Integrative Effect of Reduced Tillage and Shading Enhanced Yield and Grain Quality of Fragrant Rice
Abstract
1. Introduction
2. Materials and Methods
2.1. Field Experimental Details
2.2. Sampling and Measurements
2.2.1. Measurement of Grain Yield and Yield Components
2.2.2. Measurement of Grain Quality
2.2.3. Measurement of Antioxidant Activities
2.3. Statistical Analysis
3. Results
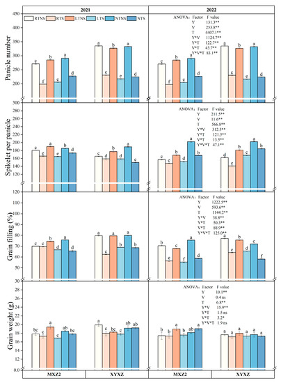
3.1. Yield and Yield Components
3.2. Grain Quality
3.3. MDA Content and Activities of SOD, CAT and POD
3.4. Correlation Analyses of Grain Yield and Population Growth Parameters
3.5. Principal Components Analysis
4. Discussion
4.1. Grain Yield and Yield Components
4.2. Grain Quality
4.3. Antioxidant Responses
5. Conclusions
Author Contributions
Funding
Data Availability Statement
Conflicts of Interest
References
- Zhou, X.; Lu, Y.H.; Liao, Y.L.; Zhu, Q.D.; Cheng, H.D.; Nie, X.; Cao, W.D.; Nie, J. Substitution of chemical fertilizer by Chinese milk vetch improves the sustainability of yield and accumulation of soil organic carbon in a double-rice cropping system. J. Integr. Agric. 2019, 18, 2381–2392. [Google Scholar] [CrossRef]
- Gui, R.F.; Wang, Z.M.; Pan, S.G.; Zhang, M.H.; Tang, X.R.; Mo, Z.W. Effects of nitrogen-reducing side deep application of liquid fertilizer at tillering stage on yield and nitrogen utilization of fragrant rice. Sci. Agric. Sin. 2022, 55, 1529–1545. [Google Scholar]
- Chen, G.J.; Lei, S.; Tang, X.R.; Liang, W.L.; Zhang, J.G.; Su, Z.B.; Fu, M. Effects of new cultivation techniques on rice yield and quality. China Rice 2016, 22, 66–70. [Google Scholar]
- Timothy, L.F.; Daniel, L.E.W.; Lyndon, O.B.; Robert, J.H. Fragrance in rice (Oryza sativa) is associated with reduced yield under salt treatment. Environ. Exp. Bot. 2010, 68, 292–300. [Google Scholar]
- Shi, Y.Q.; Zhao, G.C.; Xu, X.L.; Li, J.Y. Discovery of a new fragrance allele and development of functional markers for identifying diverse fragrant genotypes in rice. Mol. Breed. 2014, 33, 701–708. [Google Scholar] [CrossRef]
- Hu, H.Z.; Hu, B.Y.; Zhang, X.L.; Liu, Z.C.; Liu, J.Y.; Ci, E. Effects of no-tillage years and re-tillage times on soil bulk density and rice growth in paddy fields. Chin. Agric. Sci. Bull. 2020, 36, 1–7. [Google Scholar]
- Wu, J.F.; Zeng, Y.H.; Zhao, X.F.; Fan, C.G.; Pan, X.H.; Shi, Q.H. Effects of tillage methods on yield of double cropping rice with machine-transplanted and soil physical-chemical properties. J. Hunan Agric. Univ. 2017, 43, 581–585. [Google Scholar]
- Xu, S.Q.; Zhang, M.Y.; Sun, G.F.; Shang, W.G.; Chen, F.; Zhang, H.L. Assessment of tillage effects on soil quality for double-rice paddy with tilth index. Sci. Agric. Sin. 2011, 44, 3999–4006. [Google Scholar]
- Quan, M.H.; Hu, A.S.; Ou, L.J.; Hu, D.Y.; Li, B.H. Effects of tillage mode on characteristics of photosynthesis and root growth of rice. Hybrid. Rice 2012, 27, 71–75. [Google Scholar]
- Ren, W.J.; Yang, W.Y.; Xu, J.W.; Fan, G.Q.; Ma, Z.H. Effect of low light on grains growth and quality in rice. Acta Agron. Sin. 2003, 29, 785–790. [Google Scholar]
- LocThuya, T.; Saitoh, K. Effect of shading on dry-matter production, yield and grain appearance quality of Vietnamese rice cultivars (Oryza sativa L.) in the paddy field. Sci. Rep. Fac. Agric. 2017, 106, 13–20. [Google Scholar]
- Wang, R.M.; Ding, Y.S. Studies on ecological factors of rice from heading to maturity Ⅱ. The influence of temperature and light on fertilization, grain-filling, dry matter production and partitioning of early indica rice. J. Zhejiang Univ. Agric. Life Sci. 1991, 2, 59–64. [Google Scholar]
- Liu, B.; Han, Y.; Xie, W.X.; Li, J.G.; Liu, J.; Gao, Q. The effect of low light during grain filing period on the yield, physiology, and quality of rice. China Rice 2008, 5, 36–40. [Google Scholar]
- Wang, L.; Deng, F.; Ren, W.J. Shading tolerance in rice is related to better light harvesting and use efficiency and grain filling rate during grain filling period. Field Crops Res. 2015, 180, 54–62. [Google Scholar] [CrossRef]
- Tohru, K.; Makoto, S.; Sadanori, T. Shading during the early grain filling period does not affect potential grain dry matter increase in rice. Agron. J. 2000, 92, 411–417. [Google Scholar]
- Mo, Z.W.; Li, W.; Pan, S.G.; Fitzgerald, T.L.; Xiao, F.; Tang, Y.J.; Wang, Y.L.; Duan, M.Y.; Tian, H.; Tang, X.R. Shading during the grain filling period increases 2-acetyl-1-pyrroline content in fragrant rice. Rice 2015, 8, 9. [Google Scholar] [CrossRef]
- Huang, S.H.; Rao, G.S.; Ashraf, U.; He, L.X.; Zhang, Z.Z.; Zhang, H.L.; Mo, Z.W.; Pan, S.G.; Tang, X.R. Application of inorganic passivators reduced Cd contents in brown rice in oilseed rape-rice rotation under Cd contaminated soil. Chemosphere 2020, 259, 127404. [Google Scholar] [CrossRef]
- Liu, J.H.; Qin, J.T.; Zhang, B.; Xia, G.L.; Lu, J.G.; Gan, S.Y.; Yu, R.X. Effects of different light cultivation on rice growth, yields and economic benefits in Northeast area of Jiangxi province. Soils 2012, 44, 482–491. [Google Scholar]
- Chen, D.G.; Zhou, X.Q.; Li, L.J.; Liu, C.G.; Zhang, X.; Chen, Y.D. Relationship between root morphological characteristics and yield components of major commercial Indica rice in South China. Acta Agron. Sin. 2013, 39, 1899–1908. [Google Scholar] [CrossRef]
- Yi, Z.X.; Zhu, W.W.; Zhou, W.X.; Chen, P.P.; Wang, X.Y.; Tu, N.M. Effect of soil tillage modes on yield formation, rice quality and water use efficiency of late rice in southern Hunan. Crop Res. 2018, 32, 1001–5280. [Google Scholar]
- Tang, H.M.; Li, C.; Xiao, X.P.; Tang, W.G.; Guo, L.J.; Cheng, K.K.; Pan, X.C.; Wang, K.; Sun, G. Effects of different soil tillage systems on dry matter accumulation and yield of rice in double cropping rice field. Acta Agric. Boreali-Sin. 2019, 34, 137–146. [Google Scholar]
- Li, H.X.; Lu, W.C.; Liu, Y.J.; Zhang, X.M.; Chen, X.C.; Li, Y.F.; Huo, J.T. Effect of different tillage methods on rice growth and soil ecology. Chin. J. Appl. Ecol. 2001, 12, 553–556. [Google Scholar]
- Wen, Y.H.; Chen, J.Y.; Yang, Y.L.; Nie, C.R.; Deng, R.L.; Deng, Y. Study on the mechanism of high-yield of no-tillage and throwing culture in late-season rice. J. Foshan Univ. 2002, 2, 67–70. [Google Scholar]
- Chen, W.H.; Yuan, W.; Wang, Z.Y.; Zhou, Z.P.; Liu, S.P. Effects of different tillage methods and straw returning treatments on soil enzyme activities and rice yield. Soil Fertil. Sci. China 2022, 303, 162–169. [Google Scholar]
- Gu, Z.H.; Wang, Y.Y.; Shuai, Z.Y.; Chen, P.P.; Ao, H.J.; Tu, N.M.; Yi, Z.X.; Zhou, W.X. Preliminary study about the effects of soil tillage ways on the yield formation characteristics of rice. Crop Res. 2017, 31, 103–109. [Google Scholar]
- Zhuang, H.Y.; Liu, S.P.; Shen, X.P.; Chen, H.Q.; Lu, J.F. Effect of long-term minimal and zero tillages on rice and wheat yields, soil organic matter and bulk density. Sci. Agric. Sin. 1999, 32, 39–44. [Google Scholar]
- Cantagallo, J.E.; Medan, D.; Hall, A.J. Grain number in sunflower as affected by shading during floret growth, anthesis and grain setting. Field Crops Res. 2004, 85, 191–202. [Google Scholar] [CrossRef]
- Song, S.K.; He, A.B.; Zhao, T.C.; Yin, Q.; Mu, Y.X.; Wang, Y.D.; Liu, H.Y.; Nie, L.X.; Peng, S.B. Effects of shading at different growth stages with various shading intensities on the grain yield and anthocyanin content of colored rice (Oryza sativa L.). Field Crops Res. 2022, 283, 108555. [Google Scholar] [CrossRef]
- Deng, F.; Li, B.; Yuan, Y.J.; He, C.Y.; Zhou, X.; Li, Q.P.; Zhu, Y.Y.; Huang, X.F.; He, Y.X.; Ai, X.F.; et al. Increasing the number of seedlings per hill with reduced number of hills improves rice grain quality by optimizing canopy structure and light utilization under shading stress. Field Crops Res. 2022, 287, 108668. [Google Scholar] [CrossRef]
- Mu, H.D.; Jiang, B.; Wollenweber, B.; Dai, T.; Jing, Q.; Cao, W. Long-term low radiation decreases leaf photosynthesis, photochemical efficiency and grain yield in winter wheat. J. Agron. Crop Sci. 2010, 196, 38–47. [Google Scholar] [CrossRef]
- Jia, S.F.; Li, C.F.; Dong, S.T.; Zhang, J.W. Effects of shading at different stages after anthesis on maize grain weight and quality at cytology level. Agric. Sci. China 2011, 10, 58–69. [Google Scholar] [CrossRef]
- Deng, F.; Wang, L.; Yao, X.; Wang, J.J.; Ren, W.J.; Yang, W.Y. Effects of different-growing-stage shading on rice grain-filling and yield. J. Sichuan Agric. Univ. 2009, 27, 265–269. [Google Scholar]
- Liu, Q.H.; Wu, X.; Chen, B.C.; Ma, J.Q.; Gao, J. Effects of low light on agronomic and physiological characteristics of rice including grain yield and quality. Rice Sci. 2014, 21, 243–251. [Google Scholar] [CrossRef]
- Deng, A.X.; Li, G.X.; Lv, Y.P.; Liu, Q.H.; Meng, Y.; Zhang, J.; Zhang, W.J. Effect of shading duration after heading on grain yield and quality of japonica rice in northwest China. Acta Agron. Sin. 2023, 49, 1930–1941. [Google Scholar]
- Tang, Y.H.; Zhang, S.W.; Gao, R.S.; Wang, C.F. Analysis of the time period effect of temperature on rice quality. Chin. J. Agrometeorol. 1997, 18, 9–12. [Google Scholar]
- Huang, F.D.; Li, C.S.; Liu, X.; Cheng, F.M. The effect of high temperature stress on the vitality of rice pollen. J. Zhejiang Agric. Sci. 2010, 309, 1272–1274. [Google Scholar]
- Liu, S.P.; Nie, X.T.; Dai, Q.G.; Huo, Z.Y.; Xu, K. Effects of Interplanting with Zero Tillage and Wheat Straw Manuring on Rice Growth and Grain Quality. Chin. J. Rice Sci. 2007, 21, 71–76. [Google Scholar]
- Wang, Z.Y.; Chen, W.H.; Yuan, W.; Zhou, Z.P.; Liu, S.P. Effects of long-term straw returning and tillage ways on yield and quality of rice. China Rice 2021, 27, 17–20. [Google Scholar]
- Zhao, L.Y.; Deng, X.P.; Shan, L. The response mechanism of active oxygen species removing system to drought stress. Acta Bot. Boreali-Occident. Sin. 2005, 25, 413–418. [Google Scholar]
- Sun, Y.Y.; Sun, Y.J.; Chen, L.; Xu, H.; Ma, J. Effects of different sowing dates and low-light stress at heading stage on the physiological characteristics and grain yield of hybrid rice. Chin. J. Appl. Ecol. 2012, 23, 2737–2744. [Google Scholar]
- Xu, C.L.; Yin, Y.P.; Cai, R.G.; Wang, P.; Li, Y.; Guo, J.X.; Chen, E.Y.; Zhai, X.X.; Liu, T.N.; Wang, Z.L. Photosynthetic characteristics and antioxidative metabolism of flag leaves in responses to shading during grain filling in winter wheat cultivars with different spike types. Acta Agron. Sin. 2012, 38, 1295–1306. [Google Scholar] [CrossRef]
- Jiang, S.C.; Nnaemeka, E.O.; Zhang, L.H.; Tang, X.R.; Du, B. Higher nitrogen application during rice growth increased yield and the biosynthesis of 2-acetyl-1-pyrroline under low light conditions. Field Crops Res. 2023, 293, 108846. [Google Scholar]
- Tang, H.M.; Xiao, X.P.; Li, C.; Tang, W.G.; Guo, L.J.; Wang, K.; Cheng, K.K.; Pan, X.C.; Sun, G. Effects of different soil tillage systems on physiological characteristics and yield of double-cropping rice. Acta Agron. Sin. 2019, 45, 740–754. [Google Scholar] [CrossRef]
- Zhu, L.Q.; Zhang, D.W.; Bian, X.M. Effects of continuous returning straws to field and shifting different tillage methods on changes of physical-chemical properties of soil and yield components of rice. Chin. J. Soil Sci. 2011, 42, 81–85. [Google Scholar]
- Li, J.M.; Huang, Q.H.; Yuan, T.Y.; Cao, J.H.; Yu, X.C. Effects of long-term green manure application on rice yield and soil nutrients in paddy soil. Plant Nutr. Fert. Sci. 2011, 17, 563–570. [Google Scholar]
- Liu, S.P.; Zhuang, H.Y.; Lu, J.F.; Shen, X.P.; Chen, H.Q.; Huang, X.X. Influence of no-tillage on soil structure. Acta Pedol. Sin. 1998, 35, 33–37. [Google Scholar]
- Wu, J.F.; Pan, X.H.; Wang, L.; Shi, Q.H.; Liu, Z.F.; Hu, J.H. Effects of continuous no-tillage on crop yield and soil fertility in double rice cropping system. Sci. Agric. Sin. 2010, 43, 3159–3167. [Google Scholar]
- Yu, L.; Gao, M.; Ci, E.; Wang, Z.F.; Wei, C.F.; Xu, C. Study on the characteristics of mineralization and nitrification in different cultivation modes. Ecol. Environ. Sci. 2010, 19, 733–738. [Google Scholar]
- Du, J.; Shen, T.H.; Xiong, Q.Q.; Zhu, C.L.; Peng, X.S.; He, X.P.; Fu, J.R.; Ouyang, L.J.; Bian, J.; Hu, L.F.; et al. Combined proteomics, metabolomics and physiological analyses of rice growth and grain yield with heavy nitrogen application before and after drought. BMC Plant Biol. 2020, 20, 556. [Google Scholar] [CrossRef]
- Xu, G.W.; Zhao, X.H.; Jiang, M.M.; Lu, D.K.; Chen, M.C. Nitrogen forms and irrigation regimes interact to affect rice yield by regulating the source and sink characteristics. Agron. J. 2021, 113, 4022–4036. [Google Scholar] [CrossRef]






| Year | Variety | Treat | Brown Rice Rate | Milled Rice Rate | Chalkiness Degree | Chalk Grain Rate | Amylose Content | Protein Content |
|---|---|---|---|---|---|---|---|---|
| (%) | (%) | (%) | (%) | (%) | (%) | |||
| 2021 | MXZ2 | RTNS | 75.47abc | 68.34c | 17.46a | 27.16a | 16.85b | 7.42e |
| RTS | 74.91c | 68.69bc | 10.23c | 16.21d | 17.38ab | 8.25d | ||
| LTNS | 78.96ab | 72.15abc | 14.87b | 21.41b | 18.18ab | 8.71c | ||
| LTS | 75.62abc | 73.25a | 9.15cd | 14.69e | 18.87a | 9.53b | ||
| NTNS | 79.56a | 71.07ab | 13.49b | 19.94c | 20.03a | 10.07a | ||
| NTS | 76.32bc | 72.26ab | 8.39d | 13.25f | 18.73a | 10.25a | ||
| Mean | 76.81 | 70.96 | 12.27 | 18.78 | 18.34 | 9.04 | ||
| XYXZ | RTNS | 73.17ab | 67.7c | 15.25a | 26.59a | 18.06bc | 7.71e | |
| RTS | 71.45b | 67.93bc | 9.68cd | 15.17c | 18.27ab | 7.97d | ||
| LTNS | 74.05ab | 70.24bc | 12.17b | 20.26b | 17.03c | 8.45c | ||
| LTS | 72.64b | 70.35ab | 8.25de | 13.89c | 19.03a | 8.31c | ||
| NTNS | 76.34a | 71.47ab | 10.39bc | 20.72b | 18.36ab | 9.56b | ||
| NTS | 73.96ab | 72.02a | 6.49e | 14.23c | 17.92bc | 10.05a | ||
| Mean | 73.60 | 69.95 | 10.37 | 18.48 | 18.11 | 8.68 | ||
| 2022 | MXZ2 | RTNS | 79.73ab | 69.75a | 14.19a | 23.17a | 17.93a | 7.54f |
| RTS | 76.25c | 70.24a | 8.56b | 16.47c | 18.56a | 7.89e | ||
| LTNS | 80.76a | 72.24a | 12.178a | 20.36b | 17.65a | 8.34d | ||
| LTS | 78.47b | 72.51a | 7.16bc | 15.23c | 17.51a | 8.65c | ||
| NTNS | 81.57ab | 71.37a | 9.25b | 21.09b | 16.75a | 10.27b | ||
| NTS | 77.38b | 72.05a | 6.23c | 16.25c | 17.21a | 11.05a | ||
| Mean | 79.03 | 71.36 | 9.59 | 18.76 | 17.60 | 8.96 | ||
| XYXZ | RTNS | 76.83bc | 68.56a | 11.87a | 26.55a | 17.14a | 8.05c | |
| RTS | 74.16d | 69.13a | 7.33bc | 13.25d | 17.39a | 8.23c | ||
| LTNS | 79.28abc | 71.23a | 8.19b | 19.15b | 17.97a | 9.45b | ||
| LTS | 76.16cd | 71.95a | 6.14cd | 14.68d | 18.36a | 10.34a | ||
| NTNS | 81.24a | 72.49a | 5.38d | 17.51c | 17.03a | 10.59a | ||
| NTS | 80.08ab | 73.08a | 3.47e | 13.07d | 17.39a | 10.51a | ||
| Mean | 77.96 | 71.07 | 7.06 | 17.37 | 17.55 | 9.53 | ||
| ANOVA | Y | 89.9 ** | 11.1 ** | 328.7 ** | 7.1 * | 6.9 * | 295.2 ** | |
| V | 51.8 ** | 1.9 ns | 211.9 ** | 28.0 ** | 0.1 ns | 21.9 ** | ||
| T | 41.3 ** | 17.2 ** | 234.6 ** | 807.8 ** | 4.1 ** | 1903.0 ** | ||
| Y × V | 5.5 * | 0.1 ns | 11.3 ** | 18.0 ** | 0.9 ns | 491.9 ** | ||
| Y × T | 2.5 * | 0.9 ns | 5.2 ** | 9.3 ** | 6.2 ** | 18.3 ** | ||
| V × T | 4.0 ** | 1.6 ns | 4.2 ** | 21.7 ** | 1.5 ns | 34.1 ** | ||
| Y × V × T | 1.5 ns | 0.7 ns | 0.6 ns | 18.1 ** | 5.0 ** | 132.8 ** |
Disclaimer/Publisher’s Note: The statements, opinions and data contained in all publications are solely those of the individual author(s) and contributor(s) and not of MDPI and/or the editor(s). MDPI and/or the editor(s) disclaim responsibility for any injury to people or property resulting from any ideas, methods, instructions or products referred to in the content. |
© 2023 by the authors. Licensee MDPI, Basel, Switzerland. This article is an open access article distributed under the terms and conditions of the Creative Commons Attribution (CC BY) license (https://creativecommons.org/licenses/by/4.0/).
Share and Cite
Deng, S.; Wu, Y.; Yi, W.; Gu, Q.; Tang, X. Integrative Effect of Reduced Tillage and Shading Enhanced Yield and Grain Quality of Fragrant Rice. Agronomy 2023, 13, 2010. https://doi.org/10.3390/agronomy13082010
Deng S, Wu Y, Yi W, Gu Q, Tang X. Integrative Effect of Reduced Tillage and Shading Enhanced Yield and Grain Quality of Fragrant Rice. Agronomy. 2023; 13(8):2010. https://doi.org/10.3390/agronomy13082010
Chicago/Turabian StyleDeng, Sicheng, Yizhu Wu, Wentao Yi, Qichang Gu, and Xiangru Tang. 2023. "Integrative Effect of Reduced Tillage and Shading Enhanced Yield and Grain Quality of Fragrant Rice" Agronomy 13, no. 8: 2010. https://doi.org/10.3390/agronomy13082010
APA StyleDeng, S., Wu, Y., Yi, W., Gu, Q., & Tang, X. (2023). Integrative Effect of Reduced Tillage and Shading Enhanced Yield and Grain Quality of Fragrant Rice. Agronomy, 13(8), 2010. https://doi.org/10.3390/agronomy13082010

