, A.A.; Yakhin, I.A.; Brown, P.H. Biostimulants in Plant Science: A Global Perspective. Front. Plant Sci. 2016, 7, 2049. [Google Scholar] [CrossRef]
- Diacono, M.; Montemurro, F. Long-term effects of organic amendments on soil fertility. A review. Agron. Sustain. Dev. 2010, 30, 401–422. [Google Scholar] [CrossRef]
- Hoffland, E.; Kuyper, T.W.; Comans, R.N.J.; Creamer, R.E. Eco-functionality of organic matter in soils. Plant Soil 2020, 455, 1–22. [Google Scholar] [CrossRef]
- Olivares, F.L.; Aguiar, N.O.; Rosa, R.C.C.; Canellas, L.P. Substrate biofortification in combination with foliar sprays of plant growth promoting bacteria and humic substances boosts production of organic tomatoes. Sci. Hortic-Amst. 2015, 183, 100–108. [Google Scholar] [CrossRef]
- Pinton, R.; Cesco, S.; Varanini, Z. Role of Humic Substances in the Rhizosphere. In Biophysico-Chemical Processes Involving Natural Nonliving Organic Matter in Environmental Systems; Senesi, N., Xing, B., Huang, P.M., Eds.; John Wiley & Sons, Inc.: Hoboken, NJ, USA, 2009; pp. 341–366. [Google Scholar]
- García, A.C.; van Tol de Castro, T.A.; Santos, L.A.; Tavares, O.C.H.; Castro, R.N.; Berbara, R.L.L.; García-Mina, J.M. Structure–Property–Function Relationship of Humic Substances in Modulating the Root Growth of Plants: A Review. J. Environ. Qual. 2019, 48, 1622–1632. [Google Scholar] [CrossRef]
- Rauthan, B.S.; Schnitzer, M. Effects of a soil fulvic acid on the growth and nutrient content of cucumber (Cucumis sativus) plants. Plant Soil 1981, 63, 491–495. [Google Scholar] [CrossRef]
- Nardi, S.; Pizzeghello, D.; Muscolo, A.; Vianello, A. Physiological effects of humic substances on higher plants. Soil Biol. Biochem. 2002, 34, 1527–1536. [Google Scholar] [CrossRef]
- Pires, C.; Lima, L.; Vilas Boas, E.; Alves, R. Textural quality of tomatoes grown in organic substrates subjected to application of humic substances. Pesqui. Agropecu. Bras. 2009, 44, 1467–1472. [Google Scholar] [CrossRef]
- Demir, S.; Sensoy, S.; Ocak, E.; Tufenkci, S.; Durak, E.; Erdinc, C.; Ünsal, H. Effects of arbuscular mycorrhizal fungus, humic acid, and whey on wilt disease caused by Verticillium dahliae Kleb. in three solanaceous crops. Turk. J. Agric. For. 2015, 39, 300–309. [Google Scholar] [CrossRef]
- Yildirim, E.; Ünay, A. Effects of different fertilizations on Liriomyza trifolii (Burgess) (Diptera: Agromyzidae) in tomato. Afr. J. Agric. Res. 2011, 6, 4104–4107. [Google Scholar]
- Patti, A.F.; Jackson, W.R.; Norng, S.; Rose, M.T.; Cavagnaro, T.R. Commercial humic substances stimulate tomato growth. In Functions of Natural Organic Matter in Changing Environment; Xu, J., Wu, J., He, Y., Eds.; Springer: Dordrecht, The Netherlands, 2013; pp. 1079–1084. [Google Scholar]
- Pârvan, L.; Dumitru, M.; Sîrbu, C.; Cioroianu, T. Fertilizer with humic substances. Rom. Agric. Res. 2013, 30, 205–212. [Google Scholar]
- Ekinci, M.; Esringü, a.; Dursun, A.; Yildirim, E.; Turan, M.; Karaman, M.; Arjumend, T. Growth, yield, and calcium and boron uptake of tomato (Lycopersicon esculentum L.) and cucumber (Cucumis sativus L.) as affected by calcium and boron humate application in greenhouse conditions. Turk. J. Agric. For. 2015, 39, 613–632. [Google Scholar] [CrossRef]
- Sánchez, A.S.; Juárez, M.; Sánchez-Andreu, J.; Jordá, J.; Bermúdez, D. Use of humic substances and amino acids to enhance iron availability for tomato plants from applications of the chelate FeEDDHA. J. Plant Nutr. 2005, 28, 1877–1886. [Google Scholar] [CrossRef]
- Haghighi, M.; Teixeira da Silva, J. Amendment of hydroponic nutrient solution with humic acid and glutamic acid in tomato (Lycopersicon esculentum Mill.) culture. Soil Sci. Plant Nutr. 2013, 59, 642–648. [Google Scholar] [CrossRef]
- Hartz, T.K.; Bottoms, T.G. Humic Substances Generally Ineffective in Improving Vegetable Crop Nutrient Uptake or Productivity. HortScience 2010, 45, 906–910. [Google Scholar] [CrossRef]
- Piccolo, A.; Celano, G.; Pietramellara, G. Effects of fractions of coal-derived humic substances on seed germination and growth of seedlings (Lactuga sativa and Lycopersicum esculentum). Biol. Fert. Soils 1993, 16, 11–15. [Google Scholar] [CrossRef]
- Ayuso, M.; Hernández, T.; Garcia, C.; Pascual, J.A. Stimulation of barley growth and nutrient absorption by humic substances originating from various organic materials. Bioresour. Technol. 1996, 57, 251–257. [Google Scholar] [CrossRef]
- Lima, A.; Alvarenga, M.; Rodrigues, L.; Chitarra, A. Yield and quality of tomato produced on substrates and with application of humic acids. Hortic. Bras. 2011, 29, 269–274. [Google Scholar] [CrossRef][Green Version]
- Malavolta, E.; Vitti, G.C.; de Oliveira, S.A. Avaliação do Estado Nutricional das Plantas: Principios e Aplicações, 2nd ed.; Associação Brasileira para Pesquisa da Potassa e do Fosfato: Piracicaba, Brazil, 1997; pp. 1–319. [Google Scholar]
- Parker, D.R.; Aguilera, J.J.; Thomason, D.N. Zinc-phosphorus interactions in two cultivars of tomato (Lycopersicon esculentum L.) grown in chelator-buffered nutrient solutions. Plant Soil 1992, 143, 163–177. [Google Scholar] [CrossRef]
- Ekeberg, D.; Gretland, K.; Gustafsson, J.; Bråten, S.; Fredheim, G. Characterisation of lignosulphonates and kraft lignin by hydrophobic interaction chromatography. Anal. Chim. Acta 2006, 565, 121–128. [Google Scholar] [CrossRef]
- Jindo, K.; Olivares, F.L.; Malcher, D.; Sánchez-Monedero, M.A.; Kempenaar, C.; Canellas, L.P. From Lab to Field: Role of Humic Substances Under Open-Field and Greenhouse Conditions as Biostimulant and Biocontrol Agent. Front. Plant Sci. 2020, 11, 426. [Google Scholar] [CrossRef]
- Zanin, L.; Tomasi, N.; Cesco, S.; Varanini, Z.; Pinton, R. Humic Substances Contribute to Plant Iron Nutrition Acting as Chelators and Biostimulants. Front. Plant Sci. 2019, 10, 675. [Google Scholar] [CrossRef] [PubMed]
- Alkanani, T.; MacKenzie, A.F. Banding urea and lignosulfonate in corn (Zea mays L.) production and 15N recovery. Can. J. Soil Sci. 1996, 76, 365–371. [Google Scholar] [CrossRef]
- López-Valdivia, L.M.; Fernández, M.D.; Obrador, A.; Alvarez, J.M. Zinc transformations in acidic soil and zinc efficiency on maize by adding six organic zinc complexes. J. Agric. Food Chem. 2002, 50, 1455–1460. [Google Scholar] [CrossRef]
- Obrador, A.; Alvarez, J.M.; Fernández, M.D.; López-Valdivia, L.M. Changes with time of zinc forms in an acid, a neutral, and a calcareous soil amended with three organic zinc complexes. Aust. J. Soil Res. 2002, 40, 137–148. [Google Scholar] [CrossRef]
- Hao, X.; Cho, C.M.; Racz, G.J. Chemical retardation of phosphate diffusion in simulated acid soil amended with lignosulfonate. Can. J. Soil Sci. 2000, 80, 289–299. [Google Scholar] [CrossRef]

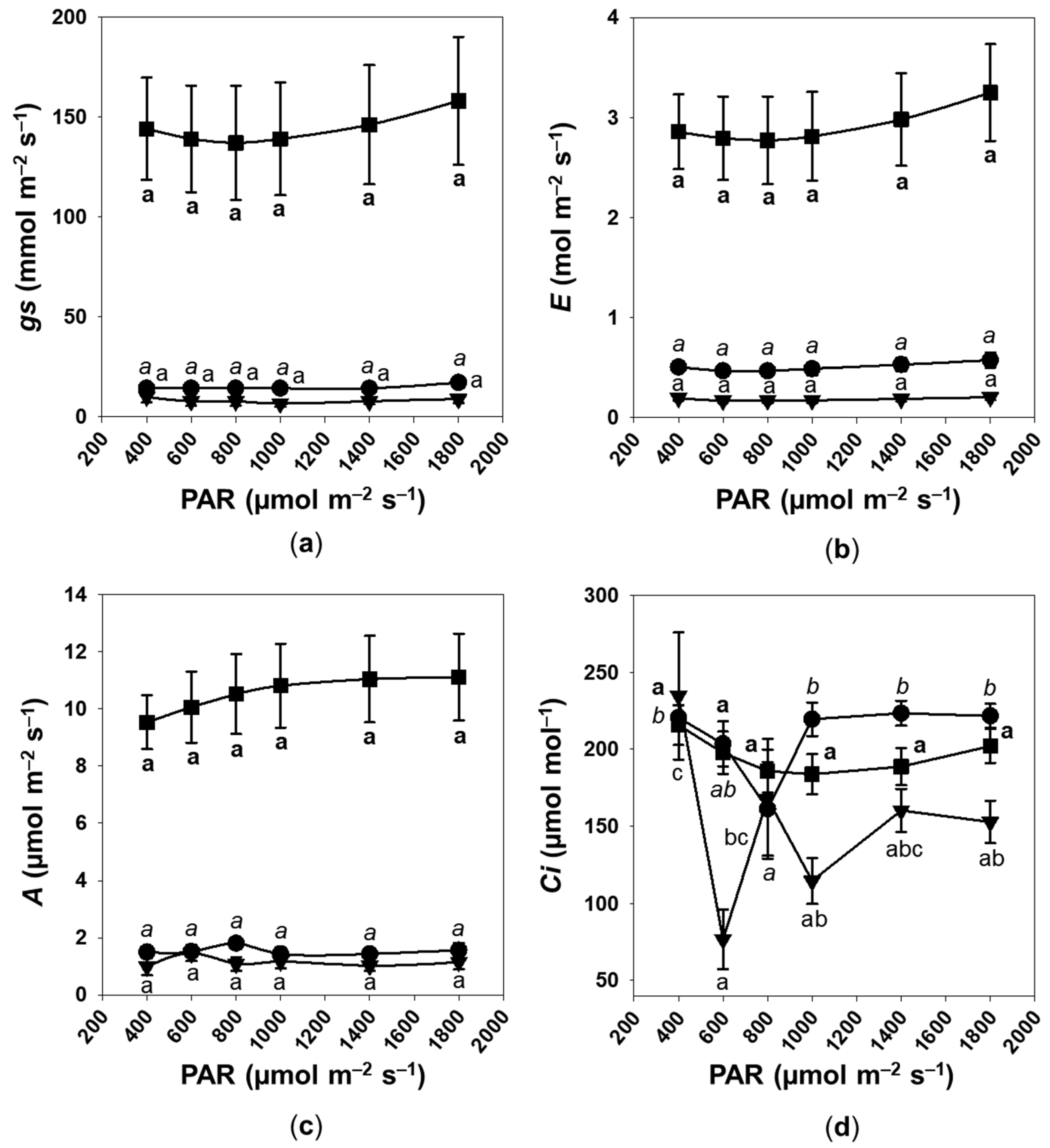
), B (
) and the control (
). (a) Stomatal conductance—gs, (b) transpiration rate—E, (c) net photosynthetic rate—A and (d) substomatal CO2 concentration—Ci. Values represent the mean ± SE (n = 10) at the end of the experiment, of measurements taken on days 169, 170 and 173 after sowing. Different letters for each treatment indicate significant statistical differences (Tukey test, p ≤ 0.05).
), B (
) and the control (
). (a) Stomatal conductance—gs, (b) transpiration rate—E, (c) net photosynthetic rate—A and (d) substomatal CO2 concentration—Ci. Values represent the mean ± SE (n = 10) at the end of the experiment, of measurements taken on days 169, 170 and 173 after sowing. Different letters for each treatment indicate significant statistical differences (Tukey test, p ≤ 0.05).
), B (
) and control (
). (a) Water-use efficiency—A/gs and (b) intrinsic water-use efficiency—A/E. Values represent the mean ± SE (n = 10) at the end of the experiment, with measurements taken on days 169, 170 and 173 after sowing. Different letters for each treatment indicate significant statistical differences (Tukey test, p ≤ 0.05).
), B (
) and control (
). (a) Water-use efficiency—A/gs and (b) intrinsic water-use efficiency—A/E. Values represent the mean ± SE (n = 10) at the end of the experiment, with measurements taken on days 169, 170 and 173 after sowing. Different letters for each treatment indicate significant statistical differences (Tukey test, p ≤ 0.05).

| Phenological Stage | Days from Sowing | Applied Treatments |
|---|---|---|
| Vegetative growth | 49, 54, 57, 61, 65, 70, 73, 76, 78 | NPK |
| Flowering | 82, 86, 90, 103, 109 | NPK + Micronutrients |
| 133, 135, 143 | NPK | |
| Fruit setting | 151 | NPK + Micronutrients |
| 165 | NPK |
| Parameters | Mean ± SE |
|---|---|
| Total nitrogen (g 100 g−1) | 0.09 ± 0.01 |
| Total carbon (g 100 g−1) | 2.06 ± 0.13 |
| Organic carbon (g 100 g−1) | 0.66 ± 0.03 |
| pH | 8.75 ± 0.04 |
| EC (µS cm−1) | 120.7 ± 12.52 |
| P (g 100 g−1) | 0.06 ± 0.0004 |
| K (g 100 g−1) | 0.34 ± 0.06 |
| Mg (g 100 g−1) | 0.29 ± 0.02 |
| Ca (g 100 g−1) | 3.56 ± 0.19 |
| Fe (g 100 g−1) | 11.11 ± 0.79 |
| Cu (mg kg−1) | 15.93 ± 0.65 |
| Mn (mg kg−1) | 191.99 ± 5.22 |
| Zn (mg kg−1) | 26.95 ± 1.12 |
| Parameter | Control | Treatment A | Treatment B |
|---|---|---|---|
| Primary stem length (cm) | 78.75 ± 3.21a | 132.83 ± 11.33b | 144.67 ± 4.75b |
| Total stem length (cm) | 78.75 ± 3.21a | 205.17 ± 37.45b | 292.08 ± 80.59c |
| Stem diameter (mm) | 5.48 ± 0.21a | 7.90 ± 0.48b | 8.25 ± 0.72b |
| Leaf number | 13.83 ± 1.17a | 42.50 ± 4.15b | 65.33 ± 9.94c |
| Leaf weight (g) | 2.71 ± 0.53a | 9.21 ± 0.97b | 9.03 ± 0.72b |
| Foliar area (mm2) | 104.57 ± 13.36a | 304.59 ± 34.49b | 274.63 ± 27.65b |
| Total fresh weight (aerial part) (g) | 49.10 ± 5.04a | 298.31 ± 35.83b | 424.30 ± 65.61b |
| Dry weight (aerial part) (g) | 19.79 ± 2.33b | 59.97 ± 7.12a | 74.37 ± 13.64a |
| Root fresh weight (g) | 5.20 ± 2.53a | 48.67 ± 12.51b | 83.88 ± 20.98b |
| Root dry weight (g) | 2.80 ± 1.34b | 16.28 ± 4.25a | 28.02 ± 8.07a |
| Flower number | 8.50 ± 2.49a | 6.00 ± 1.77a | 61.00 ± 18.95b |
| Fruit number | 0 | 6.50 ± 1.59a | 9.67 ± 5.02a |
| Fruit weight (g) | – | 39.68 ± 8.10b | 40.36 ± 8.24b |
| Parameters | Age (days) | Control | Treatment A | Treatment B |
|---|---|---|---|---|
| ΦPSII | 169 | 0.54 ± 0.02a | 0.57 ± 0.03a | 0.69 ± 0.01b |
| 173 | 0.56 ± 0.03a | 0.54 ± 0.03a | 0.73 ± 0.01b | |
| Leaf greenness (SPAD units) | 169 | 14.62 ± 1.44a | 28.59 ± 2.03b | 36.24 ± 1.47c |
| 173 | 15.57 ± 1.55a | 27.00 ± 1.36b | 38.26 ± 1.51c | |
| N content (%) | 169 | 2.07 ± 0.84a | 2.30 ± 0.94b | 2.86 ± 1.17c |
| 173 | 2.05 ± 0.84a | 2.20 ± 0.9b | 2.89 ± 1.18c |
| Parameter | Sufficiency * | Control | Treatment A | Treatment B |
|---|---|---|---|---|
| N (%) | 3.5–5 | 0.82 ± 0.16a | 4.38 ± 0.52b | 4.18 ± 0.57b |
| P (%) | 0.3–0.65 | 0.11 ± 0.02a | 0.39 ± 0.1b | 0.65 ± 0.18c |
| K (%) | 3.5–4.5 | 3.01 ± 1.08a | 5.52 ± 1.28b | 6.02 ± 1.1b |
| Ca (%) | 1–3 | 2 ± 0.25a | 2.1 ± 0.7a | 2.4 ± 1.17a |
| Mg (%) | 0.35–1 | 0.32 ± 0.09a | 0.51 ± 0.11ab | 0.62 ± 0.14b |
| Fe (ppm) | 50–300 | 92.25 ± 12.66a | 103 ± 19.37a | 252 ± 149.36b |
| Cu (ppm) | 5–35 | 6.5 ± 1.29a | 9.75 ± 2.63a | 15.2 ± 4.82b |
| Mn (ppm) | 25–200 | 34 ± 7.26a | 38.75 ± 11a | 110.6 ± 52.61b |
| Zn (ppm) | 18–80 | 34.5 ± 3.7a | 38.21 ± 6.8b | 42.8 ± 14.1b |
| Mo (ppm) | 0.1–1 | 0.78 ± 0.26a | 1.5 ± 0.4a | 2.96 ± 0.72b |
| B (ppm) | 30–75 | 42.25 ± 14.8a | 56.25 ± 14.86ab | 86.6 ± 34.93b |
Disclaimer/Publisher’s Note: The statements, opinions and data contained in all publications are solely those of the individual author(s) and contributor(s) and not of MDPI and/or the editor(s). MDPI and/or the editor(s) disclaim responsibility for any injury to people or property resulting from any ideas, methods, instructions or products referred to in the content. |
© 2023 by the authors. Licensee MDPI, Basel, Switzerland. This article is an open access article distributed under the terms and conditions of the Creative Commons Attribution (CC BY) license (https://creativecommons.org/licenses/by/4.0/).
Share and Cite
Gil-Ortiz, R.; Naranjo, M.Á.; Atares, S.; Vicente, O.; Morillon, R. Micronutrient Fertiliser Reinforcement by Fulvate–Lignosulfonate Coating Improves Physiological Responses in Tomato. Agronomy 2023, 13, 2013. https://doi.org/10.3390/agronomy13082013
Gil-Ortiz R, Naranjo MÁ, Atares S, Vicente O, Morillon R. Micronutrient Fertiliser Reinforcement by Fulvate–Lignosulfonate Coating Improves Physiological Responses in Tomato. Agronomy. 2023; 13(8):2013. https://doi.org/10.3390/agronomy13082013
Chicago/Turabian StyleGil-Ortiz, Ricardo, Miguel Ángel Naranjo, Sergio Atares, Oscar Vicente, and Raphaël Morillon. 2023. "Micronutrient Fertiliser Reinforcement by Fulvate–Lignosulfonate Coating Improves Physiological Responses in Tomato" Agronomy 13, no. 8: 2013. https://doi.org/10.3390/agronomy13082013
APA StyleGil-Ortiz, R., Naranjo, M. Á., Atares, S., Vicente, O., & Morillon, R. (2023). Micronutrient Fertiliser Reinforcement by Fulvate–Lignosulfonate Coating Improves Physiological Responses in Tomato. Agronomy, 13(8), 2013. https://doi.org/10.3390/agronomy13082013

